Analysis of the Economic Soundness and Viability of Migrating from Net Billing to Net Metering Using Energy Cooperatives
Abstract
1. Introduction
- The limitation on the size of a single cooperative of up to 1000 members has been lifted,
- members can now also produce biomethane,
- a rule was introduced, effective until the end of 2025, lowering the requirement to cover the cooperative’s consumption demand from its own RES from 70% to 40%; from 2026 onward, 70% coverage will be required again.
2. Background: Description of the Net Metering System in Poland
- Data reflecting the actual consumption and generation of consumers and prosumers forming the energy cooperatives described in the article “Determinants of Energy Cooperatives’ Development in Rural Areas—Evidence from Poland” [14] was used for modeling. This approach makes it possible to continue the research of the authors’ team to obtain a complementary spectrum of results that includes new solutions of citizens’ associations operating in market practice.
- Due to the implementation practice of civic energy development and the most common solutions based on photovoltaic energy sources, the discussion and supply analysis were limited to this type of generation sources.
- The horizon of the analysis extends to 2045, based on the effective lifespan of the generation technology used, which guarantees a generation efficiency of approx. 80% within 20–25 years of installation. Two scenarios were considered in the analyses. The first assumes a theoretical zero-efficiency loss of photovoltaic modules as a function of time, and the second assumes an efficiency loss of 0.5% per year—which is confirmed by the technical parameters declared by photovoltaic-panel manufacturers [34,35,36,37,38].
- Selling prices of surplus energy in the wholesale market for the net billing model are the result of a separate modeling process based on fundamental analysis. Price path projections are built on the basis of the bottom-up model [39] mapping the generation structure on a daily hourly basis for each hour of each day of each year in the period analyzed. For each hour, a generation stack is constructed to complete the projected level of power and energy demand. The generation stack reflects all available generation and reduction capacities and cross-border exchanges, and is constructed taking into account the merit order. The construction of the stack therefore reflects the expected actual short-run marginal cost—the level of variable power generation costs for each of the generation technologies in the stack. The generation stack takes into account the existing, planned and constructed coal, gas, RES and nuclear units. It also takes into account generation sources not directly coordinated by the Transmission System Operator (Non-Centrally Dispatched Generating Units), including industrial power and CHP plants, as well as biomass, biogas, RDF sources and the use of demand-side response (DSR). A so-called “uplift” is applied to the mapped generation structure and SRMC (short-run marginal costs)—mapping the historical relationship of the impact of daily hourly power surpluses and deficits on the spot price level on the basis of mathematical models. Taking into account calendar variability, the superposition of both these elements reflects the level of expected prices on an average annual basis and makes it possible to obtain prices and daily hourly profiles for the entire period analyzed, which are presented in Figure 1.

- Based on long-term forecasts, it is assumed that the prosumer installation is turned off during the hours of expected negative market prices.
- The prices of electricity purchase by prosumers settled in the net billing model were determined on the basis of actual, historical, averaged national retail prices specific to the Cxx tariff group. This assumption is based on the fact that electricity prices for households represented by the G tariff group have been distorted as a result of the shielding measures taken by the Polish government and the so-called “Protective Shields,” which froze prices at artificially low levels [40,41]. The (averaged national) price of electricity sales and distribution by trading companies to consumers with comprehensive contracts was: (i) in 2021: PLN 749.18/MWh, of which PLN 440.70 [42]/MWh (energy) + PLN 308.48 [42]/MWh (distribution); (ii) in 2022, a yearly average of: PLN 1170.68/MWh, of which PLN 836.40 [42]/MWh (energy) + PLN 334.28 [42]/MWh (distribution); (iii) in 2023, a quarterly average of: PLN 1100.6/MWh, of which PLN 611.10 [43]/MWh (energy) + PLN 489.50 [43]/MWh (distribution). For the projection of purchase prices, the indexed cost of energy purchase with the distribution service was adopted for the first quarter of 2023, with the cost of the distribution component indexed at 8% year-on-year for the entire analysis period, and the cost of energy was raised by 15% in the years 2024–2025 and by 5% from 2026, respectively. The resulting price dynamics are visualized in Figure 2.
