Thermal-Management Performance of Phase-Change Material on PV Modules in Different Climate Zones
Abstract
1. Introduction
2. Experiment Study
3. Methods and Models
3.1. PV and PCM Heart Transfer Model
- (1)
- The natural convection inside the PCM is neglected. Only its conductive heat transfer is considered because the PCM is closely attached to the PV panel, and its internal state is stable [51].
- (2)
- Other thermal properties of the PV module and phase-change material do not change with temperature, except for the specific heat capacity of the composite phase-change material [52].
- (3)
- The thermal resistance between the surface of the PV module and the composite phase-change material in contact is ignored.
3.2. Multi-Objective Optimization Method
- (1)
- Determine the factors and levels: In this study, the main factors influencing the power generation of PV-PCM systems are determined through a literature review method. The factors identified are phase-change temperature (), thermal conductivity of PCM (), and thickness of PCM ();
- (2)
- Experimental design: In this study, the Box-Behnken design (BBD) method is adopted, which requires fewer experiments compared to the central composite design. It divides each influencing factor into three levels, namely the two endpoints and the midpoint;
- (3)
- Conducting experiments and collecting data: In this study, the parameters of each experimental design point were inputted into a numerical simulation program for a year-long calculation;
- (4)
- Fitting the response model and sensitivity analysis of the influencing factors;
- (5)
- Response surface analysis.
4. Results and Discussion
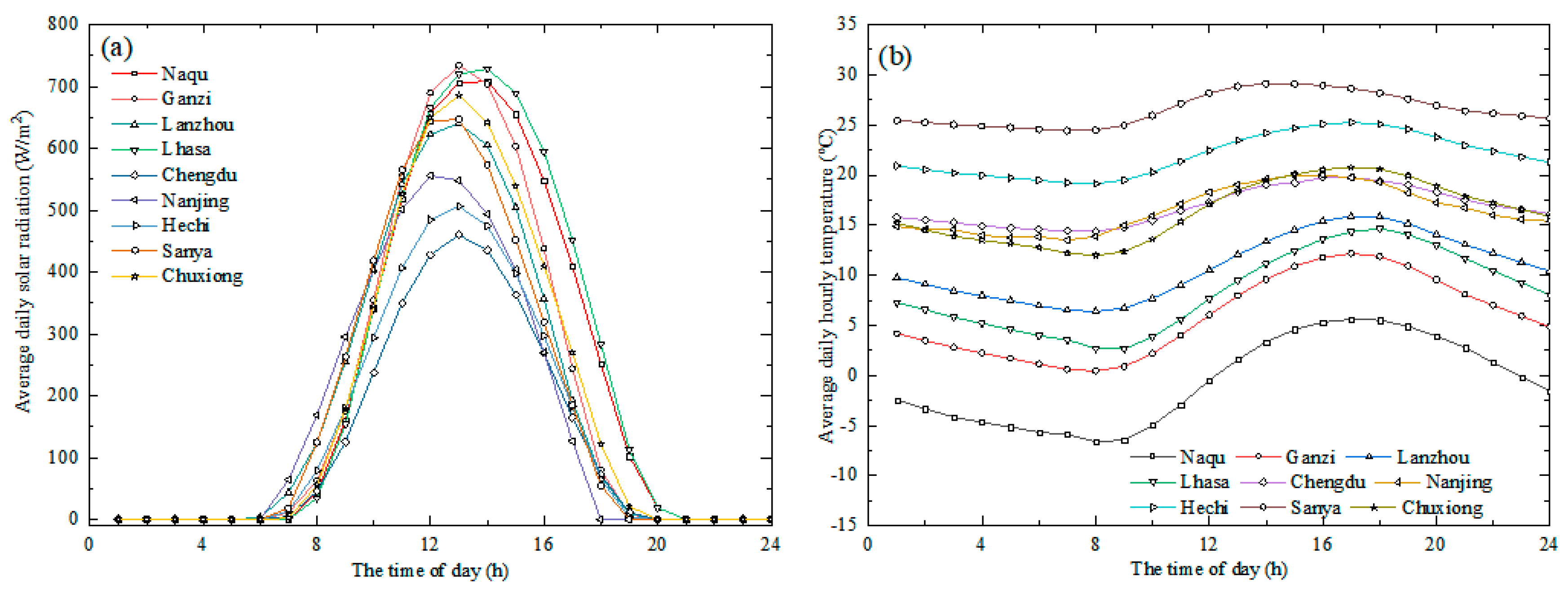
4.1. Location Selection
4.2. Response Surface Model
4.3. Optimization Results and Discussion
5. Conclusions
- (1)
- It is revealed that the temperature-control performance of PCM is affected by the intensity of solar radiation and climatic conditions through experiments, so the design parameters of PCM should be decided according to the local conditions.
