Next Article in Journal
Correlating Sediment Erosion in Rotary–Stationary Gaps of Francis Turbines with Complex Flow Patterns
Next Article in Special Issue
Tensor-Based Predictor–Corrector Algorithm for Power Generation and Transmission Reliability Assessment with Sequential Monte Carlo Simulation
Previous Article in Journal
Prediction of Freezing Time During Hydrogen Fueling Using Machine Learning
Previous Article in Special Issue
Dimensionality Reduction and Clustering Strategies for Label Propagation in Partial Discharge Data Sets
 
 
Font Type:
Arial Georgia Verdana
Font Size:
Aa Aa Aa
Line Spacing:
Column Width:
Background:
Article

Testing the Automatic Voltage Regulators of Ship Synchronous Generators Using Hardware-in-the-Loop Technology

by
Dariusz Tarnapowicz
1,*,
Tymoteusz Zaleski
1,
Zbigniew Matuszak
2,
Marek Jaskiewicz
3 and
Seweryn Sawicki
1
1
Faculty of Mechatronics and Electrical Engineering, Maritime University of Szczecin, 71-650 Szczecin, Poland
2
Faculty of Marine Engineering, Maritime University of Szczecin, 71-650 Szczecin, Poland
3
Faculty of Mechatronics and Mechanical Engineering, Kielce University of Technology, 25-314 Kielce, Poland
*
Author to whom correspondence should be addressed.
Energies 2024, 17(23), 5963; https://doi.org/10.3390/en17235963
Submission received: 6 November 2024 / Revised: 20 November 2024 / Accepted: 25 November 2024 / Published: 27 November 2024
(This article belongs to the Special Issue Energy, Electrical and Power Engineering: 3rd Edition)

Abstract

In marine systems, autonomous power generation unit sets play an important (main) function, and the Automatic Voltage Regulator (AVR) is a part of the excitation system of a synchronous generator that is difficult to test, repair, and adjust by the Electro Technical Officer (ETO) and marine automation services. Typically, testing of the AVR on ships is carried out on installed AVRs in an operating generator, which creates significant challenges. Under operating conditions, achieving various generator operating states is practically impossible. In this article, the authors present a solution that replaces traditional AVR testing by using Hardware-in-the-Loop (HiL) technology, allowing for full diagnostics. Testing the AVR in a loop allowed verification of its performance without a real generator, which is simulated in real time. The possibility of diagnosing the AVR under different standalone generator conditions (dynamic load changes and load character changes) was presented. Test scenarios were carried out in real time on a sample AVR from LXCOS V1.4.5.2 and the HiL simulator from Speedgoat. The solution proposed by the authors in the article enables effective diagnostics of the AVR with high practicality and low costs.

1. Introduction

A ship power plant system must be highly reliable, as any failure can have serious consequences for the safety of the vessel. The ship power plant is essential for the proper operation and operational efficiency of the vessel, directly impacting the ship’s ability to operate effectively and safely at sea [1,2].
The ship’s electrical network is unique and significantly different from the networks used on land. Primarily, the power of individual loads (especially the largest ones) is comparable to the power of a single Diesel Generator (DG) unit. Therefore, the marine electrical network is often referred to as a “soft” (flexible) network. It should also be noted that the marine network is usually isolated (with an isolated neutral point), in contrast to grounded land networks (with a grounded neutral point) [3,4].
Among the various methods of generating electricity on ships, the most common solution (around 80% of cases) is autonomous Diesel Generator (DG) units (Figure 1), powered by diesel engines and equipped with a synchronous generator with electromagnetic excitation (EESG) [2].
Maintaining a constant voltage level in marine systems on the main switchboard (MSB) busbars is important and required by the regulations of classification societies, especially in the context of the “soft” network mentioned earlier. Voltage drops, surges, voltage fluctuations, harmonics, etc., are some of the common power-quality issues in ship electric power systems [5,6].
The AVR (automatic voltage regulator) in an EESG is a key component responsible for maintaining stable generator output voltage, regardless of load and other variable operating conditions. The AVR operates by monitoring the generator’s output voltage and adjusting the excitation current as needed to maintain the desired voltage level [7,8,9,10,11].
AVRs can be divided into two types:
  • Analog—Traditional AVRs that use analog electronic components to control the generator’s excitation system. These AVRs were widely used due to their simplicity and reliability.
  • Digital—Modern AVRs characterized by high efficiency, precision, and flexibility compared to analog AVRs. They are used in the marine industry for advanced control with simultaneous monitoring and additional protective features. The benefits of using digital AVRs outweigh their drawback of a higher cost. Despite greater complexity and expense, digital control has become the most common control due to the increased ability to implement various regulator settings.
Thanks to the extensive practical experience of the authors (years of work as Electro Technical Officers (ETOs) on ships, work in repair shipyards, and current cooperation with marine automation services), it can be stated that failures directly related to marine power plant automation account for about 65–70% of all automation system failures on ships.
The AVR is a challenging component of the DG set to repair, especially in “soft” marine electrical networks. Diagnosing, testing, and adjusting the AVR under operational conditions on ships is practically impossible due to the lack of ability to dynamically load the DG set by connecting different types and sizes of loads. Furthermore, marine automation services cannot verify the proper operation of the AVR after a potential repair due to the absence of the control object, which is the EESG.
The authors of this article presented a solution to this problem using Hardware-in-the-Loop (HiL) technology. This technique is currently regarded as one of the most advanced for testing various systems where the physical object (device) cannot be utilized. The testing is conducted using mathematical models that represent these objects with the help of a simulator.
In the context of an AVR, HiL technology involves replacing the physical object, which is the EESG, with an equivalent computer model. This model operates in real time on a simulator equipped with inputs and outputs capable of interfacing with the AVR [12,13,14,15,16,17]. Compared to other models, the solution proposed by the authors for testing synchronous generator AVRs using HiL technology can easily be applied to testing various AVRs (both analog and digital), along with different types of generators and various inductive loads.
The article presents the testing of a factory-built (commercially available) AVR device under various conditions (steady-state and dynamic) using a simulator of the autonomous operation of a DG set implemented with HiL technology.

