Abstract
The conventional cascaded control strategies using proportional-integral-derivative controllers often result in high settling times, considerable oscillations, poor voltage regulation, and low bandwidth. This leads to unsatisfactory performance in systems where multiple input variables are each subject to high levels of temporal variability, such as in DC microgrids (MGs) with renewable sources of generation. To overcome these challenges, a new combined control technique including average current mode and PI controllers based on root locus tuning is proposed for DC MGs to maintain small-signal stability. An analytical small-signal equivalent model of DC MG, including the proposed control, is developed to examine the impact of control parameter variations on system dynamics. The stability of the DC MG is assessed to evaluate the effectiveness of the designed controller, while a sensitivity analysis identifies critical parameters affecting system performance. The effectiveness of the proposed control scheme is demonstrated through a comprehensive comparative analysis with a conventional PID controller and a terminal sliding mode controller, which specifically addresses small-signal disturbances. Results demonstrate that the proposed control scheme provides superior robustness against small-signal disturbances, minimises settling time, and eliminates oscillations. Moreover, it offers improved power quality, bandwidth, and voltage regulation compared to conventional methods under both normal operating conditions and in response to small-signal perturbations.
1. Introduction
DC microgrids (MGs) integrate diverse distributed renewable energy sources (DRESs), such as solar, wind, wave, and energy storage devices (ESDs) like batteries and supercapacitors. It can also be combined with hydrogen technology, including electrolysers, hydrogen storage, and fuel cells. This versatility not only significantly reduces greenhouse gas emissions compared to systems reliant on diesel fuel but also enables better matching of generation with demand. For systems comprising DC-powered modern electronic devices, variable-speed drive motors, and DC motor-driven pumps and equipment, DC microgrids can be particularly advantageous [1]. Benefits of DC MGs over conventional diesel-based AC systems include improved efficiency, simpler system designs, seamless integration with DRESs, enhanced compatibility with ESDs and modern electronic loads, and the elimination of frequency, reactive power flow, and skin effect issues [2,3,4]. These attributes make DC MGs particularly well-suited for powering remote communities and offshore industries, where low-cost, reliable systems and a shift away from reliance on diesel fuel are desirable.
Integrating various DRESs into a single DC MG network presents noteworthy challenges in maintaining small-signal stability under changes in power generation and load demand. These challenges include maintaining voltage stability under all operating conditions, ensuring accurate power sharing, balancing power generation with demand, and upholding power quality [5,6,7]. Small-signal instability can result in poor voltage regulation, increased settling times and oscillations, and degraded controller performance.
ESDs can compensate for the intermittent generation from DRESs in DC MGs, ensuring a stable and continuous power supply [8,9]. By storing excess energy at times of high generation and releasing it during periods of peak demand, they contribute significantly to the balance of supply and demand and improve the overall reliability of the system. Bidirectional DC-DC converters are essential components of DC MGs because they connect ESDs to DC buses, improving the reliability, efficiency, and stability of operations. These converters are pivotal for managing the power flow between storage devices and DC buses while also regulating voltage and current levels [10]. However, controlling bidirectional DC-DC converters in DC MGs presents substantial challenges in maintaining required voltage levels at the outputs of different units, particularly in systems integrated with various DRESs and ESDs. Without an adequate control approach, this integration can result in complex dynamic behaviour, which may lead to stability issues [10,11].
The cascaded control approach significantly outperforms a single loop-based control structure. While a single-loop control offers ease of implementation, cascaded-loop controllers are preferred due to their capacity to explicitly limit and guard against overcurrent through the incorporation of an inner current control loop [12]. In addition, although single-loop-based droop control structures designed for DC microgrids offer simplicity, the selection of controller parameters is complex and may lead to variations in the DC bus voltage and unequal current sharing [7,13,14]. To tackle these challenges and enhance the performance and stability of DC MGs, various strategies are proposed, including hybrid power sharing control [15] and several dual-loop cascaded control structures [16,17,18,19].
In these cascaded configurations, the inner loop controls the battery current, while the outer loop stabilises DC bus voltage, providing a systematic and effective approach to MG management. Specifically, a dual-loop control structure designed to regulate both DC bus and supercapacitor voltage is developed in [16]. Additionally, a hybrid control structure is introduced in [17] to regulate DC bus voltage and ensure accurate battery current management. Another approach, a two-loop-based nested control structure, is developed to regulate the DC bus voltage, considering the state of charge (SoC) of batteries [18,19].
Prediction-based cascaded control [20,21] and sliding mode control [22,23,24,25] systems are also proposed for DC bus voltage regulation, which significantly enhances battery lifespan. However, these techniques may require high-speed processors, optimisation, and additional measurements, which increase implementation costs and computational complexity. The small-signal stability analysis of the cascaded control approach is investigated to study the dynamic responses under various operating conditions, such as load variations, changes in generations, topology changes, and battery charging and discharging [26,27,28]. Furthermore, sensitivity analysis is conducted for DC MGs to assess the impact of variations in system parameters [29,30,31].
A proportional-integral-derivative (PID)-based cascaded control system may not adequately provide fast transient responses and could negatively impact voltage quality [32]. In addition, the time-consuming process of tuning PID parameters complicates its usage. Although PID-based cascaded control systems are designed to optimise transient responses, they often result in higher overshoot due to tuning issues, leading to significant variations in DC bus voltage [16,17,18,19]. Additionally, the output current and voltage fluctuations caused by this controller compromise system stability and prolong battery response time.
