A Novel Synchronization Strategy for Distributed Energy Resources in Weak Grids Using Remote Strong Grid Sensing
Abstract
1. Introduction
- Under weak grid conditions, the voltage fluctuation at the PCC will disturb the PLL, leading to a transient response. As a result, the system cannot achieve the desired control performance.
- Current control interacts with the PLL via the voltage at the PCC. The PLL dynamics may deteriorate the grid current control and even result in the system instability.
- A low bandwidth PLL improves the dynamic response of grid-connected converters; nevertheless, it may result in interactions between the converter and the grid and increase the negative real part of the output impedance of the converter, which will destabilize the system under weak grid conditions.
- By slowing down the PLL, the disturbance of the grid current control during the transient process can be effectively suppressed. However, a slow PLL increases the response time of the grid current and hence convergence to steady state, which is not beneficial for the fault ride-through and recovery from voltage sags.
- The PLL of the local VSC control is synchronized to the strong grid point voltage and achieves stable operation and improvement in the output voltage, and real and reactive power dynamics.
- The strong grid synchronization control strategy improves the VSC output dynamics and recovery after faults and strong grid voltage sags.
- The strong grid point synchronization does not affect the local power controls.
- The proposed time-delay-compensation method eliminates the effect of time delays on the proposed control strategy.
2. Weak Grids and Current Injection Control
2.1. Grid Short Circuit Ratio
2.2. Current Injection Control
2.3. Power Invariant Transformations
3. Proposed Remote Strong Grid Sensing for Inverter Synchronization
3.1. Current Injection Control Using Remote Grid Synchronization