2. Materials and Methods

The AVR testing station for synchronous generators using HIL technology allows testing and real time simulation of generator systems and AVR regulators without the need for real generators. Such a system is widely used in research and development to simulate the complex operational scenarios of synchronous generators and their control systems.
Components of the testing station for AVR and synchronous generators:
  • Real time Simulator: This device simulates the behavior of synchronous generators in real time, including electrical and mechanical dynamics. It reproduces external phenomena such as changing loads, voltage changes, and frequency fluctuations. Popular real time simulators include the RTDS (Real Time Digital Simulator) [18,19] or the OPAL-RT [20,21]. The testing station described in the article used the Speedgoat Baseline Real-Time Target Machine (Figure 2) [22].
Basic features of the Baseline Real-Time Target Machine [23]:
-
Full compatibility with MATLAB, Simulink, Simulink Coder, Simulink Real-Time and HDL Coder
-
High-speed analog and digital I/O
-
Simulink-programmable FPGA. Speedgoat FPGA technology provides high-frequency I/O connectivity, communication protocols and closed-loop rates up to a few MHz. The Speedgoat real-time system for education features the IO397 Simulink-programmable FPGA I/O module that includes:
  • Xilinx Artix 7 FPGA with 45,000 logic cells (Xilinx, San Jose, CA, USA),
  • 4 differential analog inputs,
  • 14 single-ended analog outputs, and
  • 14 general purpose I/O.
  • Hardware AVR Controller: The AVR used in the proposed HiL solution is a factory-built (commercially available) device that regulates the output voltage of the generator by controlling the excitation current. In HIL technology, the AVR is connected to a real-time simulator, which provides it with signals that mimic those from a real generator, such as voltage and current signals. The study presented in the article used the LXCOS digital voltage regulator, LXCOS replacement AVR for AvK Cosimat N+ by EMRI (Figure 3), which offers optimal flexibility and adjustability, as reflected in additional features [24] and an LCD panel where AVR parameters can be observed and set.
In the tested AVR, the AVR adjustments can be performed using adjustable potentiometers (Figure 3b) and via the LCD panel (Figure 3c) [23]:
-
M-Select—AVR mode selection (different modes of AVR operation can be set),
-
Voltage—Course generator voltage setpoint,
-
Voltage fine—Fine generator voltage setpoint,
-
Prop. gain—Proportional gain setpoint stability adjustment,
-
Int. time—Integral time setpoint stability adjustment,
-
Droop voltage—droop setpoint for parallel operation
-
I-limit—Generator current limit setting
-
P1—Acc-range—Accessory input range adjustment,
-
P2—Excitation ceiling—Over excitation setpoint,
-
P3—Cos f—Cos f setpoint
  • Simulation Software: The Matlab-Simulink software (Matlab R2023b) used accurately simulates the behavior of the synchronous generator. The software supports interactions between virtual and real components in the HIL system. Simulated Loads: The system allows for the connection of simulated loads in the real-time simulator. This feature enables testing under variable load conditions, which is crucial for analyzing AVR responses. The Matlab-Simulink program utilized Simscape Matlab-Simulink libraries (providing virtual models of synchronous generators with various parameters) and Speedgoat libraries (mainly responsible for connecting to the virtual machine). The schematic diagram of the model implemented in Matlab—Simulink is shown in Figure 4.
Based on the block diagram (Figure 4), a real-time simulation model was developed in Matlab-Simulink (Figure 5) and implemented in the Speedgoat module.
  • Communication Interfaces: Various communication channels (analog) are essential for connecting the AVR controller with the real-time simulator. These interfaces include custom analog signals to simulate actual feedback from the generator to the AVR. In the studies, the following were used (Figure 6):
    -
    Voltage-controlled preamplifier AVT1729 (AVT, Warszawa, Poland)
    -
    Voltage-controlled amplifier TDA2030 18 W (Botland, Bralin, Poland)
    -
    Transformer 2 VA, 6 V/230 V 0.22 A, (Indel TS2/16 (Indel, Brzeziny, Poland)
    -
    Current transducer LEM LESR 25-NP 6 A (LEM International SA, Meyrin, Switzerland)
The voltage preamplifier (Figure 6a), which acts as a safety system for the Speedgoat module by transforming low-current voltage signals into high-current signals, and the voltage amplifier (Figure 6b) with a variable gain factor, dependent on the voltage value applied to the gain control input. The transformer raises the signal voltage level to a real voltage for the AVR. The current transducer supplies the Speedgoat module with a signal proportional to the excitation current of the generator from the AVR.
  • Ethernet and CAN 2.0 protocols
All the presented components of the laboratory setup for testing the AVR, when appropriately connected, form the HiL technology. The topology of the setup for testing the AVR using HiL technology is shown in Figure 7.
In the presented studies, AVR adjustments were made to test its performance under simulated operating conditions. Table 1 shows selected parameters of the marine synchronous generator used in the studies and implemented in the Matlab-Simulink program.
Devices and systems on modern ships require a certain quality of electrical power supply. The quality of generated electrical power is described, among other things, by the parameter of the permissible range of voltage changes—in steady (static) and unsteady (transient) states. The voltage regulation process and transient error are shown in Figure 6. According to classification society requirements, the voltage value must not exceed ±20% (Overshoot) of the nominal voltage in dynamic conditions and +6/−10% in static conditions. The voltage recovery time after a change must not exceed 1.5 s [25].
Figure 8 shows the theoretical waveform of the effective voltage value URMS of the generator during a dynamic load change in the context of the tested AVR settings.
A separate issue is testing the operation of the AVR not only with dynamic changes in the resistance load but also with changes in the inductive load. The load characteristics of a synchronous generator, which include the dependence of the terminal voltage on the armature current at a constant rotational speed and constant excitation current, also depend on the magnitude of the inductive load. This is a well-known property—the armature reaction at various inductive loads [26,27,28]. The operating point of the AVR to maintain the set voltage when the magnitude of the inductive load changes will also change (Figure 9).
At a low power factor (inductive character), the longitudinal armature reaction, which is demagnetizing in nature, significantly reduces the voltage. To maintain a constant voltage, the AVR response causes a much higher excitation current than under nominal conditions. In marine systems, the load character is associated with the generator (generators) load by squirrel-cage motors, which are the main consumers in the marine power system. In practice, the load character of the generator can change from cosϕ = 0.85 to cosϕ = 0.6.
The article conducted verification, testing, and adjustment studies of the AVR by ensuring:
  • Verification of the possibility of setting the target voltage value at 10% nominal power load under static conditions
  • Verification of AVR operation with random controller settings under static conditions
  • Verification of correct AVR operation under dynamic load change while maintaining load characteristics (cosϕ = 0.85)
  • Verification of correct AVR operation under dynamic load change and change in load characteristics (from cosϕ = 0.85 to cosϕ = 0.7)