The average current mode (ACM) control approach is the optimal choice for battery charging and discharging due to its direct control over battery current and stable operation at any duty ratio [33]. A conventional ACM-based cascaded controller is designed to analyse the stability of DC MGs [34] under small-signal perturbances. However, the performance is limited by the varying operating voltage of the supercapacitor, resulting in low gain and phase margin. An ACM-based cascaded control approach is introduced for DC MGs [35], although this study lacks detailed analysis and mathematical modelling. Small-signal stability and sensitivity analysis are crucial, especially when considering case studies designed to support practical implementation.
To address the aforementioned issues associated with DC MGs, this work makes the following key contributions:
- (1)
- This work proposes a new combined control technique, including ACM and PI controllers based on root locus tuning.
- (2)
- A comprehensive analytical small-signal model of the DC MG system, including the proposed controller, is developed where the model examines how variations in control and system parameters impact system dynamics.
- (3)
- Stability is assessed using the root locus and Bode plot methods, with a focus on transient, frequency, and error tracking performance response metrics.
- (4)
- The effectiveness of the proposed control approach is evaluated through a rigorous comparative analysis with existing control techniques, such as conventional PID-based cascaded control and terminal sliding mode controller (TSMC).
The remainder of the paper is organised as follows: a generic representation of a DC MG and a converter circuit model of a PV/battery-based MG are first introduced in Section 1. Section 3 illustrates the proposed control topology, including the mathematical model of the inner and outer loops and the equivalent small-signal model of the controller. Section 4 describes the stability analysis of the DC MG network, comparing the use of conventional PID controllers and the proposed controller. Simulation results are discussed in Section 5, with the DC MG network modelled in MATLAB/Simulink. Section 6 finally concludes the paper.
2. Model of DC Microgrid
A typical DC MG system suitable for remote communities and offshore industries is illustrated in Figure 1. The organisation of DC MGs for specific applications is decided by the required power capacity, the accessibility of DRESs, and ecological conditions. It may vary depending on the applications. Solar cells, wave energy converters, wind turbines, and fuel cells can all perform as potential power sources in DC MGs. Hydrogen can be produced using an electrolyser, stored in tanks, and used by the fuel cell to generate energy. Additionally, hydrogen can be stored for extended periods and exported for use in other applications such as hydrogen fuel-based vessels and industries.
Figure 1.
A model of a DC MG structure suitable for offshore settings.
DC MGs are capable of supplying electricity to both AC and DC loads. A battery is typically integrated as an energy storage solution to mitigate the inherent intermittent nature of DRESs used for power generation. This battery unit plays a critical role in ensuring system stability and continuous power supply. When power generation exceeds demand, the battery charges by absorbing the excess power. Conversely, when demand surpasses power generation, the battery discharges to supply additional power. Since each power generation technology typically produces power at different DC voltage levels, and batteries and loads may also operate at distinct voltage levels, they must all interface with a common DC bus via suitable power converters. As the battery plays such a pivotal role in supply/demand balancing and in regulating bus voltage in DC MGs, control of this converter is the focus of analysis in this work, and the number of other converters being modelled can be reduced.
A basic DC MG with a PV panel, a battery, and many loads is shown in Figure 2. A DC-DC boost converter interfaces the PV panel with the DC bus, utilising a maximum power point tracking algorithm (MPPT) to optimise electricity generation from solar energy under varying sun irradiance. The DC bus is connected to the battery through a DC-DC bidirectional power converter. A controller is an important part of this setup because it controls the bidirectional converter’s output voltage to keep it within a certain range and keep the system stable.
Figure 2.
Circuit diagram of a basic DC MG.
3. Controller Design for DC Microgrid
Figure 3 depicts a cascaded control structure for the DC-DC bidirectional converter. Within this configuration, an inner loop controls the battery current, whilst an outer loop regulates the voltage on the DC bus. Traditionally, in cascaded control structures [15,16,17,18,19], PID controllers are employed for both loops, and tuning their parameters can be a significant challenge. To overcome these issues, an ACM-based controller is proposed for the regulation of battery current instead of the conventional PID controller, with gains determined through root locus and Bode plot analyses of the system. The cascaded control approach begins by modelling the current loop control using the inner current loop gain, Ai. Subsequently, the outer voltage control loop is designed using the outer voltage loop gain, Av, considering the now closed inner current control loop. For the implementation of the outer voltage loop controller, the small-signal model block diagram presented in Figure 3 is modified as illustrated in Figure 4.
Figure 3.
Cascaded control structure for DC-DC bidirectional converter.
Figure 4.
Modified cascaded control structure.
3.1. Mathematical Model of Inner Control Loop
The cascaded approach features an inner loop that is specifically engineered to regulate the battery current, which is affected by the duty ratio of the DC-DC bidirectional converter. The correlation between the battery current and the duty ratio is elegantly articulated via the transfer function presented in (1) [33].
where . Vdc is the voltage on the DC bus, RL is the load resistance, L2 is the inductance, C2 is the capacitance, and D‘ is the compliment of the duty ratio of the DC-DC bidirectional converter circuit.
An ACM controller serves as a commonly employed compensation mechanism in power electronics converters, especially in the context of battery chargers [33]. This control scheme is valued for its ability to reduce switching disturbances and sensitivity to noise, ensuring stable operation across any duty ratio. It generates a duty ratio for the pulse width modulator circuit that drives the converter. The transfer function of the ACM controller is detailed in (2).
where Kic represents the controller’s gain, while w3 and w4 are the frequencies at zero and pole locations, respectively. To optimise performance, w3 is selected to be lower than the required crossover frequency, wc, while w4 is selected to be above this frequency. The gain, Kic, is determined based on the point where the gain curve of the current loop intersects the 0 dB line of the selected crossover frequency, wc. Additionally, Hi represents the current feedback parameter, which plays a crucial role in the tunning process.
