Next Article in Journal
Optimizing Lightweight Recurrent Networks for Solar Forecasting in TinyML: Modified Metaheuristics and Legal Implications
Previous Article in Journal
Optimizing Heat Pump Control in an NZEB via Model Predictive Control and Building Simulation
error_outline You can access the new MDPI.com website here. Explore and share your feedback with us.
 
 
Font Type:
Arial Georgia Verdana
Font Size:
Aa Aa Aa
Line Spacing:
Column Width:
Background:
Article

Effect of Injector Needle Tip Shape on Jet Flow for Pelton Turbine

1
Yajiang Clean Energy Science and Technology Research (Beijing) Co., Ltd., Beijing 100048, China
2
State Key Laboratory of Hydroscience and Engineering, Department of Energy and Power Engineering, Tsinghua University, Beijing 100084, China
3
Dongfang Electric Machinery Co., Ltd., Deyang 618000, China
*
Author to whom correspondence should be addressed.
Energies 2025, 18(1), 102; https://doi.org/10.3390/en18010102
Submission received: 21 November 2024 / Revised: 20 December 2024 / Accepted: 28 December 2024 / Published: 30 December 2024
(This article belongs to the Section K: State-of-the-Art Energy Related Technologies)

Abstract

The Pelton turbine has been widely applied for the advantages of its simple structure, flexible mass flow rate, wide range of applicable heads and high efficiency. The nozzle and needle are a core part of the Pelton turbine injector. In this paper, the VOF (Volume of Fluid) model was used to simulate the jet flow behaviors and hydraulic performance for a Pelton injector with a needle tip with different breakage losses. Three types of needle tip breakage loss combined with normal needle tip were selected for numerical calculation and analysis, focusing on the influence of needle tip on the high-speed jet flow characteristics. An injector with normal needle tip hydraulic performance is compared with the model test. Finally, the injector hydraulic performance and the jet flow behavior changes with the needle tip shape were comprehensively analyzed. Results show that the needle tip shape almost does not affect the flow rate; when the tip breakage loss is larger than 0.1 of nozzle diameter, the jet efficiency will decrease rapidly and the jet will diffuse rapidly after outflow from the injector. The investigation provides a basis for the operation, maintenance and stability of the Pelton turbine.

1. Introduction

Hydropower is one of the most important renewable energy sources, accounting for about 20% of global power generation. However, utilization has not yet reached its full potential [1]. Pelton turbines have the advantages of simple structure, high efficiency, flexible flow rate due to multiple nozzles [2] and a wide range of applicable heads from 300 m to 3000 m, so they are widely applied. The principle of the Pelton turbine is to use water’s kinetic energy. The water flow accelerates in the injector, and then forms a high-speed jet, which impacts the runner bucket and finally generates electricity. A Pelton turbine is usually composed of ring pipe, injector and runner, and each part will affect the overall turbine efficiency. As a flow component, the structure of the injector is an important factor affecting the formation of the jet, which in turn affects the overall performance of the turbine. The nozzle and needle are the core part of the injector. They are the main device to control the jet flow, and the Pelton turbine flow rate affects the turbine efficiency, although their structures are simple [3,4,5].
So far, various studies have been carried out on injectors to improve the performance of Pelton turbines. Stivala et al. [6] analyzed the 2D nozzle models with different nozzle angles by CFD, and compared the results with the 3D models, then obtained the nozzle jet velocity distribution at different angles. Jost et al. [3] studied the flow energy loss in the turbine injector, and demonstrated the negative correlation between the secondary flow velocity in the jet and the turbine efficiency. Xiao et al. [7,8,9,10] used the VOF method combined with the Lagrangian particle tracing method to study the sediment erosion of the injector, which provides important engineering assistance for optimizing the injector to reduce erosion. Benzon and Petley et al. [11,12] performed a parametric optimization of the needle angle and proposed an optimal nozzle angle to reduce loss. Jung et al. [13] analyzed the effect of needle eccentricity on the jet flow, and found that the needle eccentricity will lead to jet diffusion under low-rate conditions and significantly increase the injector loss, with the pressure deviation caused by eccentricity and the imbalance of velocity being the main reasons for the jet diffusion.
At present, most of the needle tips in the study are complete cones. In some small- and medium-sized Pelton turbine units, the needle tip is connected with the needle body by thread or assembly. During the operation of the unit, the needle tip body often easily falls off due to the high-speed jet flow here. Some units do not even install the needle tip body, as shown in Figure 1a,b. In addition, in actual operation, the sediment particles in the water flow will erode the nozzle wall and needle tip, as shown in Figure 1c, and soon the tip will be eroded into a blunt head. As an important part of the injector, the hydraulic performance and the flow-out jet flow behavior will inevitably be affected by the needle tip shape.
In this paper, the VOF model was used to simulate the jet flow behaviors and hydraulic performance for a Pelton injector with different needle tip breakage loss. Three types of needle tip breakage loss combined with the normal case were selected for analysis, focusing on the influence of needle tip on the high-speed jet flow characteristics. The injector with normal needle tip hydraulic performance is compared with the model test. Finally, the injector hydraulic performance and the jet flow behavior changes with the needle tip shape were comprehensively analyzed. Interesting results show that the needle tip breakage loss almost does not affect the flow rate, and when the tip breakage loss is larger than a certain degree, the jet efficiency will decrease rapidly and the jet will diffuse rapidly after outflowing from the injector. The investigation provides a basis for the operation, maintenance and stability of Pelton turbines.