3. Results

The PI regulator setting for the tested AVR requires determining the values of two parameters:
  • Proportional gain (Kp)—responsible for the controller’s reaction to the current error.
  • Integral time constant (Ki)—responsible for the reaction to the sum of errors over time (known as error integration).
Figure 10 shows the time course of the URMS voltage and excitation current Iex obtained with random AVR settings (even without approximate regulator settings).
The AVR requires precise tuning to stabilize the voltage correctly. The settings are incorrect, with an excessively high integral gain Ki = 96% and too low proportional gain Kp = 10%. The AVR system introduces oscillations instead of stabilizing the voltage (Figure 10). In the next test, the generator load was changed from 40% to 80% while maintaining a constant power factor cosϕ (Figure 11).
The AVR parameters were set to Kp = 15%, Ki = 87%. These are imprecise settings, but the AVR stabilizes the voltage during both dynamic load increases and decreases, from 40% to 80% and from 80% to 40%, with a constant power factor (Figure 12). The voltage URMS recovery time after the load change is too long (not in accordance with the regulations; t > 1.5 s).
As previously mentioned, in marine systems, the operation of synchronous generators in generator sets is governed by regulations [29]:
Voltage transients:
-
Transients, e.g., due to load variations, tolerance (deviation from nominal voltage): +20%/−20%
-
Voltage transient recovery time: maximum 1.5 s
It should be noted that the recovery time to a normal state (regulated by standards) is not solely related to the performance of the AVR but also to the physical properties of the synchronous generator. In the article, this refers to a generator with a power rating of 1.3 MVA (the increase in induced voltage with the rise of the rotor flux caused by an increase in the excitation current Iex).