Hence,
3.2. Mathematical Model of Outer Control Loop
The correlation between the voltage on the DC bus and the duty ratio is quantitatively represented by the transfer function outlined in Equation (5) [33].
where and represent the DC bus voltage-to-duty ratio gain and the system’s natural frequency, respectively. Given that the system model, Gvd (s), exhibits only one pole, a straightforward PI control approach is deemed abundant to achieve optimised responses. The corresponding transfer function of the controller is outlined in (6).
where Kvc represents the controller’s gain and w6 is the frequency of zero location. To get better performance from the PI controller, w6 is chosen underneath the desired crossover frequency, wv. The gain Kvc is determined using the subsequent equation where the voltage gain magnitude of the open loop reaches unity at the required crossover frequency wv. Hv is the voltage feedback parameter.
Hence,
3.3. Equivalent Small-Signal Model of Controller
From the cascaded control structure for the DC-DC bidirectional converter within the DC MG shown in Figure 3, the current error signal can be calculated as follows:
The error signal is adjusted using a current controller, denoted as Gic(s). Consequently, the small-signal model of the output current, I(s), is derived and expressed as:
where the gain of the inner current loop, denoted as Ai, is calculated as follows:
The characteristic equation of the inner control loop, which helps to find out the gain of the current compensator (), can be expressed as follows:
Submitting , the characteristic equation becomes
where, , , , and , , , .
By applying the feedback theorem to the inner current loop, the small-signal output voltage, Vdc(s), can be mathematically expressed as follows:
Now, the closed current control loop, denoted as Gcc(s), is represented by the following expression:
The outer voltage loop gain, denoted as Av, is derived from the simplified diagram shown in Figure 4 and can be expressed as follows:
The voltage error is determined by the following calculation:
Now, the DC bus voltage, in relation to the reference voltage signal, can be calculated as follows:
The characteristic equation of the outer control loop, which helps to determine the gain of the voltage controller (), can be stated as follows:
Submitting , the characteristic equation becomes
where, , , , , ,and , , , ,
4. Stability Analysis
The gains for the current compensator (Kic) from equation 13 and the voltage compensator (Kvc) from equation 20 are determined using the root locus method. This is done to ensure stability margins and to achieve a desired crossover frequency.
4.1. Tunning the Controller Parameters
The gain of the current compensator (Kic) is tuned to optimise dynamic responses, including rise time, settling time, peak time, and percentage overshoot. The frequency response is analysed through a Bode plot to determine the desired phase margin, gain margin, and bandwidth. Initially, considering the inner current control loop (Ai), a root locus is illustrated in Figure 5 to facilitate the selection of Kic.
Figure 5.
Root locus for varying current controller gain, Kic.
The root locus indicates that Ai remains stable for any value of Kic. The frequencies for the controller’s zero and pole are set as w3 = 5026 rad/s and w4 = 31,416 rad/s, respectively. To achieve a 5% overshoot and a damping ratio of 0.69, Kic is set to 0.16. The corresponding settling time is 0.5 ms, and the peak time is 0.38 ms. This current controller configuration results in a phase margin of 44.5 degrees, a bandwidth of 3.3 kHz, and a target crossover frequency of 2 kHz.
The next phase involves designing an outer voltage loop controller, Gvc(s), to ensure satisfactory system performance. To achieve the desired stability margin, a root locus is plotted using the outer voltage control loop gain (Av), as shown in Figure 6. The frequency of the zero location is selected at w6 = 419 rad/s to obtain satisfactory responses from the controller. Given that the voltage transfer function of a boost converter inherently includes a zero on the right-hand side of the s-plane, stability is highly contingent upon selecting a suitable range for the voltage controller’s gain (Kvc). The stability range for this system is 0 < Kvc < 0.725. To achieve a 5% overshoot and a damping ratio of 0.69, Kvc should be set to 0.0164. The configuration results in a settling time of 0.493 ms and a peak time of 0.369 ms. With this setting for the voltage controller, the system attains a bandwidth of 35 Hz and a phase margin of 84.3 degrees.
Figure 6.
Root locus for varying voltage controller gain, Kvc.
4.2. Contribution of Control Units to Dominant Poles
Dominant poles significantly influence critical performance metrics such as settling time, peak time, percentage overshoot, and system stability. Initially, the dominant poles of the current response are positioned close to the imaginary axis, resulting in a very low damping ratio of 0.151, which indicates a narrow stability margin. As depicted in Figure 7, after applying the current compensator, the dominant poles shift farther from the imaginary axis. This adjustment substantially increases the damping ratio from 0.151 to 0.69, enhancing the system’s stability and response characteristics.
Figure 7.
Locations of dominant poles.
4.3. Comparison with Conventional PID Controller
Figure 8 and Figure 9 illustrate the superior performance of the ACM-based cascaded controller in terms of transient and frequency response in comparison to the conventional PID controller. Specifically, Figure 8 demonstrates that the system utilising the ACM-based controller significantly outperforms the conventional PID controller in terms of convergence speed. The proposed ACM-based controller settles the DC bus voltage to its reference value in 117 ms, significantly faster than the conventional PID controller, which takes 274 ms, demonstrating superior dynamic performance. Figure 9 highlights that the ACM controller’s magnitude and phase responses consistently exceed those of the conventional design across all frequencies, underlining the effectiveness of the ACM-based cascaded controller. The Bode plot shows that the proposed ACM-based controller yields a significantly improved bandwidth of 35 Hz compared to only 14 Hz with the conventional PID controller, indicating better dynamic response and faster disturbance rejection. Table 1 details the system performance metrics for both PID- and ACM-based cascaded controllers, showing that the ACM-based controller significantly reduces rise time and settling time with increased bandwidth.
Figure 8.
Transient response comparison between ACM and PID controllers.
