An Evolutionary Game Study on Green Technology Innovation of Coal Power Firms under the Dual-Regulatory System
Abstract
1. Introduction
2. Literature Review
3. Model Building
3.1. Game Mechanism for Each Participant
3.2. Model Assumptions
3.3. Income Matrix Construction
4. Model Analysis
4.1. Analysis of the Evolution and Stability Strategy of Central Government
4.2. Analysis on the Evolution and Stability Strategy of Local Government
4.3. Analysis on Evolution and Stability Strategy of Coal Power Firm
4.4. Analysis of the Stability Strategy of System Evolution
5. Numerical Simulations
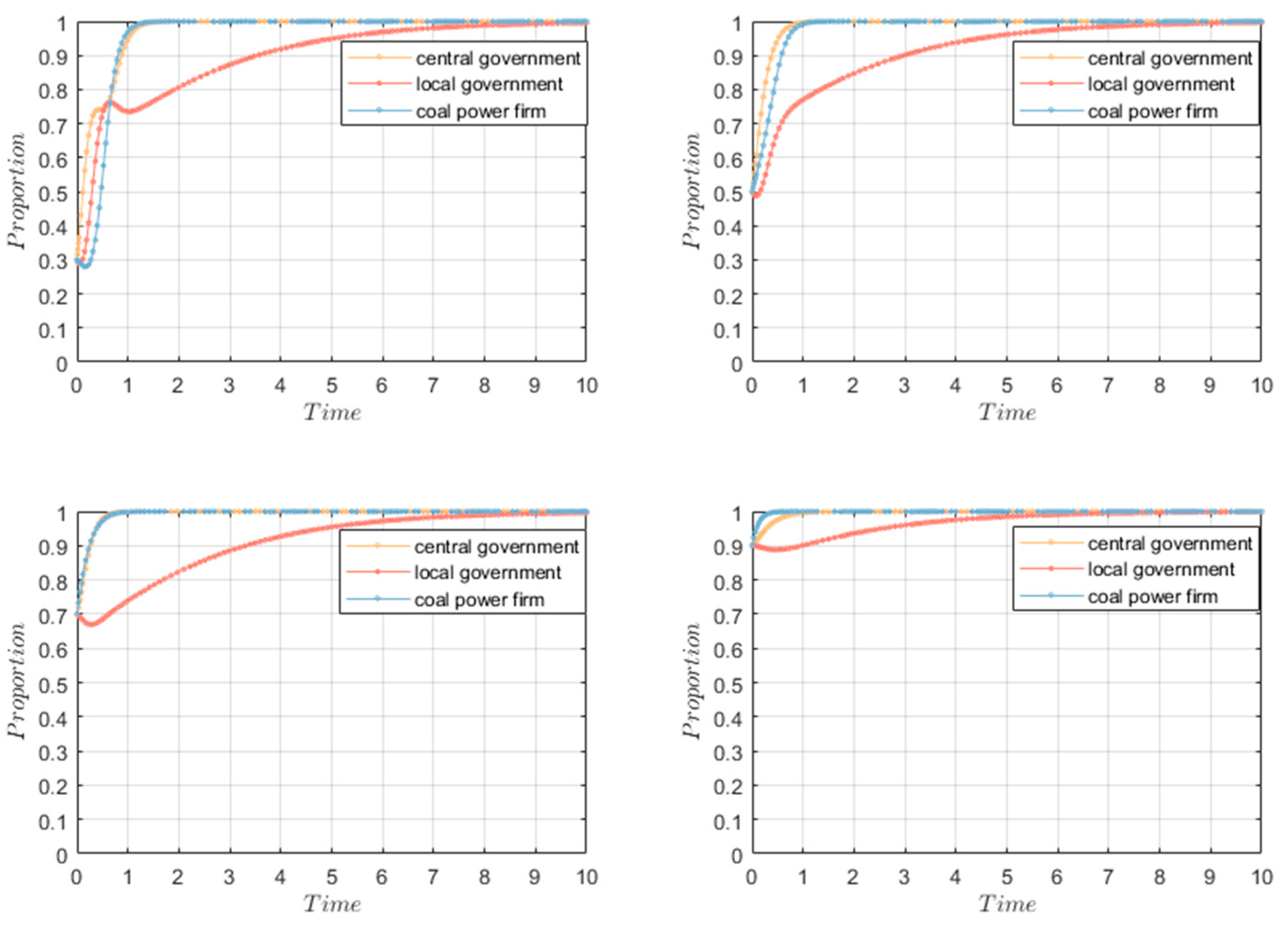
5.1. Sensitivity Analyses of Initial Probabilities
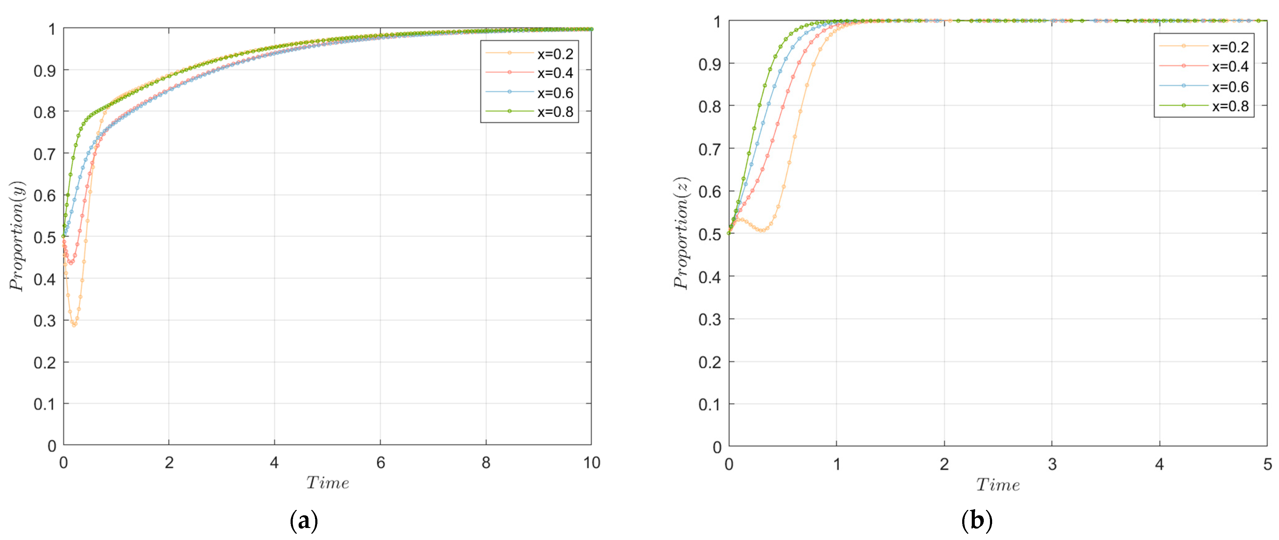
5.2. The Influence of the Change of the Central Governmental S&P on the Evolution of the System
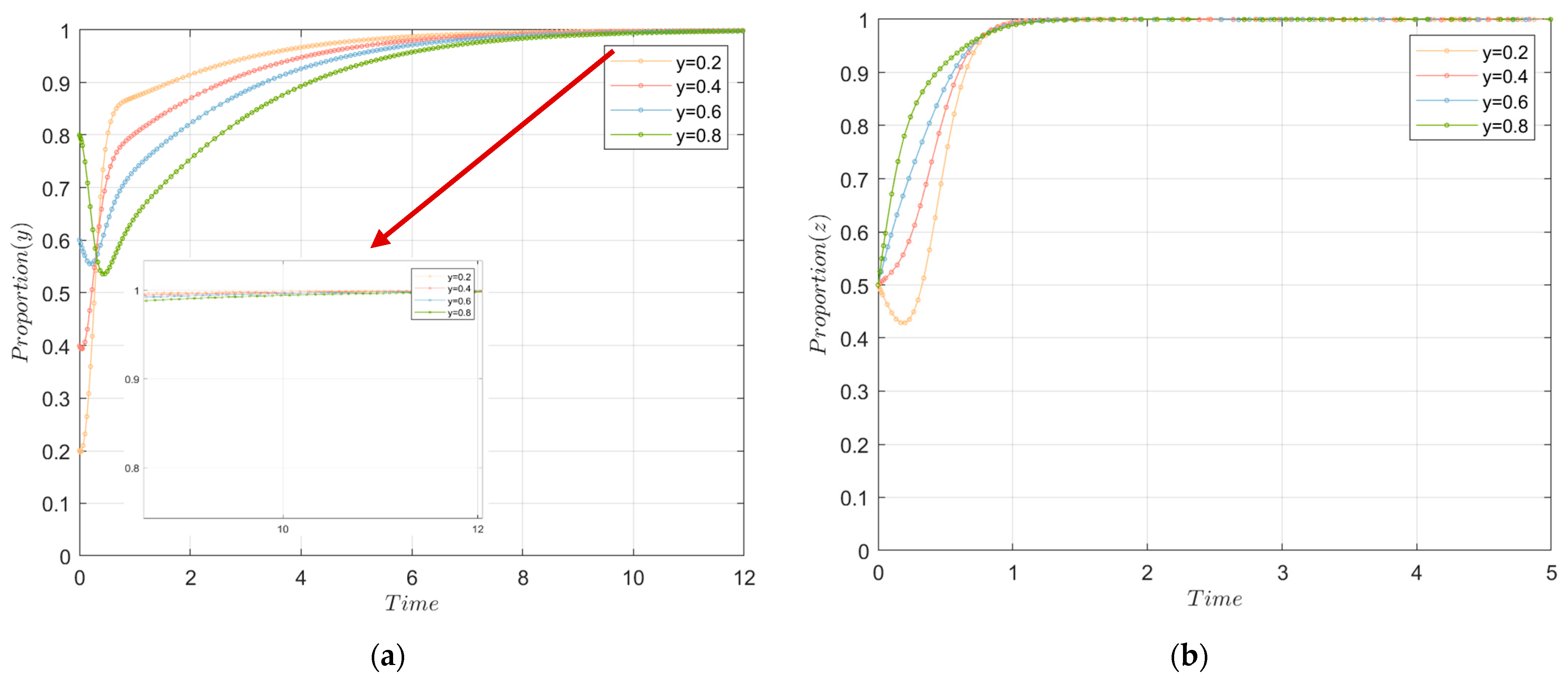
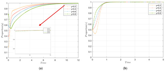
5.3. The Influence of the Change of Local Government S&P on the Evolution of the System
6. Conclusions and Implications
- (1)