Tests were conducted with precise AVR settings. The generator load change from 40% to 80% was repeated while maintaining the power factor cosϕ (Figure 13).
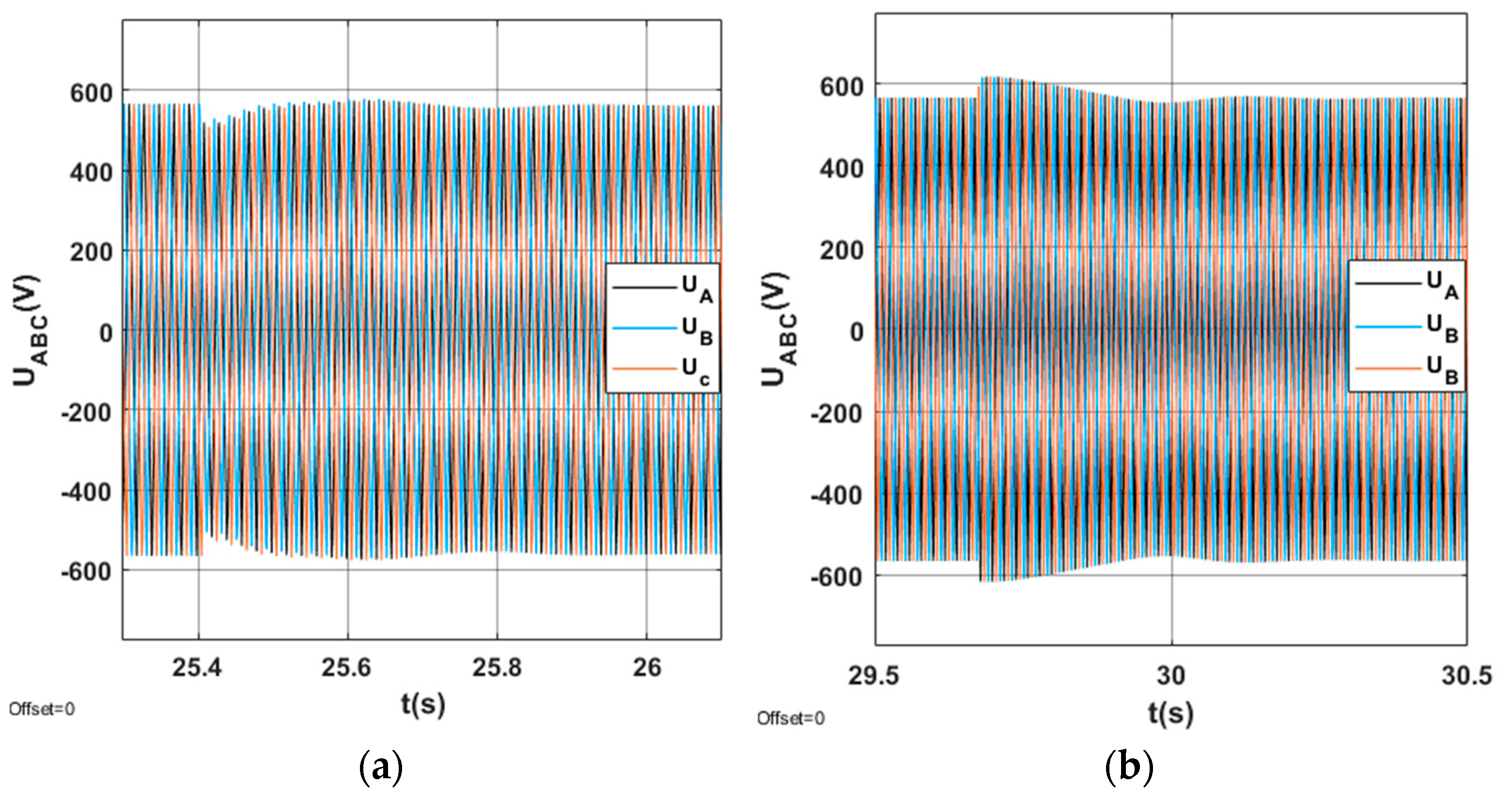
Figure 14 shows the instantaneous voltage waveforms of the three phases UABC, during (a) a load change from 40% to 80%, and (b) a load change from 80% to 40% with a maintained power factor cosϕ = 0.85.
The AVR parameters were set to Kp = 24%, Ki = 75%. These are precise settings and the AVR stabilizes the voltage during both dynamic load increases and decreases, from 40% to 80% and from 80% to 40%, with a constant power factor (Figure 15). The voltage URMS after a load change complies with regulations (t < 1.5 s).
In the next test, the generator load was changed from 40% to 80% and 80% to 40% with a changed power factor cosϕ = 0.85 to cosϕ = 0.7 (Figure 16).
Figure 17 shows the instantaneous voltage waveforms of the three phases UABC, during (a) a load change from 40% to 80%, and (b) a load change from 80% to 40% with a changed power factor cosϕ = 0.85 to cosϕ = 0.7 and precisely set AVR parameters Kp = 24%, Ki = 75%.
The AVR parameters were set to Kp = 24%, Ki = 75%. These are precise settings and the AVR stabilizes the voltage during both dynamic load increases and decreases, from 40% to 80% and from 80% to 40%, but with a change in the power factor, which is a higher requirement for the AVR (Figure 18). The voltage URMS after a load change complies with regulations (t < 1.5 s)
The results of the voltage waveform with a load change and power factor adjustment (Figure 18) showed that the AVR operates correctly, and the URMS voltage returns within a time shorter than the regulatory requirement (t < 1.5 s).
In subsequent tests (Figure 19), the AVR’s performance was examined r in a steady state by adjusting the voltage setting.