- (2)
- Based on the two mutually exclusive objectives of annual power generation enhancement and cost increase of the system, a series of Pareto solutions for the design parameters of the phase-change thermal-management system in nine regions of China are obtained, which can provide a reference for the optimal design of temperature control with PCM.
- (3)
- In extremely cold regions such as Naqu, PCM is basically ineffective in regulating temperature and its annual power generation is only increased by 0.5%. Conversely, for the other regions investigated in this paper, the utilization of PCM can enhance annual power generation, with improvements ranging from 1.4% to 3%. In summary, the increase in annual power generation is more substantial in regions characterized by high average annual temperatures and abundant solar resources, as well as in areas with high summer temperatures and ample solar resources.
- (4)
- Considering the combination of life-cycle gains and initial investment, PCM temperature-control technology for PV modules is economically inefficient and unsuitable for application in practical projects.
Supplementary Materials
Author Contributions
Funding
Data Availability Statement
Conflicts of Interest
References
- Thompson, H. The geopolitics of fossil fuels and renewables reshape the world. Nature 2020, 603, 354. [Google Scholar] [CrossRef] [PubMed]
- IRENA. World Energy Transitions Outlook: 1.5 °C Pathway; International Renewable Energy Agency: Abu Dhabi, United Arab Emirates, 2021. [Google Scholar]
- IRENA. Renewable Energy Statistics 2020; The International Renewable Energy Agency: Abu Dhabi, United Arab Emirates, 2020. [Google Scholar]
- IRENA. Renewable Capacity Statistics 2020; The International Renewable Energy Agency: Abu Dhabi, United Arab Emirates, 2021. [Google Scholar]
- Green, M.A. Photovoltaic principles. Phys. E Low-Dimens. Syst. Nanostructures 2002, 14, 11–17. [Google Scholar] [CrossRef]
- Skoplaki, E.; Palyvos, J.A. On the temperature dependence of photovoltaic module electrical performance: A review of efficiency/power correlations. Sol. Energy 2009, 83, 614–624. [Google Scholar] [CrossRef]
- Ma, T.; Yang, H.; Zhang, Y.; Lu, L.; Wang, X. Using phase change materials in photovoltaic systems for thermal regulation and electrical efficiency improvement: A review and outlook. Renew. Sustain. Energy Rev. 2015, 43, 1273–1384. [Google Scholar] [CrossRef]
- Teo, H.G.; Lee, P.S.; Hawlader, M.N.A. An active cooling system for photovoltaic modules. Appl. Energy 2012, 90, 309–315. [Google Scholar] [CrossRef]
- Sajjad, U.; Amer, M.; Ali, H.M.; Dahiya, A.; Abbas, N. Cost effective cooling of photovoltaic modules to improve efficiency. Case Stud. Therm. Eng. 2019, 14, 100420. [Google Scholar] [CrossRef]
- Jun Huang, M. The effect of using two PCMs on the thermal regulation performance of BIPV systems. Sol. Energy Mater. Sol. Cells 2011, 95, 957–963. [Google Scholar] [CrossRef]
- Nižetić, S.; Papadopoulos, A.M.; Giama, E. Comprehensive analysis and general economic-environmental evaluation of cooling techniques for photovoltaic panels. Part I: Passive cooling techniques. Energy Convers. Manag. 2017, 149, 334–354. [Google Scholar] [CrossRef]
- Soares, N.; Costa, J.J.; Gaspar, A.R.; Santos, P. Review of passive PCM latent heat thermal energy storage systems towards buildings’ energy efficiency. Energy Build. 2013, 59, 82–103. [Google Scholar] [CrossRef]
- Tan, L.; Date, A.; Fernandes, G.; Singh, B.; Ganguly, S. Efficiency Gains of Photovoltaic System Using Latent Heat Thermal Energy Storage. Energy Procedia 2017, 110, 83–88. [Google Scholar] [CrossRef]