- The benefits were simulated for 11 prosumer micro-installation power selection scenarios in accordance with the relationship: source-power [kWp] = k × annual_energy_demand [MWh]/1000, where k = {0.5; 0.55; 0.6; 0.65; 0.7; 0.75; 0.8; 0.85; 0.9; 0.95; 1.0}.
- The research carried out also included an analysis of the levels of capital expenditure for two typical power sizes of photovoltaic installations (5 kWp and 10 kWp), including an analysis of the investment payback time depending on the installed capacity of the sources.
3. Results and Discussion
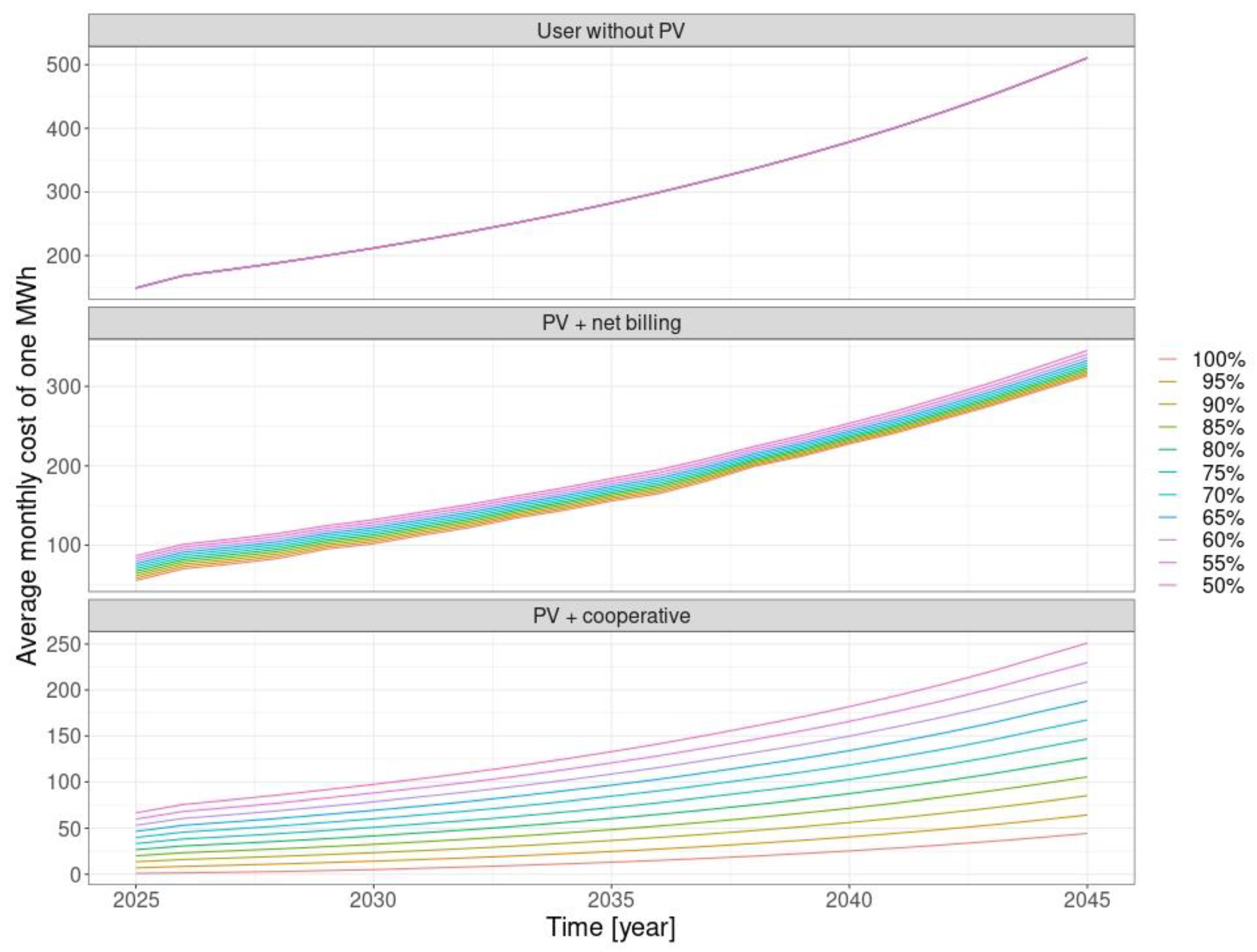
- The principal conclusion that emerges from the analysis of the results is a clear progressive reduction in the cost of electricity purchase and distribution. The analysis confirms that migration from scenario 1 (consumer), via scenario 2 (net billing prosumer) to scenario 3 (net metering prosumer), results in the generation of tangible benefits in each case.
