Engine and Emission Performance of Renewable Fuels in a Small Displacement Turbocharged Diesel Engine
Abstract
1. Introduction
2. Experimental Set-Up and Tests
2.1. Engine Set-Up and Instrumentation
- -
- Bosch BEA 352 (Bosch, Gerlingen, Germany) for carbon monoxide, hydrocarbon, and nitrogen oxide monitoring; the HC analyzer employs a heated flame ionization detector; the CO-measuring device utilizes non-dispersive infrared detectors; the NOx analyzer operates with heated chemiluminescence (the accuracies for HC, CO, and NO are 1 ppm vol, 0.001% vol, and 1 ppm vol, respectively);
- -
- Cambustion DMS500 (Cambustion, Cambridge, UK) for particle monitoring. The measurement is based on a fast-response differential mobility particle spectrometer which combines the electrical mobility measurements of particles with sensitive electrometer detectors. The instrument allows for the analysis of the particle size in the range of 5 nm–1 μm, providing the number distributions in real time (approximately 5% uncertainty in measuring a particle size under 300 nm and about 10% across the entire range for particle number density measurement [24]).
2.2. Tests and Fuels
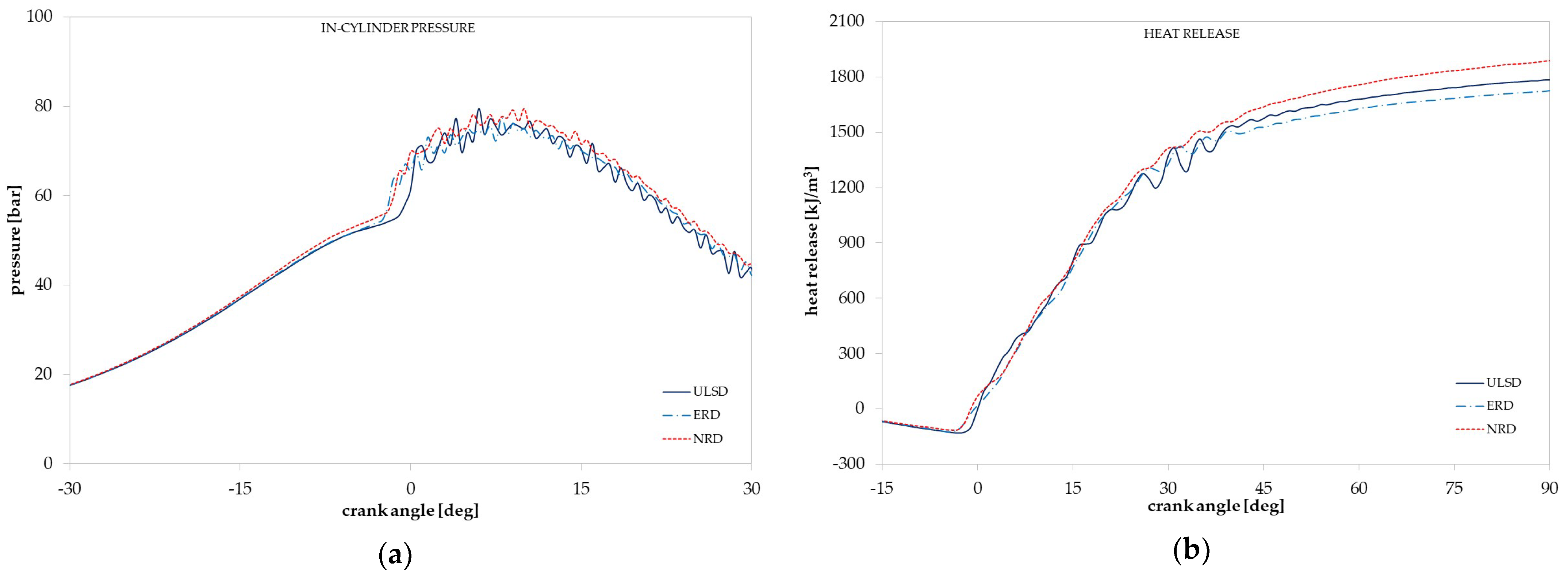
3. Results
4. Concluding Remarks
- -
- Comparable values characterized the engine efficiency of petrol diesel and HVO produced using Ecofining™. HVO from NESTE Oil presented some limited reductions in efficiency; for 3200 rpm, the reduction was more evident;
- -
- Renewable fuels exhibited better behavior in relation to fossil diesel for the CO concentration in the exhaust; HVO produced using Ecofining™ technology had better behavior in relation to HVO produced using the NEXBTL™ technology;
- -
- Advantages in HC emissions were obtained for renewable fuels, with better behavior at 2800 rpm for HVO from NESTE Oil; HVO from ENI behaved better at 3600 and 4000 rpm;
- -
- Renewable fuels showed improved behavior for NOx emissions for all values of the engine speed in comparison with petrol diesel; HVO from NESTE Oil performed better than HVO from ENI;
- -
- Using both renewable fuels decreased the particle number emission in relation to fossil diesel; concerning the particle dimensions, the accumulation mode prevailed over the nucleation one for all tested fuels (the distribution of sizes in petrol fuel was shifted towards a larger size in relation to HVOs; HVO produced using Ecofining™ technology exhibited a lower particle number and court mean diameter in relation to HVO produced using the NEXBTL™ technology.
Author Contributions
Funding
Data Availability Statement
Acknowledgments
Conflicts of Interest
References
- Koroma, M.S.; Costa, D.; Philippot, M.; Cardellini, G.; Hosen, S.; Coosemans, T.; Messagie, M. Life cycle assessment of battery electric vehicles: Implications of future electricity mix and different battery end-of-life management. Sci. Total Environ. 2022, 831, 154859. [Google Scholar] [CrossRef] [PubMed]
