Adaptive Sliding Mode Control Based on a Radial Neural Model Applied for an Electric Drive with an Elastic Shaft
Abstract
1. Introduction
2. The Proposed Sliding Mode Radial Basis Function Neural Network Controller for a Two-Mass System
2.1. Mathematical Model of the Considered Electric Drive Mechanical Structure
2.2. Principles of Operation of Radial Basis Function Neural Networks
2.3. The Proposed Control Scheme—Sliding Mode-RBFNN Controller Applied to a Two-Mass System
2.3.1. Theoretical Background of the Sliding Surface Design Process
2.3.2. Design Methodology of the Proposed SM-RBFNN Controller
2.4. Adaptation Algorithm of the Proposed Control Structure
2.5. Stability Analysis
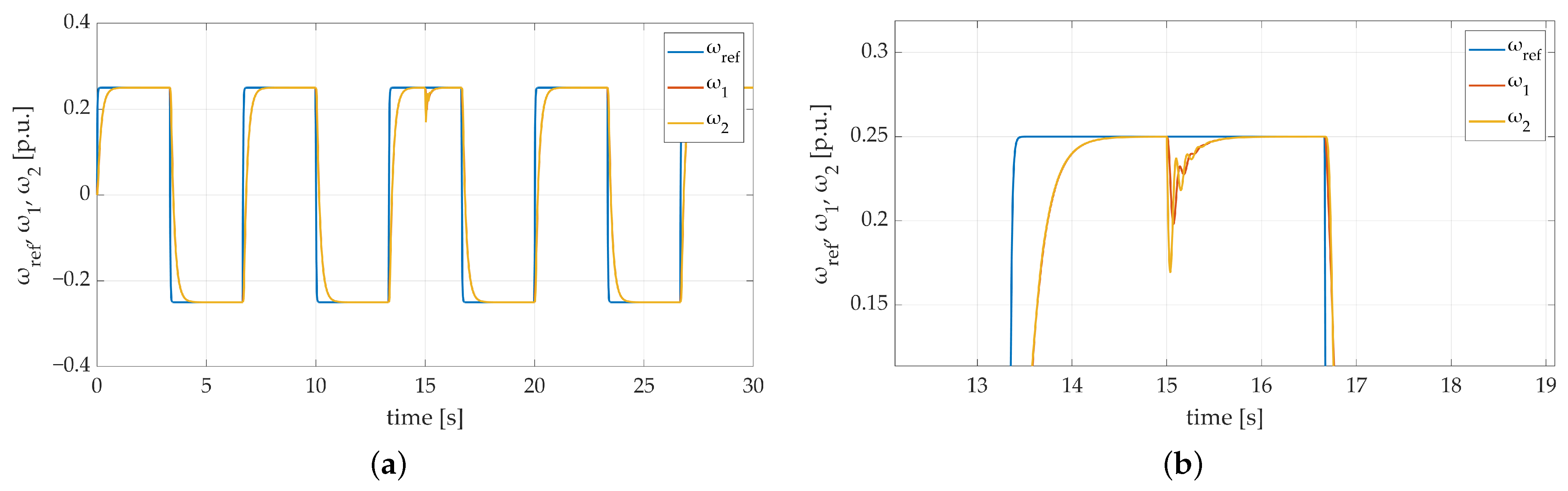
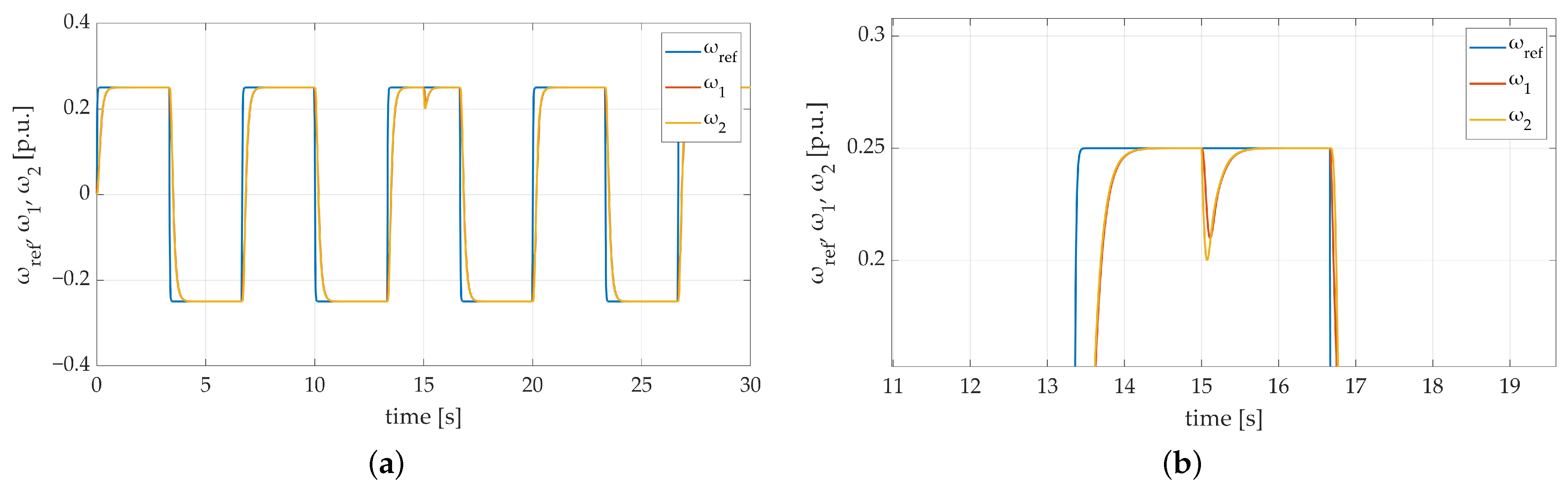
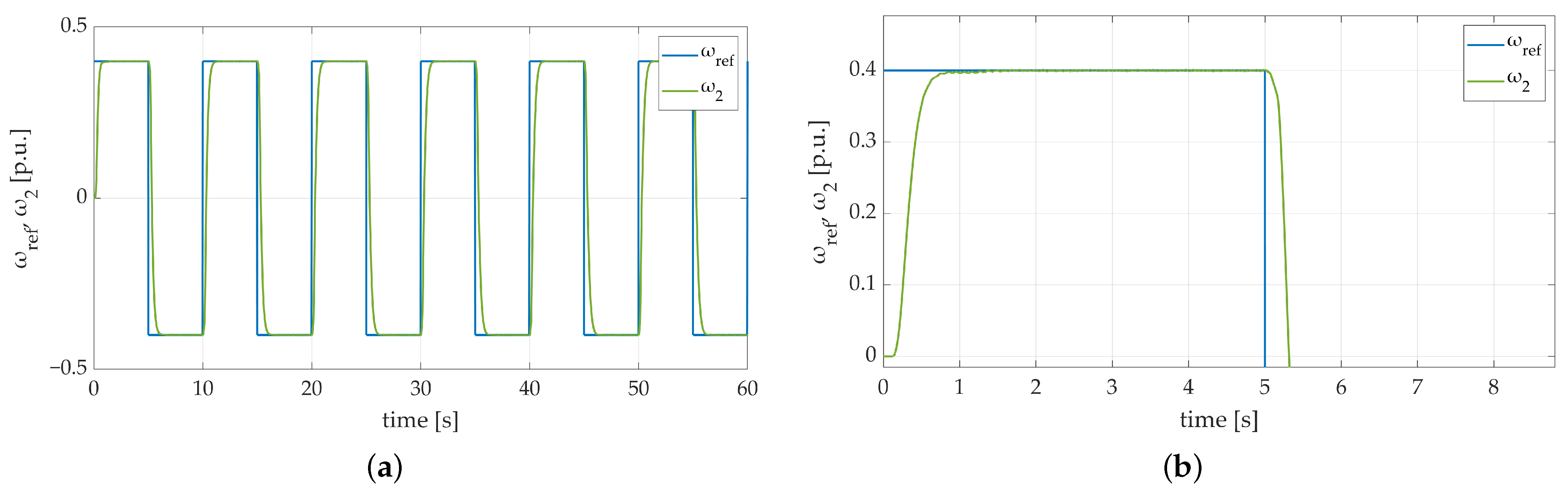
3. Tests of the SM-RBFNN Controller Applied to the Drive with Elastic Shaft
Simulation Results
- ,
- Hz,
- ,
- ,
- ,
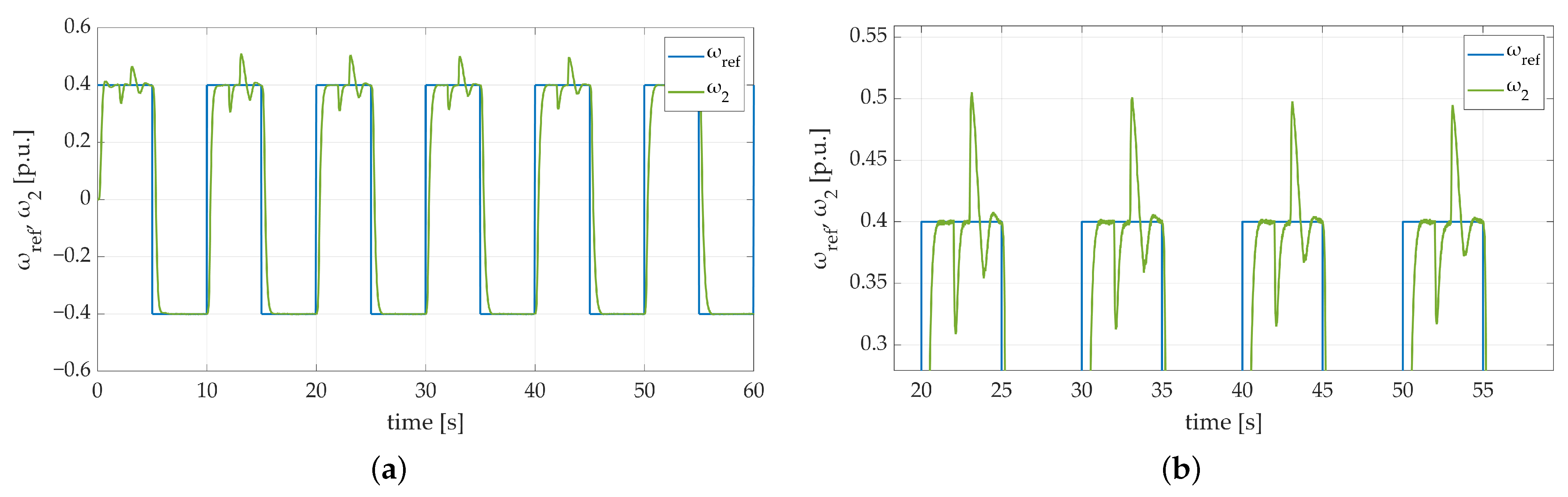
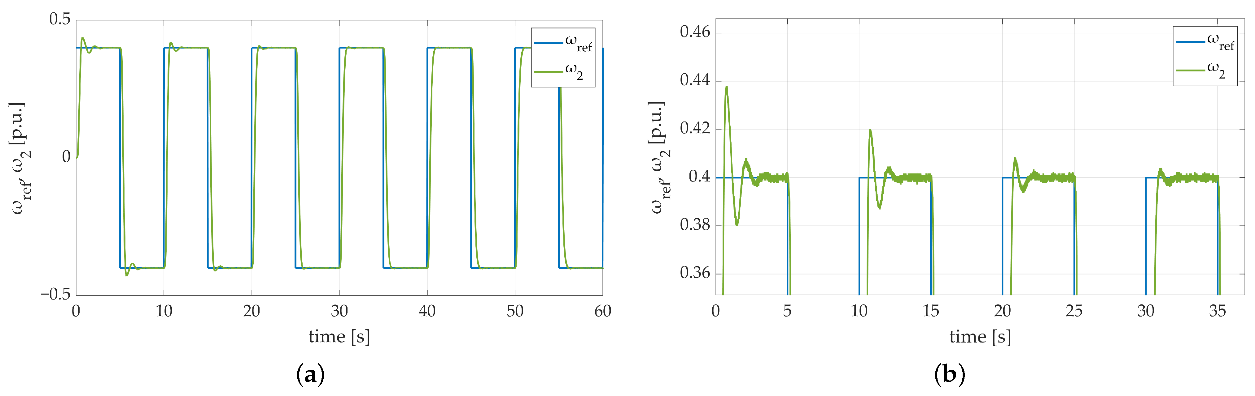