Figure 9.
Frequency response comparison between ACM and PID controllers.
Table 1.
System performance specifications.
5. Simulation Results
The DC MG system shown in Figure 2, along with the control scheme for the DC-DC bidirectional converter shown in Figure 3, is implemented on the MATLAB/Simulink (R2024b) platform. The effectiveness of the proposed ACM-based cascaded controller was assessed by comparing it with performance using a conventional PID controller and terminal sliding mode controller (TSMC), including transient parameters, power quality measurements, and controller performance criteria, such as settling time, voltage regulation, total harmonic distortion (THD), IAE, ITAE, and ISV. The parameters used in this model are detailed in Table 2. The system includes a 1.5 kW solar panel designed to supply a 2 kW load. It is connected to a 50 Ah battery unit, which stores excess energy by charging when the solar panel generates more than demand. Once the battery reaches its charging limit, solar power generation can be moderated by adjusting the operating point to below its maximum power point, ensuring a balance between generation and demand. When the solar panel generates less than the power demand, the battery compensates by discharging to supply additional power to the load. The battery discharges up to a limit; thereafter, to maintain the system balance, non-essential loads can be selectively reduced based on priority. The performance of the controller was evaluated through dynamic analysis, which provides a deeper understanding of the system’s behaviour when load and generation are varied. This controller effectively maintains the DC bus voltage at 380 V, both under normal operating conditions and in response to step changes in load or generation.
Table 2.
System parameters.
5.1. Load Variations
To investigate the impact of load variations on the DC bus voltage, the load is incrementally adjusted between 5% and 80%. The system’s performance is evaluated under various scenarios, including 5%, 25%, 50%, and 80% increases and decreases in load. It is observed that the system maintains stability under all changes in load, with overshoot/undershoot in DC bus voltage tending to increase proportionally with the size of the step change in load. This overshoot is not a major concern and can be optimised for this specific system, where the primary focus is the speed of the controller. Fast controller response is crucial, enabling rapid adjustment to battery operation during disturbances, thus ensuring system stability can be maintained.
Figure 10a illustrates a scenario to observe the small-signal stability where the load increases by 10% at t = 0.5 s, while PV power remains constant at 1.5 kW, as shown in Figure 10b. Under these conditions, the proposed controller stabilises the DC bus voltage at 380 V within 67 ms following the load variation, compared to 152 ms with the conventional PID controller and 100 ms with TSMC, as illustrated in Figure 10c.
Figure 10.
System response under load increase: (a) load power, (b) PV power, and (c) bus voltage.
Furthermore, this method limits DC bus voltage variations up to 0.2 V under steady-state conditions, whereas the conventional method and TSMC experience variations up to 0.3 V and 0.2 V, respectively. FFT analysis of the DC bus voltage reveals that the ACM-based cascaded control scheme offers superior power quality compared to the conventional PID-based scheme and TSMC, with THD reducing from 0.09% to 0.08%. Table 3 summarises the system performance under increasing load in terms of transient parameters, power quality, and numerical values of error-tracking parameters. The proposed controller shows better error-tracking performance than the PID controller and TSMC. In addition, this proposed method yields lower ISV compared to the conventional PID controller and TSMC, indicating lower power consumption. The lower ISV represents less aggressive control input, leading to lower switching and conduction losses in the power converter model. Therefore, the proposed controller enhances overall efficiency and minimises the cost of implementing a controller.
Table 3.
System performance specifications under load increase.
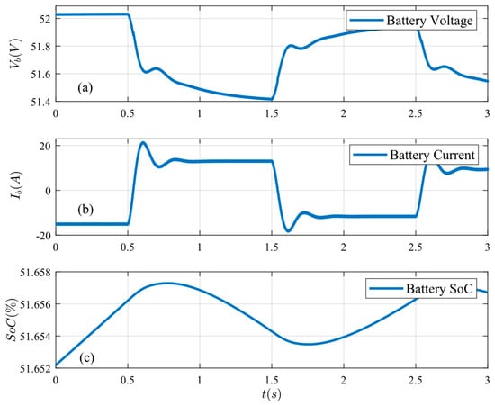
Figure 11 displays the voltage, current, and SoC of the battery as the load increases. Initially, the solar system generates more power than the load requires, allowing the battery to absorb excess power through charging. At t = 0.5 s, the demand increases from 1.4 kW to 1.6 kW, prompting the battery to discharge and provide additional power to the load, thereby maintaining the balance between generation and demand. In this case, the battery voltage and current ripple are 0.005 V and 0.45 A, respectively, at the switching frequency.
Figure 11.
Battery conditions under load increase: (a) battery voltage, (b) battery current, and (c) battery SoC.
Conversely, when the load decreases at t = 0.5 s, the system and battery responses are shown in Figure 12 and Figure 13, respectively. In this scenario, the proposed controller stabilises the DC bus voltage at the reference voltage within 72 ms, while the conventional PID controller and TSMC take 160 ms and 102 ms, respectively, to achieve stabilisation under decreasing load conditions. Initially, demand exceeds generation, causing the SoC to begin discharging until the load changes at t = 0.5 s. After this point, the SoC starts to charge again to achieve a balanced condition between generation and demand.
Figure 12.
System response under load decrease: (a) load power, (b) PV power, and (c) bus voltage.
Figure 13.
Battery conditions under load decrease: (a) battery voltage, (b) battery current, and (c) battery SoC.
5.2. Generation Variations
Changes in solar irradiance, which in turn affect PV power output, are implemented in order to assess the system’s dynamic response to variations in generation. A constant load of 1.5 kW is maintained throughout the period where solar irradiance is varied. Figure 14 and Figure 15 illustrate the impact of these variations on the DC bus voltage and the battery, respectively.