4. Discussion and Conclusions

Testing the AVR operation using HiL technology provided valuable insights into voltage stability and the quality of supplied electrical power. The AVR plays a key role in regulating the generator’s output voltage, directly impacting the stability of the power system. Voltage regulation must meet strict requirements set by classification societies, as mentioned in the article. Several key results were obtained during the tests:
  • Imprecise AVR settings lead to improper regulator operation, failing to meet regulatory requirements.
  • With precise AVR adjustments, voltage regulation after a sudden load change occurs in less time than the maximum allowed by classification society standards.
  • The regulator operates correctly even when the load characteristic changes (e.g., increased inductive load), which shifts the AVR’s operating point.
  • The voltage setpoint can be finely adjusted using two potentiometers: “Voltage—Coarse generator voltage setpoint” and “Voltage fine—Fine generator voltage setpoint.”
From a safety perspective, HiL technology minimizes the risk of equipment damage, allowing for testing under extreme conditions (e.g., overloads, control element failures) without concerns for the safety of the generator or the crew. Furthermore, HiL testing provides valuable insights into the dynamic characteristics of the system, such as the AVR’s responses to voltage and load changes, which can aid in precisely tuning the regulator parameters for optimal performance under various conditions.
The main issue in diagnosing the operation of a ship power plant lies in the inability to verify the proper functioning of the factory device, which in this case is the AVR. Performing test trials during the ship’s operation (e.g., dynamically increasing the load on two MW power units) is difficult and inadvisable.
The same problem applies to ship automation services, which, after dismantling the AVR, are unable to diagnose it. Unfortunately, at present, neither the maritime industry nor scientific literature offers a solution like the one presented in the article. The use of HiL technology proposed by the authors has made it possible to address these issues.
The innovative solution presented in the article can be summarized as follows:
  • Testing, repairing, and adjusting shipboard AVRs using traditional methods during operation and in automation service workshops is very challenging and often impossible. HiL technology allows for accurate simulation of the actual operating conditions of the AVR, enabling more precise parameter settings and verification of their performance in various scenarios.
  • The use of HiL technology enables comprehensive diagnostics of the AVR both in the laboratory, on the vessel, and in the automation workshop.
  • Experimental studies conducted under various operating conditions of the generator, the results of which are presented in the article, confirmed the assumptions regarding the effectiveness of using HiL technology.
  • The proposed AVR diagnostic method based on HiL technology allows for testing different AVRs with generators of any parameters (power, voltage, frequency, etc.).
  • By applying HiL technology, testing can be conducted under extreme conditions without risking real components. This allows for the identification of potential faults and optimization of the system before its deployment on board.
  • HiL technology enables many tests to be conducted in a short time and with minimal resources, reducing the costs associated with testing on actual equipment at sea and the time required to bring the system into operation.
  • The analysis of results presented in the article allows for more precise tuning of voltage regulators to the specific operating conditions of synchronous generators on ships, which can contribute to improving the stability and efficiency of the entire power system.
In summary, HiL technology enables engineers to test and optimize the performance of the AVR in a controlled environment before deployment, ensuring that the regulator behaves as expected under various operating conditions.
After a positive evaluation of using HiL technology for AVR testing, as presented in the article, the authors intend to continue researching the parallel operation of generator sets (parallel operation of EESG generators—parallel operation of AVR), which poses significant challenges in the operation of marine power plants.