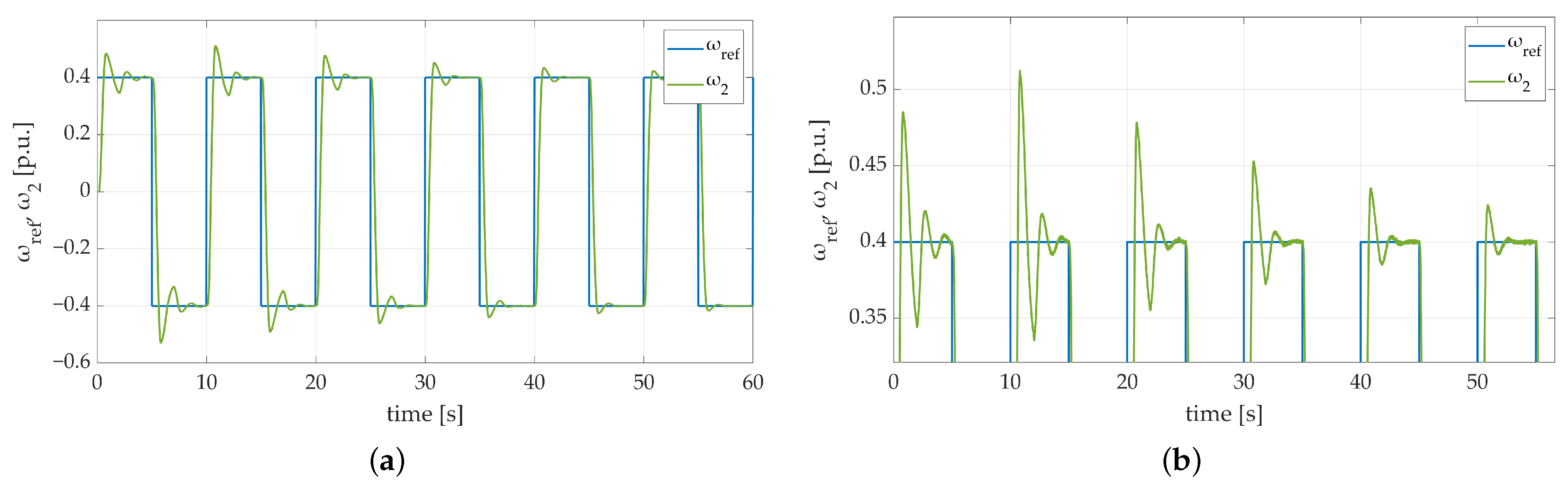
4. Experimental Results
4.1. Verification of the SM-RBFNN Control Algorithm in Various Operating Conditions
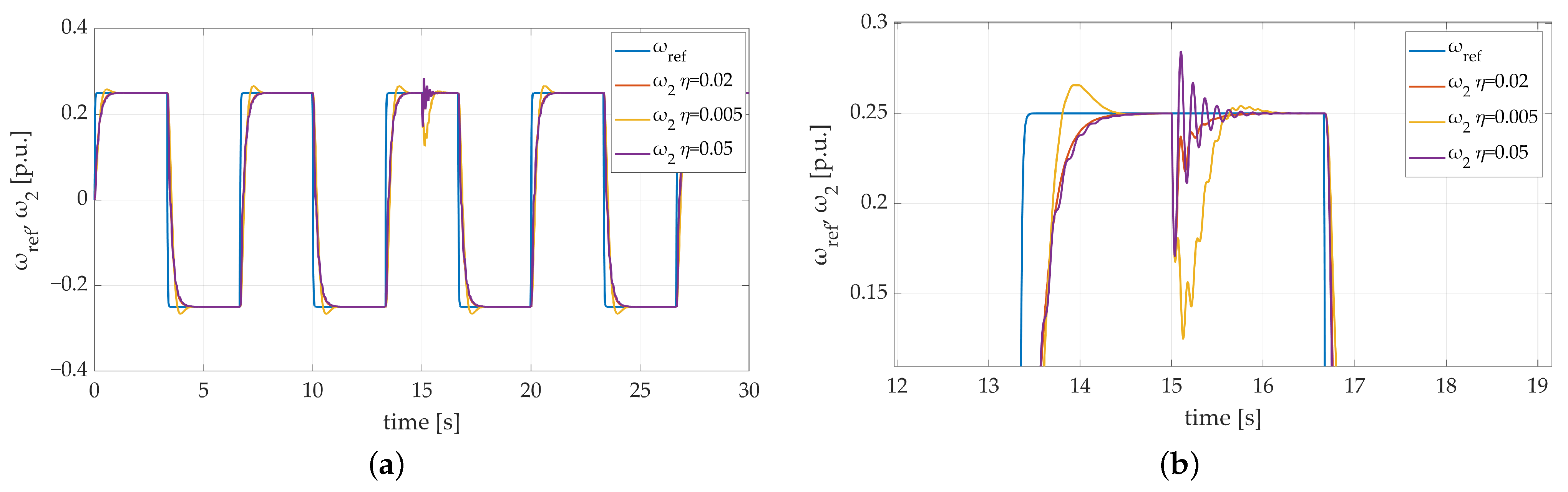
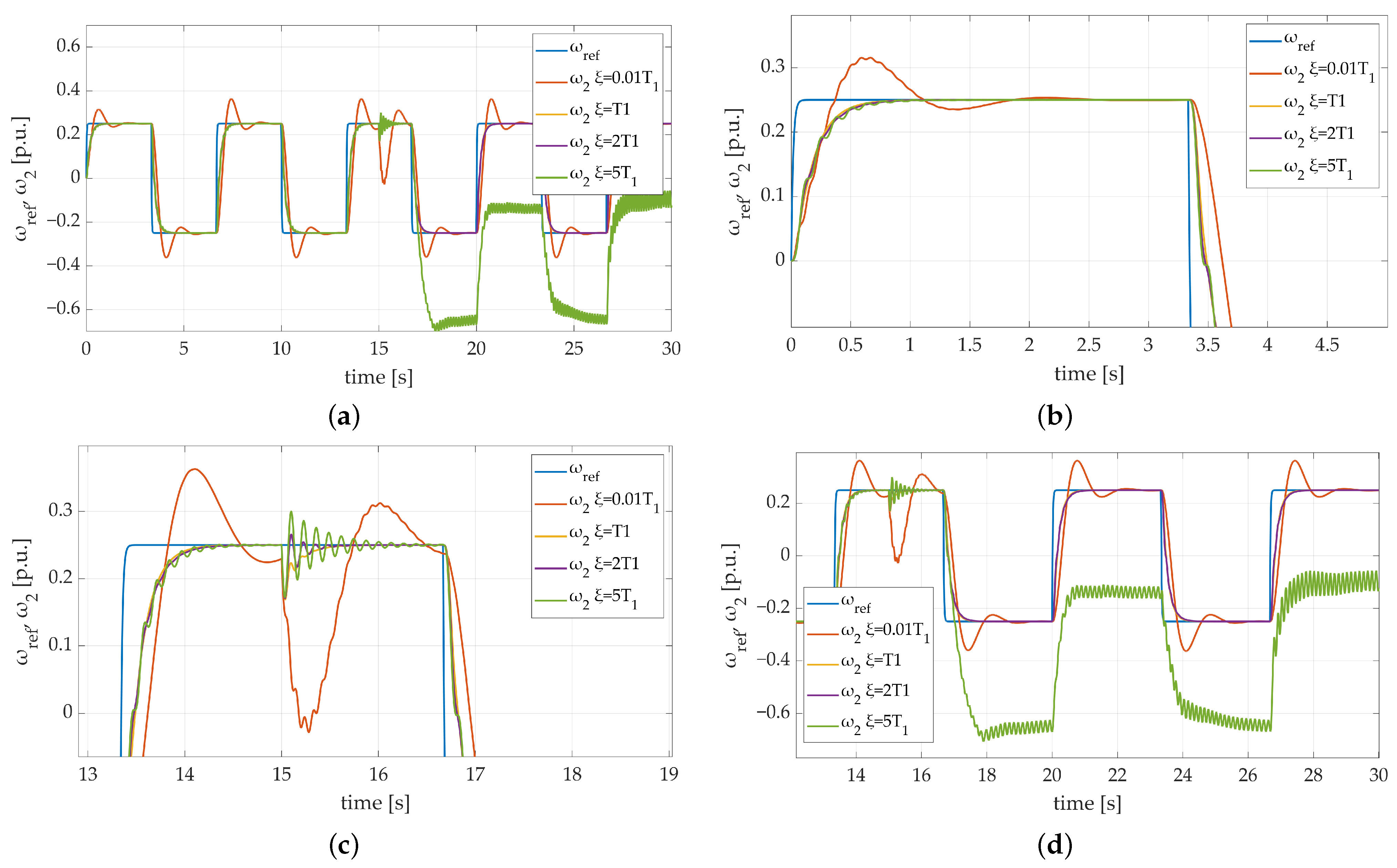
4.2. Comparative Study of the Proposed Sliding Mode-Radial Basis Function Neural Network-Based Controller
5. Conclusions and Results Discussion
- The system shows robustness against parametric uncertainty. Even though many non-linear phenomena, such as backlash, friction, and misalignment, were not included in the two-mass system description from Equation (1), the experimental tests show no significant divergence from the numerical studies (compare Figure 6 and Figure 14).
- Convergence of the RBFNN training is proven through the adaptive properties that can be seen in the latter figures in the experimental section of the manuscript. The oscillatory response that results from the increased inertia of the load machine is gradually mitigated as the weights are adjusted to the current state of the drive.
