Atmospheric Turbulence Effects on Wind Turbine Wakes over Two-Dimensional Hill: A Wind Tunnel Study
Abstract
1. Introduction
2. Experimental Setup
2.1. Wind Tunnel
2.2. Wind Turbine Model
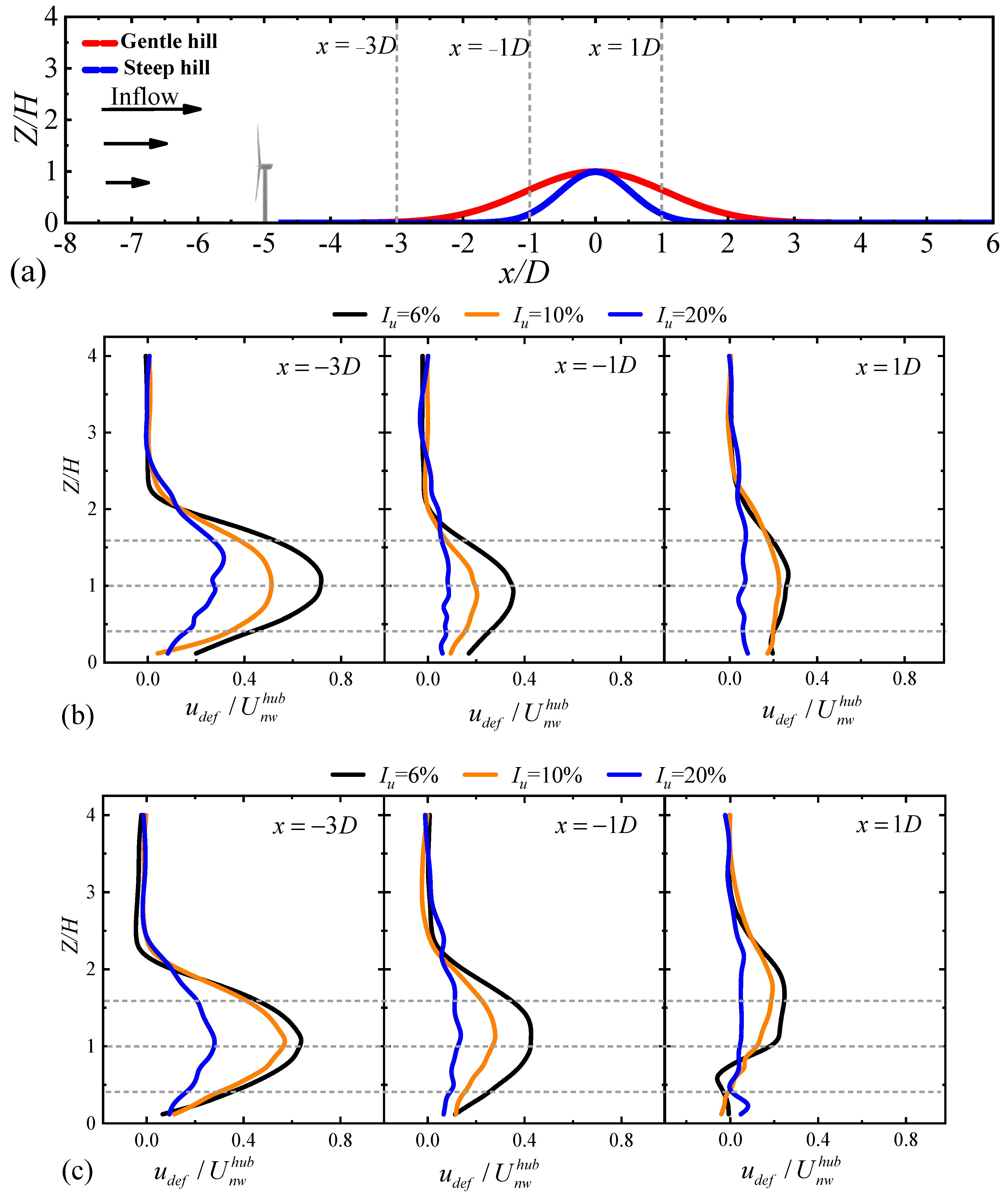
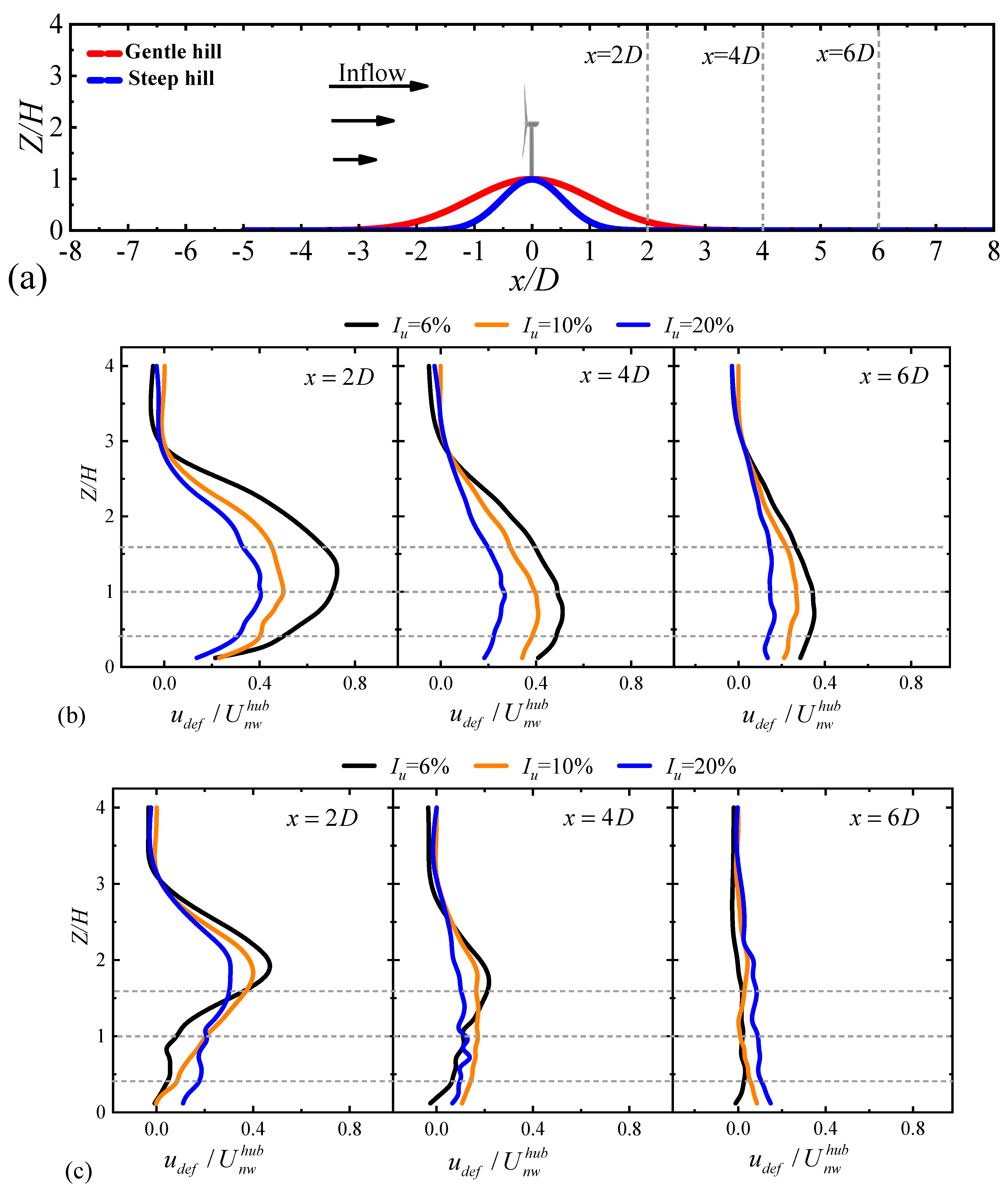
2.3. Terrain Models
2.4. Measurement Setup
3. Results and Discussion
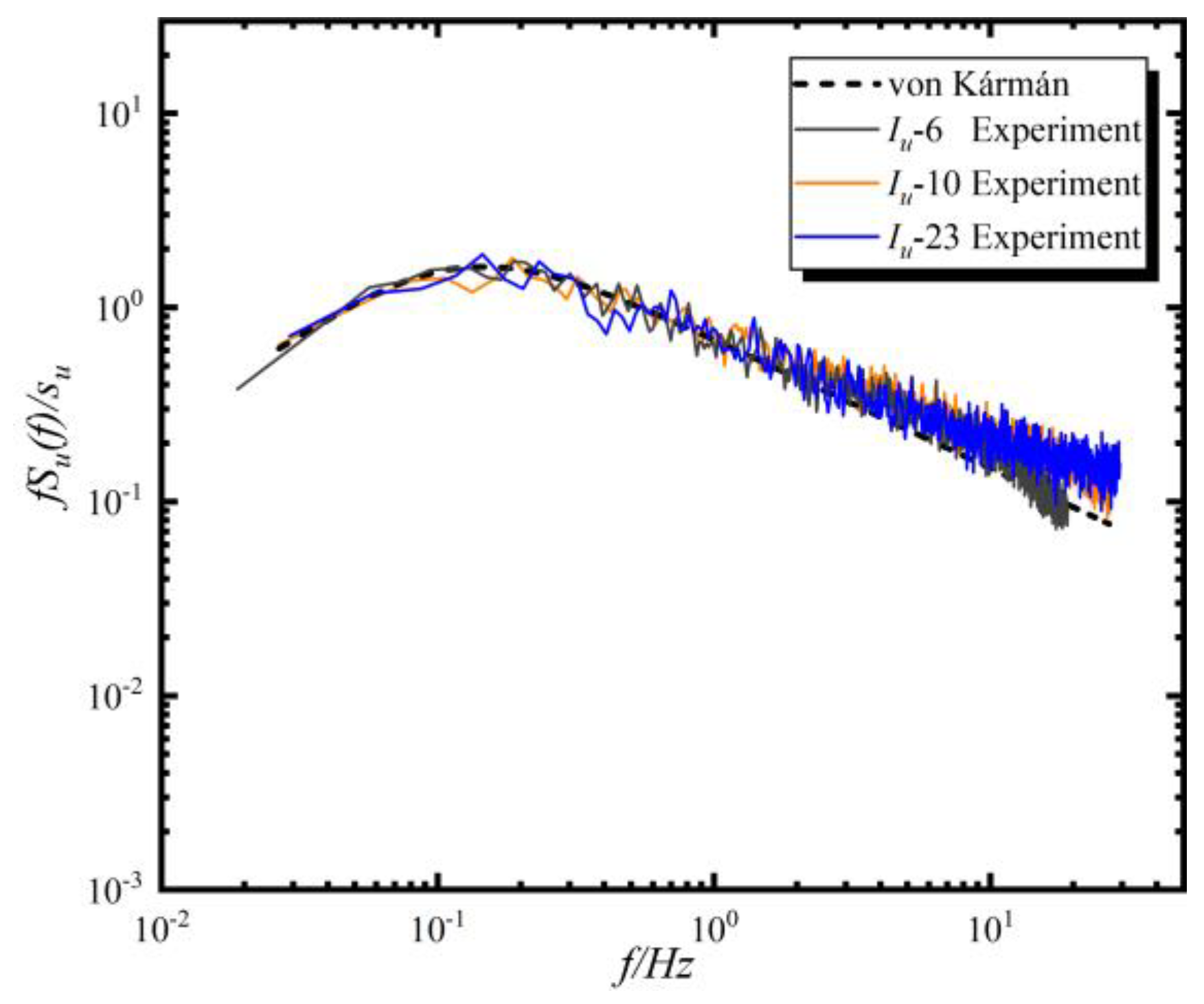
3.1. Inflow Condition