- Singh, M.; Yuksel, T.; Michalek, J.J.; Azevedo, I.M.L. Ensuring greenhouse gas reductions from electric vehicles compared to hybrid gasoline vehicles requires a cleaner U.S. electricity grid. Sci. Rep. 2024, 14, 1639. [Google Scholar] [CrossRef] [PubMed]
- Gerpen, J.V. Biodiesel processing and production. Fuel Process. Technol. 2005, 86, 1097–1107. [Google Scholar] [CrossRef]
- Farouk, S.M.; Tayeb, A.M.; Abdel-Hamid, S.M.S.; Osman, R.M. Recent advances in transesterification for sustainable biodiesel production, challenges, and prospects: A comprehensive review. Environ. Sci. Pollut. Res. 2024, 31, 12722–12747. [Google Scholar] [CrossRef]
- Elói do Amaral, B.; Bastos de Rezende, D.; Duarte Pasa, V.M. Aging and stability evaluation of diesel/biodiesel blends stored in amber polyethylene bottles under different humidity conditions. Fuel 2020, 279, 118289. [Google Scholar] [CrossRef]
- Wei, X.-F.; Akhlaghi, S.; Kallio, K.J.; Bruder, S.; Bellander, M.; Gedde, U.W.; Hedenqvist, M.S. Long-term performance of polyamide-based multilayer (bio)diesel fuel lines aged under “in-vehicle” conditions. Polym. Degrad. Stab. 2017, 144, 100–109. [Google Scholar] [CrossRef]
- Chiatti, G.; Chiavola, O.; Palmieri, F. Impact on Combustion and Emissions of Jet Fuel as Additive in Diesel Engine Fueled with Blends of Petrol Diesel, Renewable Diesel and Waste Cooking Oil Biodiesel. Energies 2019, 12, 2488. [Google Scholar] [CrossRef]
- No, S.Y. Application of hydrotreated vegetable oil from triglyceride based biomass to CI engines—A review. Fuel 2014, 115, 88–96. [Google Scholar] [CrossRef]
- Huber, G.W.; O’Connor, P.; Corma, A. Processing biomass in conventional oil refineries: Production of high quality diesel by hydrotreating vegetable oils in heavy vacuum oil mixtures. Appl. Catal. A Gen. 2007, 329, 120–129. [Google Scholar] [CrossRef]
- Mikulec, J.; Cvengros, J.; Jorikova, L.; Banic, M.; Kleinová, A. Second generation diesel fuel from renewable sources. J. Clean. Prod. 2010, 18, 917–926. [Google Scholar] [CrossRef]
- Lapuerta, M.; Villajos, M.; Agudelo, J.R.; Boehman, A.I. Key properties and blending strategies of hydrotreated vegetable oil as biofuel for diesel engines. Fuel Process. Technol. 2011, 92, 2406–2411. [Google Scholar] [CrossRef]
- Zhang, B.; Seddon, D. Hydroprocessing Catalysts and Processes: The Challenges for Biofuels Production; World Scientific Publishing: Singapore, 2018. [Google Scholar]
- Szeto, W.; Leung, D.Y.C. Is hydrotreated vegetable oil a superior substitute for fossil diesel? A comprehensive review on physicochemical properties, engine performance and emissions. Fuel 2022, 327, 125065. [Google Scholar] [CrossRef]