- The control system’s response to the active loading provided by the load machine is also adjusted by the neural network. The undershoots and overshoots resulting from the load torque being activated and deactivated are continuously being minimized. This shows that the learning process adapts the RBFNN to both parametric uncertainties and external disturbances.
- Another advantage that can be observed from the use of the RBFNN is the elimination of chattering that is normally observed with sliding-mode control structures with a signum switching function at the output of the controller.
- Elimination of oscillations and mitigation of overshoot is a great finding considering the fact that the control structure does not receive any additional information about the state of the drive. Only the information about the angular speed of the motor is provided. Neither the motor current, speed of the load nor torsional torque need to be measured/estimated. This feature creates a great opportunity to lower the cost and enhance the reliability of the drive. With the limited amount of needed information, the proposed control algorithm is not computationally heavy and does not rely on the estimation of variables unavailable for measurement. Both of these features enable the possibility to use more affordable programmable devices to determine the switching signals for the power electronics. Also, with fewer measuring devices, drive maintenance becomes much more feasible, and detection of faults is simplified due to a limited number of elements to be monitored.
Author Contributions
Funding
Institutional Review Board Statement
Informed Consent Statement
Data Availability Statement
Conflicts of Interest
Abbreviations
| MRAS | Model Reference Adaptive System |
| RBFNN | Radial Basis Function Neural Network |
References
- Ferdousee, A. Impact of Electric Vehicle Adoption on Electricity Consumption and Generation: Evidence from California. Int. J. Energy Econ. Policy 2022, 12, 101–110. [Google Scholar] [CrossRef]
- Ta, J.; Song, C.; Han, H.; Li, Y. Effects of Flexibility and Suspension Configuration of Main Shaft on Dynamic Characteristics of Wind Turbine Drivetrain. Chin. J. Mech. Eng. 2019, 32, 36. [Google Scholar] [CrossRef]
- Liu, H.; Zhao, R.Z. Dynamic Error Analsis Based on Flexible Shaft of Wind Turbine Gearbox. IOP Conf. Ser. Mater. Sci. Eng. 2013, 52, 052015. [Google Scholar] [CrossRef]
- Zouari, L.; Abid, H.; Abid, M. Sliding Mode and PI controllers for uncertain flexible joint manipulator. Int. J. Autom. Comput. 2015, 12, 117–124. [Google Scholar] [CrossRef]
- Dong, X.; Shi, K.; Li, W. Residual vibration control of a single-link flexible manipulator with variable stiffness and damping magnetorheological joint. J. Phys. Conf. Ser. 2020, 1678, 012005. [Google Scholar] [CrossRef]
- Alam, W.; Mehmood, A.; Ali, K.; Javaid, U.; Alharbi, S.A.; Iqbal, J. Nonlinear Control of a Flexible Joint Robotic Manipulator with Experimental Validation. Stroj.-Vestn.—J. Mech. Eng. 2018, 64, 47–55. [Google Scholar] [CrossRef]
- Wang, B.; Lou, J. Coupling dynamic modelling and parameter identification of a flexible manipulator system with harmonic drive. Meas. Control 2019, 52, 122–130. [Google Scholar] [CrossRef]
- Zhang, S.; Zhang, X.; Sun, Z. An Improved Super-Twisting Sliding Mode for Flexible Upper-Limb Exoskeleton. Actuators 2023, 12, 32. [Google Scholar] [CrossRef]
- Chen, X. Robot dynamic trajectory tracking control algorithm based on steady-state closed-loop learning. J. Phys. 2020, 1682, 012069. [Google Scholar] [CrossRef]
- Lingzhen, S.; Shuo, Y.; Yunsheng, C. Dynamic Load Rejection Control Method for Flexible Space Manipulator. In Proceedings of the 3rd International Conference on Mechatronics and Information Technology (ICMIT 2018), Chengdu, China, 30–31 October 2018. [Google Scholar] [CrossRef]
- Carabis, D.S.; Wen, J.T.Y. Trajectory Generation for Flexible-Joint Space Manipulators. Front. Robot. AI 2022, 9, 687595. [Google Scholar] [CrossRef]
- Shao, M.; Huang, Y.; Silberschmidt, V.V. Intelligent Manipulator with Flexible Link and Joint: Modeling and Vibration Control. Shock Vib. 2020, 2020, 4671358. [Google Scholar] [CrossRef]
- Ata, A.A.; Johar, H. Dynamic simulation of task constrained of a rigid-flexible manipulator. Int. J. Adv. Robot. Syst. 2004, 1, 6. [Google Scholar] [CrossRef]
- Xiaolei, Z.; Yanbo, W.; Ke, L.; Shanda, W. Research on the motion characteristics of a flexible joint-flexible link space manipulator. In Proceedings of the 8th International Symposium on Vehicle Emission Supervision and Environment Protection (VESEP2022), Wuhan, China, 23–24 June 2022; p. 01061. [Google Scholar] [CrossRef]
- Lee, S.H.; Lee, C.W. Hybrid Control Scheme for Robust Tracking of Two-Link Flexible Manipulator. J. Intell. Robot. Syst. 2002, 34, 431–452. [Google Scholar] [CrossRef]