Figure 14.
System response under generation variations: (a) solar irradiance, (b) PV power, and (c) bus voltage.
Figure 15.
Battery conditions under generation variations: (a) battery voltage, (b) battery current, and (c) battery SoC.
Solar irradiance is varied initially from 650 W/m2 to 250 W/m2 at t = 0.5 s, then to 600 W/m2 at t = 1.5 s, and finally to 300 W/m2 at t = 2.5 s, as shown in Figure 14a. Despite these fluctuations, the DC bus voltage remains stable and quickly settles at 380 V, as presented in Figure 14c. Although changes in irradiance result in a large percentage overshoot, they do not affect the overall performance of the controller. The proposed controller settles the DC bus voltage after step-changes in solar irradiance within 201 ms at t = 0.5 s, 200 ms at t = 1.5 s, and 195 ms at t = 2.5 s. This outperforms the conventional PID and TSMC approaches, with settling times at 316 ms, 245 ms, and 216 ms and 265 ms, 260 ms, and 256 ms, respectively. In addition, the ACM-based control ensures 0.05% voltage regulation on the DC bus under steady-state conditions, while the PID controller maintains it at 0.08% and TSMC at 0.21%. The ACM-based method also achieves a THD of 0.12%, significantly lower than the conventional method at 0.14%. Table 4 showcases a comparison among the proposed controller, PID controller, and TSMC, highlighting better performance of the proposed controller in terms of speed, power quality, and error tracking ability. Moreover, the proposed controller shows lower energy consumption in terms of ISV, which is widely used to calculate the control cost.
Table 4.
System performance specifications under generation variation.
The battery’s SoC demonstrates adaptive behaviour to balance power generation and load demand, as shown in Figure 15c. When solar irradiance drops at t = 0.5 s, the battery switches from charging to discharging. At t = 1.5 s, as irradiance increases, the battery starts to charge again because solar power is higher than demand. At t = 2.5 s, with a decrease in irradiance from 500 W/m2 to 300 W/m2, the battery again starts discharging to achieve the balance condition between generation and demand. These dynamic responses confirm that the proposed controller consistently maintains the DC bus voltage effectively and quickly across all scenarios, offering superior power quality compared to conventional methods.
5.3. Temperature Variations
To analyse the effect of climate factors, such as temperature changes, on solar cells, the system was investigated at different temperature levels. The system operates at a constant load of 1.5 kW, and solar irradiance is set to 600 W/m2. Temperature varied from 25 °C to 10 °C at t = 0.5 s, then changed from 10 °C to 25 °C again at t = 1.5 s, and finally to 40 °C at t = 2.5 s, as presented in Figure 16a.
Figure 16.
System response under temperature change: (a) temperature, (b) PV power, and (c) bus voltage.
Figure 16b illustrates the corresponding decrease and increase in solar output power as the temperature rises and falls. Figure 16c shows the DC bus voltage response in this case, indicating that the proposed controller reacts more quickly than the standard PID controller and TSMC. Table 5 further demonstrates the effectiveness of the proposed controller in this scenario. This result indicates that the proposed controller performs satisfactorily and provides better results than the conventional PID controller and TSMC in terms of speed, power quality, error tracking performance, and control cost. Figure 17 illustrates the battery voltage, current, and state of charge, indicating the battery’s rapid response to temperature fluctuations on the solar cell.
Table 5.
System performance specifications under temperature change.
Figure 17.
Battery conditions under temperature change: (a) battery voltage, (b) battery current, and (c) battery SoC.
5.4. Disconnecting Solar Power
Assuming the system is operating at full load, a sudden disconnection of the solar power occurs at t = 0.5 s. The resulting system dynamics are illustrated in Figure 18 and Figure 19. At this moment, the injected current from the solar source drops to zero, as presented in Figure 18b; however, the system remains stable, as shown in Figure 18c. The proposed control approach demonstrates superior performance compared to both the PID controller and the TSMC, as summarised in Table 6. Figure 19 illustrates the voltage, current, and level of charge of the battery, indicating that when the solar power is disconnected, the load is exclusively powered by the battery.
Figure 18.
System response under solar power off: (a) load power, (b) PV current, and (c) bus voltage.
Figure 19.
Battery conditions under solar power off: (a) battery voltage, (b) battery current, and (c) battery SoC.
Table 6.
System performance specifications under disconnecting solar power.
5.5. Worst-Case Scenario
To assess the system’s dynamic performance, consider a scenario involving concurrent load and generation disturbances. At t = 0.5 s, the load changes, followed by a change in solar irradiance at t = 0.52 s. This results in a second disturbance occurring before the DC bus voltage has settled to its reference value, representing a critical and realistic operating condition.
Figure 20 illustrates the load current, generated power, and DC bus voltage, maintaining the voltage limit within a certain range during this worst-case scenario. Figure 21 presents the battery voltage, current, and state of charge, reflecting the battery’s immediate response under this critical scenario. The comparative performance of the three controllers under this critical condition is summarised in Table 7, which indicates a superior performance of the proposed method compared to others.
Figure 20.
System response under critical case: (a) load current, (b) PV current, and (c) bus voltage.
Figure 21.
Battery conditions under critical case: (a) battery voltage, (b) battery current, and (c) battery SoC.
Table 7.
System performance specifications under critical case.
5.6. Sensitivity Analysis
Sensitivity analysis was employed to assess how changes in system parameters affect overall system performance. This analysis yields the robustness of the proposed controller under realistic parameter deviations, such as system load and converter’s inductance variations.