- The largest effect equivalent to the lowest cost of energy purchase and distribution to meet unit demand in an energy cooperative is observed in scenario 3. For the entire period analyzed (2025–2045), the cumulative average annual effect for the worst-case scenario (bottom curve in Figure 3) in the option of migration from the “consumer” to the “prosumer net billing” model results in an approx. 42% reduction in the cost of energy purchase from PLN 149/month to PLN 87/month—for 2025.
- If a cooperative is established on the basis of net billing prosumers, there is a further reduction of approx. 24% in the cost of energy purchase to PLN 66/month.
- The non-linearity over the period 2025–2045, as illustrated in Figure 3, is derived from forecasts of settlement prices in the wholesale market, at which the surplus energy resale scenario is executed, as well as forecasts of electricity and distribution prices in the retail market for end customers.
- Irrespective of the scenario, the shapes of the cost profiles regardless of the selected power level in PV micro-installations are very similar.
- The establishment of an energy cooperative on the basis of individual prosumers, as well as the consequence of the optimum selection of capacity of individual micro-installations participating in the energy cooperative, together with the increased self-consumption within the energy cooperative, clearly have the effect of reducing the electricity purchase and distribution costs. The analyses indicate that some of the energy cooperatives (scenario 3) formed from the aggregation of individual prosumers (scenario 2) throughout the 2025–2045 analysis period would not be exposed to the electricity purchase and distribution cost. In the worst-case scenario and assuming the cooperative’s energy consumption at 1 MWh/year, the monthly cost of comprehensive energy supply was approx. PLN 3.8/month (2025) and PLN 12.3/month (2045). The price difference results from the assumed inflationary increase in distribution fees and the prices of energy purchased from the seller.
- For the examples analyzed and the worst case of an energy cooperative being set up (scenario 3) from the consolidation of individual prosumers (scenario 2) resulted in an approximate reduction in the electricity purchase and distribution cost by a factor of 17 in 2025 and by a factor of 24 in 2045.
- Reducing the capacity of the micro-installation to the minimum level analyzed (for k = 0.5) significantly affected the cost level. Similarly, for the worst case of an energy cooperative being set up (scenario 3) from the consolidation of individual prosumers (scenario 2) resulted in an approximate reduction in the electricity purchase and distribution cost by a factor of 2.5 in 2025 and by a factor of 1.4 in 2045.
- The loss of generation efficiency translates significantly into an increase in the electricity purchase and distribution cost. Based on the assumed unit annual electricity consumption (1 MWh/year) and the worst-case scenario for micro-installation capacity selection (k = 1), the cost in question for 2045 rises from PLN 3/month (for the no-efficiency-loss scenario) to PLN 44.4/month.
- For an analogous situation involving only the worst-case scenario for micro-installation capacity selection (k = 0.5), the cost in question for 2045 rises from PLN 227/month (for the no-efficiency-loss scenario) to PLN 251/month.