2. Numerical Model and Mathematical Method

2.1. Computational Domain and Cases Setting

A Pelton turbine injector was investigated in our former work, and the hydraulic performance of the injector with a model runner bucket was also tested [7]. The computational domains including inlet pipe, injector and air domain, are shown in Figure 2. The radius of the nozzle outlet is defined as r0, and the diameter of nozzle outlet is defined as d0. The stroke ratio (sn) defined as SN/d0 is often used to describe the injector opening, as presented in Figure 3a, where SN is the needle travel distance. In this paper, the injector opening sn is 0.56.
An eroded nozzle and needle tip shape is generally irregular and complex, and after the unit turbine needle tip falls off, there will still be a thread structure. For simulation, the tip shape is simplified to a cone, so there will be a circular section perpendicular to the center line of the needle. In order to characterize the degree of the needle tip breakage loss, or cutting off, a dimensionless parameter cut was defined. The cutting amount of the needle tip is cut = L/d0, where L is the distance from the needle tip to the cutting surface. cut 0.1 means cut = L/d0 = 0.1. The breakage or erosion of the needle tip is generally small. The proportions of needle tip loss analyzed in this paper were settled at 0.1, 0.15, 0.2, 0.25 and 0.3 and compared with the case with full needle tip integrity. In order to analyze the injector wall axial forces caused by flow, those walls were named. As shown in Figure 3a,b, the light red nozzle tip wall is named noz-tip, the deep red needle tip is named need-tip and the cutting of the needle tip section is named need-cut. When cut = 0, the need-cut wall does not exist. And as shown in Figure 3c, three cross-sectional positions named S1, S2 and S3 are set to monitor the jet flow behavior, for which the distance from the nozzle tip downstream is d0, 2d0 and 3d0, respectively.

2.2. Numerical Mesh

In order to verify the mesh independence, five different meshes for the normal needle tip are generated. The simulation of the injector is carried out and the predicted corresponding efficiency is obtained. Figure 4 shows the mesh independence study of the efficiency. For the five different node numbers, when larger than 1.8 million, the efficiency difference is relatively small, and the difference between the results of 3.3 million nodes and 3.9 million nodes is less than 0.1%. Considering the accuracy and calculation resources available, the number of 3.3 million nodes shown in the red circle is finally selected for simulation [15].
The mesh of different cut is shown in Figure 5, and the downstream mesh of the need-cut section was refined along the radial direction. The injector mesh was composed of hexahedrons, tetrahedrons and prisms. The mesh at the injector walls is set to a locally dense boundary layer. In order to capture the air–water interface, the structured mesh was adopted for the air-jet domain. The needle tip and air–water interface domain adopted the refinement mesh, which allowed a more accurate prediction of the water–air interface before entering the rotating bucket domain, as show in Figure 5a. The final mesh layout of the neddle tip under different cut conditions is shown in Figure 5b–e.