3.2. Low Bandwidth Communication
3.3. Time-Delay Compensation
3.4. Power Invariant Analysis
4. Low-Voltage Simulation
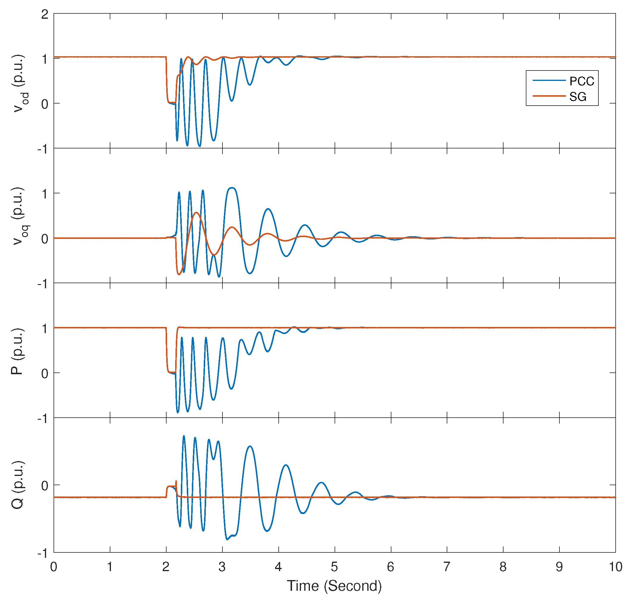
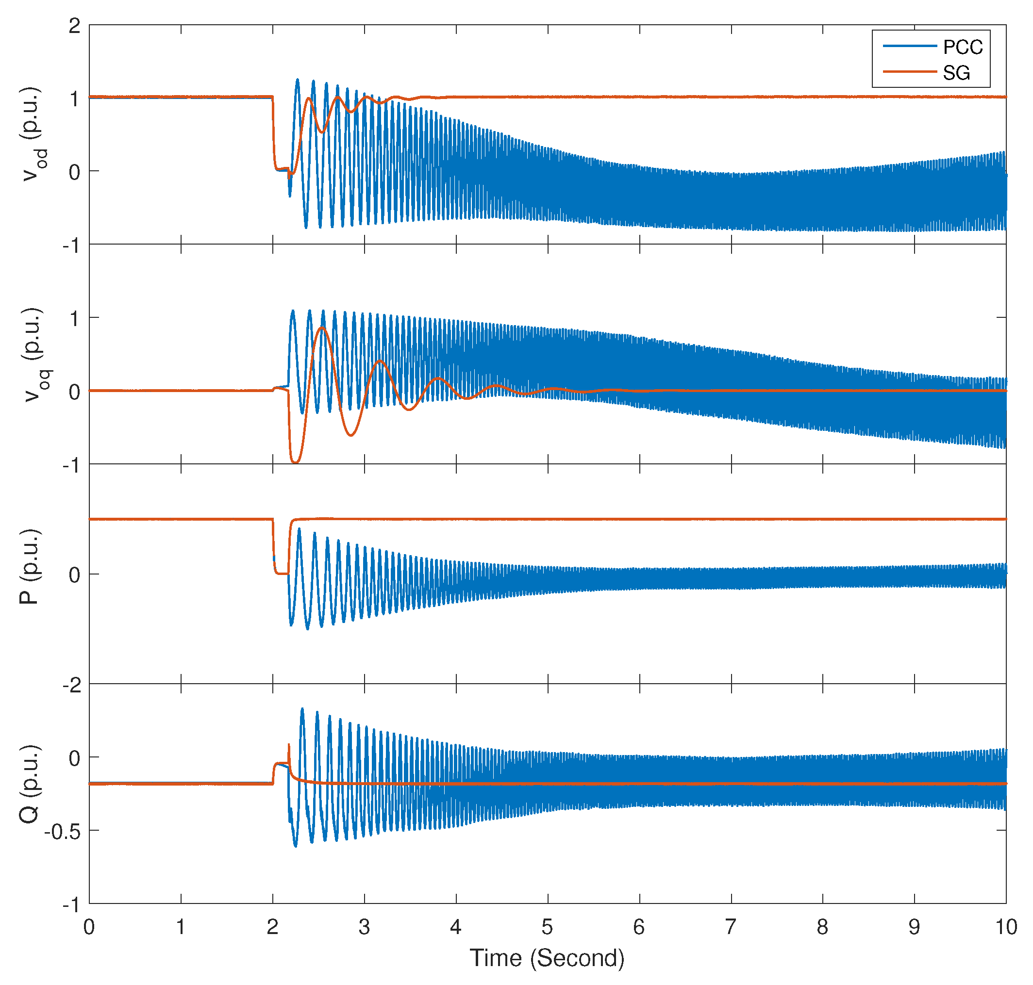
4.1. Symmetrical Voltage Sag—Low-Voltage Ride Through (LVRT)
4.2. Asymmetric Line-to-Line Fault with Time-Delay Compensation
4.3. Asymmetric Single Line-to-Ground Fault with Time-Delay Compensation (Large Grid Impedance)
5. Medium Voltage Real-Time Digital Simulation
5.1. Cases A: Small Line Impedance
5.2. Cases B: Large Line Impedance
5.3. Cases C: Time-Delay Compensation
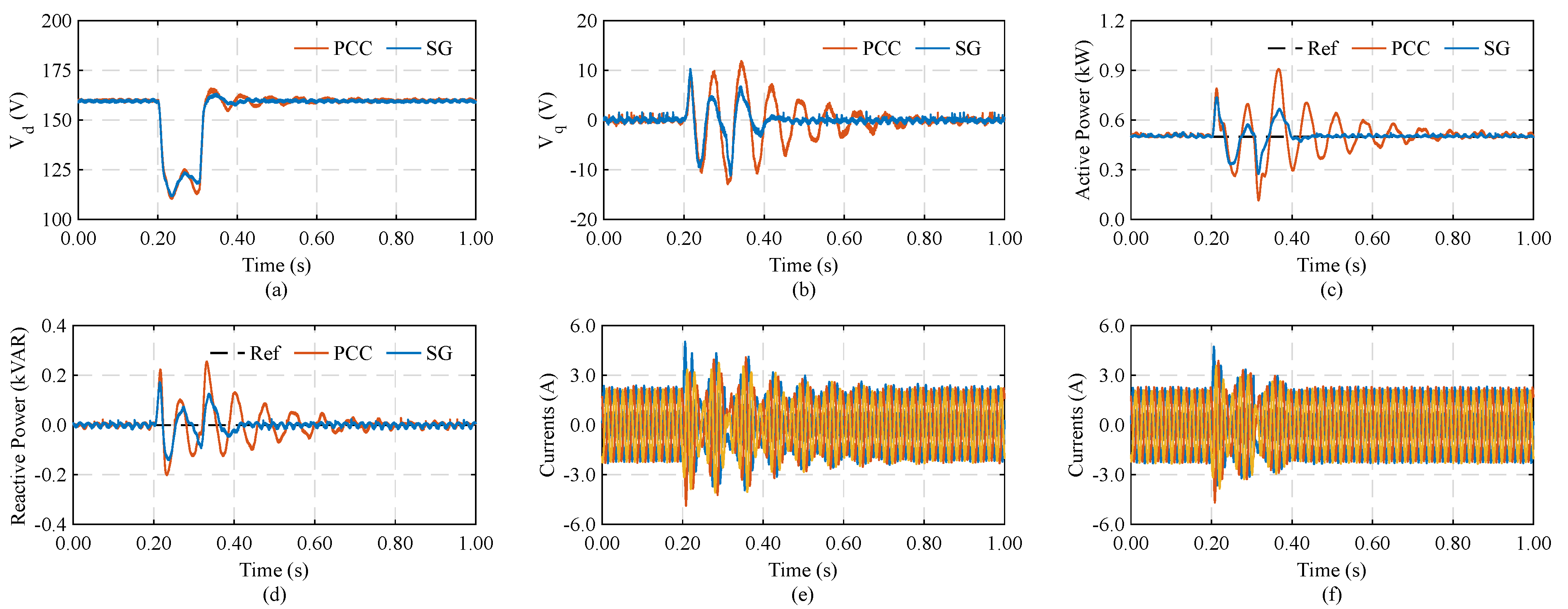
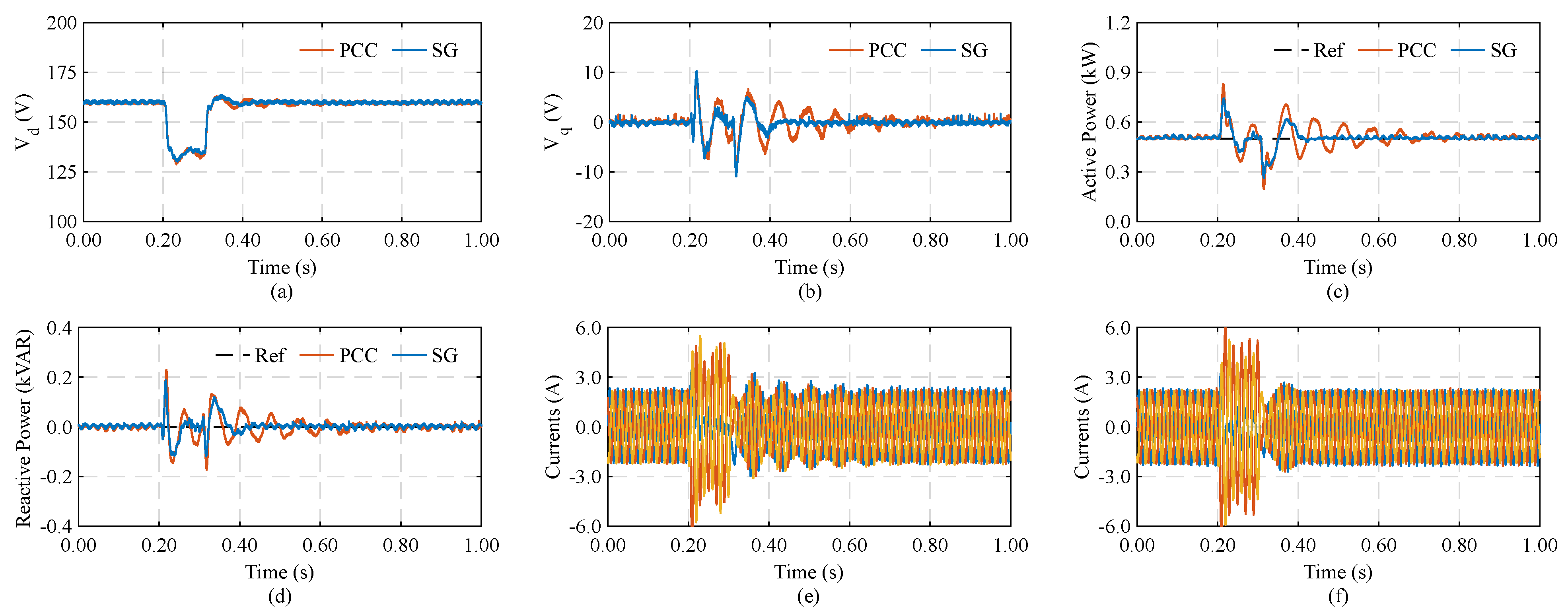
6. Experimental Validation
6.1. Symmetrical Voltage Sag—Low-Voltage Ride Through (LVRT)
6.2. Asymmetrical Single Line to Ground Fault
6.3. Asymmetrical Voltage Unbalance Fault with Time-Delay Compensation
7. Conclusions
Author Contributions
Funding
Data Availability Statement
Conflicts of Interest
References
- Wu, G.; Sun, H.; Zhao, B.; Xu, S.; Zhang, X.; Egea-Alvarez, A.; Wang, S.; Li, G.; Li, Y.; Zhou, X. Low-Frequency Converter-Driven Oscillations in Weak Grids: Explanation and Damping Improvement. IEEE Trans. Power Syst. 2021, 36, 5944–5947. [Google Scholar] [CrossRef]
- Zhang, X.; Li, M.; Xu, D. PCC Voltage Perturbation Path Analysis and Compensation for Grid-Connected Voltage-Source Converter under Weak Grid. IEEE Trans. Ind. Electron. 2021, 68, 12331–12339. [Google Scholar] [CrossRef]
- Chedjara, Z.; Massoum, A.; Wira, P.; Safa, A.; Gouichiche, A. A New Quasi Open Loop Synchronization Technique for Grid-Connected Applications. Electr. Control Commun. Eng. 2021, 17, 47–58. [Google Scholar] [CrossRef]
- Golestan, S.; Vidal, A.; Yepes, A.G.; Guerrero, J.M.; Vasquez, J.C.; Doval-Gandoy, J. A True Open-Loop Synchronization Technique. IEEE Trans. Ind. Inform. 2016, 12, 1093–1103. [Google Scholar] [CrossRef]