5.6.1. System Loading
The aim is to evaluate the resilience of the proposed controller against realistic load fluctuations, which frequently arise from dynamic operating requirements in practical systems. The sensitivity analysis indicates that the controller sustains satisfactory performance and stability despite abrupt or incremental load variations, hence validating its efficacy in guaranteeing dependable operation under diverse load situations. To observe the impact of system loading on the dominant poles of the DC MG, the system load was varied by 50% from the nominal power, keeping all parameters constant. The pole-zero locations of the entire system, illustrated in Figure 22, reveal that despite these variations, the dominant pole positions remain constant. Although there is a shift in the zero positions, it does not affect the controller’s performance.
Figure 22.
Effect of the dominant pole due to load variations.
5.6.2. Converter Parameters
The aim is to assess the robustness of the proposed controller in the presence of realistic parameter deviations, including slight variations in inductance of the converter that may arise from manufacturing tolerances, ageing, or thermal effects. The sensitivity analysis illustrates that the controller upholds acceptable performance and stability despite minor variations in component values, a scenario frequently encountered in practical implementations. Figure 23 illustrates how variations in the bidirectional converter’s inductor (L2) affect the system’s dominant poles. In this case, L2 is increased from its reference value to 50%. The system’s pole-zero map indicates no impact on the dominant poles, suggesting that the system is less sensitive to inductor variations.
Figure 23.
Effect of the dominant pole due to inductance variations.
6. Conclusions
This paper proposes a new combined control technique including ACM and PI controllers for DC MGs and compares its performance with a conventional PID controller and a TSMC. A comprehensive mathematical and small-signal equivalent model of a DC MG system is derived to evaluate the system’s stability, determining performance metrics in terms of transient, frequency, and controller error performance parameters. Small-signal model analysis demonstrates that the proposed control scheme offers significant improvements over the conventional PID-based control scheme. It achieves a smaller settling time of 117 ms, a higher phase margin of 84 degrees, and a higher bandwidth of 35 Hz, resulting in faster transient responses and satisfactory frequency metrics. In addition, it offers superior power quality and voltage regulation compared to the conventional scheme, with better error tracking performance and lower control cost. The performance of the proposed controller is confirmed through EMT simulation, accounting for variations in load demands and generation. When subjected to load changes, the DC bus voltage stabilises within 67 ms using the suggested control scheme, compared to 152 ms with the conventional PID control scheme and 100 ms with TSMC. Both small-signal and EMT results indicate that the proposed method performs satisfactorily under normal operating conditions and after small-signal disturbances. Sensitivity analysis further reveals that the proposed control scheme’s dominant poles are less affected by load and converter parameter variations.
The suggested control scheme for DC MGs offers a versatile solution addressing small-signal disturbances. Its ability to manage varying load and generation profiles ensures reliability and sustainability in isolated settings, making it suitable for remote communities and offshore industries seeking to replace conventional diesel generation with the integration of DRESs. Implementation of this approach in remote and offshore applications offers the potential for enhanced energy efficiency, lower emissions, reduced operational costs, and increased resilience against power disruptions. Future research should investigate the scalability of such DG MGs, the integration of emerging technologies, and the optimisation of energy management in these applications.
Author Contributions
Conceptualization, A.H., M.N., X.W., E.F., W.H., M.A.H., E.G. and P.A.H.; Methodology, A.H., M.N., X.W., E.F., W.H., M.A.H., E.G. and P.A.H.; Software, A.H., M.N., X.W., E.F., W.H., M.A.H., E.G. and P.A.H.; Validation, A.H., M.N., X.W., E.F., W.H., M.A.H., E.G. and P.A.H.; Formal analysis, A.H., M.N., X.W., E.F., W.H., M.A.H., E.G. and P.A.H.; Investigation, A.H., M.N., X.W., E.F., W.H., M.A.H., E.G. and P.A.H.; Resources, A.H., M.N., X.W., E.F., W.H., M.A.H., E.G. and P.A.H.; Data curation, A.H., M.N., X.W., E.F., W.H., M.A.H., E.G. and P.A.H.; Writing—original draft, A.H., M.N., X.W., E.F., W.H., M.A.H., E.G. and P.A.H.; Writing—review & editing, A.H., M.N., X.W., E.F., W.H., M.A.H., E.G. and P.A.H.; Visualization, A.H., M.N., X.W., E.F., W.H., M.A.H., E.G. and P.A.H.; Supervision, M.N., X.W., E.F., W.H., M.A.H., E.G. and P.A.H.; Project administration, M.N., X.W., E.F., W.H., M.A.H., E.G. and P.A.H.; Funding acquisition, M.N., X.W., E.F., W.H., M.A.H., E.G. and P.A.H. All authors have read and agreed to the published version of the manuscript.
Funding
The authors express gratitude for funding assistance from the Blue Economy Cooperative Research Centre, created and funded by the Australian Government’s CRC Programme, grant number CRC-20180101. The CRC Programme facilitates industry-driven collaborations among industry stakeholders, researchers, and the community.
Data Availability Statement
The original contributions presented in the study are included in the article, further inquiries can be directed to the corresponding author.
Conflicts of Interest
The authors declare no conflict of interest.