- During the initial phase of policy implementation, it is advisable to intensify promotional efforts, promptly establish reasonable S&P measures, and provide local government with appropriate preparation time. The initial signals of the central government’s strong intention are helpful for the implementation of coal power firms’ GTI, which can be achieved through activities such as enterprise exchanges or policy advocacy campaigns. Moreover, in the early stages, reasonable S&P measures are more important than strict regulation in driving the local government to actively implement. The central government should conduct advance research to prepare for promptly designating appropriate S&P measures and grant the local government a certain period of implementation preparation.
- (2)
- The central government should adopt a scientifically reasonable evaluation mechanism to implement appropriate S&Ps for the local government. By establishing a comprehensive system of evaluation indicators, the central government can provide rewards to outstanding local governments, such as financial support and special subsidies, while also ensuring transparent fund allocation to prevent misuse. For underperforming local governments, the central government can impose punishments, such as reducing financial allocations and limiting resource distribution, to encourage improvement in energy transition efforts.
- (3)
- The local government should adopt proper S&P values to promote coal power firms’ GTI. Local governments should implement measures such as tax reductions and subsidies to incentivize coal power firms’ GTI. Stricter penalties should be given to firms that violate environmental laws or surpass emission limits to achieve environmental protection goals effectively. Additionally, the government should strengthen supervision by closely examining and monitoring how subsidies given to coal-fired power enterprises are used, thus preventing subsidy misuse.
- (4)
- The concurrent implementation of S&P by the central and local governments is a critical imperative. It necessitates the establishment of clear guidelines and policies for subsidy allocation, robust monitoring and evaluation mechanisms, and enhanced communication and coordination. Additionally, it is crucial for the local government to acknowledge the significance of simultaneous S&P implementation, especially when the intensity of these measures is comparatively low.