Author Contributions

Conceptualization, D.T., T.Z., Z.M., M.J. and S.S.; methodology, D.T. and T.Z.; software, D.T. and T.Z.; validation, D.T. and T.Z.; formal analysis, D.T., T.Z., Z.M. and M.J.; investigation, D.T., T.Z. and S.S.; resources, D.T. and T.Z.; writing—original draft preparation, D.T. and T.Z., writing—review and editing, D.T. and T.Z.; visualization, D.T. and T.Z. All authors have read and agreed to the published version of the manuscript.

Funding

This research received no external funding.

Data Availability Statement

The original contributions presented in this study are included in the article. Further inquiries can be directed to the corresponding author.

Conflicts of Interest

The authors declare no conflicts of interest.

References

  1. Boyd, G.; Taylor, F. Electrical Power Systems for Marine Engineers; Reeds Marine Engineering and Technology Series; Bloomsbury Publishing: London, UK, 2020; ISBN 8178000148. [Google Scholar]
  2. Patel, M.R. Shipboard Electrical Power Systems, 2nd ed.; CRC Press: Boca Raton, FL, USA, 2022; ISBN 9780367430351. [Google Scholar]
  3. Nicewicz, G.; Sosinski, M.; Tarnapowicz, D. Identification of Power Factor in Marine Electrical Grid. In Proceedings of the 14th International Multidisciplinary Scientific Geoconference (SGEM), Albena, Bulgaria, 17–26 June 2014; pp. 391–398, ISBN 978-619-7105-16-2. [Google Scholar]
  4. Śmierzchalski, R. Automation of the Ship’s Power System; Graphics Center: Gryf Gdańsk, Poland, 2004; ISBN 83-921110-5-2. [Google Scholar]
  5. Tarnapowicz, D. Load Analysis of a Ship Generating Sets During the Maneuvers of the Vessel. In Proceedings of the 59th International Conference of Machine Design Departments, Demanovska Dolina, Slovakia, 11–14 September 2018; pp. 399–407, ISBN 978-3-030-33145-0. [Google Scholar]
  6. German-Galkin, S.; Tarnapowicz, D.; Matuszak, Z.; Jaskiewicz, M. Optimization to Limit the Effects of Underloaded Generator Sets in Stand-Alone Hybrid Ship Grids. Energies 2020, 13, 708. [Google Scholar] [CrossRef]
  7. Pota, H.R. Design of the Automatic Voltage Regulator. In The Essentials of Power System Dynamics and Control; Springer: Singapore, 2018; ISBN 978-981-10-8913-8. [Google Scholar]
  8. Yegireddy, N.K.; Panda, S.; Tentu, P.; Durgamalleswarao, K. Comparative analysis of PID controller for an automatic voltage regulator system. In Proceedings of the International Conference on Electrical, Electronics, Signals, Communication and Optimization (EESCO), Visakhapatnam, India, 24–25 January 2015. [Google Scholar]
  9. Ghamri, L.Y.; Awadh, H.; Al Shamsi, N.; AlKhateri, S.; Khurram, A.; Rehman, H. Robust AVR design for the synchronous generator. J. Eng. 2019, 2019, 4111–4115. [Google Scholar] [CrossRef]
  10. Sokólski, P.; Rutkowski, T.A.; Duzinkiewicz, K. The excitation controller with gain scheduling mechanism for synchronous generator control. In Proceedings of the 20th International Conference on Methods and Models in Automation and Robotics (MMAR), Miedzyzdroje, Poland, 24–27 August 2015; pp. 23–28. [Google Scholar] [CrossRef]
  11. Steciuk, P.B.; Redmon, J.R. Voltage sag analysis peaks customer service. IEEE Comput. Appl. Power 1996, 9, 48–51. [Google Scholar] [CrossRef]
  12. Meng, L.; Yang, S.; Wang, L.; Liu, Y.; Peng, F. Hardware-in-loop test for automatic voltage regulator based on identification model. In Proceedings of the 15th International Power Electronics and Motion Control Conference (EPE/PEMC), Novi Sad, Serbia, 4–6 September 2012; pp. DS1e.2-1–DS1e.2-6. [Google Scholar] [CrossRef]
  13. Comelli, R.; Calviz, M.E.; Mónica Romero, P.A. Real-Time Synchronous Machine Simulator for Testing of Automatic Voltage Regulators. In Proceedings of the 2018 Argentine Conference on Automatic Control (AADECA), Buenos Aires, Argentina, 7–9 November 2018; pp. 1–6. [Google Scholar] [CrossRef]
  14. Crăciun, O.; Florescu, A.; Bacha, S.; Munteanu, J.; Bratcu, A.J. Hardware-in-The-loop testing of PV control systems using RT-Lab Simulator. In Proceedings of the 14th International Power Electronics and Motion Control Conference, Ohrid, Macedonia, 6–8 September 2010; pp. S2-1–S2-6. [Google Scholar]