- Stropnik, R.; Stritih, U. Increasing the efficiency of PV panel with the use of PCM. Renew. Energy 2016, 97, 671–679. [Google Scholar] [CrossRef]
- Hasan, A.; Sarwar, J.; Alnoman, H.; Abdelbaqi, S. Yearly energy performance of a photovoltaic-phase change material (PV-PCM) system in hot climate. Sol. Energy 2017, 146, 417–429. [Google Scholar] [CrossRef]
- Díaz, F.A.; Moraga, N.O.; Cabrales, R.C. Computational modeling of a PV-PCM passive cooling system during a day–night cycle at arid and semi-arid climate zones. Energy Convers. Manag. 2022, 270, 116202. [Google Scholar] [CrossRef]
- Chen, J.; Kang, S.E.J.; Huang, Z.; Wei, K.; Zhang, B.; Liao, G. Effects of different phase change material thermal management strategies on the cooling performance of the power lithium ion batteries: A review. J. Power Sources 2019, 442, 227228. [Google Scholar] [CrossRef]
- Sargunanathan, S.; Elango, A.; Mohideen, S.T. Performance enhancement of solar photovoltaic cells using effective cooling methods: A review. Renew. Sustain. Energy Rev. 2016, 64, 382–393. [Google Scholar] [CrossRef]
- Machniewicz, A.; Knera, D.; Heim, D. Effect of transition temperature on efficiency of PV/PCM panels. Energy Procedia 2015, 78, 1684–1689. [Google Scholar] [CrossRef]
- Browne, M.C.; Norton, B.; McCormack, S.J. Phase change materials for photovoltaic thermal management. Renew. Sustain. Energy Rev. 2015, 47, 762–782. [Google Scholar] [CrossRef]
- Hasan, A.; McCormack, S.J.; Huang, M.J.; Sarwar, J.; Norton, B. Increased photovoltaic performance through temperature regulation by phase change materials: Materials comparison in different climates. Sol. Energy 2015, 115, 264–276. [Google Scholar] [CrossRef]
- Zhou, X.; Cao, X.; Leng, Z.; Zhou, X.; Liu, S. Study on the temperature control performance of photovoltaic module by a novel phase change material/heat pipe coupled thermal management system. J. Energy Storage 2023, 64, 107200. [Google Scholar] [CrossRef]
- Watanabe, T.; Kikuchi, H.; Kanzawa, A. Enhancement of charging and discharging rates in a latent heat storage system by use of PCM with different melting temperatures. Heat Recover Syst. CHP 1993, 13, 57–66. [Google Scholar] [CrossRef]
- Qureshi, Z.A.; Ali, H.M.; Khushnood, S. Recent advances on thermal conductivity enhancement of phase change materials for energy storage system: A review. Int. J. Heat Mass. Transf. 2018, 127, 838–856. [Google Scholar] [CrossRef]
- Khanna, S.; Reddy, K.S.; Mallick, T.K. Optimization of finned solar photovoltaic phase change material (finned pv pcm) system. Int. J. Therm. Sci. 2018, 130, 313–322. [Google Scholar] [CrossRef]
- Gad, R.; Mahmoud, H.; Ookawara, S.; Hassan, H. Evaluation of thermal management of photovoltaic solar cell via hybrid cooling system of phase change material inclusion hybrid nanoparticles coupled with flat heat pipe. J. Energy Storage 2023, 57, 106185. [Google Scholar] [CrossRef]
- Das, D.; Bordoloi, U.; Kamble, A.D.; Muigai, H.H.; Pai, R.K.; Kalita, P. Performance investigation of a rectangular spiral flow PV/T collector with a novel form-stable composite material. Appl. Therm. Eng. 2021, 182, 116035. [Google Scholar] [CrossRef]
- Karthikeyan, V.; Sirisamphanwong, C.; Sukchai, S.; Sahoo, S.K.; Wongwuttanasatian, T. Reducing PV module temperature with radiation based PV module incorporating composite phase change material. J. Energy Storage 2020, 29, 101346. [Google Scholar] [CrossRef]