Author Contributions
Funding
Data Availability Statement
Conflicts of Interest
Correction Statement
Abbreviations
References
- Jakob, M.; Steckel, J.C.; Jotzo, F.; Sovacool, B.K.; Cornelsen, L.; Chandra, R.; Edenhofer, O.; Holden, C.; Löschel, A.; Nace, T.; et al. The future of coal in a carbon-constrained climate. Nat. Clim. Change 2020, 10, 704–707. [Google Scholar] [CrossRef]
- Hille, E.; Althammer, W.; Diederich, H. Environmental regulation and innovation in renewable energy technologies: Does the policy instrument matter? Technol. Forecast. Soc. Change 2020, 153, 119921. [Google Scholar] [CrossRef]
- Van der Gaast, W.; Begg, K.; Flamos, A. Promoting sustainable energy technology transfers to developing countries through the CDM. Appl. Energy 2009, 86, 230–236. [Google Scholar] [CrossRef]
- Yuan, J.; Na, C.; Lei, Q.; Xiong, M.; Guo, J.; Hu, Z. Coal use for power generation in China. Resour. Conserv. Recycl. 2018, 129, 443–453. [Google Scholar] [CrossRef]
- Wang, C.; Li, J. The evaluation and promotion path of green innovation performance in Chinese pollution-intensive industry. Sustainability 2020, 12, 4198. [Google Scholar] [CrossRef]
- Dong, F.; Zhu, J.; Li, Y.; Chen, Y.; Gao, Y.; Hu, M.; Qin, C.; Sun, J. How green technology innovation affects carbon emission efficiency: Evidence from developed countries proposing carbon neutrality targets. Environ. Sci. Pollut. Res. 2022, 29, 35780–35799. [Google Scholar] [CrossRef]
- Zhao, D.; Zhou, H. Livelihoods, technological constraints, and low-carbon agricultural technology preferences of farmers: Analytical frameworks of technology adoption and farmer livelihoods. Int. J. Environ. Res. Public Health 2021, 18, 13364. [Google Scholar] [CrossRef]
- Cai, X.; Zhu, B.; Zhang, H.; Li, L.; Xie, M. Can direct environmental regulation promote green technology innovation in heavily polluting industries? Evidence from Chinese listed companies. Sci. Total Environ. 2020, 746, 140810. [Google Scholar] [CrossRef]
- Shi, Q.; Lai, X. Identifying the underpin of green and low carbon technology innovation research: A literature review from 1994 to 2010. Technol. Forecast. Soc. Change 2013, 80, 839–864. [Google Scholar] [CrossRef]
- Arfaoui, N. Eco-innovation and regulatory push/pull effect in the case of REACH regulation: Empirical evidence based on survey data. Appl. Econ. 2018, 50, 1536–1554. [Google Scholar] [CrossRef]
- Karakaya, E.; Hidalgo, A.; Nuur, C. Diffusion of eco-innovations: A review. Renew. Sustain. Energy Rev. 2014, 33, 392–399. [Google Scholar] [CrossRef]
- Wang, M.; Li, Y.; Li, M.; Shi, W.; Quan, S. Will carbon tax affect the strategy and performance of low-carbon technology sharing between enterprises? J. Clean. Prod. 2019, 210, 724–737. [Google Scholar] [CrossRef]
- Kaygusuz, K. Energy for sustainable development: A case of developing countries. Renew. Sustain. Energy Rev. 2012, 16, 1116–1126. [Google Scholar] [CrossRef]
- Viscusi, W.K. Frameworks for analyzing the effects of risk and environmental regulations on productivity. Am. Econ. Rev. 1983, 73, 793–801. [Google Scholar]
- Stewart, R.B. Pyramids of Sacrifice–Problems of Federalism in Mandating State Implementations of National Environmental Policy. Yale Lj 1976, 86, 1196. [Google Scholar] [CrossRef]
- Wu, H.; Hao, Y.; Ren, S. How do environmental regulation and environmental decentralization affect green total factor energy efficiency: Evidence from China. Energy Econ. 2020, 91, 104880. [Google Scholar] [CrossRef]
- Arguedas, C. To comply or not to comply? Pollution standard setting under costly monitoring and sanctioning. Environ. Resour. Econ. 2008, 41, 155–168. [Google Scholar] [CrossRef]
- Montero, J.P. End of The Line: A Note on Environmental Policy and Innovation When Governments Cannot Commit. Energy Econ. 2011, 33, S13–S19. [Google Scholar] [CrossRef]