3.2. Wake Characteristics of Turbines in Front of the Hill
3.2.1. Velocity Deficit
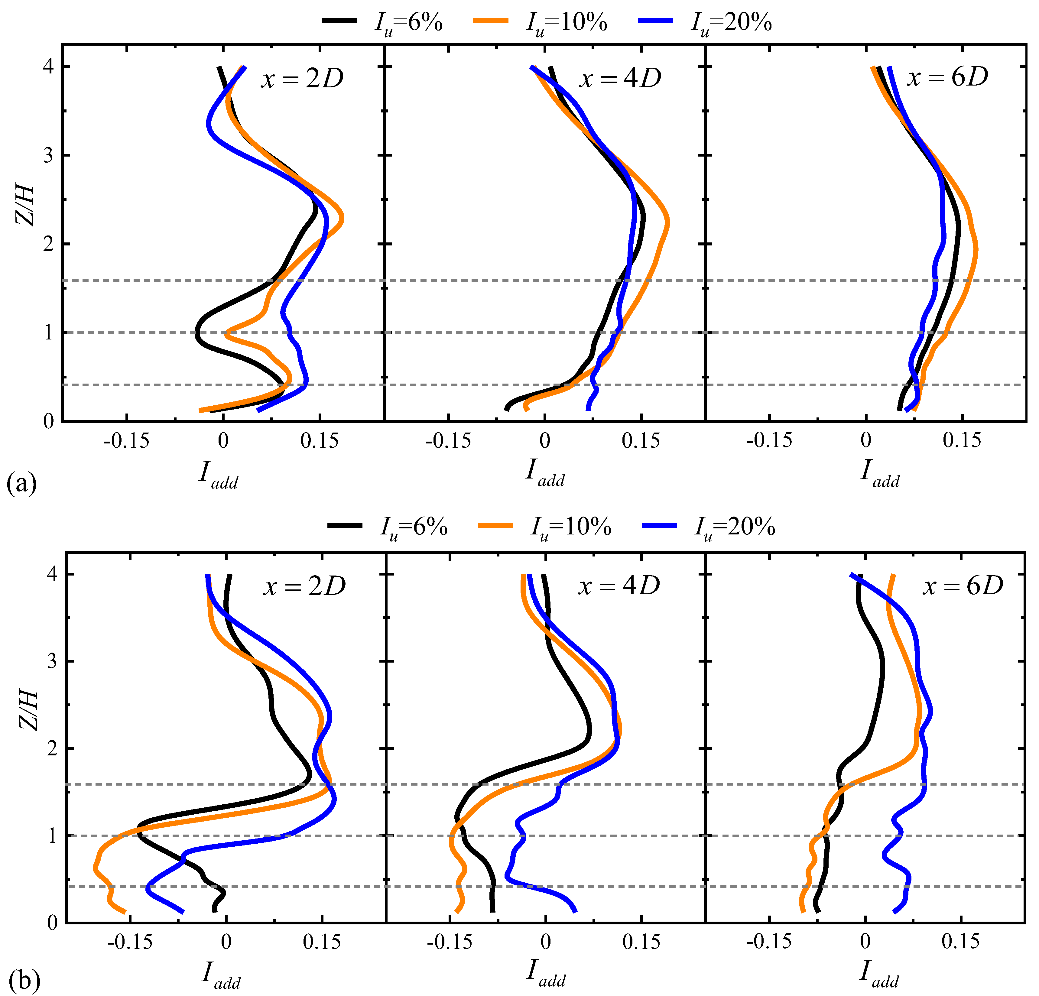
3.2.2. Added Turbulence Intensity
3.3. Wake Characteristics of Turbine on the Hilltop
3.3.1. Velocity Deficit
3.3.2. Added Turbulence Intensity
4. Conclusions
- (1)
- The wake evolution under three turbulent inflow cases is different for the wind turbine located at different positions over the hill. Nonetheless, for turbulent inflow influence, the wakes generally follow a pattern where higher turbulent inflow leads to a faster recovery. Affected by the terrain, the wake center of the wind turbine in the steep hill will shift upward compared with the gentle slope case.
- (2)
- The profiles for the wind turbine located in front of the hill shows a multi-peak shape profile at the location of leeward side (x = 1D) in the steep hill, and the peak value at the lower edge of the turbine wakes becomes both larger in magnitude and lower in elevation.
- (3)
- The profiles for a turbine positioned on the hilltop show that the turbine-induced added turbulence intensity in steep hill cases was enhanced, while there was no such phenomenon observed in the gentle hill scenario.