- Renewable Raw Materials in Our Portfolio Today. Available online: https://www.neste.com/renewable-raw-materials (accessed on 11 September 2024).
- Kourkoumpas, D.-S.; Sagani, A.; Vallianatos, A.; Kiartzis, S.; Karellas, S.; Dedoussis, V.; Grammelis, P. Life cycle GHG emission reduction of hydrotreated vegetable oil integration in an industrial petroleum refinery. Green Technol. Sustain. 2024, 2, 100076. [Google Scholar] [CrossRef]
- Honeywell UOP. Honeywell Green Diesel™. 2017. Available online: https://www.uop.honeywell.com/en/industry-solutions/renewable-fuels/honeywell-renewable-diesel/ (accessed on 20 September 2024).
- Wojcieszyk, M.; Kroyan, Y.; Kaario, O.; Larmi, M. Prediction of heavy-duty engine performance for renewable fuels based on fuel property characteristics. Energy 2023, 285, 129494. [Google Scholar] [CrossRef]
- Yadav, J.; Deppenkemper, K.; Pischinger, S. Impact of renewable fuels on heavy-duty engine performance and emissions. Energy Rep. 2023, 9, 1977–1989. [Google Scholar] [CrossRef]
- Cung, K.; Buffaloe, G.; Briggs, T.; Bitsis, C.; Smith, E.; Khalek, I.; Michlberger, A. Engine and Emissions Performance of Renewable Diesel in a Heavy-Duty Diesel Engine: A Single-cylinder Engine Experiment; SAE Technical Paper 2023-01-0273; SAE International: Warrendale, PA, USA, 2023. [Google Scholar] [CrossRef]
- Bohl, T.; Smallbone, A.; Tian, G.; Roskilly, P.A. Particulate Number and NOx Trade-Off Comparisons between HVO and Mineral Diesel in HD Applications. Fuel 2018, 215, 90–101. [Google Scholar] [CrossRef]
- Dimitriadis, A.; Seljak, T.; Vihar, R.; Baškovič, U.Ž.; Dimaratos, A.; Bezergianni, S.; Samaras, Z.; Katrašnik, T. Improving PM-NOx Trade-Off with Paraffinic Fuels: A Study towards Diesel Engine Optimization with HVO. Fuel 2020, 265, 116921. [Google Scholar] [CrossRef]
- Ogunkoya, D.; Roberts, W.L.; Fang, T.; Thapaliya, N. Investigation of the Effects of Renewable Diesel Fuels on Engine Performance, Combustion, and Emissions. Fuel 2015, 140, 541–554. [Google Scholar] [CrossRef]
- Singh, D.; Subramanian, K.A.; Garg, M.O. Comprehensive Review of Combustion, Performance and Emissions Characteristics of a Compression Ignition Engine Fueled with Hydroprocessed Renewable Diesel. Renew. Sust. Energ. Rev. 2017, 81, 2947–2954. [Google Scholar] [CrossRef]
- Anbari, M.; Attar, M.; Xu, H. Correlations between Particulate Matter Emissions and Gasoline Direct Injection Spray Characteristics. J. Aerosol Sci. 2016, 102, 128–141. [Google Scholar] [CrossRef]
- Zhang, B.; Wu, J.; Yang, C.; Qiu, Q.; Yan, Q.; Li, R.; Wang, B.; Wu, J.; Ding, Y. Recent Developments in Commercial Processes for Refining Bio-Feedstocks to Renewable Diesel. Bioenerg. Res. 2018, 11, 689–702. [Google Scholar] [CrossRef]
- Enilive Oilproducts. Available online: https://oilproducts.eni.com/ (accessed on 8 November 2024).