2.3. Numerical Scheme and Boundary Conditions

The software used for the numerical calculations is ANSYS Fluent 2021 R1. The VOF model and the SST (The shear stress transport) k-ω turbulence model was used for the water and air two-phase flow. Regarding the boundary conditions, the inlet was set as “total pressure” to match the operating head. The outlet is a free jet, so the “pressure outlet” was set as zero. At the injector walls, the non-slip wall condition was imposed. Unsteady simulation with the time step of 5 × 10−5 s is used.

2.4. Model Test Verification

The model test is carried out on the DF300 Pelton turbine model test rig system of Dongfang Electric Machinery Co., Ltd. (Deyang, China), and the parameters and design of the test system meet the IEC 60193 standards. The maximum rotating speed of the test system is 2500 rpm, the maximum flow rate is 0.3 m3/s, the maximum power of the dynamometer is 500 kW, and the comprehensive efficiency test error of the test rig is ±0.25%. Figure 6 shows the test rig system. The model test used a single injector and changed the stroke ratio. The experiment and predicted results with the error of the model turbine injector without tip cut at different opening sn are shown in Figure 7. The predicted discharge is in good agreement with the experimental results.

3. Analysis of the Two-Phase Flow Behavior

In this section, simulation is carried out for the injector with different needle tip cut. The influence of the needle tip breakage loss on the injector hydro performance is described. The water–air interface under different cut values is then analyzed. Finally, the influence of cut on the internal flow characteristics and jet quality is analyzed, so as to explain the influence mechanism of needle tip breakage loss on hydraulic efficiency and put forward an acceptable cut range.

3.1. Injector Hydraulic Performance and Axial Force

The jet efficiency is defined as the total pressure where three times the nozzle diameter downstream of the nozzle outlet divided by the total pressure at the pipe inlet, and is calculated as follows:
η = PtS3/Ptin × 100%
Figure 8 shows the jet efficiency under different tip cut, with the efficiency being the average over a period of time. It shown that, under the same opening of 0.56, the efficiency decreases as the cut increases. As the needle tip cutting off increases, the efficiency of the injector decreases, and the greater the nozzle tip is cut, the faster the efficiency of the injector decreases. When cut is small, the reduction in jet efficiency is minimal. Comparing the complete needle tip with cut = 0.1, the efficiency only decreases by 0.02%, less than 0.1%. When tip cut increases to the range of 0.1 to 0.2, the efficiency decreases further by an additional 0.08%. However, when cut increases to the range of 0.2 to 0.3, the efficiency drops more significantly. Comparing the complete needle tip with cut = 0.3, the efficiency decreases by 0.41%, a relative increase of 3.7 times, indicating a substantial increase in hydraulic losses.
Overall, the hydraulic loss is related to the tip cut in a positive correlation. When the cut is small, the reduction in jet efficiency is limited and has minimal impact on the jet performance. This suggests that as long as the actual needle tip body, when the tip body is connected to the needle by threaded structures, remains below cut = 0.1, even if the needle tip body detaches, the reduction in injector efficiency is not significant. However, when the needle tip cut is larger, the jet efficiency is significantly affected. In summary, for medium- and small-scale Pelton turbines, the needle tip cut-off length should be limited less than 0.1. Additionally, for eroded needle tips, efficiency will only noticeably decrease after the needle tip loss reaches a certain length, rather than a sharp decline in efficiency once the needle tip is curtailed.
Based on the predicted results of the different needle tip cut for the injector, the axial forces on different walls caused by flow are contained, as shown in Table 1. The jet flow direction is settled as the positive direction.
As shown in the table, with the increase in tip cut, the axial force acting on the need-tip decreased a little. But the change is very small, with a magnitude of approximately 0.1%. The force on the noz-tip almost unchanged, and this torus wall is always impacted by water flow. The force on the need-cut increases due to the enlargement of the cross-sectional wall area, while the value remains small. In summary, the needle tip cut affects the axial forces on the needle tip and the needle cut wall slightly, and the force on nozzle tip wall changes little. Therefore, the needle tip shape is unlikely to cause significant structural impacts on the injector.