Author Contributions
Funding
Data Availability Statement
Conflicts of Interest
References
- Wang, D.; Feng, D.C.; Peng, H.W.; Mao, F.; Doranehgard, M.H.; Gupta, V.; Li, L.K.B.; Wan, M.P. Implications of steep hilly terrain for modeling wind-turbine wakes. J. Clean. Prod. 2023, 398, 136614. [Google Scholar] [CrossRef]
- Elgendi, M.; AlMallahi, M.; Abdelkhalig, A.; Selim, M.Y.E. A review of wind turbines in complex terrain. Int. J. Thermofluids 2023, 17, 100289. [Google Scholar] [CrossRef]
- Sanderse, B. Aerodynamics of Wind Turbine Wakes; Energy research Centre of the Netherlands (ECN): Petten, The Netherlands, 2009. [Google Scholar]
- Porté-Agel, F.; Bastankhah, M.; Shamsoddin, S. Wind-Turbine and Wind-Farm Flows: A Review. Bound-Lay. Meteorol. 2020, 174, 1–59. [Google Scholar] [CrossRef]
- Lubitz, W.D.; White, B.R. Wind-tunnel and field investigation of the effect of local wind direction on speed-up over hills. J. Wind Eng. Ind. Aerodyn. 2007, 95, 639–661. [Google Scholar] [CrossRef]
- Radünz, W.C.; Sakagami, Y.; Haas, R.; Petry, A.P.; Passos, J.C.; Miqueletti, M.; Dias, E. Influence of atmospheric stability on wind farm performance in complex terrain. Appl. Energy 2021, 282, 116149. [Google Scholar] [CrossRef]
- Menke, R.; Vasiljević, N.; Hansen, K.S.; Hahmann, A.N.; Mann, J. Does the wind turbine wake follow the topography? A multi-lidar study in complex terrain. Wind. Energ. Sci. 2018, 3, 681–691. [Google Scholar] [CrossRef]
- Gao, X.; Chen, Y.; Xu, S.; Gao, W.; Zhu, X.; Sun, H.; Yang, H.; Han, Z.; Wang, Y.; Lu, H. Comparative experimental investigation into wake characteristics of turbines in three wind farms areas with varying terrain complexity from LiDAR measurements. Appl. Energy 2022, 307, 118182. [Google Scholar] [CrossRef]
- Sun, H.; Yang, H.; Gao, X. Investigation into wind turbine wake effect on complex terrain. Energy 2023, 269, 126767. [Google Scholar] [CrossRef]
- Hansen, K.S.; Larsen, G.C.; Menke, R.; Vasiljevic, N.; Angelou, N.; Feng, J.; Zhu, W.J.; Vignaroli, A.; Liu, W.W.; Xu, C.; et al. Wind turbine wake measurement in complex terrain. J. Phys. Conf. Ser. 2016, 753, 032013. [Google Scholar] [CrossRef]
- Seim, F.; Gravdahl, A.R.; Adaramola, M.S. Validation of kinematic wind turbine wake models in complex terrain using actual windfarm production data. Energy 2017, 123, 742–753. [Google Scholar] [CrossRef]
- Yang, X.; Howard, K.B.; Guala, M.; Sotiropoulos, F. Effects of a three-dimensional hill on the wake characteristics of a model wind turbine. Phys. Fluids 2015, 27, 025103. [Google Scholar] [CrossRef]
- Dar, A.S.; Berg, J.; Troldborg, N.; Patton, E.G. On the self-similarity of wind turbine wakes in a complex terrain using large eddy simulation. Wind Energy Sci. 2019, 4, 633–644. [Google Scholar] [CrossRef]
- Shamsoddin, S.; Porté-Agel, F. Wind turbine wakes over hills. J. Fluid Mech. 2018, 855, 671–702. [Google Scholar] [CrossRef]
- Nedjari, H.D.; Guerri, O.; Saighi, M. CFD wind turbines wake assessment in complex topography. Energy Convers. Manag. 2017, 138, 224–236. [Google Scholar] [CrossRef]
- Tian, W.; Zheng, K.; Hu, H. Investigation of the wake propagation behind wind turbines over hilly terrain with different slope gradients. J. Wind Eng. Ind. Aerodyn. 2021, 215, 104683. [Google Scholar] [CrossRef]
- Politis, E.S.; Prospathopoulos, J.; Cabezon, D.; Hansen, K.S.; Chaviaropoulos, P.K.; Barthelmie, R.J. Modeling wake effects in large wind farms in complex terrain: The problem, the methods and the issues. Wind Energy 2012, 15, 161–182. [Google Scholar] [CrossRef]
