Research on Seepage and Phase Change Characteristics During Multi-Cycle Injection–Production in Oil Reservoir-Based Underground Gas Storage
Abstract
1. Introduction
2. Materials and Methods
2.1. Multi-Cycle Mutual Drive Experiments
2.1.1. Experimental Material
2.1.2. Experimental Procedure
- (a)
- The determination of oil-phase permeability in the bound water state, after driving off up to 10 times the pore volume with crude oil, was followed by measuring the effective permeability of the oil phase for three consecutive measurements with a relative deviation of less than 3%.
- (b)
- According to the replacement conditions, choose the appropriate replacement rate (0.2 mL/min) or replacement pressure difference to perform the water-driven oil test.
- (c)
- Accurately record the time of water sighting, cumulative oil production at the time of water sighting, cumulative fluid production, the rate of repulsion, and the differential pressure of repulsion at both ends of the rock sample.
- (d)
- At the early stage of seeing water, encrypt the record, select the time interval based on the amount of oil, and gradually increase the time interval as the amount of oil decreases. When the water content reaches 99.95% or after injecting water at 30 times the pore volume, determine the water-phase permeability under residual oil conditions.
- (e)
- Conduct oil and water repelling experiments, using a repelling pump to repel the core at a certain rate (0.2 mL/min) until no water comes out.
- (f)
- Then, repeat steps c to e for three additional oil–water mutual drive experiments to conclude the experiment.
2.2. Multi-Cycle Huff and Puff Experiments
2.2.1. Experimental Material
2.2.2. Experimental Procedure
- (a)
- Vacuum the core to saturate formation water. Then, drive the water with ground–degassed oil at formation temperature and pressure to establish bound water saturation.
- (b)
- Drive off the ground-degassed oil with formulated crude oil at formation pressure to establish original formation fluid conditions, and then carry out depletion mining to 3.8 MPa.
- (c)
- Inject the remaining fluid extracted to 3.8 MPa with natural gas to 24 MPa and then extract to 12 MPa (the actual operational pressure limits of the gas storage reservoir are defined as 24 MPa (upper limit) and 12 MPa (lower limit), respectively). Record the volume of gas and oil produced in each iteration, followed by compositional analysis of both the produced gas and oil. We repeated this procedure for five cycles. The multi-cycle huff and puff pressure variation curve is shown in Figure 5.
2.3. Numerical Simulation of Multi-Cycle Huff and Puff
2.3.1. Model Setup
- (a)
- Local thermodynamic equilibrium (LTE) between phases.
- (b)
- Isothermal or adiabatic conditions.
2.3.2. Phase Fitting
2.3.3. Program Setup
3. Results
3.1. Multi-Cycle Seepage Characteristic
3.1.1. Oil–Water Mutual Drive
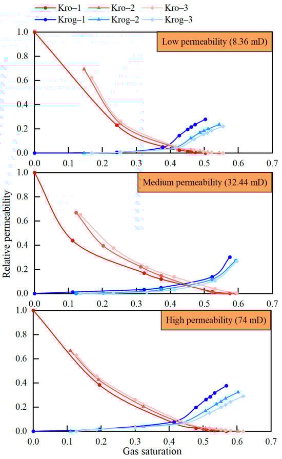
3.1.2. Oil–Gas Mutual Drive
3.1.3. Gas–Water Mutual Drive
3.2. Phase Change Characteristics in Multi-Cycle Huff and Puff Experiments
3.3. Phase Change Characteristics in Numerical Simulation of Multi-Cycle Huff and Puff
4. Conclusions
Author Contributions
Funding