3.2. Jet Flow Patterns Affected by the Needle Tip Cut

The jet flow from the injector will affect the turbine efficiency. This section analyzes the jet flow patterns at the same needle opening of sn = 0.56 with different tip cut values. The predicted jet flow pattern including jet diameter variations and flow behaviors with different tip cut values was analyzed, as was the jet shape. Figure 9 shows the water–air interface with different tip cut values, where the horizontal and vertical coordinates represent the dimensionless positions corresponding to the water phase volume fraction of 0.5.
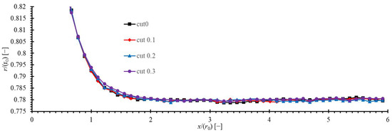
Jet development in air can be divided into two stages. Initially, it concentrates, and then begins to diverge. The shapes of the water–air interface for different tips at cut = 0 and 0.1 show little difference. However, when the value of cut increases to the range of 0.2 to 0.3, the water–air interface moves away from the central axis, resulting in an increase in the jet diameter, meaning the jet expands significantly, which leads to the efficiency decreasing.
Figure 10 shows the volume fraction of the jet on the axial plane. As the tip cut increases, the air appears on the needle cut surface downstream. This is mainly because when water is ejected from the injector, a part of the air is retained here to form bubbles. Due to the influence of the bubbles, the jet diameter in the contraction section expands compared with a normal needle tip. Figure 11 illustrates the injector outflow velocity on the axial plane. A low-velocity zone exists in the need-cut section downstream. Due to the inertia of the water jet, this low-velocity zone largely overlaps with the bubble formation region, and the boundary roughly follows the profile of the complete needle tip. Meanwhile, the low-velocity zone near the jet center gradually increases as the tip cut increases.
Figure 12 show the total pressure on the injector axial plane. When the cut = 0, a low-pressure region exists downstream of the needle tip, which is caused by the boundary layer effect, and continues to develop downstream, leading to a lower pressure at the jet center. As the tip cut increases, the needle tip breakage region is also a low-pressure zone, and this low-pressure region extends further downstream. Additionally, the radial size of the low-pressure region increases with the tip cut increases. When the cut increases to 0.1, there is no significant change in the jet internal flow characteristics. Meanwhile, as the cut increases, the jet contraction section will expand significantly, the needle tip downstream low-velocity zone increases, the isobaric surfaces shift downstream and the low-pressure region increases in radial size and extends further downstream.