- Kchaou, M.; Al Ahmadi, S.; Draou, E. Integral Sliding-Mode Fault-Tolerant Control for Fuzzy Singular Systems with Actuator Saturation. Circuits, Syst. Signal Process. 2020, 39, 1307–1334. [Google Scholar] [CrossRef]
- Kchaou, M.; Jerbi, H. Reliable H∞ and Passive Fuzzy Observer-Based Sliding Mode Control for Nonlinear Descriptor Systems Subject to Actuator Failure. Int. J. Fuzzy Syst. 2022, 24, 105–120. [Google Scholar] [CrossRef]
- Jinyong, J.; Zhao, Y.; Zhang, C.; Liu, Y. Vibration Suppression of a Flexible-Joint Robot Based on Parameter Identification and Fuzzy PID Control. Algorithms 2018, 11, 189. [Google Scholar] [CrossRef]
- Zhang, Y.; Pang, A.; Zhu, H.; Feng, H. Structured H∞ Control for Spacecraft with Flexible Appendages. Entropy 2021, 23, 930. [Google Scholar] [CrossRef]
- Kharabian, B.; Mirinejad, H. Hybrid Sliding Mode/H-Infinity Control Approach for Uncertain Flexible Manipulators. IEEE Access 2020, 8, 170452–170460. [Google Scholar] [CrossRef]
- Akbari, M.E.; Badamchizadeh, M.A.; Poor, M.A. Implementation of a Fuzzy TSK Controller for a Flexible Joint Robot. Discret. Dyn. Nat. Soc. 2012, 2012, 279498. [Google Scholar] [CrossRef]
- Verma, V.; Chauhan, S. Adaptive PID-Fuzzy Logic Controller for Brushless DC Motor. In Proceedings of the 2019 3rd International conference on Electronics, Communication and Aerospace Technology (ICECA), Coimbatore, India, 12–14 June 2019; pp. 445–449. [Google Scholar] [CrossRef]
- Alset, U.; Apte, A.; Mehta, H. Implementation of Fuzzy Logic based High Performance Speed Control System for PMDC motor using ATMEGA-328P-PU Micro-controller. In Proceedings of the 2020 IEEE International Conference on Electronics, Computing and Communication Technologies (CONECCT), Bangalore, India, 2–4 July 2020; pp. 1–5. [Google Scholar] [CrossRef]
- Shao, Z.; Tang, X.; Wang, L.; You, Z. A Fuzzy PID Approach for the Vibration Control of the FSPM. Int. J. Adv. Robot. Syst. 2013, 10, 59. [Google Scholar] [CrossRef]
- Reddy, V.; Venkateswararao, B.; Knypiński, Ł.; Devarapalli, R. Sizing of the Switched Reluctance Motor for Electric Vehicles. In Proceedings of the 2023 Progress in Applied Electrical Engineering (PAEE), Koscielisko, Poland, 26–30 June 2023; pp. 1–4. [Google Scholar] [CrossRef]
- Kaminski, M. Neural Network Training Using Particle Swarm Optimization—A Case Study. In Proceedings of the 2019 24th International Conference on Methods and Models in Automation and Robotics (MMAR), Miedzyzdroje, Poland, 26–29 August 2019; pp. 115–120. [Google Scholar] [CrossRef]
- M, S.; P, S.; K, N.G. Fuzzy Logic Controller Based BLDC Motor Control for Propulsion Application. In Proceedings of the 2022 IEEE International Power and Renewable Energy Conference (IPRECON), Kollam, India, 16–18 December 2022; pp. 1–6. [Google Scholar] [CrossRef]
- Samantaray, J.; Chakrabarty, S. Implementing sliding mode control of DC servo motor over a control network. In Proceedings of the 2018 Indian Control Conference (ICC), Kanpur, India, 4–6 January 2018; pp. 358–362. [Google Scholar] [CrossRef]
- El-Sousy, F.F.M.; Amin, M.M.; Mohammed, O.A. Robust Adaptive Neural Network Tracking Control with Optimized Super-Twisting Sliding-Mode Technique for Induction Motor Drive System. IEEE Trans. Ind. Appl. 2022, 58, 4134–4157. [Google Scholar] [CrossRef]
- Liu, Y.C.; Laghrouche, S.; N’Diaye, A.; Cirrincione, M. Hermite neural network-based second-order sliding-mode control of synchronous reluctance motor drive systems. J. Frankl. Inst. 2021, 358, 400–427. [Google Scholar] [CrossRef]
- Zhang, L.; Mahmoud, G.; Li, M.; Chen, Y. Robust Sliding Mode Controller with Suppressor for DC Motor System with Disturbances. In Proceedings of the 2019 Chinese Automation Congress (CAC), Hangzhou, China, 22–24 November 2019; pp. 1676–1681. [Google Scholar] [CrossRef]
- Murali, S.B.; Rao, P.M. Adaptive sliding mode control of BLDC motor using cuckoo search algorithm. In Proceedings of the 2018 2nd International Conference on Inventive Systems and Control (ICISC), Coimbatore, India, 19–20 January 2018; pp. 989–993. [Google Scholar] [CrossRef]
- Hafez, A.T.; Sarhan, A.A.; Givigi, S. Brushless DC Motor Speed Control Based on Advanced Sliding Mode Control (SMC) Techniques. In Proceedings of the 2019 IEEE International Systems Conference (SysCon), Orlando, FL, USA, 8–11 April 2019; pp. 1–6. [Google Scholar] [CrossRef]
- Roshanian, J.; Rahimzadeh, E. A Generalization for Model Reference Adaptive Control and Robust Model Reference Adaptive Control Adaptive Laws for a Class of Nonlinear Uncertain Systems with Application to Control of Wing Rock Phenomenon. Int. J. Eng. Trans. Appl. 2020, 33, 2372–2383. [Google Scholar] [CrossRef]