- Chand, S.; Prasad, R.; Mudaliar, H.; Kumar, D.; Fagiolini, A.; Benedetto, M.; Cirrincione, M. Improving Power Delivery of Grid-Connected Induction Machine Based Wind Generators under Dynamic Conditions Using Feedforward Linear Neural Networks. IEEE Access 2023, 11, 63550–63564. [Google Scholar] [CrossRef]
- Natesan, S.; Venkatesan, J.; Natesan, S.; Venkatesan, J. A SRF-PLL Control Scheme for DVR to Achieve Grid Synchronization and PQ Issues Mitigation in PV Fed Grid Connected System. Circuits Syst. 2016, 7, 2996–3015. [Google Scholar] [CrossRef][Green Version]
- Ponomarev, A.; Hagenmeyer, V.; Gröll, L. Nonlinear analysis of the synchronous reference frame phase-locked loop under unbalanced grid voltage. Nonlinear Dyn. 2024, 112, 9225–9243. [Google Scholar] [CrossRef]
- Kamil, H.S.; Said, D.M.; Mustafa, M.W.; Miveh, M.R.; Ahmad, N. Recent advances in phase-locked loop based synchronization methods for inverter-based renewable energy sources. Indones. J. Electr. Eng. Comput. Sci. 2020, 18, 1–8. [Google Scholar] [CrossRef]
- Ali, Z.; Christofides, N.; Hadjidemetriou, L.; Kyriakides, E. Design of an advanced PLL for accurate phase angle extraction under grid voltage HIHs and DC offset. IET Power Electron. 2018, 11, 995–1008. [Google Scholar] [CrossRef]
- Li, J.; Wang, Q.; Xiao, L.; Liu, Z.; Wu, Q.; Li, J.; Wang, Q.; Xiao, L.; Liu, Z.; Wu, Q. An accurate and robust adaptive notch filter-based phase-locked loop. JPEle 2020, 20, 1514–1525. [Google Scholar] [CrossRef]
- Gawhade, P.; Ojha, A. Recent advances in synchronization techniques for grid-tied PV system: A review. Energy Rep. 2021, 7, 6581–6599. [Google Scholar] [CrossRef]
- Nair, A.; Kamalasadan, S.; Geis-Schroer, J.; Patel, S.; Smith, M. An Investigation of Grid Stability and a New Design of Adaptive Phase-Locked Loop for Wind-Integrated Weak Power Grid. IEEE Trans. Ind. Appl. 2022, 58, 5871–5884. [Google Scholar] [CrossRef]