Nomenclature
| Symbols | ||
| L | Inductance of the converter | |
| C | Capacitance of the converter | |
| Gid (s) | Transfer function between battery current and duty ratio | |
| Hi | Current feedback parameter | |
| Hv | Voltage feedback parameter | |
| D‘ | Compliment of the duty ratio | |
| wc | Current crossover frequency | |
| wv | Voltage crossover frequency | |
| Gvd (s) | Transfer function between DC bus voltage and duty ratio | |
| D | Duty ratio | |
| Vdc | DC bus voltage | |
| Gic (s) | Transfer function of the ACM controller | |
| Kvc | Gain of the PI controller | |
| RL | Load resistance | |
| Ai | Inner current loop gain | |
| Av | Outer voltage loop gain | |
| Kic | Gain of the ACM controller | |
| Gvc (s) | Transfer function of the PI controller | |
| Abbreviations | ||
| AC | Alternating current | |
| ACM | Average current mode | |
| DC | Direct current | |
| DRES | Distributed renewable energy source | |
| EMT | Electromagnetic transient | |
| ESD | Energy storage device | |
| FFT | Fast Fourier transform | |
| IAE | Integral of absolute error | |
| ISV | Integral of the square value | |
| ITAE | Integral of time multiplied by absolute error | |
| MG | Microgrid | |
| MPPT | Maximum power point tracking algorithm | |
| PID | Proportional-integral-derivative | |
| SoC | State of charge | |
| THD | Total harmonic distortion | |
| TSMC | Terminal sliding mode controller | |
References
- Xu, L.; Guerrero, J.M.; Lashab, A.; Wei, B.; Bazmohammadi, N.; Vasquez, J.C.; Abusorrah, A. A review of DC shipboard microgrids—Part I: Power architectures, energy storage, and power converters. IEEE Trans. Power Electron. 2021, 37, 5155–5172. [Google Scholar] [CrossRef]
- Nassar, W.; Anaya-Lara, O.; Ahmed, K. Coordinating control of an offshore LVDC microgrid based renewable energy resources for voltage regulation and circulating current minimization. Energies 2021, 14, 3384. [Google Scholar] [CrossRef]
- Bhargavi, K.M.; Jayalakshmi, N.S.; Gaonkar, D.N.; Shrivastava, A.; Jadoun, V.K. A comprehensive review on control techniques for power management of isolated DC microgrid system operation. IEEE Access 2021, 9, 32196–32228. [Google Scholar] [CrossRef]
- Jithin, K.; Haridev, P.P.; Mayadevi, N.; Harikumar, R.P.; Mini, V.P. A review on challenges in DC microgrid planning and implementation. J. Mod. Power Syst. Clean Energy 2022, 11, 1375–1395. [Google Scholar] [CrossRef]
- Pires, V.F.; Pires, A.; Cordeiro, A. DC Microgrids: Benefits, Architectures, Perspectives and Challenges. Energies 2023, 16, 1217. [Google Scholar] [CrossRef]
- Saeed, M.H.; Fangzong, W.; Kalwar, B.A.; Iqbal, S. A review on microgrids’ challenges & perspectives. IEEE Access 2021, 9, 166502–166517. [Google Scholar]
- Al-Ismail, F.S. DC microgrid planning, operation, and control: A comprehensive review. IEEE Access 2021, 9, 36154–36172. [Google Scholar] [CrossRef]
- Howlader, A.M.; Matayoshi, H.; Sepasi, S.; Senjyu, T. Design and line fault protection scheme of a DC microgrid based on battery energy storage system. Energies 2018, 11, 1823. [Google Scholar] [CrossRef]
- Yang, Y.; Qin, Y.; Tan, S.-C.; Hui, S.Y.R. Efficient improvement of photovoltaic-battery systems in standalone DC microgrids using a local hierarchical control for the battery system. IEEE Trans. Power Electron. 2019, 34, 10796–10807. [Google Scholar] [CrossRef]
- Xu, Q.; Vafamand, N.; Chen, L.; Dragičević, T.; Xie, L.; Blaabjerg, F. Review on advanced control technologies for bidirectional DC/DC converters in DC microgrids. IEEE J. Emerg. Sel. Top. Power Electron. 2020, 9, 1205–1221. [Google Scholar] [CrossRef]
- Xu, L.; Guerrero, J.M.; Lashab, A.; Wei, B.; Bazmohammadi, N.; Vasquez, J.; Abusorrah, A.M. A review of DC shipboard microgrids—Part II: Control architectures, stability analysis, and protection schemes. IEEE Trans. Power Electron. 2021, 37, 4105–4120. [Google Scholar] [CrossRef]
- Cheng, Z.; Li, Z.; Li, S.; Gao, J.; Si, J.; Das, H.S.; Dong, W. A novel cascaded control to improve stability and inertia of parallel buck-boost converters in DC microgrid. Int. J. Electr. Power Energy Syst. 2020, 119, 105950. [Google Scholar] [CrossRef]
- Su, J.; Li, K.; Li, Y.; Xing, C.; Yu, J. A novel state-of-charge-based droop control for battery energy storage systems to support coordinated operation of DC microgrids. IEEE J. Emerg. Sel. Top. Power Electron. 2022, 11, 312–324. [Google Scholar] [CrossRef]
- Sun, J.; Lin, W.; Hong, M.; Loparo, K.A. Voltage Regulation of DC-microgrid with PV and Battery. IEEE Trans. Smart Grid 2020, 11, 4662–4675. [Google Scholar] [CrossRef]
- Kheradmandi, M.; Hamzeh, M.; Hatziargyriou, N.D. A hybrid power sharing control to enhance the small signal stability in DC microgrids. IEEE Trans. Smart Grid 2022, 13, 1826–1837. [Google Scholar]
- Ravada, B.R.; Tummuru, N.R. Control of a supercapacitor-battery-PV based stand-alone DC-microgrid. IEEE Trans. Energy Convers. 2020, 35, 1268–1277. [Google Scholar] [CrossRef]