3.3. Mechanism for the Injector Jet Flow Energy Loss

Figure 13 shows the variation of the jet axial velocity along the radial distribution on three different sections with different tip cut values. The vertical axis represents the dimensionless jet radial, and the horizontal axis represents the jet velocity. In this figure, on the same jet section, the flow velocity on the jet axis line is relatively low. Along the jet section downstream, the flow velocity on the jet axis line gradually increases, and the low-velocity region in the radial direction of the jet will increase. Inside the jet, the high-speed water jet exerts a drag force on the surrounding low-velocity zone due to the speed difference, and the difference tends to gradually decrease.
All three sections can be divided into a low-speed zone where the velocity gradually increases along the radial direction, a mainstream zone where the velocity is almost constant with high speed and a water–air interface area where the velocity decreases rapidly. Along the S1 to S3 section, the flow velocity on the jet center gradually increases, and the low-speed area on the radial direction also increases gradually. The main flow velocity of the S2 section is basically the same as that of the S3 section, while the S1 section is slightly smaller. With different tip cut values, the jet velocity in the mainstream area and the water–air interface is basically the same. For the low-speed zone, the velocity of the needle tip with cut = 0.1 is basically the same as that of a normal needle tip. Comparing the cases of tip cut = 0.1, 0.2, 0.3, it shows that in most low-speed areas, the radial scales within the 0.1 r0 of the jet and the flow velocity decreases with the increase in tip cutoff.
At cases of tip cut = 0.2, 0.3, bubbles appear on the needle cut downstream, and the jet axis center velocity is different from that of cut = 0, as shown in Figure 13a. The S1 section is close to the needle tip, in which the jet center velocity is not the minimum, and the minimum value appears at the jet radial position of about 0.02 r0, as shown in Figure 13b. On the S2 and S3 sections, the jet center velocity for the cut = 0.2 case is higher than that of cut = 0, and the jet velocity is almost the same at the 0.04 r0 radial position, and then it becomes lower with the jet radial increase, as shown in Figure 13c,d. As shown in Figure 13a, at the same jet radius, the jet velocity increases gradually from S1 to S3. For all four cases, the jet center velocity is the minimal on cut = 0.3 case on those three sections.
Figure 14 depicts the jet projection velocity on each section. It shows that when cut = 0, at the S1 section, the low-speed jet area is still not fully developed yet, and the jet center part velocity is significantly lower. The jet low-speed range is diamond-shaped, and it gradually becomes larger along the flow direction, as shown in Figure 14a–c. The jet projected velocity on each section is almost symmetrical according to the jet center. Comparing the case of cut = 0.3, the jet center low-speed range is much larger than that of case cut = 0, which explains why its efficiency becomes lower. Figure 14d–f shows that the jet low-speed area center also deviates from the jet center.
Figure 15 shows the change in bubble shape in the downstream of the need-cut with time at case cut 0.3. For the largest needle tip cut case, the volume of the bubble is the largest. The big bubble surrounded by a high-speed water jet, the injector outflow air and water jet behavior will be affected by the bubble with time. All of those four cases are settled by unsteady simulation, and the result shows that the bubble shape changed with time and its asymmetry with jet center for cases cut 0.2 and cut 0.3. This is the reason the jet low-speed area center deviates from the jet center.
The predicted result shown that, with tip cut increase, the injector jet efficiency decreases. The main reason is that the more the tip cut increases, the need-cut section becomes bigger and bubbles and vortices appear downstream. The tip cut has little influence on the flow rate and the force of the needle caused by flow, which is less than 0.1%. With the increase in the tip cut, the jet contraction section diameter expands, the jet radius increases and the jet center velocity decreases. When the tip cut is larger than 0.2d0, the air downstream of the need-cut section is intercepted by the water jet, which affects the jet and air flow. At the need-cut section downstream, the water flow forms a vortex with air, and the cut needle tip area is covered by the bubble. Affected by the vortex, the need-cut downstream low-speed and low-pressure area increases and the center of the low-speed area deviates from the jet center. The asymmetry jet with bubble decreases the jet quality, and the injector jet efficiency loss increases significantly.

4. Conclusions

This paper simulated injector jet flow at four different needle tip cut cases. The relationship between the needle tip cut and the jet efficiency was studied, and the reasons for the increase in jet hydraulic loss were analyzed. The main conclusions are summarized as follows:
(1) The degree of needle tip breakage off has a quadratic relationship with the efficiency loss of the injector jet. With the increase in the tip cut, the efficiency of the injector jet gradually decreases. Meanwhile, the jet efficiency decreases slightly when tip cut is less than 0.1d0, about 0.02%. When the tip cut reaches 0.3d0, the hydraulic efficiency decreases by 0.41%, a relative increase of 3.7 times. The tip cut has little influence on the injector flow rate or the force of the nozzle and needle caused by flow.
(2) The predicted jet water–air interface does not change a lot from tip cut 0 to cut 0.3. When the tip cut is within 0.1, the jet diameter and jet velocity are almost the same as cut 0. When the tip cut is larger than 0.2d0, there will be bubble in the downstream of the need-cut section due to the air trapped by the water jet. Affected by the bubble, the need-cut downstream low-speed area increases, and the low-speed area center deviates from the jet center. The asymmetry of the jet with the bubble decreases the jet quality, and the injector jet efficiency loss increases significantly.
Different needle tip breakage losses have different effects on the jet hydraulic efficiency. Excessive breakage loss will lead to the bubbles in the need-cut section downstream, which seriously decreases the jet quality and injector jet efficiency. The results of this study can provide a reference for ensuring the injector jet efficiency. In practical engineering applications, the specific area of the needle tip can be strengthened or periodically skidded to control the impact of mechanical damage on turbine efficiency.