- Howard, K.B.; Chamorro, L.P.; Guala, M. An Experimental Case Study of Complex Topographic and Atmospheric Influences on Wind Turbine Performance. In Proceedings of the 51st AIAA Aerospace Sciences Meeting including the New Horizons Forum and Aerospace Exposition, Grapevine (Dallas/Ft. Worth Region), TX, USA, 7–10 January 2013. [Google Scholar]
- Howard, K.B.; Hu, J.S.; Chamorro, L.P.; Guala, M. Characterizing the response of a wind turbine model under complex inflow conditions. Wind Energy 2015, 18, 729–743. [Google Scholar] [CrossRef]
- Hyvärinen, A.; Segalini, A. Effects from Complex Terrain on Wind-Turbine Performance. J. Energy Resour. Technol. 2017, 139, 051205. [Google Scholar] [CrossRef]
- Lange, J.; Mann, J.; Berg, J.; Parvu, D.; Kilpatrick, R.; Costache, A.; Chowdhury, J.; Siddiqui, K.; Hangan, H. For wind turbines in complex terrain, the devil is in the detail. Environ. Res. Lett. 2017, 12, 094020. [Google Scholar] [CrossRef]
- Nanos, E.M.; Yilmazlar, K.; Zanotti, A.; Croce, A.; Bottasso, C.L. Wind tunnel testing of a wind turbine in complex terrain. J. Phys. Conf. Ser. 2020, 1618, 032041. [Google Scholar] [CrossRef]
- Tian, W.; Ozbay, A.; Hu, H. An experimental investigation on the aeromechanics and wake interferences of wind turbines sited over complex terrain. J. Wind Eng. Ind. Aerodyn. 2018, 172, 379–394. [Google Scholar] [CrossRef]
- Chen, Y.; Yan, B.; Yu, M.; Huang, G.; Qian, G.; Yang, Q.; Zhang, K.; Mo, R. Wind tunnel study of wind turbine wake characteristics over two-dimensional hill considering the effects of terrain slope and turbine position. Appl. Energy 2025, 380, 125044. [Google Scholar] [CrossRef]
- Uchida, T. Effects of Inflow Shear on Wake Characteristics of Wind-Turbines over Flat Terrain. Energies 2020, 13, 3745. [Google Scholar] [CrossRef]
- Wu, Y.-T.; Lin, C.-Y.; Chang, T.-J. Effects of inflow turbulence intensity and turbine arrangements on the power generation efficiency of large wind farms. Wind Energy 2020, 23, 1640–1655. [Google Scholar] [CrossRef]
- Wu, Y.-T.; Porté-Agel, F. Atmospheric Turbulence Effects on Wind-Turbine Wakes: An LES Study. Energies 2012, 5, 5340–5362. [Google Scholar] [CrossRef]
- Vahidi, D.; Porté-Agel, F. Influence of incoming turbulent scales on the wind turbine wake: A large-eddy simulation study. Phys. Fluids 2024, 36, 095177. [Google Scholar] [CrossRef]
- Barthelmie, R.J.; Schepers, J.; Pihl, S.V.; Rathmann, O.; Frandsen, S.T.; Cabezón, D.; Politis, E.S.; Prospathopoulos, J.M.; Rados, K.; Hansen, K.S.; et al. Flow and wakes in complex terrain and offshore. Model development and verification in UPWIND. In Proceedings of European Wind Energy Conference & Exhibition 2007, Milan, Italy, 7–10 May 2007. [Google Scholar]
- Barthelmie, R.J.; Frandsen, S.T.; Rathmann, O.; Hansen, K.; Politis, E.S.; Prospathopoulos, J.; Cabezon, D.; Rados, K.; Pijl, S.P.; Schepers, J.G.; et al. Flow and wakes in large wind farms in complex terrain and offshore. In Proceedings of the 2008 European Wind Energy Conference and Exhibition, Brussels, Belgium, 31 March–3 April 2008; pp. 36–40. [Google Scholar]
- Huang, G.; Zhang, S.; Yan, B.; Yang, Q.; Zhou, X.; Ishihara, T. Thrust-matched optimization of blades for the reduced-scale wind tunnel tests of wind turbine wakes. J. Wind Eng. Ind. Aerodyn. 2022, 228, 105113. [Google Scholar] [CrossRef]