- Radwan, A.A.A.; Mohamed, Y.A.R.I. Improved Vector Control Strategy for Current-Source Converters Connected to Very Weak Grids. IEEE Trans. Power Syst. 2016, 31, 3238–3248. [Google Scholar] [CrossRef]
- Suul, J.A.; D’Arco, S.; Rodríguez, P.; Molinas, M. Extended stability range of weak grids with Voltage Source Converters through impedance-conditioned grid synchronization. In Proceedings of the 11th IET International Conference on AC and DC Power Transmission, Birmingham, UK, 10–12 February 2015. [Google Scholar] [CrossRef]
- Chen, X.; Zhang, Y.; Wang, S.; Chen, J.; Gong, C. Impedance-Phased Dynamic Control Method for Grid-Connected Inverters in a Weak Grid. IEEE Trans. Power Electron. 2017, 32, 274–283. [Google Scholar] [CrossRef]
- Fang, J.; Lin, P.; Li, H.; Yang, Y.; Tang, Y. An improved virtual inertia control for three-phase voltage source converters connected to a weak grid. IEEE Trans. Power Electron. 2019, 34, 8660–8670. [Google Scholar] [CrossRef]
- Maganti, S.; Padhy, N.P. Analysis and Design of PLL Less Current Control for Weak Grid-Tied LCL-Type Voltage Source Converter. IEEE J. Emerg. Sel. Top. Power Electron. 2022, 10, 4026–4040. [Google Scholar] [CrossRef]
- Givaki, K.; Xu, L. Stability analysis of large wind farms connected to weak AC networks incorporating PLL dynamics. IET Conf. Publ. 2015, 2015, 1–6. [Google Scholar] [CrossRef]
- Zhang, Q.; Mao, M.; Ke, G.; Zhou, L.; Xie, B. Stability problems of PV inverter in weak grid: A review. IET Power Electron. 2020, 13, 2165–2174. [Google Scholar] [CrossRef]
- Lin, Y.; Lian, P. Parameter selection of LCL inverter current dual-loop controller under weak power grid. Power Sci. Eng. 2021, 37, 19–24. [Google Scholar] [CrossRef]
- Xue, R.; Li, G.; Tong, H.; Chen, Y. Adaptive active damping method of grid-connected inverter based on model predictive control in weak grid. J. Power Electron. 2022, 22, 1100–1111. [Google Scholar] [CrossRef]