- Haron, A.R.; Idris, N.R.N. Simulation of MRAS-based Speed Sensorless Estimation of Induction Motor Drives using MATLAB/SIMULINK. In Proceedings of the 2006 IEEE International Power and Energy Conference, Putra Jaya, Malaysia, 28–29 November 2006; pp. 411–415. [Google Scholar] [CrossRef]
- Li, C.; Lan, Z.; Cai, B.; Zheng, Q. Vector Control Strategy of Permanent Magnet Synchronous Linear Motor Based on Sliding Mode Speed Controller and Model Reference Adaptive. In Proceedings of the 2021 13th International Symposium on Linear Drives for Industry Applications (LDIA), Wuhan, China, 1–3 July 2021; pp. 1–5. [Google Scholar] [CrossRef]
- Tarczewski, T.; Niewiara, Ł.; Grzesiak, L.M. Torque ripple minimization for PMSM using voltage matching circuit and neural network based adaptive state feedback control. In Proceedings of the 2014 16th European Conference on Power Electronics and Applications, Lappeenranta, Finland, 26–28 August 2014; pp. 1–10. [Google Scholar] [CrossRef]
- Pajchrowski, T.; Siwek, P.; Wójcik, A. Adaptive Neural Controller for Speed Control of PMSM with Torque Ripples. In Proceedings of the 2022 IEEE 20th International Power Electronics and Motion Control Conference (PEMC), Brasov, Romania, 25–28 September 2022; pp. 564–570. [Google Scholar] [CrossRef]
- Pajchrowski, T.; Zawirski, K. Application of Artificial Neural Network to Robust Speed Control of Servodrive. IEEE Trans. Ind. Electron. 2007, 54, 200–207. [Google Scholar] [CrossRef]
- Sahoo, D.; Pham, Q.; Lu, J.; Hoi, S.C.H. Online Deep Learning: Learning Deep Neural Networks on the Fly. arXiv 2017, arXiv:1711.03705. [Google Scholar] [CrossRef]
- Hoai, H.K.; Chen, S.C. Simulation and Implementation of a Sliding Mode Control for a Brushless DC Motor with RBFNN and Disturbance Observer. In Proceedings of the 2019 International Automatic Control Conference (CACS), Keelung, Taiwan, 13–16 November 2019; pp. 1–6. [Google Scholar] [CrossRef]
- Adnan, R.; Samad, A.M.; Tajjudin, M.; Ruslan, F.A. Modeling of flood water level prediction using improved RBFNN structure. In Proceedings of the 2015 IEEE International Conference on Control System, Computing and Engineering (ICCSCE), Penang, Malaysia, 27–29 November 2015; pp. 552–556. [Google Scholar] [CrossRef]
- Jiang, L.; Wu, C. Application of the Improved RBFNN Based on DPC in Monthly Rainfall Forecasting. In Proceedings of the 2018 IEEE International Conference of Safety Produce Informatization (IICSPI), Chongqing, China, 10–12 December 2018; pp. 853–857. [Google Scholar] [CrossRef]
- Sathish, K.R.; Ananthapadmanabha, T. Power Quality Enhancement in Distribution System Integrated with Renewable Energy Sources Using Hybrid RBFNN-TSA Technique. In Proceedings of the 2021 7th International Conference on Electrical Energy Systems (ICEES), Chennai, India, 11–13 February 2021; pp. 189–194. [Google Scholar] [CrossRef]
- Zhang, Y.; Wang, C.; Hu, L.; Qiu, G. Inverse kinematics problem of industrial robot based on PSO-RBFNN. In Proceedings of the 2020 IEEE 4th Information Technology, Networking, Electronic and Automation Control Conference (ITNEC), Chongqing, China, 12–14 June 2020; Volume 1, pp. 346–350. [Google Scholar] [CrossRef]
- Minghe, L.; Meng, W.; Yanyan, S. Adaptive Prediction PID Control Based on RBFNN. In Proceedings of the 2007 8th International Conference on Electronic Measurement and Instruments, Xi’an, China, 16–18 August 2007; pp. 3-619–3-624. [Google Scholar] [CrossRef]
- Khairudin, M.; Mohamed, Z.; Husain, A.R. Dynamic Model and Robust Control of Flexible Link Robot Manipulator. Telkomnika Telecommun. Comput. Electron. Control 2011, 9, 279. [Google Scholar] [CrossRef]
- Minh Nguyet, N.T.; Ba, D.X. A neural flexible PID controller for task-space control of robotic manipulators. Front. Robot. AI 2023, 9, 975850. [Google Scholar] [CrossRef]
- Dallali, H.; Medrano-Cerda, G.; Brown, M. A comparison of multivariable & decentralized control strategies for robust humanoid walking. In Proceedings of the UKACC International Conference on Control 2010, Coventry, UK, 7–10 September 2010; pp. 235–240. [Google Scholar] [CrossRef]
- Wróbel, K.; Śleszycki, K.; Kahsay, A.H.; Szabat, K.; Katsura, S. Robust Speed Control of Uncertain Two-Mass System. Energies 2023, 16, 6231. [Google Scholar] [CrossRef]
- Kaminski, M.; Tarczewski, T. Neural Network Applications in Electrical Drives—Trends in Control, Estimation, Diagnostics, and Construction. Energies 2023, 16, 4441. [Google Scholar] [CrossRef]
- Jerbi, H.; Al-Darraji, I.; Tsaramirsis, G.; Kchaou, M.; Abbassi, R.; Alshammari, O. Fuzzy Luenberger Observer Design for Nonlinear Flexible Joint Robot Manipulator. Electronics 2022, 11, 1569. [Google Scholar] [CrossRef]
- Tang, J.; Zhang, M.; Cui, X.; Sun, J.; Zhou, X. Neural Network Sliding Model Control of Radial Translation for Magnetically Suspended Rotor (MSR) in Control Moment Gyro. Actuators 2023, 12, 217. [Google Scholar] [CrossRef]