- Asefi, G.; Ma, T.; Wang, R. Parametric investigation of photovoltaic-thermal systems integrated with porous phase change material. Appl. Therm. Eng. 2022, 201, 117727. [Google Scholar] [CrossRef]
- Xiao, X.; Zhang, P.; Li, M. Preparation and thermal characterization of paraffin/metal foam composite phase change material. Appl. Energy 2013, 112, 1357–1366. [Google Scholar] [CrossRef]
- Cheng, W.L.; Li, W.W.; Nian, Y.L.; Xia, W.D. Study of thermal conductive enhancement mechanism and selection criteria of carbon-additive for composite phase change materials. Int. J. Heat Mass. Transf. 2018, 116, 507–511. [Google Scholar] [CrossRef]
- Karaipekli, A.; Biçer, A.; Sarı, A.; Tyagi, V.V. Thermal characteristics of expanded perlite/paraffin composite phase change material with enhanced thermal conductivity using carbon nanotubes. Energy Convers. Manag. 2017, 134, 373–381. [Google Scholar] [CrossRef]
- Wang, C.; Lin, T.; Li, N.; Zheng, H. Heat transfer enhancement of phase change composite material: Copper foam/paraffin. Renew. Energy 2016, 96, 960–965. [Google Scholar] [CrossRef]
- Ling, Z.; Chen, J.; Xu, T.; Fang, X.; Gao, X.; Zhang, Z. Thermal conductivity of an organic phase change material/expanded graphite composite across the phase change temperature range and a novel thermal conductivity model. Energy Convers. Manag. 2015, 102, 202–208. [Google Scholar] [CrossRef]
- Harish, S.; Orejon, D.; Takata, Y.; Kohno, M. Thermal conductivity enhancement of lauric acid phase change nanocomposite with graphene nanoplatelets. Appl. Therm. Eng. 2015, 80, 205–211. [Google Scholar] [CrossRef]
- Sari, A.; Karaipekli, A. Thermal conductivity and latent heat thermal energy storage characteristics of paraffin/expanded graphite composite as phase change material. Appl. Therm. Eng. 2007, 27, 1271–1277. [Google Scholar] [CrossRef]
- Afaynou, I.; Faraji, H.; Choukairy, K.; Arıcı, M.; Khallaki, K. Heat transfer improvement of phase change materials by metal foams and nanoparticles for efficient electronic thermal management: A comprehensive study. Int. J. Heat Mass. Transf. 2024, 227, 125534. [Google Scholar] [CrossRef]
- Faraji, H.; Teggar, M.; Arshad, A.; Arıcı, M.; Berra, E.M.; Choukairy, K. Lattice Boltzmann simulation of natural convection heat transfer phenomenon for thermal management of multiple electronic components. Therm. Sci. Eng. Prog. 2023, 45, 102126. [Google Scholar] [CrossRef]
- Zhang, Y.; Ding, J.; Wang, X.; Yang, R.; Lin, K. Influence of additives on thermal conductivity of shape-stabilized phase change material. Sol. Energy Mater. Sol. Cells 2006, 90, 1692–1702. [Google Scholar] [CrossRef]
- Naseer, A.; Jamil, F.; Ali, H.M.; Ejaz, A.; Khushnood, S.; Ambreen, T.; Khan, M.S.; Bashir, M.A.; Pao, W.; Yan, W.M. Role of phase change materials thickness for photovoltaic thermal management. Sustain. Energy Technol. Asses. 2022, 49, 101719. [Google Scholar] [CrossRef]
- Ho, C.J.; Chou, W.L.; Lai, C.M. Thermal and electrical performance of a water-surface floating PV integrated with a water-saturated MEPCM layer. Energy Convers. Manag. 2015, 89, 862–872. [Google Scholar] [CrossRef]
- Bria, A.; Raillani, B.; Chaatouf, D.; Salhi, M.; Amraqui, S.; Mezrhab, A. Effect of PCM thickness on the performance of the finned PV/PCM system. Mater. Today Proc. 2023, 72, 3617–3625. [Google Scholar] [CrossRef]
- Maghami, M.R.; Hizam, H.; Gomes, C.; Radzi, M.A.; Rezadad, M.I.; Hajighorbani, S. Power loss due to soiling on solar panel: A review. Renew. Sustain. Energy Rev. 2016, 59, 1307–1316. [Google Scholar] [CrossRef]