- Oberschelp, C.; Pfister, S.; Raptis, C.E.; Hellweg, S. Global emission hotspots of coal power generation. Nat. Sustain. 2019, 2, 113–121. [Google Scholar] [CrossRef]
- Tang, B.J.; Li, R.; Li, X.Y.; Chen, H. An optimal production planning model of coal-fired power industry in China: Considering the process of closing down inefficient units and developing CCS technologies. Appl. Energy 2017, 206, 519–530. [Google Scholar] [CrossRef]
- Jeon, E.C.; Myeong, S.; Sa, J.W.; Kim, J.; Jeong, J.H. Greenhouse gas emission factor development for coal-fired power plants in Korea. Appl. Energy 2010, 87, 205–210. [Google Scholar] [CrossRef]
- Li, J.; Zhang, Y.; Tian, Y.; Cheng, W.; Yang, J.; Xu, D.; Wang, Y.; Xie, K.; Ku, A.Y. Reduction of carbon emissions from China’s coal-fired power industry: Insights from the province-level data. J. Clean. Prod. 2020, 242, 118518. [Google Scholar] [CrossRef]
- Du, L.; Zhao, H.; Tang, H.; Jiang, P.; Ma, W. Analysis of the synergistic effects of air pollutant emission reduction and carbon emissions at coal-fired power plants in China. Environ. Prog. Sustain. Energy 2021, 40, e13630. [Google Scholar] [CrossRef]
- Yu, F.; Chen, J.; Sun, F.; Zeng, S.; Wang, C. Trend of technology innovation in China’s coal-fired electricity industry under resource and environmental constraints. Energy Policy 2011, 39, 1586–1599. [Google Scholar] [CrossRef]
- Zhao, Y.; Cui, Z.; Wu, L.; Gao, W. The green behavioral effect of clean coal technology on China’s power generation industry. Sci. Total Environ. 2019, 675, 286–294. [Google Scholar] [CrossRef]
- Xu, Y.; Zhao, G.; Zhang, B.; Jiao, J. SD Simulation Research on the Green Low-Carbon Development of Coal Enterprises. Complexity 2021, 2021, 5555075. [Google Scholar] [CrossRef]
- Horbach, J. Determinants of environmental innovation—New evidence from German panel data sources. Res. Policy 2008, 37, 163–173. [Google Scholar] [CrossRef]
- Ding, H.; Huang, H.; Tang, O. Sustainable supply chain collaboration with outsourcing pollutant-reduction service in power industry. J. Clean. Prod. 2018, 186, 215–228. [Google Scholar] [CrossRef]
- Sun, Z.; Wang, W.; Zhu, W.; Ma, L.; Dong, Y.; Lu, J. Evolutionary game analysis of coal enterprise resource integration under government regulation. Environ. Sci. Pollut. Res. 2022, 29, 7127–7152. [Google Scholar] [CrossRef]
- Zhao, R.; Zhou, X.; Han, J.; Liu, C. For the sustainable performance of the carbon reduction labeling policies under an evolutionary game simulation. Technol. Forecast. Soc. Change 2016, 112, 262–274. [Google Scholar] [CrossRef]
- Hofbauer, J.; Sigmund, K. Evolutionary game dynamics. Bull. Am. Math. Soc. 2003, 40, 479–519. [Google Scholar] [CrossRef]
- Yang, X.; Zhang, J.; Shen, G.Q.; Yan, Y. Incentives for green retrofits: An evolutionary game analysis on Public-Private-Partnership reconstruction of buildings. J. Clean. Prod. 2019, 232, 1076–1092. [Google Scholar] [CrossRef]
- Fan, B.; Guo, T.; Xu, R.; Dong, W. Evolutionary game research on the impact of environmental regulation on overcapacity in coal industry. Math. Probl. Eng. 2021, 2021, 5558112. [Google Scholar] [CrossRef]
- Liu, F.; Wei, Y.; Du, Y.; Lv, T. Mechanism and Influencing Factors of Low-Carbon Coal Power Transition under China’s Carbon Trading Scheme: An Evolutionary Game Analysis. Int. J. Environ. Res. Public Health 2022, 20, 463. [Google Scholar] [CrossRef] [PubMed]
- Wang, G.; Chao, Y.; Lin, J.; Chen, Z. Evolutionary game theoretic study on the coordinated development of solar power and coal-fired thermal power under the background of carbon neutral. Energy Rep. 2021, 7, 7716–7727. [Google Scholar] [CrossRef]
- Wang, G.; Chao, Y.; Jiang, T.; Lin, J.; Peng, H.; Chen, H.; Chen, Z. Analyzing the effects of government policy and solar photovoltaic hydrogen production on promoting CO2 capture and utilization by using evolutionary game analysis. Energy Strat. Rev. 2023, 45, 101044. [Google Scholar] [CrossRef]