Data Availability Statement
Acknowledgments
Conflicts of Interest
References
- Wang, Z.; Kong, Y.; Li, W. Review on the development of China’s natural gas industry in the background of “carbon neutrality”. Nat. Gas Ind. B 2022, 9, 132–140. [Google Scholar] [CrossRef]
- Li, Q.; Li, Q.; Cao, H. The Crack Propagation Behaviour of CO2 Fracturing Fluid in Unconventional Low Permeability Reser-voirs: Factor Analysis and Mechanism Revelation. Processes 2025, 13, 159. [Google Scholar] [CrossRef]
- Li, Q.; Li, Q.C.; Wu, J.J.; Li, Q.; Wang, F.; Cheng, Y.F. Sediment Instability Caused by Gas Production from Hydrate-Bearing Sediment in Northern South China Sea by Horizontal Wellbore: Sensitivity Analysis. Nat. Resour. Res. 2025, 34, 1667–1699. [Google Scholar] [CrossRef]
- Li, L. Development of natural gas industry in China: Review and prospect. Nat. Gas Ind. B 2022, 9, 187–196. [Google Scholar] [CrossRef]
- Zou, C.; Zhao, Q.; Chen, J.; Li, J.; Yang, Z.; Sun, Q.; Lu, J.; Zhang, G. Natural gas in China: Development trend and strategic forecast. Nat. Gas Ind. B 2018, 5, 380–390. [Google Scholar] [CrossRef]
- Jia, A.; He, D.; Wei, Y.; Li, Y. Predictions on natural gas development trend in China for the next fifteen years. J. Nat. Gas Geosci. 2021, 6, 67–78. [Google Scholar] [CrossRef]
- Dai, J.; Ni, Y.; Dong, D.; Qin, S.; Zhu, G.; Huang, S.; Yu, C.; Gong, D.; Hong, F.; Zhang, Y.; et al. 2021–2025 is a period of great development of China’s natural gas industry: Suggestions on the exploration and development of natural gas during the 14th five-year plan in China. J. Nat. Gas Geosci. 2021, 6, 183–197. [Google Scholar] [CrossRef]
- Evans, D.J.; Chadwick, R.A. (Eds.) Underground Gas Storage: Worldwide Experiences and Future Development in the UK and Europe; Geological Society of London: London, UK, 2009. [Google Scholar]
- Wang, Y.; Guo, C.-H.; Du, C.; Chen, X.-J.; Jia, L.-Q.; Guo, X.-N.; Chen, R.-S.; Zhang, M.-S.; Chen, Z.-Y.; Wang, H.-D. Carbon peak and carbon neutrality in China: Goals, implementation path, and prospects. China Geol. 2021, 4, 720–746. [Google Scholar] [CrossRef]
- Al-Shafi, M.; Massarweh, O.; Abushaikha, A.S.; Bicer, Y. A review on underground gas storage systems: Natural gas, hydrogen and carbon sequestration. Energy Rep. 2023, 9, 6251–6266. [Google Scholar] [CrossRef]
- Molíková, A.; Vítězová, M.; Vítěz, T.; Buriánková, I.; Huber, H.; Dengler, L.; Hanišáková, N.; Onderka, V.; Urbanová, I. Underground gas storage as a promising natural methane bioreactor and reservoir? J. Energy Storage 2022, 47, 103631. [Google Scholar] [CrossRef]
- Bai, M.; Song, K.; Sun, Y.; He, M.; Li, Y.; Sun, J. An overview of hydrogen underground storage technology and prospects in China. J. Pet. Sci. Eng. 2014, 124, 132–136. [Google Scholar] [CrossRef]
- Zhang, J.; Fang, F.; Lin, W.; Gao, S.; Li, Y.; Li, Q.; Yang, Y. Research on Injection-Production Capability and Seepage Characteristics of Multi-Cycle Operation of Underground Gas Storage in Gas Field—Case Study of the Wen 23 Gas Storage. Energies 2020, 13, 3829. [Google Scholar] [CrossRef]
- Zhou, S.; Wang, J.; Liang, Y. Development of China’s natural gas industry during the 14th Five-Year Plan in the background of carbon neutrality. Nat. Gas Ind. 2021, 41, 171–182. [Google Scholar]