- Ahmed, N.; Naveed Khan, A.; Ahmed, N.; Aslam, A.; Imran, K.; Sajid, M.B.; Waqas, A. Techno-economic potential assessment of mega scale grid-connected PV power plant in five climate zones of Pakistan. Energy Convers. Manag. 2021, 237, 114097. [Google Scholar] [CrossRef]
- Jing, J.; Zhou, Y.; Wang, L.; Liu, Y.; Wang, D. The spatial distribution of China’s solar energy resources and the optimum tilt angle and power generation potential of PV systems. Energy Convers. Manag. 2023, 283, 116912. [Google Scholar] [CrossRef]
- Chang, H.; Xiang, C.; Duan, C.; Wan, Z.; Liu, Y.; Zheng, Y.; Shang, Y.; Liu, M.; Shu, S. Study on the thermal performance and wind environment in a residential community. Int. J. Hydrog. Energy 2016, 41, 15868–15878. [Google Scholar] [CrossRef]
- Meng, B.; Loonen, R.C.G.M.; Hensen, J.L.M. Performance variability and implications for yield prediction of rooftop PV systems—Analysis of 246 identical systems. Appl. Energy 2022, 322, 119550. [Google Scholar] [CrossRef]
- Siala, K.; Stich, J. Estimation of the PV potential in ASEAN with a high spatial and temporal resolution. Renew. Energy 2016, 88, 445–456. [Google Scholar] [CrossRef]
- Qu, H.; Du, Z.; Kong, Q. Experimental study on the effect of tilt angle on the output parameters of a photovoltaic-phase change material (PV-PCM) system under wind conditions. J. Energy Storage 2024, 102, 114263. [Google Scholar] [CrossRef]
- Farouk, N.; Babiker, S.; Alqsair, U.F. Boosting electricity generation associated with Saudi Arabi buildings using PCM and PV cells on walls and roof leading to a sustainable building. Case Stud. Therm. Eng. 2024, 64, 105444. [Google Scholar] [CrossRef]
- Luo, Z.; Huang, Z.; Xie, N.; Gao, X.; Xu, T.; Fang, Y.; Zhang, Z. Numerical and experimental study on temperature control of solar panels with form-stable paraffin/expanded graphite composite PCM. Energy Convers. Manag. 2017, 149, 416–423. [Google Scholar] [CrossRef]
- Leng, Z.; Yuan, Y.; Cao, X.; Zeng, C.; Zhong, W.; Gao, B. Heat pipe/phase change material thermal management of Li-ion power battery packs: A numerical study on coupled heat transfer performance. Energy 2022, 240, 122754. [Google Scholar] [CrossRef]
- Kant, K.; Shukla, A.; Sharma, A.; Biwole, P.H. Heat transfer studies of photovoltaic panel coupled with phase change material. Sol. Energy 2016, 140, 151–161. [Google Scholar] [CrossRef]
- Biwole, P.H.; Woloszyn, M.; Pompeo, C. Heat transfers in a double-skin roof ventilated by natural convection in summer time. Energy Build. 2008, 40, 1487–1497. [Google Scholar] [CrossRef]
- Sharples, S.; Charlesworth, P.S. Full-scale measurements of wind-induced: Convective heat transfer from a roof mounted flat plate solar collector. Sol. Energy 1998, 62, 69–77. [Google Scholar] [CrossRef]












| Parameters | Unit | Values |
|---|---|---|
| Maximum power | W | 170 |
| Maximum power point voltage | V | 20.83 |
| Maximum power point current value | A | 8.17 |
| Open-circuit voltage | V | 24.31 |
| Short-circuit current | A | 8.64 |
| Dimension | mm | 1170 × 770 × 30 |
| Power tolerance | – | +/−3% |
| Instrument | Product Number | Range | Accuracy | |
|---|---|---|---|---|
| Temperature | data logger | DAQ970A (form Keysight Technologies, Santa Rosa, CA, USA) | −200 to 482 °C | ±0.4% |
| Current | I–V characteristic curve instrument | EKO MP-11-SET-E (from EKO Instruments, Tokyo, Japan) | 100 mA–30 A 10 V–1000 V | ±1% |
| Voltage | ||||
| Environment temperature | temperature and humidity recorder | GSP-6 (from Greatech Scientific, Shanghai, China) | −40 to 80 °C | ±0.5 °C |