- Guo, B.; Su, M.; Wang, H.; Tang, Z.; Liao, Y.; Zhang, L.; Shi, S. Observer-based second-order sliding mode control for grid-connected VSI with LCL-type filter under weak grid. Electr. Power Syst. Res. 2020, 183, 106270. [Google Scholar] [CrossRef]
- Davari, M.; Gao, W.; Aghazadeh, A.; Blaabjerg, F.; Lewis, F.L. An Optimal Synchronization Control Method of PLL Utilizing Adaptive Dynamic Programming to Synchronize Inverter-Based Resources With Unbalanced, Low-Inertia, and Very Weak Grids. IEEE Trans. Autom. Sci. Eng. 2024, 1–19. [Google Scholar] [CrossRef]
- Zhang, W.; Wang, Y.; Xu, P.; Li, D.; Liu, B. A Current Control Method for Grid-Connected Inverters. Energies 2023, 16, 6558. [Google Scholar] [CrossRef]
- Wu, F.; Sun, Z.; Xu, W.; Li, Z.; Lyu, J. A Control Parameters Design Method With Multi-Constrains for an LCL-Filtered Grid-Connected Inverter in a Weak Grid. Front. Energy Res. 2022, 9, 798793. [Google Scholar] [CrossRef]
- Abbas, H.H.; Shafiee, Q.; Bevrani, H. Optimal passive LCL filter design for grid-connected converters in weak grids. Electr. Power Syst. Res. 2024, 235, 110896. [Google Scholar] [CrossRef]
- Cai, Y.; He, Y.; Zhou, H.; Liu, J. Design Method of LCL Filter for Grid-Connected Inverter Based on Particle Swarm Optimization and Screening Method. IEEE Trans. Power Electron. 2021, 36, 10097–10113. [Google Scholar] [CrossRef]
- Jayasinghe, G.; Bahrani, B. Stability-Enhancing Measures for Weak Grids Study Milestone 2 Report Executive Summary. 2021. Available online: https://arena.gov.au/assets/2021/09/stability-enhancing-measures-for-weak-grids-study-milestone-2-report.pdf (accessed on 5 October 2024).
- Rodriguez-Cabero, A.; Prodanovic, M.; Roldan-Perez, J. Analysis of dynamic properties of VSCs connected to weak grids including the effects of dead time and time delays. IEEE Trans. Sustain. Energy 2019, 10, 1066–1075. [Google Scholar] [CrossRef]
- Arbab-Zavar, B.; Palacios-Garcia, E.J.; Vasquez, J.C.; Guerrero, J.M. Smart Inverters for Microgrid Applications: A Review. Energies 2019, 12, 840. [Google Scholar] [CrossRef]