- Zhang, C.; Zhang, X. Evolutionary game analysis of air pollution co-investment in emission reductions by steel enterprises under carbon quota trading mechanism. J. Environ. Manag. 2022, 317, 115376. [Google Scholar] [CrossRef] [PubMed]
- Lin, W.L.; Cheah, J.H.; Azali, M.; Ho, J.A.; Yip, N. Does firm size matter? evidence on the impact of the green innovation strategy on corporate financial performance in the automotive sector. J. Clean. Prod. 2019, 229, 974–988. [Google Scholar] [CrossRef]
- Sun, X.; Wang, W.; Pang, J.; Liu, X.; Zhang, M. Study on the evolutionary game of central government and local governments under central environmental supervision system. J. Clean. Prod. 2021, 296, 126574. [Google Scholar] [CrossRef]
- Sheng, J.; Zhou, W.; Zhu, B. The coordination of stakeholder interests in environmental regulation: Lessons from China’s environmental regulation policies from the perspective of the evolutionary game theory. J. Clean. Prod. 2020, 249, 119385. [Google Scholar] [CrossRef]
- Chu, Z.; Bian, C.; Yang, J. How can public participation improve environmental governance in China? A policy simulation approach with multi-player evolutionary game. Environ. Impact Assess. Rev. 2022, 95, 106782. [Google Scholar] [CrossRef]
- Fan, W.; Wang, S.; Gu, X.; Zhou, Z.; Zhao, Y.; Huo, W. Evolutionary game analysis on industrial pollution control of local government in China. J. Environ. Manag. 2021, 298, 113499. [Google Scholar] [CrossRef]
- Helbing, D. Evolutionary Game Theory; Springer: Dordrecht, The Netherlands, 1995; Volume 31. [Google Scholar]
- Lyapunov, A.M. The general problem of the stability of motion. Int. J. Control. 1992, 55, 531–534. [Google Scholar] [CrossRef]
- Wang, C.; Lin, Z. Environmental policies in china over the past 10 years: Progress, problems and prospects. Procedia Environ. Sci. 2010, 2, 1701–1712. [Google Scholar] [CrossRef]
- Fredriksson, P.G.; Wollscheid, J.R. Environmental decentralization and political centralization. Ecol. Econ. 2014, 107, 402–410. [Google Scholar] [CrossRef]
- Goodstein, J.D. Institutional pressures and strategic responsiveness: Employer involvement in work-family issues. Acad. Manag. J. 1994, 37, 350–382. [Google Scholar] [CrossRef]
- Xu, H.; Xu, W.; Li, X.; Han, J.; Han, C.; Song, L. Dynamic game and simulation for low-carbon development of industrial land under the chinese decentralization: A case study in beijing-tianjin-hebei region. Environ. Sci. Pollut. Res. 2023, 30, 60777–60804. [Google Scholar] [CrossRef]
- Yin, S.; Zhang, N.; Li, B. Enhancing the competitiveness of multi-agent cooperation for green manufacturing in China: An empirical study of the measure of green technology innovation capabilities and their influencing factors. Sustain. Prod. Consum. 2020, 23, 63–76. [Google Scholar] [CrossRef]
- Liu, X.M.; Song, H.R.; Fan, L. The signaling effects of R&D subsidy and enterprise innovation on investors’ investment decisions of technology--based SMEs. Sci. Technol. Prog. Policy 2020, 37, 26–33. [Google Scholar]
- Qiao, L.; Fei, J. Government subsidies enterprise operating efficiency and “stiff but deathless” zombie firms. Econ. Model. 2022, 107, 105728. [Google Scholar] [CrossRef]
- Porter, M.E.; Linde, C.V.D. Toward a new conception of the environment-competitiveness relationship. J. Econ. Perspect. 1995, 9, 97–118. [Google Scholar] [CrossRef]







| Symbol | Stakeholders | Description |
|---|---|---|
| Central government | The probability that the central government actively supervises | |
| The cost of active supervision by the central government | ||
| Subsidies provided by the central government to the local government for active implementation | ||
| Penalties imposed by the central government on the local government for passive implementation | ||