- Neste Renewable Diesel Handbook. Available online: https://www.neste.com/ (accessed on 8 November 2024).
- Pflaum, H.; Hofmann, P.; Geringer, B.; Weissel, W. Potential of Hydrogenated Vegetable Oil (HVO) in a Modern Diesel Engine; SAE Technical Paper 2010-32-0081; SAE International: Warrendale, PA, USA, 2010. [Google Scholar] [CrossRef]
- Singh, D.; Subramanian, K.; Bal, R.; Singh, S.; Badola, R. Combustion and emission characteristics of a light duty diesel engine fueled with hydro-processed renewable diesel. Energy 2018, 154, 498–507. [Google Scholar] [CrossRef]
- Vojtisek-Lom, M.; Beranek, V.; Mikuska, P.; Krumal, K.; Coufalik, P.; Sikorova, J.; Topinka, J. Blends of Butanol and Hydrotreated Vegetable Oils as Drop-In Replacement for Diesel Engines: Effects on Combustion and Emissions. Fuel 2017, 197, 407–421. [Google Scholar] [CrossRef]













| Cylinders | 2 |
| Displaced volume | 440 cc |
| Bore | 68 mm |
| Stroke | 60.6 mm |
| Compression ratio | 20:1 |
| Rated torque @ engine speed | 21 Nm @ 2000 rpm |
| Rated power @ engine speed | 8.5 kW @ 4400 rpm |
| Injection system | Common rail |
Disclaimer/Publisher’s Note: The statements, opinions and data contained in all publications are solely those of the individual author(s) and contributor(s) and not of MDPI and/or the editor(s). MDPI and/or the editor(s) disclaim responsibility for any injury to people or property resulting from any ideas, methods, instructions or products referred to in the content. |
© 2024 by the authors. Licensee MDPI, Basel, Switzerland. This article is an open access article distributed under the terms and conditions of the Creative Commons Attribution (CC BY) license (https://creativecommons.org/licenses/by/4.0/).
Share and Cite
Chiavola, O.; Matijošius, J.; Palmieri, F.; Recco, E. Engine and Emission Performance of Renewable Fuels in a Small Displacement Turbocharged Diesel Engine. Energies 2024, 17, 6443. https://doi.org/10.3390/en17246443
Chiavola O, Matijošius J, Palmieri F, Recco E. Engine and Emission Performance of Renewable Fuels in a Small Displacement Turbocharged Diesel Engine. Energies. 2024; 17(24):6443. https://doi.org/10.3390/en17246443
Chicago/Turabian StyleChiavola, Ornella, Jonas Matijošius, Fulvio Palmieri, and Erasmo Recco. 2024. "Engine and Emission Performance of Renewable Fuels in a Small Displacement Turbocharged Diesel Engine" Energies 17, no. 24: 6443. https://doi.org/10.3390/en17246443
APA StyleChiavola, O., Matijošius, J., Palmieri, F., & Recco, E. (2024). Engine and Emission Performance of Renewable Fuels in a Small Displacement Turbocharged Diesel Engine. Energies, 17(24), 6443. https://doi.org/10.3390/en17246443