- Lu, J.; Zhao, S.; Sun, Y.; Tang, H. Gas production peaks in China: Research and strategic proposals. Nat. Gas Ind. B 2018, 5, 371–379. [Google Scholar] [CrossRef]
- Wang, Y.; Feng, G.; Li, Z.; Xu, W.; Zhu, J.; He, L.; Xiong, Z.; Qiao, X. Retrieving the displacements of the Hutubi (China) underground gas storage during 2003–2020 from multi-track InSAR. Remote Sens. Environ. 2022, 268, 112768. [Google Scholar] [CrossRef]
- Vandeginste, V.; Ji, Y.; Buysschaert, F.; Anoyatis, G. Mineralogy, microstructures and geomechanics of rock salt for underground gas storage. Deep. Undergr. Sci. Eng. 2023, 2, 129–147. [Google Scholar] [CrossRef]
- Yang, S.; Hu, S.; Qi, Z.; Li, J.; Yan, W.; Huang, X.; Ao, X.; Yuan, Y. Stability evaluation of fault in hydrocarbon reservoir-based underground gas storage: A case study of W gas storage. Fuel 2024, 357, 129657. [Google Scholar] [CrossRef]
- Wang, J.; Shi, L.; Zhang, Y.; Zhang, K.; Li, C.; Chen, X.; Sun, J.; Qiu, X. Simulation of petroleum phase behavior in in-jection and production process of underground gas storage in a gas reservoir. Pet. Explor. Dev. 2022, 49, 1386–1397. [Google Scholar] [CrossRef]
- Wan, J.; Sun, Y.; He, Y.; Ji, W.; Li, J.; Jiang, L.; Jurado, M.J. Development and technology status of energy storage in depleted gas reservoirs. Int. J. Coal Sci. Technol. 2024, 11, 29. [Google Scholar] [CrossRef]
- Yong, T.; Keji, L.; Jieming, W.; Hongcheng, X.; Yong, W.; Youwei, H.; Lei, S.; Huayin, Z. Change of phase state during mul-ti-cycle injection and production process of condensate gas reservoir based underground gas storage. Pet. Explor. Dev. 2021, 48, 395–406. [Google Scholar]
- Sun, J.; Xu, H.; Wang, J.; Shi, L.; Li, C.; Tang, L.; Zhong, R. Injection–production mechanisms and key evaluation technologies for underground gas storages rebuilt from gas reservoirs. Nat. Gas Ind. B 2018, 5, 616–622. [Google Scholar] [CrossRef]
- Zhang, G.; Yang, S.; Mo, C.; Zhang, Z. Experimental research on capacity expansion simulation of multi-cycle injection-production in reconstruction of oil reservoir to underground gas storage. J. Energy Storage 2022, 54, 105222. [Google Scholar] [CrossRef]
- Huan, Q.; Li, Y.; Mohammed, A.S.; Sun, Y.; Liu, T. Multi-Round Development of Underground Gas Storage Converted from Depleted Oil Reservoirs: Physical Properties Changes and Capacity Expansion. In Proceedings of the 57th U.S. Rock Mechanics/Geomechanics Symposium, Atlanta, GA, USA, 25–28 June 2023. [Google Scholar]
- Liu, Q.; Yao, Y.; Wang, L. The Two-Phase Flow of Oil-Gas Multiple Rounds Injection-Production in the Reconstructed of Gas Storage with Oil-Ring Condensate Gas Reservoir. In Proceedings of the 58th U.S. Rock Mechanics/Geomechanics Symposium, Golden, CO, USA, 23–26 June 2024. [Google Scholar]
- Wang, J.; Feng, X.; Wanyan, Q.; Zhao, K.; Wang, Z.; Pei, G.; Xie, J.; Tian, B. Hysteresis effect of three-phase fluids in the high-intensity injection–production process of sandstone underground gas storages. Energy 2022, 242, 123058. [Google Scholar] [CrossRef]