Author Contributions

C.Z. and C.W. conceived the idea and study design; Q.T. performed the simulations and prepared the manuscript; Q.L. and Y.Z. were in charge of data analysis and supervision; Y.X. conceived the idea and took part in the study design and supervision; Y.B. performed the literature review and the writing; Z.W. and X.L. provided some funding and data analysis; H.Z. searched the literature, collected data and performed the writing. All authors have read and agreed to the published version of the manuscript.

Funding

The National Natural Science Foundation of China (Nos. 52279088, 42461144207), the China Three Gorges Corporation Science and Technology Project (No. SXXZ/0416) and the Research Fund Program of State key Laboratory of Hydroscience and Engineering (sklhse-TD-2024-D04, sklhse-2024-E-02) are gratefully acknowledged for supporting the present work.

Data Availability Statement

The original contributions presented in the study are included in the article, further inquiries can be directed to the corresponding author.

Conflicts of Interest

The authors declare no conflicts of interest.

References

  1. Sun, X.; Wang, X.; Liu, L.; Fu, R. Development and present situation of hydropower in China. Water Policy 2019, 21, 565–581. [Google Scholar] [CrossRef]
  2. Bernhard, S. On the Water Jet Quality at Part-Load Operation of Pelton turbines. J. Phys. Conf. Ser. 2024, 2752, 12164. [Google Scholar]
  3. Jošt, D.; Škerlavaj, A.; Pirnat, V.; Morgut, M.; Nobile, E. Numerical prediction of efficiency and cavitation for a Pelton turbine. In IOP Conference Series: Earth and Environmental Science; IOP Publishing: Bristol, UK, 2019; Volume 240, p. 062033. [Google Scholar]
  4. Bernhard, S. Effect of inflow disturbances in Pelton turbine distributor lines on the water jet quality. Int. J. Multiph. Flow 2024, 174, 104786. [Google Scholar]
  5. Staubli, T.; Abgottspon, A.; Weibel, P.; Bissel, C.; Parkinson, E.; Leduc, J.; Leboeuf, F. Jet Quality and Pelton Efficiency; Hydro: Lyon, France, 2009. [Google Scholar]
  6. Stivala, D.; Rossi, M.; Renzi, M. Velocity profiles in a water jet of a Pelton nozzle: CFD simulations on both 2D and 3D geometries. In Proceedings of the IOP Conference Series: Earth and Environmental Science (21–26 March 2021); IOP publishing: Bristol, UK, 2021; Volume 774, p. 012106. [Google Scholar]
  7. Liu, J.; Zhu, Y.; Liang, Q.; Xiao, Y.; Liu, Z.; Li, H.; Ye, J.; Yang, N.; Deng, H.; Du, Q. Analysis of Sediment Erosion in Pelton Nozzles and Needles Affected by Particle Size. Energies 2024, 17, 1635. [Google Scholar] [CrossRef]
  8. Guo, B.; Xiao, Y.; Rai, A.K.; Zhang, J.; Liang, Q. Sediment-laden flow and erosion modeling in a Pelton turbine injector. Renew. Energy 2020, 162, 30–42. [Google Scholar] [CrossRef]
  9. Guo, B.; Xiao, Y.; Rai, A.K.; Liang, Q.; Liu, J. Analysis of the air-water-sediment flow behavior in Pelton buckets using a Eulerian-Lagrangian approach. Energy 2021, 218, 119522. [Google Scholar] [CrossRef]
  10. Xiao, Y.; Guo, B.; Rai, A.; Liang, Q.; Liu, J.; Zhang, J. Analysis of hydro-abrasive erosion in Pelton buckets using a Eulerian-Lagrangian approach. Renew. Energy 2022, 197, 472–485. [Google Scholar] [CrossRef]
  11. Petley, S.; Židonis, A.; Panagiotopoulos, A.; Benzon, D.; Aggidis, G.A.; Anagnostopoulos, J.S.; Papantonis, D.E. Out with the old, in with the new: Pelton hydro turbine performance influence utilizing three different injector geometries. J. Fluids Eng. 2019, 141, 081103. [Google Scholar] [CrossRef]
  12. Benzon, D.; Židonis, A.; Panagiotopoulos, A.; Aggidis, G.A.; Anagnostopoulos, J.S.; Papantonis, D.E. Impulse turbine injector design improvement using computational fluid dynamics. J. Fluids Eng. 2015, 137, 1–9. [Google Scholar] [CrossRef]
  13. Jung, I.H.; Kim, Y.S.; Shin, D.H.; Chung, J.T.; Shin, Y. Influence of spear needle eccentricity on jet quality in micro Pelton turbine for power generation. Energy 2019, 175, 58–65. [Google Scholar] [CrossRef]
  14. Felix, D. Experimental Investigation on Suspended Sediment, Hydro-Abrasive Erosion and Efficiency Reductions of Coated Pelton Turbines; ETH: Zurich, Switzerland, 2017; Diss. 24145. [Google Scholar]
  15. Celik, I.B.; Ghia, U.; Roache, P.J.; Freitas, C.J. Procedure for Estimation and Reporting of Uncertainty Due to Discretization in CFD Applications. J. Fluids Eng. 2008, 130, 78001. [Google Scholar]