| The environmental positive benefit coefficient of a coal power firm on the central government | ||
| The probability that the central government passively supervises | ||
| Negative environmental influence coefficient of a coal power firm on the central government | ||
| Local government | The initial probability of a local government that actively implements | |
| The cost of active implementation by the local government | ||
| Subsidies for a coal power firm’s CER per unit | ||
| Penalties for a coal power firm’s ECEs per unit | ||
| The initial probability of passive implementation by the local government | ||
| The negative environmental benefits per unit brought by a coal power firm’s ECEs to the local government | ||
| The environmental benefits from a coal power firm’s CER per unit | ||
| Coal power firm | The initial probability of a coal power firm implementing GTI | |
| The cost from CER per unit | ||
| Initial net income of a coal power firm when it does not implement GTI | ||
| The revenue from CER per unit | ||
| Carbon emissions reduced by a coal power firm when it implements GTI | ||
| The initial probability of a coal power firm that does not implement GTI | ||
| ECE of a coal power firms when it does not implement GTI |
| Symbol | Behavioral Strategy (Central Government, Local Government, and Coal Power Firm) | Benefits of Tripartite Behavior Strategy (Central Government, Local Government, and Coal Power Firm) |
|---|---|---|
| I | (Actively supervises, actively implements, implements GTI) | , } |
| II | (Actively supervises, actively implements, does not implement GTI) | , } |
| III | (Actively supervises, passively implements, implements GTI) | , } |
| IV | (Passively supervises, actively implements, implements GTI) | , } |
| V | (Passively supervises, actively implements, does not implement GTI) | , } |
| VI | (Passively supervises, passively implements, implements GTI) | , , } |
| VII | (Actively supervises, passively implements, does not implement GTI) | { , } |
| VIII | (Passively supervises, passively implements, does not implement GTI) | { , } |
| Equilibrium Point ) | Asymptotic Stability Condition |
|---|---|
| , , | |
| , , | |
| , , | |
| , , | |
| , , | |
| , , | |
| Unstable | |
| , , |
| Parameter | ||||||||
| Assignment | 7 | 7.5 | 12 | 10 | 0.3 | 0.35 | 0.5 | 0.75 |
| Parameter | ||||||||
| Assignment | 0.6 | 0.42 | 4 | 30 | 20 | 0.3 | 0.3 |
Disclaimer/Publisher’s Note: The statements, opinions and data contained in all publications are solely those of the individual author(s) and contributor(s) and not of MDPI and/or the editor(s). MDPI and/or the editor(s) disclaim responsibility for any injury to people or property resulting from any ideas, methods, instructions or products referred to in the content. |
© 2024 by the authors. Licensee MDPI, Basel, Switzerland. This article is an open access article distributed under the terms and conditions of the Creative Commons Attribution (CC BY) license (https://creativecommons.org/licenses/by/4.0/).
Share and Cite
Ou, K.; Shi, Y.; Zhou, W. An Evolutionary Game Study on Green Technology Innovation of Coal Power Firms under the Dual-Regulatory System. Energies 2024, 17, 607. https://doi.org/10.3390/en17030607
Ou K, Shi Y, Zhou W. An Evolutionary Game Study on Green Technology Innovation of Coal Power Firms under the Dual-Regulatory System. Energies. 2024; 17(3):607. https://doi.org/10.3390/en17030607
Chicago/Turabian StyleOu, Kai, Yu Shi, and Wenwen Zhou. 2024. "An Evolutionary Game Study on Green Technology Innovation of Coal Power Firms under the Dual-Regulatory System" Energies 17, no. 3: 607. https://doi.org/10.3390/en17030607
APA StyleOu, K., Shi, Y., & Zhou, W. (2024). An Evolutionary Game Study on Green Technology Innovation of Coal Power Firms under the Dual-Regulatory System. Energies, 17(3), 607. https://doi.org/10.3390/en17030607