- Li, Q.; Zhao, G.; Qi, Z.; Yin, B.; Xu, X.; Fang, F.; Yang, S.; Qi, G. Stress sensitivity of formation during multi-cycle gas injection and production in an underground gas storage rebuilt from gas reservoirs. Pet. Explor. Dev. 2021, 48, 968–977. [Google Scholar] [CrossRef]
- Ren, Z.-X.; Wang, H.-F.; Chang, D.-W.; Liu, Y.-H.; He, H.; Yuan, H.-F. Evaluation of reserves and injection-production capacity of underground gas storage under multi-cycle operation. Pet. Sci. Technol. 2024, 1–18. [Google Scholar] [CrossRef]
- Long, K.; Tang, Y.; He, Y.; Wang, Y.; Qin, J.; Tang, L. Fluid phase behavior during multi-cycle injection and production of underground gas storage based on gas-condensate reservoirs with oil rim. Geoenergy Sci. Eng. 2023, 226, 211769. [Google Scholar] [CrossRef]
- Gao, T.; Wang, H.-Y.; Wang, S.-X.; Lu, J.; Gu, C.; Wang, X.-Q. Performance Evaluation of Multi-Cycle Injection-Production of Sizhan Gas Storage. In International Field Exploration and Development Conference; Springer Nature: Singapore, 2023; pp. 942–953. [Google Scholar]
- Geng, J.; Zhang, H.; Yue, P.; Qu, S.; Wang, M.; Chen, B. Experimental and Numerical Simulation Studies on the Synergistic Design of Gas Injection and Extraction Reservoirs of Condensate Gas Reservoir-Based Underground Gas Storage. Processes 2024, 12, 2668. [Google Scholar] [CrossRef]
- Jiao, G.; Zhu, S.; Xie, F.; Yang, S.; Xiang, Z.; Xu, J. Study of the Characterisation Method of Effective Two-Phase Seepage Flow in the Construction of Gas Storage Reservoirs. Energies 2022, 16, 242. [Google Scholar] [CrossRef]
- Gao, J.; Kong, D.; Peng, Y.; Zhou, Y.; Liu, Y.; Zhu, W. Pore-scale mechanisms and hysteresis effect during multi-cycle injection and production process in underground hydrogen storage reservoir. Energy 2023, 283, 129007. [Google Scholar] [CrossRef]
- GB/T 28912-2012; Test Method for Two Phase Relative Permeability in Rock. China Standard Press: Beijing, China, 2013.






























| Core No. | Coring Location | Length (cm) | Diameter (cm) | Dry Weight (g) | Porosity (%) | Permeability (mD) | Experimental Content |
|---|---|---|---|---|---|---|---|
| L1 | Lower oil/gas interface | 5.211 | 2.582 | 60.08 | 14.66 | 8.36 | Oil–water and oil–gas mutual drive |
| M1 | 5.238 | 2.585 | 59.41 | 16.24 | 32.44 | ||
| H1 | 5.328 | 2.572 | 60.51 | 20.20 | 74.00 | ||
| L2 | Upper oil/gas interface | 5.316 | 2.581 | 62.74 | 13.32 | 3.99 | Gas–water mutual drive |
| M2 | 5.284 | 2.588 | 60.89 | 15.29 | 17.11 | ||
| H2 | 5.401 | 2.579 | 59.29 | 18.90 | 46.31 |
| Chemical Compositions (mg/L) | Total Mineralization (mg/L) | pH | Water–Based | ||||||
|---|---|---|---|---|---|---|---|---|---|
| Na+, K+ | Mg2+ | Ca2+ | Cl− | SO42− | HCO3− | CO32− | |||
| 752 | 3 | 5 | 625.3 | 205.1 | 634.6 | 27.1 | 2252.1 | 7~8 | NaHCO3 |
| Core No | Coring Location | Length (cm) | Diameter (cm) | Dry Weight (g) | Porosity (%) | Permeability (mD) |
|---|---|---|---|---|---|---|
| H3 | Upper oil/gas interface | 5.169 | 2.576 | 57.04 | 18.23 | 89.47 |
| L3 | 5.332 | 2.580 | 60.35 | 8.06 | 7.26 |
| Core No. | Core Length (cm) | Core Diameter (cm) | Permeability (mD) | Porosity (%) |
|---|---|---|---|---|
| H1 | 5.328 | 2.572 | 74.00 | 15.2 |
| H2 | 5.401 | 2.579 | 46.31 | 18.9 |
| Components | C1 | C2 | C3+ | C5+ | C8+ | C11+ | C23+ |