- The payback time for capital expenditure excluding discounting under the assumptions adopted varies between 4 and 5 years for the option of an individual prosumer settled on a net billing basis, and between 2.5 and 3 years for an energy cooperative.
- While the payback time in both cases appears to be acceptable, the aggregation of individual prosumers into energy cooperative structures guarantees an average reduction in the payback time by half, as well as mitigating the risks of the impact of price volatility in the wholesale market, including the occurrence of negative prices, on the benefits obtained in the net billing formula and the payback time.
- The profitability of investments can additionally be improved, taking into account the numerous subsidy mechanisms and aid programs.
4. Conclusions
- Achieving additional economic effects of the flexibility of community work, or
- The minimization of electricity exchange with the distributor’s network.
Author Contributions
Funding
Data Availability Statement
Conflicts of Interest
References
- Gruber, L.; Bachhiesl, U.; Wogrin, S. The Current State of Research on Energy Communities. Elektrotech. Inftech. 2021, 138, 515–524. [Google Scholar] [CrossRef]
- Dudka, A.; Moratal, N.; Bauwens, T. A Typology of Community-Based Energy Citizenship: An Analysis of the Ownership Structure and Institutional Logics of 164 Energy Communities in France. Energy Policy 2023, 178, 113588. [Google Scholar] [CrossRef]
- Sciullo, A.; Gilcrease, G.W.; Perugini, M.; Padovan, D.; Curli, B.; Gregg, J.S.; Arrobbio, O.; Meynaerts, E.; Delvaux, S.; Polo-Alvarez, L.; et al. Exploring Institutional and Socio-Economic Settings for the Development of Energy Communities in Europe. Energies 2022, 15, 1597. [Google Scholar] [CrossRef]
- Blasch, J.; Van Der Grijp, N.M.; Petrovics, D.; Palm, J.; Bocken, N.; Darby, S.J.; Barnes, J.; Hansen, P.; Kamin, T.; Golob, U.; et al. New Clean Energy Communities in Polycentric Settings: Four Avenues for Future Research. Energy Res. Soc. Sci. 2021, 82, 102276. [Google Scholar] [CrossRef]
- Vernay, A.-L.; Sebi, C. Energy Communities and Their Ecosystems: A Comparison of France and the Netherlands. Technol. Forecast. Soc. Chang. 2020, 158, 120123. [Google Scholar] [CrossRef]
- Hufen, J.A.M.; Koppenjan, J.F.M. Local Renewable Energy Cooperatives: Revolution in Disguise? Energy Sustain. Soc. 2015, 5, 18. [Google Scholar] [CrossRef]
- Soeiro, S.; Ferreira Dias, M. Energy Cooperatives in Southern European Countries: Are They Relevant for Sustainability Targets? Energy Rep. 2020, 6, 448–453. [Google Scholar] [CrossRef]
- Schmid, B.; Meister, T.; Klagge, B.; Seidl, I. Energy Cooperatives and Municipalities in Local Energy Governance Arrangements in Switzerland and Germany. J. Environ. Dev. 2020, 29, 123–146. [Google Scholar] [CrossRef]
- National Center for Agricultural Support (Krajowy Ośrodek Wsparcia Rolnictwa) Register of Energy Cooperatives (Wykaz Spółdzielni Energetycznych). Available online: https://www.gov.pl/web/kowr/wykaz-spoldzielni-energetycznych (accessed on 13 December 2023).
- Ustawa z Dnia 20 Lutego 2015 r. o Odnawialnych Źródłach Energii (Act of February 20, 2015 on Renewable Energy Sources) (Dz.U. 2020 Poz. 261); 2015.
- Ustawa z Dnia 4 Października 2018 r. o Spółdzielniach Rolników (Act of October 4, 2018 on Farmers’ Cooperatives) (Dz. U. 2018 Poz. 2073).