- Arbab-Zavar, B.; Palacios-Garcia, E.J.; Vasquez, J.C.; Guerrero, J.M. LoRa Enabled Smart Inverters for Microgrid Scenarios with Widespread Elements. Electronics 2021, 10, 2680. [Google Scholar] [CrossRef]
- Pogaku, N.; Prodanović, M.; Green, T.C. Modeling, analysis and testing of autonomous operation of an inverter-based microgrid. IEEE Trans. Power Electron. 2007, 22, 613–625. [Google Scholar] [CrossRef]
- Chand, S.; Prasad, R.; Mudaliar, H.; Kumar, D.; Fagiolini, A.; Di Benedetto, M.; Cirrincione, M. Enhanced Current Loop PI Controllers with Adaptive Feed-Forward Neural Network via Estimation of Grid Impedance: Application to Three-Phase Grid-Tied PV Inverters. In Proceedings of the 2022 IEEE Energy Conversion Congress and Exposition, ECCE 2022, Detroit, MI, USA, 9–13 October 2022. [Google Scholar] [CrossRef]
- Ali, M.; Tariq, M.; Upadhyay, D.; Khan, S.A.; Satpathi, K.; Alamri, B.; Alahmadi, A.A. Genetic Algorithm Based PI Control with 12-Band Hysteresis Current Control of an Asymmetrical 13-Level Inverter. Energies 2021, 14, 6663. [Google Scholar] [CrossRef]

















| Parameter | Symbol | Value | Unit |
|---|---|---|---|
| Grid frequency | 50 | Hz | |
| Rated PV power | 10 | kW | |
| Utility line voltage | 415 | V | |
| Rated DC bus voltage | 750 | V | |
| Controller sample time | 20 | μs | |
| Inverter switching frequency | 15 | kHz | |
| Damping resistor | 4.06 | ||
| DC link capacitor | 350 | μF | |
| Filter capacitance | 9.24 | μF | |
| Grid side inductance | 2.7 | mH | |
| Inverter side inductance | 2.8 | mH | |
| Internal parasitic resistances | / | 50/40 | m |
| 11 kV | 3.3 kV | 5 MVA | |||
| 1.442 | −182.7 | 0.05 | |||
| 0.1298 | 0.01298 | 0.5193 | |||
| 0.05193 | 0.25 | 314.2 rad/s |
| 0.3 | 100 | 50 | 2000 | ||||
| 1 | 0.2 | 20 kHz |
| Parameter | Symbol | Value | Unit |
|---|---|---|---|
| Rated power | 1.25 | kW | |
| Grid voltage | 110 | ||