- Yang, W.; Yu, M.; Yan, B.; Huang, G.; Yang, Q.; Zhang, S.; Hong, T.; Zhou, X.; Deng, X. Wind Tunnel Tests of Wake Characteristics for a Scaled Wind Turbine Model Based on Dynamic Similarity. Energies 2022, 15, 6165. [Google Scholar] [CrossRef]
- Shamsoddin, S.; Porté-Agel, F. A model for the effect of pressure gradient on turbulent axisymmetric wakes. J. Fluid Mech. 2018, 837, R3. [Google Scholar] [CrossRef]
- Zhou, Y.; Kareem, A. Definition of Wind Profiles in ASCE 7. J. Struct. Eng. 2002, 128, 1082–1086. [Google Scholar] [CrossRef]
- Chamorro, L.P.; Porté-Agel, F. A Wind-Tunnel Investigation of Wind-Turbine Wakes: Boundary-Layer Turbulence Effects. Bound-Lay. Meteorol. 2009, 132, 129–149. [Google Scholar] [CrossRef]
- Li, Q.; Murata, J.; Endo, M.; Maeda, T.; Kamada, Y. Experimental and numerical investigation of the effect of turbulent inflow on a Horizontal Axis Wind Turbine (part II: Wake characteristics). Energy 2016, 113, 1304–1315. [Google Scholar] [CrossRef]
- Von Kármán, T. Progress in the statistical theory of turbulence. Proc. Natl. Acad. Sci. USA 1948, 34, 530–539. [Google Scholar] [CrossRef] [PubMed]
- Mason, P.J.; King, J.C. Measurements and predictions of flow and turbulence over an isolated hill of moderate slope. Q. J. R. Meteorol. Soc. 1985, 111, 617–640. [Google Scholar] [CrossRef]














| Cases | Uhub (m/s) | Iu (-) | α (-) |
|---|---|---|---|
| Low turbulence | 6.5 | 6% | 0.07 |
| Medium turbulence | 10% | 0.12 | |
| High turbulence | 20% | 0.23 |
| Gentle Hill | Steep Hill | |||
|---|---|---|---|---|
| (m/s) | (%) | (m/s) | (%) | |
| Iu = 6% | 6.3 | 6.7 | 6.5 | 6.5 |
| Iu = 10% | 6.6 | 10.0 | 6.7 | 10.1 |
| Iu = 20% | 6.1 | 21.0 | 6.2 | 21.7 |
| Cases | Gentle Hill | Steep Hill | ||
|---|---|---|---|---|
| (m/s) | (%) | (m/s) | (%) | |
| Iu = 6% | 8.2 | 3.9 | 8.0 | 4.1 |
| Iu = 10% | 8.5 | 9.9 | 8.2 | 9.8 |
| Iu = 20% | 9.3 | 12.3 | 8.8 | 13.6 |
Disclaimer/Publisher’s Note: The statements, opinions and data contained in all publications are solely those of the individual author(s) and contributor(s) and not of MDPI and/or the editor(s). MDPI and/or the editor(s) disclaim responsibility for any injury to people or property resulting from any ideas, methods, instructions or products referred to in the content. |
© 2025 by the authors. Licensee MDPI, Basel, Switzerland. This article is an open access article distributed under the terms and conditions of the Creative Commons Attribution (CC BY) license (https://creativecommons.org/licenses/by/4.0/).
Share and Cite
Yan, B.; Tang, S.; Yu, M.; Qian, G.; Chen, Y. Atmospheric Turbulence Effects on Wind Turbine Wakes over Two-Dimensional Hill: A Wind Tunnel Study. Energies 2025, 18, 2865. https://doi.org/10.3390/en18112865
Yan B, Tang S, Yu M, Qian G, Chen Y. Atmospheric Turbulence Effects on Wind Turbine Wakes over Two-Dimensional Hill: A Wind Tunnel Study. Energies. 2025; 18(11):2865. https://doi.org/10.3390/en18112865
Chicago/Turabian StyleYan, Bowen, Shuangchen Tang, Meng Yu, Guowei Qian, and Yao Chen. 2025. "Atmospheric Turbulence Effects on Wind Turbine Wakes over Two-Dimensional Hill: A Wind Tunnel Study" Energies 18, no. 11: 2865. https://doi.org/10.3390/en18112865
APA StyleYan, B., Tang, S., Yu, M., Qian, G., & Chen, Y. (2025). Atmospheric Turbulence Effects on Wind Turbine Wakes over Two-Dimensional Hill: A Wind Tunnel Study. Energies, 18(11), 2865. https://doi.org/10.3390/en18112865