- Hoppe, T.; Coenen, F.; Bekendam, M. Renewable Energy Cooperatives as a Stimulating Factor in Household Energy Savings. Energies 2019, 12, 1188. [Google Scholar] [CrossRef]
- Ceglia, F.; Esposito, P.; Faraudello, A.; Marrasso, E.; Rossi, P.; Sasso, M. An Energy, Environmental, Management and Economic Analysis of Energy Efficient System towards Renewable Energy Community: The Case Study of Multi-Purpose Energy Community. J. Clean. Prod. 2022, 369, 133269. [Google Scholar] [CrossRef]
- Jasiński, J.; Kozakiewicz, M.; Sołtysik, M. Determinants of Energy Cooperatives’ Development in Rural Areas—Evidence from Poland. Energies 2021, 14, 319. [Google Scholar] [CrossRef]
- Kostecka-Jurczyk, D.; Marak, K.; Struś, M. Economic Conditions for the Development of Energy Cooperatives in Poland. Energies 2022, 15, 6831. [Google Scholar] [CrossRef]
- Olczak, P.; Matuszewska, D.; Lishchenko, A.; Zhydyk, I.; Koval, V.; Iermakova, O. The Economic Efficiency of Photovoltaic Energy for Energy Prosumers. Polityka Energetyczna—Energy Policy J. 2022, 25, 95–114. [Google Scholar] [CrossRef]
- Gradziuk, P.; Us, A. Economic effectiveness of the use of energy storage in a prosumer photovoltaic installation. Ann. PAAAE 2023, XXV, 76–91. [Google Scholar] [CrossRef]
- Sołtysik, M.; Kozakiewicz, M.; Jasiński, J. Profitability of Prosumers According to Various Business Models—An Analysis in the Light of the COVID-19 Effect. Energies 2021, 14, 8488. [Google Scholar] [CrossRef]
- Gjorgievski, V.Z.; Cundeva, S.; Markovska, N.; Georghiou, G.E. Virtual Net-Billing: A Fair Energy Sharing Method for Collective Self-Consumption. Energy 2022, 254, 124246. [Google Scholar] [CrossRef]
- Dufo-López, R.; Bernal-Agustín, J.L. A Comparative Assessment of Net Metering and Net Billing Policies. Study Cases for Spain. Energy 2015, 84, 684–694. [Google Scholar] [CrossRef]
- Ordóñez, Á.; Sánchez, E.; Rozas, L.; García, R.; Parra-Domínguez, J. Net-Metering and Net-Billing in Photovoltaic Self-Consumption: The Cases of Ecuador and Spain. Sustain. Energy Technol. Assess. 2022, 53, 102434. [Google Scholar] [CrossRef]
- Trela, M.; Dubel, A. Net-Metering vs. Net-Billing from the Investors Perspective—Impacts of Changes in RES Financing in Poland on the Profitability of a Joint Photovoltaic Panels and Heat Pump System. Energies 2021, 15, 227. [Google Scholar] [CrossRef]
- National Center for Agricultural Support (Krajowy Ośrodek Wsparcia Rolnictwa) Rules for Approval of Energy Cooperatives (Zasady Zatwierdzenie Spółdzielni Energetycznych). Available online: https://www.gov.pl/web/kowr/zatwierdzenie-w-wykazie-spoldzielni-energetycznych (accessed on 13 December 2023).