  15. Shariatzadeh, S.M.; Talebi, M.A.; Keshavarzian, A. Using a small-scale generator to evaluate Automatic Voltage Regulator of a 25MVA power plant. In Proceedings of the 2019 IEEE PES Asia-Pacific Power and Energy Engineering Conference (APPEEC), Macao, China, 1–4 December 2019; pp. 1–5. [Google Scholar] [CrossRef]
  16. Song, K.; Liu, W.; Luo, G. Permanent magnet synchronous motor field oriented control and HIL Simulation. In Proceedings of the 2008 IEEE Vehicle Power and Propulsion Conference, Harbin, China, 3–5 September 2008; pp. 1–6. [Google Scholar] [CrossRef]
  17. Grover, H.; Verma, A.; Bhatti, T.S. Load Frequency Control & Automatic Voltage Regulation for a Single Area Power System. In Proceedings of the 2020 IEEE 9th Power India International Conference (PIICON), Sonepat, India, 28 February–1 March 2020; pp. 1–5. [Google Scholar] [CrossRef]
  18. Baracho, F.R.A.C.; Coelho, A.L.M.; Damião, L.J.S.; Zvietcovich, W.G. Real-Time Digital Simulation for Coordination Analysis of V/Hz AVR Limiter with Overexcitation, Overvoltage, and Underfrequency Protections of Synchronous Generators. IEEE Trans. Ind. Appl. 2022, 58, 3361–3369. [Google Scholar] [CrossRef]
  19. Coelho, A.L.M.; Silveira, P.M.; Baracho, F.R.A.C.A. Test-Bed for Protection Studies of Synchronous Generators and its Interaction with the Underexcitation and Overexcitation Limiters. In Proceedings of the 2018 IEEE Industry Applications Society Annual Meeting (IAS), Portland, OR, USA, 23–27 September 2018; pp. 1–12. [Google Scholar] [CrossRef]
  20. Torres, F.A.; Aimacana, E.; Vaca-Urbano, F.; Falcone, S.; Rengifo, J. Nonlinear AVR Control Algorithm for Synchronous Generator Using OPAL-RT. In Proceedings of the 2019 IEEE Fourth Ecuador Technical Chapters Meeting (ETCM), Guayaquil, Ecuador, 13–15 November 2019; pp. 1–6. [Google Scholar] [CrossRef]
  21. Almas, M.S.; Vanfretti, L. RT-HIL testing of an excitation control system for oscillation damping using external stabilizing signals. In Proceedings of the 2015 IEEE Power & Energy Society General Meeting, Denver, CO, USA, 26–30 July 2015; pp. 1–5. [Google Scholar] [CrossRef]
  22. Speedgoat. Baseline Real-Time Target Machine. Available online: https://www.speedgoat.com/products-services/real-time-target-machines/baseline-real-time-target-machine (accessed on 15 May 2024).
  23. Speedgoat. Capabilities. Available online: https://www.speedgoat.com/products-services/common-solutions/education/capabilities (accessed on 15 May 2024).
  24. LXCOS. Voltage Regulator for Generators, Manual Instruction. Available online: https://emri.nl/wp-content/uploads/2024/01/LXCOS-V1.4.5.2-Manual-V2.3.2-EN.pdf (accessed on 15 May 2024).
  25. PRS Classification Rules. Part VIII—Electrical Installations and Control Systems; PRS: Gdańsk, Poland, 2015; ISBN 978-83-7664-306-9. [Google Scholar]
  26. Tarnapowicz, D.; German-Galkin, S.; Staude, M. Investigation Concerning the Excitation Loss of Synchronous Generators in a Stand-Alone Ship Power Plant. Energies 2021, 14, 2828. [Google Scholar] [CrossRef]
  27. Abdelrazek, A.; Awad, H.; El-kholy, E.E. An experimental investigation of a self-excited synchronous generator: Loading characteristics and output voltage harmonics. In Proceedings of the 2017 Nineteenth International Middle East Power Systems Conference (MEPCON), Cairo, Egypt, 19–21 December 2017; pp. 823–829. [Google Scholar] [CrossRef]
  28. Yamashita, K.; Sakamoto, O. A study on dynamic behavior of load supply system including synchronous generators with and without load drop. In Proceedings of the IEEE PES General Meeting, Minneapolis, MN, USA, 25–29 July 2010; pp. 1–7. [Google Scholar] [CrossRef]
  29. IEC 60092-101; Part 101: Definitions and General Requirements. 4.1 ed. IEC Central Office: Geneva, Switzerland, 2002; ISBN 2-8318-6470-4.
Figure 1. An example of a marine diesel generator (DG) unit with a power rating of 1500 MVA, equipped with a COSIMAT N digital automatic voltage regulator (AVR).
Figure 1. An example of a marine diesel generator (DG) unit with a power rating of 1500 MVA, equipped with a COSIMAT N digital automatic voltage regulator (AVR).
Energies 17 05963 g001
Figure 2. Speedgoat, baseline real-time target machine with simulink real time.
Figure 2. Speedgoat, baseline real-time target machine with simulink real time.
Energies 17 05963 g002