Figure 1. Part of some Pelton turbine units’ needle tip: (a) injector without needle tip body; (b) injector with cut needle tip; (c) eroded needle tip (Felix 2017) [14].
Figure 1. Part of some Pelton turbine units’ needle tip: (a) injector without needle tip body; (b) injector with cut needle tip; (c) eroded needle tip (Felix 2017) [14].
Energies 18 00102 g001
Figure 2. Computational domains and the profiles for analysis.
Figure 2. Computational domains and the profiles for analysis.
Energies 18 00102 g002
Figure 3. Schematic diagrams of the injector: (a) diagram of the needle tip cutoff; (b) model and the name of the nozzle and needle walls; (c) schematic of the monitoring jet sections.
Figure 3. Schematic diagrams of the injector: (a) diagram of the needle tip cutoff; (b) model and the name of the nozzle and needle walls; (c) schematic of the monitoring jet sections.
Energies 18 00102 g003
Figure 4. The injector mesh independence validation for predicted efficiency.
Figure 4. The injector mesh independence validation for predicted efficiency.
Energies 18 00102 g004
Figure 5. The Injector mesh for the computation with different tip cuts: (a) overall mesh layout of injector; (b) tip of cut 0; (c) tip of cut 0.1; (d) tip of cut 0.2; (e) tip of cut 0.3.
Figure 5. The Injector mesh for the computation with different tip cuts: (a) overall mesh layout of injector; (b) tip of cut 0; (c) tip of cut 0.1; (d) tip of cut 0.2; (e) tip of cut 0.3.
Energies 18 00102 g005
Figure 6. The DF300 Pelton turbine test rig system.
Figure 6. The DF300 Pelton turbine test rig system.
Energies 18 00102 g006
Figure 7. The experimental and predicted injector discharge with error at different nozzle openings.
Figure 7. The experimental and predicted injector discharge with error at different nozzle openings.
Energies 18 00102 g007
Figure 8. Hydraulic performance of the injector jet with different needle tip cut.
Figure 8. Hydraulic performance of the injector jet with different needle tip cut.
Energies 18 00102 g008
Figure 9. The predicted jet diameter variations with different tip cut values.
Figure 9. The predicted jet diameter variations with different tip cut values.
Energies 18 00102 g009
Figure 10. Water volume fraction at different tip cut: (a) cut 0; (b) cut 0.1; (c) cut 0.2; (d) cut 0.3.
Figure 10. Water volume fraction at different tip cut: (a) cut 0; (b) cut 0.1; (c) cut 0.2; (d) cut 0.3.
Energies 18 00102 g010
Figure 11. Jet flow velocity at different tip cut: (a) cut 0; (b) cut 0.1; (c) cut 0.2; (d) cut 0.3.
Figure 11. Jet flow velocity at different tip cut: (a) cut 0; (b) cut 0.1; (c) cut 0.2; (d) cut 0.3.
Energies 18 00102 g011
Figure 12. Jet flow total pressure at different needle tip cut values: (a) cut 0; (b) cut 0.1; (c) cut 0.2; (d) cut 0.3.
Figure 12. Jet flow total pressure at different needle tip cut values: (a) cut 0; (b) cut 0.1; (c) cut 0.2; (d) cut 0.3.
Energies 18 00102 g012
Figure 13. Jet velocity variation on three sections with different tip cut: (a) all 3 sections; (b) S1 section; (c) S2 section; (d) S3 section.
Figure 13. Jet velocity variation on three sections with different tip cut: (a) all 3 sections; (b) S1 section; (c) S2 section; (d) S3 section.
Energies 18 00102 g013
Figure 14. Jet flow patterns on three sections with tip cut 0 and 0.3: (a) S1 of cut 0; (b) S2 of cut 0; (c) S3 of cut 0; (d) S1 of cut 0.3; (e) S2 of cut 0.3; (f) S3 of cut 0.3.
Figure 14. Jet flow patterns on three sections with tip cut 0 and 0.3: (a) S1 of cut 0; (b) S2 of cut 0; (c) S3 of cut 0; (d) S1 of cut 0.3; (e) S2 of cut 0.3; (f) S3 of cut 0.3.
Energies 18 00102 g014
Figure 15. Needle tip bubble at different time with cut 0.3: (a) t = 0.11 s, (b) t = 0.12 s.
Figure 15. Needle tip bubble at different time with cut 0.3: (a) t = 0.11 s, (b) t = 0.12 s.
Energies 18 00102 g015
Table 1. Axial forces of the injector walls with different tip cut.
Table 1. Axial forces of the injector walls with different tip cut.
Cut (Unit)00.10.150.20.250.3
FNeed-tip (N)−2212−2212−2212−2211−2211−2210
FNoz-tip (N)801180118011801180118011
FNeed-cut (N) −5−11−19−28−40
Disclaimer/Publisher’s Note: The statements, opinions and data contained in all publications are solely those of the individual author(s) and contributor(s) and not of MDPI and/or the editor(s). MDPI and/or the editor(s) disclaim responsibility for any injury to people or property resulting from any ideas, methods, instructions or products referred to in the content.