- Hebda, W. Energy Policy of Poland until 2040: The Challenges and Threats to Energy Security in the Next Two Decades. Politeja 2022, 19, 167–186. [Google Scholar] [CrossRef]
- Węgrzyn, A.; Spirydowicz, A.; Grebski, W. Dilemmas of the Energy Transformation in Poland 2021/2022. Min. Mach. 2022, 40, 32–42. [Google Scholar] [CrossRef]
- Gawlik, L. The Polish Power Industry in Energy Transformation Process. Miner. Econ. 2018, 31, 229–237. [Google Scholar] [CrossRef]
- Igliński, B.; Pietrzak, M.B.; Kiełkowska, U.; Skrzatek, M.; Kumar, G.; Piechota, G. The Assessment of Renewable Energy in Poland on the Background of the World Renewable Energy Sector. Energy 2022, 261, 125319. [Google Scholar] [CrossRef]
- Siudek, A.; Klepacka, A. Energy clusters in poland—A theoretical approach. Ann. PAAAE 2020, XXII, 192–205. [Google Scholar] [CrossRef]
- Mucha-Kuś, K.; Sołtysik, M.; Zamasz, K.; Szczepańska-Woszczyna, K. Coopetitive Nature of Energy Communities—The Energy Transition Context. Energies 2021, 14, 931. [Google Scholar] [CrossRef]
- Uddin, M.; Mo, H.; Dong, D.; Elsawah, S.; Zhu, J.; Guerrero, J.M. Microgrids: A Review, Outstanding Issues and Future Trends. Energy Strategy Rev. 2023, 49, 101127. [Google Scholar] [CrossRef]
- PSE—Polskie Sieci Elektroenergetyczne (Polish Power Grids) Market Price of Electricity (RCEm)—Monthly Approach (Rynkowa Cena Energii Elektrycznej (RCEm)—Podejście Miesięczne). Available online: https://www.pse.pl/oire/rcem-rynkowa-miesieczna-cena-energii-elektrycznej (accessed on 15 December 2023).
- PSE—Polskie Sieci Elektroenergetyczne (Polish Power Grids) Market Price of Electricity—Daily Approach. (Rynkowa Cena Energii Elektrycznej (RCE)—Ujęcie Dobowe). Available online: https://www.pse.pl/dane-systemowe/funkcjonowanie-rb/raporty-dobowe-z-funkcjonowania-rb/podstawowe-wskazniki-cenowe-i-kosztowe/rynkowa-cena-energii-elektrycznej-rce (accessed on 15 December 2023).
- Polish Power Grids Market Price of Electricity in Poland—Hourly Indexation per Day. Available online: https://www.pse.pl/dane-systemowe/funkcjonowanie-rb/raporty-dobowe-z-funkcjonowania-rb/podstawowe-wskazniki-cenowe-i-kosztowe/rynkowa-cena-energii-elektrycznej-rce (accessed on 15 October 2023).
- Technical Data Sheet for Photovoltaic Panels—Longi Catalogue. Available online: https://sklepsolar.pl/wp-content/uploads/2023/06/Longi-LR5-66HIH-490-510-PL.pdf (accessed on 17 December 2023).
- Technical Data Sheet for Photovoltaic Panels—Vaillant Catalogue. Available online: https://www.vaillant.pl/karty-produktowe/fotowoltaika-4/kp-auropower-vpv-p-320-325-1771301.pdf (accessed on 17 December 2023).
- Technical Data Sheet for Photovoltaic Panels—MWT Catalogue. Available online: https://freeeco.pl/wp-content/uploads/2020/06/Sunport-karta-katalogowa-SPP320M60B-PL.pdf (accessed on 17 December 2023).
- Technical Data Sheet for Photovoltaic Panels—Longi2 Catalogue. Available online: https://freeeco.pl/wp-content/uploads/2020/11/lr6_60hph_315m_bf___karta_katalogowa___pl.pdf (accessed on 17 December 2023).
- Technical Data Sheet for Photovoltaic Panels—DasSolar Catalogue. Available online: https://www.das-solar.com/uploads/DAS-DH156NA-EN-610-635&ef&bc&882465-1134-35&ef&bc&89.pdf (accessed on 17 December 2023).