- Alqaisi, W.K.; Brahmi, B.; Ghommam, J.; Saad, M.; Nerguizian, V. Adaptive Sliding mode Control Based on RBF Neural Network Approximation for Quadrotor. In Proceedings of the 2019 IEEE International Symposium on Robotic and Sensors Environments (ROSE), Ottawa, ON, Canada, 17–18 June 2019; pp. 1–7. [Google Scholar] [CrossRef]
- Derugo, P.; Szabat, K. Damping of torsional vibrations of two-mass system using adaptive low computational cost fuzzy PID controller. In Proceedings of the 2015 IEEE 11th International Conference on Power Electronics and Drive Systems, Sydney, NSW, Australia, 9–12 June 2015; pp. 1162–1165. [Google Scholar] [CrossRef]
- Zhao, Y.; Pei, J.; Chen, H. Multi-layer radial basis function neural network based on multi-scale kernel learning. Appl. Soft Comput. 2019, 82, 105541. [Google Scholar] [CrossRef]
- Vojáček, L.; Dráždilová, P.; Dvorský, J. Combination of Self Organizing Maps and Growing Neural Gas. In Proceedings of the 13th IFIP TC 8 International Conference, CISIM 2014, Ho Chi Minh City, Vietnam, 5–7 November 2014; pp. 100–111. [Google Scholar] [CrossRef]
- Rekavandi, A.M.; Seghouane, A.K.; Boussaid, F.; Bennamoun, M. Extended Expectation Maximization for Under-Fitted Models. In Proceedings of the ICASSP 2023—2023 IEEE International Conference on Acoustics, Speech and Signal Processing (ICASSP), Rhodes Island, Greece, 4–10 June 2023; pp. 1–5. [Google Scholar] [CrossRef]
- Fan, B.; Zhang, Y.; Chen, Y.; Meng, L. Intelligent vehicle lateral control based on radial basis function neural network sliding mode controller. CAAI Trans. Intell. Technol. 2022, 7, 455–468. [Google Scholar] [CrossRef]
- Banazadeh, A.; Samadzadeh, A. Adaptive Radial Basis Function Neural Network Controller for Autonomous Multirotors. Int. J. Model. Optim. 2021, 11, 112–118. [Google Scholar] [CrossRef]
- Huang, S.J.; Huang, K.S.; Chiou, K.C. Development and application of a novel radial basis function sliding mode controller. Mechatronics 2003, 13, 313–329. [Google Scholar] [CrossRef]
- Norris, G.; Ducard, G.J.J.; Onder, C. Neural Networks for Control: A Tutorial and Survey of Stability-Analysis Methods, Properties, and Discussions. In Proceedings of the 2021 International Conference on Electrical, Computer, Communications and Mechatronics Engineering (ICECCME), Mauritius, Mauritius, 7–8 October 2021; pp. 1–6. [Google Scholar] [CrossRef]
- Dróżdż, P.; Szabat, K. Filtered integral sliding mode control in two-mass drive system. Power Electron. Drives 2017, 2, 121–134. [Google Scholar] [CrossRef]
- Chaoui, H.; Sicard, P. Adaptive Lyapunov-based neural network sensorless control of permanent magnet synchronous machines. Neural Comput. Appl. 2011, 20, 717–727. [Google Scholar] [CrossRef]


























| Parameter | Symbol | Value |
|---|---|---|
| Nominal Power | 500 W | |
| Nominal Angular Speed | 1450 rpm | |
| D.C. Motor mechanical time constant | 0.203 s | |
| Active Load Machine mechanical time constant | 0.285 s | |
| Shaft mechanical time constant | 0.0026 s | |
| Nominal encoder resolution | — | 36,000 pulses/rev |
Disclaimer/Publisher’s Note: The statements, opinions and data contained in all publications are solely those of the individual author(s) and contributor(s) and not of MDPI and/or the editor(s). MDPI and/or the editor(s) disclaim responsibility for any injury to people or property resulting from any ideas, methods, instructions or products referred to in the content. |
© 2024 by the authors. Licensee MDPI, Basel, Switzerland. This article is an open access article distributed under the terms and conditions of the Creative Commons Attribution (CC BY) license (https://creativecommons.org/licenses/by/4.0/).
Share and Cite
Kaczmarczyk, G.; Stanislawski, R.; Szrek, J.; Kaminski, M. Adaptive Sliding Mode Control Based on a Radial Neural Model Applied for an Electric Drive with an Elastic Shaft. Energies 2024, 17, 833. https://doi.org/10.3390/en17040833
Kaczmarczyk G, Stanislawski R, Szrek J, Kaminski M. Adaptive Sliding Mode Control Based on a Radial Neural Model Applied for an Electric Drive with an Elastic Shaft. Energies. 2024; 17(4):833. https://doi.org/10.3390/en17040833
Chicago/Turabian StyleKaczmarczyk, Grzegorz, Radoslaw Stanislawski, Jaroslaw Szrek, and Marcin Kaminski. 2024. "Adaptive Sliding Mode Control Based on a Radial Neural Model Applied for an Electric Drive with an Elastic Shaft" Energies 17, no. 4: 833. https://doi.org/10.3390/en17040833
APA StyleKaczmarczyk, G., Stanislawski, R., Szrek, J., & Kaminski, M. (2024). Adaptive Sliding Mode Control Based on a Radial Neural Model Applied for an Electric Drive with an Elastic Shaft. Energies, 17(4), 833. https://doi.org/10.3390/en17040833