| Grid frequency | 50 | Hz | |
| DC bus voltage | 320 | V | |
| Controller sample time | 20 | μs | |
| Inverter switching frequency | 10 | kHz | |
| Damping resistor | 3.35 | ||
| Filter capacitance | 4.65 | μF | |
| Grid side inductance | 0.49 | mH | |
| Inverter side inductance | 2.52 | mH | |
| Internal parasitic resistances | / | 115.95/102.30 | m |
Disclaimer/Publisher’s Note: The statements, opinions and data contained in all publications are solely those of the individual author(s) and contributor(s) and not of MDPI and/or the editor(s). MDPI and/or the editor(s) disclaim responsibility for any injury to people or property resulting from any ideas, methods, instructions or products referred to in the content. |
© 2024 by the authors. Licensee MDPI, Basel, Switzerland. This article is an open access article distributed under the terms and conditions of the Creative Commons Attribution (CC BY) license (https://creativecommons.org/licenses/by/4.0/).
Share and Cite
Zhang, R.; Chand, S.S.; Hredzak, B.; Bie, Z. A Novel Synchronization Strategy for Distributed Energy Resources in Weak Grids Using Remote Strong Grid Sensing. Energies 2024, 17, 6135. https://doi.org/10.3390/en17236135
Zhang R, Chand SS, Hredzak B, Bie Z. A Novel Synchronization Strategy for Distributed Energy Resources in Weak Grids Using Remote Strong Grid Sensing. Energies. 2024; 17(23):6135. https://doi.org/10.3390/en17236135
Chicago/Turabian StyleZhang, Runfan, Shyamal S. Chand, Branislav Hredzak, and Zhaohong Bie. 2024. "A Novel Synchronization Strategy for Distributed Energy Resources in Weak Grids Using Remote Strong Grid Sensing" Energies 17, no. 23: 6135. https://doi.org/10.3390/en17236135
APA StyleZhang, R., Chand, S. S., Hredzak, B., & Bie, Z. (2024). A Novel Synchronization Strategy for Distributed Energy Resources in Weak Grids Using Remote Strong Grid Sensing. Energies, 17(23), 6135. https://doi.org/10.3390/en17236135