- Czopek, P.; Kowalski, S.; Gurbiel, R.; Musiałek, P.; Sołtysik, M.; Wilk, B. Ewolucja Krajowego Systemu Elektroenergetycznego w Polsce w Kierunku Zeroemisyjności. Scenariusze Rozwoju Systemu (Red. Naukowa M.Sołtysik). (EN: Evolution of the National Power System in Poland—Towards Zero Emission. System Development Scenarios (Scientific Editor: M.Sołtysik).); Wydawnictwo Uniwersytetu Ekonomicznego w Krakowie: Kraków, Poland, 2022; ISBN 978-83-89410-63-4. [Google Scholar]
- Tariffs for the Sale of Energy—Announcements of the Polish Energy Regulatory Office. Available online: https://www.ure.gov.pl/pl/urzad/informacje-ogolne/aktualnosci/10718,Ile-zaplacimy-za-energie-elektryczna-od-stycznia-2023-roku.html (accessed on 15 December 2023).
- The Parliamentary Majority Proposes “Freezing” Energy Prices in 2024; Bankier.pl: Warsaw, Poland, 2023.
- Ministerstwo Klimatu i Środowiska; Departament Strategii i Analiz; Agencja Rynku Energii S.A. State of the Art in the Power Industry—Bulletin of Power Industry (PL: Sytuacja w Elektroenergetyce); Agencja Rynku Energii S.A.: Warsaw, Poland, 2022.
- Ministerstwo Klimatu i Środowiska; Departament Strategii i Analiz; Agencja Rynku Energii S.A. State of the Art in the Power Industry—Bulletin of Power Industry (PL: Sytuacja w Elektroenergetyce); Agencja Rynku Energii S.A.: Warsaw, Poland, 2023.
- The R Project for Statistical Computing. Available online: https://www.r-project.org/ (accessed on 20 April 2021).
- COIN-OR/CBC. Available online: https://projects.coin-or.org/Cbc (accessed on 18 November 2020).
- Ciuła, R.; Gajkowski, J.; Kowalak, T.; Grochowski, K.; Kalinowski, K.; Krzyżanowska, A.; Sulej, A.; Wiśniewski, K. Rynek Fotowoltaiki w Polsce 2023 (Photovoltaics Market in Poland 2023); Fotowoltaika w Polsce (Photovoltaics in Poland); IEO—Instytut Energetyki Odnawialnej: Warsaw, Poland, 2023. [Google Scholar]







Disclaimer/Publisher’s Note: The statements, opinions and data contained in all publications are solely those of the individual author(s) and contributor(s) and not of MDPI and/or the editor(s). MDPI and/or the editor(s) disclaim responsibility for any injury to people or property resulting from any ideas, methods, instructions or products referred to in the content. |
© 2024 by the authors. Licensee MDPI, Basel, Switzerland. This article is an open access article distributed under the terms and conditions of the Creative Commons Attribution (CC BY) license (https://creativecommons.org/licenses/by/4.0/).
Share and Cite
Jasiński, J.; Kozakiewicz, M.; Sołtysik, M. Analysis of the Economic Soundness and Viability of Migrating from Net Billing to Net Metering Using Energy Cooperatives. Energies 2024, 17, 1330. https://doi.org/10.3390/en17061330
Jasiński J, Kozakiewicz M, Sołtysik M. Analysis of the Economic Soundness and Viability of Migrating from Net Billing to Net Metering Using Energy Cooperatives. Energies. 2024; 17(6):1330. https://doi.org/10.3390/en17061330
Chicago/Turabian StyleJasiński, Jakub, Mariusz Kozakiewicz, and Maciej Sołtysik. 2024. "Analysis of the Economic Soundness and Viability of Migrating from Net Billing to Net Metering Using Energy Cooperatives" Energies 17, no. 6: 1330. https://doi.org/10.3390/en17061330
APA StyleJasiński, J., Kozakiewicz, M., & Sołtysik, M. (2024). Analysis of the Economic Soundness and Viability of Migrating from Net Billing to Net Metering Using Energy Cooperatives. Energies, 17(6), 1330. https://doi.org/10.3390/en17061330