Share and Cite

MDPI and ACS Style

Zhang, C.; Wang, C.; Tian, Q.; Liang, Q.; Zhu, Y.; Xiao, Y.; Bai, Y.; Wang, Z.; Zhou, H.; Luo, X. Effect of Injector Needle Tip Shape on Jet Flow for Pelton Turbine. Energies 2025, 18, 102. https://doi.org/10.3390/en18010102

AMA Style

Zhang C, Wang C, Tian Q, Liang Q, Zhu Y, Xiao Y, Bai Y, Wang Z, Zhou H, Luo X. Effect of Injector Needle Tip Shape on Jet Flow for Pelton Turbine. Energies. 2025; 18(1):102. https://doi.org/10.3390/en18010102

Chicago/Turabian Style

Zhang, Chun, Chao Wang, Qianhe Tian, Quanwei Liang, Yilin Zhu, Yexiang Xiao, Yong Bai, Zhaoning Wang, Hengte Zhou, and Xianwu Luo. 2025. "Effect of Injector Needle Tip Shape on Jet Flow for Pelton Turbine" Energies 18, no. 1: 102. https://doi.org/10.3390/en18010102

APA Style

Zhang, C., Wang, C., Tian, Q., Liang, Q., Zhu, Y., Xiao, Y., Bai, Y., Wang, Z., Zhou, H., & Luo, X. (2025). Effect of Injector Needle Tip Shape on Jet Flow for Pelton Turbine. Energies, 18(1), 102. https://doi.org/10.3390/en18010102

Note that from the first issue of 2016, this journal uses article numbers instead of page numbers. See further details here.

Article Metrics

Back to TopTop