|---|---|---|---|---|---|---|---|
| Molar composition (%) | 51.70 | 9.28 | 11.49 | 2.69 | 6.80 | 14.94 | 3.10 |
| Fitting Parameters | Experimental Data | Fitting Data | Error (%) |
|---|---|---|---|
| Saturation pressure, MPa | 18.9 | 19.1 | 1.06 |
| Density of ground crude oil, kg/m3 | 842 | 821.3 | 2.45 |
| Formation crude oil viscosity, mPa·s | 2.05 | 1.98 | 3.41 |
| Single degassing gas–oil ratio, m3/m3 | 236 | 228.2 | 3.39 |
| Components | Pc (MPa) | Tc (K) | Vc (L/mol) | Eccentricity Factor | Z–Factor | Molar Mass | OmegaA | OmegaB |
|---|---|---|---|---|---|---|---|---|
| C1 | 4.64 | 190.10 | 0.0979 | 0.0132 | 0.2847 | 16.14 | 0.4572 | 0.0778 |
| C2 | 4.93 | 305.43 | 0.1480 | 0.0986 | 0.2846 | 30.07 | 0.4572 | 0.0778 |
| C3+ | 4.01 | 394.14 | 0.2312 | 0.1734 | 0.2799 | 51.48 | 0.4572 | 0.0778 |
| C5+ | 3.14 | 513.59 | 0.3580 | 0.2766 | 0.2605 | 86.20 | 0.4572 | 0.0778 |
| C8+ | 2.66 | 602.37 | 0.4855 | 0.3496 | 0.2554 | 121.18 | 0.4572 | 0.0778 |
| C11+ | 2.25 | 696.53 | 0.7698 | 0.7582 | 0.2956 | 193.89 | 0.4572 | 0.0778 |
| C23+ | 1.15 | 892.05 | 1.4683 | 1.3748 | 0.2258 | 374.51 | 0.4572 | 0.0778 |
| Simulation Stages | Injection/Production Rate (mL/min) | Injection/Production Duration (h) | Upper or Lower Pressure Limits (MPa) |
|---|---|---|---|
| Depletion simulation | 0.1 | 1.25 | 3.8 (lower limit) |
| Gas injection | 0.1 | 1 | 24 (upper limit) |
| Gas production | 0.1 | 1 | 12 (lower limit) |
Disclaimer/Publisher’s Note: The statements, opinions and data contained in all publications are solely those of the individual author(s) and contributor(s) and not of MDPI and/or the editor(s). MDPI and/or the editor(s) disclaim responsibility for any injury to people or property resulting from any ideas, methods, instructions or products referred to in the content. |
© 2025 by the authors. Licensee MDPI, Basel, Switzerland. This article is an open access article distributed under the terms and conditions of the Creative Commons Attribution (CC BY) license (https://creativecommons.org/licenses/by/4.0/).
Share and Cite
Tang, Y.; Tang, Z.; Qin, J.; He, Y.; Luo, Y.; Cheng, M.; Wang, Z. Research on Seepage and Phase Change Characteristics During Multi-Cycle Injection–Production in Oil Reservoir-Based Underground Gas Storage. Energies 2025, 18, 2550. https://doi.org/10.3390/en18102550
Tang Y, Tang Z, Qin J, He Y, Luo Y, Cheng M, Wang Z. Research on Seepage and Phase Change Characteristics During Multi-Cycle Injection–Production in Oil Reservoir-Based Underground Gas Storage. Energies. 2025; 18(10):2550. https://doi.org/10.3390/en18102550
Chicago/Turabian StyleTang, Yong, Zhitao Tang, Jiazheng Qin, Youwei He, Yulong Luo, Minmao Cheng, and Ziyan Wang. 2025. "Research on Seepage and Phase Change Characteristics During Multi-Cycle Injection–Production in Oil Reservoir-Based Underground Gas Storage" Energies 18, no. 10: 2550. https://doi.org/10.3390/en18102550
APA StyleTang, Y., Tang, Z., Qin, J., He, Y., Luo, Y., Cheng, M., & Wang, Z. (2025). Research on Seepage and Phase Change Characteristics During Multi-Cycle Injection–Production in Oil Reservoir-Based Underground Gas Storage. Energies, 18(10), 2550. https://doi.org/10.3390/en18102550