- Arunkumar, C.; Manthati, U.B. A Hybrid Controller Assisted Voltage Regulation and Power Splitting Strategy for Battery/Supercapacitor System in Isolated DC Microgrid. IEEE Trans. Energy Convers. 2023, 28, 1544–1553. [Google Scholar]
- Tan, K.T.; Krishnan, S.B.; Chua, A.Y.Z. Modelling and Simulation of Pico-and Nano-Grids for Renewable Energy Integration in a Campus Microgrid. Energies 2024, 18, 67. [Google Scholar] [CrossRef]
- Hossain, A.; Negnevitsky, M.; Wang, X.; Franklin, E.; Hassan, W.; Gray, E. Comparative Study of Different Controllers for Offshore DC Microgrids. In Proceedings of the 2023 IEEE Fifth International Conference on DC Microgrids (ICDCM), Auckland, New Zealand, 15–17 November 2023; pp. 1–6. [Google Scholar]
- Shan, Y.; Hu, J.; Chan, K.W.; Fu, Q.; Guerrero, J.M. Model predictive control of bidirectional DC–DC converters and AC/DC interlinking converters—A new control method for PV-wind-battery microgrids. IEEE Trans. Sustain. Energy 2018, 10, 1823–1833. [Google Scholar] [CrossRef]
- Abadi, S.A.G.K.; Habibi, S.I.; Khalili, T.; Bidram, A. A model predictive control strategy for performance improvement of hybrid energy storage systems in DC microgrids. IEEE Access 2022, 10, 25400–25421. [Google Scholar] [CrossRef]
- Wang, H.; Dong, Y.; He, G.; Song, W. Fixed-Time Backstepping Sliding-Mode Control for Interleaved Boost Converter in DC Microgrids. Energies 2024, 17, 5377. [Google Scholar] [CrossRef]
- Sahbani, S.; Licer, O.; Mahmoudi, H.; Hasnaoui, A.; Kchikach, M. Enhancing Power Quality in Standalone Microgrids Powered by Wind and Battery Systems Using HO Algorithm Based Super Twisting Sliding Mode Controllers. Energies 2024, 17, 6492. [Google Scholar] [CrossRef]
- Hosseinabadi, P.A.; Mekhilef, S.; Pota, H.R.; Kermadi, M. Chattering-free fixed-time robust sliding mode controller for grid-connected inverters under parameter variations. IEEE J. Emerg. Sel. Top. Power Electron. 2023, 12, 579–592. [Google Scholar] [CrossRef]
- Hosseinabadi, P.A.; Pota, H.; Mekhilef, S.; Konstantinou, G.; Negnevitsky, M.; Mohamadian, S. Three-Phase Phase-Locked Loop Based on Terminal Sliding Mode for Grid-Connected Inverters. IEEE Trans. Ind. Electron. 2024, 72, 4776–4787. [Google Scholar] [CrossRef]
- Zeng, Y.; Zhang, Q.; Liu, Y.; Guo, H.; Zhang, F.; You, S. Distributed unified controller design for parallel battery storage system in DC shipboard microgrid. IEEE Trans. Power Syst. 2023, 39, 546–563. [Google Scholar] [CrossRef]
- Lu, S.; Yu, T.; Liu, H.; Zhang, W.; Sui, Y.; Yang, J.; Zhang, L.; Zhou, J.; Wang, H. Research on flexible virtual inertia control method based on the small signal model of DC microgrid. Energies 2022, 15, 8360. [Google Scholar] [CrossRef]
- Hosseinipour, A.; Hojabri, H. Small-signal stability analysis and active damping control of DC microgrids integrated with distributed electric springs. IEEE Trans. Smart Grid 2020, 11, 3737–3747. [Google Scholar] [CrossRef]
- Leng, M.; Sahoo, S.; Blaabjerg, F. Stabilization of DC Microgrids Under Cyber Attacks–Optimal Design and Sensitivity Analysis. IEEE Trans. Smart Grid 2023, 15, 113–123. [Google Scholar] [CrossRef]
- Eberlein, S.; Rudion, K. Small-signal stability modelling, sensitivity analysis and optimization of droop controlled inverters in LV microgrids. Int. J. Electr. Power Energy Syst. 2021, 125, 106404. [Google Scholar] [CrossRef]
- Abd-el-Motaleb, A.; Hamilton, D. Modelling and sensitivity analysis of isolated microgrids. Renew. Sustain. Energy Rev. 2015, 47, 416–426. [Google Scholar] [CrossRef]
- Ang, K.H.; Chong, G.; Li, Y. PID control system analysis, design, and technology. IEEE Trans. Control Syst. Technol. 2005, 13, 559–576. [Google Scholar]
- Erickson, R.W.; Maksimović, D. Fundamentals of Power Electronics, 3rd ed.; Springer: Berlin, Germany, 2020. [Google Scholar]
- Kotra, S.; Mishra, M.K. Design and stability analysis of DC microgrid with hybrid energy storage system. IEEE Trans. Sustain. Energy 2019, 10, 1603–1612. [Google Scholar] [CrossRef]
- Hossain, A.; Negnevitsky, M.; Wang, X.; Franklin, E.; Hassan, W.; Hossain, M.A.; Gray, E.; Alinaghi Hosseinabadi, P. Small-signal Stability Analysis of Offshore DC Microgrids. In Proceedings of the 2023 IEEE International Conference on Energy Technologies for Future Grids (ETFG), Wollongong, Australia, 3–6 December 2023; pp. 1–6. [Google Scholar]
Disclaimer/Publisher’s Note: The statements, opinions and data contained in all publications are solely those of the individual author(s) and contributor(s) and not of MDPI and/or the editor(s). MDPI and/or the editor(s) disclaim responsibility for any injury to people or property resulting from any ideas, methods, instructions or products referred to in the content. |
© 2025 by the authors. Licensee MDPI, Basel, Switzerland. This article is an open access article distributed under the terms and conditions of the Creative Commons Attribution (CC BY) license (https://creativecommons.org/licenses/by/4.0/).






