| Wind velocity | hot-wire anemometer | Testo 405i (from Testo GmbH, Titisee-Neustadt, Germany) | 0–30 m/s | ±0.1 m/s |
| Solar irradiance | solar irradiance meter | Delta-T SPN1 (from Delta-T Devices, Cambridge, UK) | 0–2000 W/m2 | 5% |
| Property | Units | Value |
|---|---|---|
| Density | kg/m3 | 950 |
| Thermal conductivity | W/(m·K) | 2.7 |
| Specific heat | J/(kg·K) | 1800, solid; 2000, liquid |
| Melting point | °C | 41.5 |
| Phase-change radius | °C | 1.5 |
| Latent heat | kJ/kg | 177.7 |
| Factors | °C | W/m·K | mm | |
|---|---|---|---|---|
| Levels | ||||
| −1 | 21.6 | 0.27 | 0 | |
| 0 | 36.1 | 1.485 | 15 | |
| +1 | 50.6 | 2.7 | 30 | |
| Standard Sequence Number | |||
|---|---|---|---|
| 1 | −1 | −1 | 0 |
| 2 | 1 | −1 | 0 |
| 3 | −1 | 1 | 0 |
| 4 | 1 | 1 | 0 |
| 5 | −1 | 0 | −1 |
| 6 | 1 | 0 | −1 |
| 7 | −1 | 0 | 1 |
| 8 | 1 | 0 | 1 |
| 9 | 0 | −1 | −1 |
| 10 | 0 | 1 | −1 |
| 11 | 0 | −1 | 1 |
| 12 | 0 | 1 | 1 |
| 13 | 0 | 0 | 0 |
| 14 | 0 | 0 | 0 |
| 15 | 0 | 0 | 0 |
| 16 | 0 | 0 | 0 |
| 17 | 0 | 0 | 0 |
| Paraffin (CNY/ton) | Expanded Graphite (CNY/ton) | Acrylic (CNY/m3) | |
|---|---|---|---|
| Prices | 6500 | 3600 | 20.0 |
| Climate Region | Grade of Solar Energy Resources | Cities | Annual Total Horizontal Radiation (kWh/m2) |
|---|---|---|---|
| 1B | A | Naqu | 1869 |
| 1C | B | Ganzi | 1701 |
| 2A | B | Lanzhou | 1596 |
| 2B | A | Lhasa | 1941 |
| 3A | C | Chengdu | 1083 |
| 3B | B | Nanjing | 1398 |
| 4A | C | Hechi | 1235 |
| 4B | B | Sanya | 1557 |
| 5A | B | Chuxiong | 1623 |
| City | Response Surface Model | |
|---|---|---|
| Naqu | ||
| Ganzi | ||
| Lanzhou | ||
| Lhasa | ||
| Chengdu | ||
| Nanjing | 1 | |
| Hechi | ||
| Sanya | ||
| Chuxiong |
| (°C) | (W/m K) | ||
|---|---|---|---|
| Naqu | 21.6 | 2.7 | 30 |
| Ganzi | 21.6 | 2.61 | 30 |
| Lanzhou | 25.93 | 2.46 | 30 |
| Lhasa | 21.6 | 2.57 | 30 |
| Chengdu | 31.78 | 2.42 | 30 |
| Nanjing | 30.51 | 2.63 | 30 |
| Hechi | 34.54 | 1.8 | 22.35 |
| Sanya | 35.52 | 2.51 | 30 |
| Chuxiong | 21.6 | 2.57 | 30 |
Disclaimer/Publisher’s Note: The statements, opinions and data contained in all publications are solely those of the individual author(s) and contributor(s) and not of MDPI and/or the editor(s). MDPI and/or the editor(s) disclaim responsibility for any injury to people or property resulting from any ideas, methods, instructions or products referred to in the content. |
© 2024 by the authors. Licensee MDPI, Basel, Switzerland. This article is an open access article distributed under the terms and conditions of the Creative Commons Attribution (CC BY) license (https://creativecommons.org/licenses/by/4.0/).
Share and Cite
Tang, L.; Luo, Y.; Yin, L.; Li, J.; Cao, X. Thermal-Management Performance of Phase-Change Material on PV Modules in Different Climate Zones. Energies 2024, 17, 6200. https://doi.org/10.3390/en17236200
Tang L, Luo Y, Yin L, Li J, Cao X. Thermal-Management Performance of Phase-Change Material on PV Modules in Different Climate Zones. Energies. 2024; 17(23):6200. https://doi.org/10.3390/en17236200
Chicago/Turabian StyleTang, Liang, Yong Luo, Linlin Yin, Jinwei Li, and Xiaoling Cao. 2024. "Thermal-Management Performance of Phase-Change Material on PV Modules in Different Climate Zones" Energies 17, no. 23: 6200. https://doi.org/10.3390/en17236200
APA StyleTang, L., Luo, Y., Yin, L., Li, J., & Cao, X. (2024). Thermal-Management Performance of Phase-Change Material on PV Modules in Different Climate Zones. Energies, 17(23), 6200. https://doi.org/10.3390/en17236200