Figure 3. (a)—EMRI LXCOS AVR; (b)—Adjustments of AVR; (c)—LCD panel.
Figure 3. (a)—EMRI LXCOS AVR; (b)—Adjustments of AVR; (c)—LCD panel.
Energies 17 05963 g003
Figure 4. Block diagram of the DG system model with load implemented in Matlab-Simulink.
Figure 4. Block diagram of the DG system model with load implemented in Matlab-Simulink.
Energies 17 05963 g004
Figure 5. Real-time simulation model was developed in Matlab-Simulink and implemented in the Speedgoat module.
Figure 5. Real-time simulation model was developed in Matlab-Simulink and implemented in the Speedgoat module.
Energies 17 05963 g005
Figure 6. Communication interfaces. (a)—Voltage-controlled preamplifier; (b)—Voltage-controlled amplifier; (c)—Transformer; (d)—Current transducer.
Figure 6. Communication interfaces. (a)—Voltage-controlled preamplifier; (b)—Voltage-controlled amplifier; (c)—Transformer; (d)—Current transducer.
Energies 17 05963 g006
Figure 7. Topology of the setup for testing AVR using HiL technology.
Figure 7. Topology of the setup for testing AVR using HiL technology.
Energies 17 05963 g007
Figure 8. URMS voltage waveform (stability control) with dynamic load change in the context of the tested AVR settings.
Figure 8. URMS voltage waveform (stability control) with dynamic load change in the context of the tested AVR settings.
Energies 17 05963 g008
Figure 9. Load characteristic of synchronous generator.
Figure 9. Load characteristic of synchronous generator.
Energies 17 05963 g009
Figure 10. Generator voltage waveform URMS and the excitation current Iex with random AVR settings (PI controller settings: Kp = 10%, Ki = 96%) and 40% load.
Figure 10. Generator voltage waveform URMS and the excitation current Iex with random AVR settings (PI controller settings: Kp = 10%, Ki = 96%) and 40% load.
Energies 17 05963 g010
Figure 11. Waveform of active power P, reactive power Q, and power factor cosϕ of the generator during load change from 40% to 80% and from 80% to 40% with a constant power factor.
Figure 11. Waveform of active power P, reactive power Q, and power factor cosϕ of the generator during load change from 40% to 80% and from 80% to 40% with a constant power factor.
Energies 17 05963 g011
Figure 12. Waveform of voltage URMS and excitation current Iex during (a) load change from 40% to 80% and (b) load change from 80% to 40%, with a constant power factor cosϕ and imprecisely adjusted AVR settings Kp = 15%, Ki = 87%.
Figure 12. Waveform of voltage URMS and excitation current Iex during (a) load change from 40% to 80% and (b) load change from 80% to 40%, with a constant power factor cosϕ and imprecisely adjusted AVR settings Kp = 15%, Ki = 87%.
Energies 17 05963 g012
Figure 13. Waveform of active power P, reactive power Q, and power factor cosϕ of the generator during load change from 40% to 80% and from 80% to 40% with a constant power factor.
Figure 13. Waveform of active power P, reactive power Q, and power factor cosϕ of the generator during load change from 40% to 80% and from 80% to 40% with a constant power factor.
Energies 17 05963 g013
Figure 14. Voltage UABC waveforms for: (a) change in load from 40% to 80%, and (b) change in load from 80% to 40%, with a constant power factor cos ϕ = 0.85 and precisely set AVR parameters Kp = 24%, Ki = 75%.
Figure 14. Voltage UABC waveforms for: (a) change in load from 40% to 80%, and (b) change in load from 80% to 40%, with a constant power factor cos ϕ = 0.85 and precisely set AVR parameters Kp = 24%, Ki = 75%.
Energies 17 05963 g014
Figure 15. Waveform of voltage URMS and excitation current Iex, during (a) a load change from 40% to 80% and (b) a load change from 80% to 40%, with a constant power factor cosϕ = 0.85 and precisely adjusted AVR settings Kp = 24%, Ki = 75%.
Figure 15. Waveform of voltage URMS and excitation current Iex, during (a) a load change from 40% to 80% and (b) a load change from 80% to 40%, with a constant power factor cosϕ = 0.85 and precisely adjusted AVR settings Kp = 24%, Ki = 75%.
Energies 17 05963 g015
Figure 16. Waveform of active power P, reactive power Q, and power factor cosϕ of the generator during a load change from 40% to 80% and from 80% to 40% with a changed power factor (cosϕ = 0.85–cosϕ = 0.7).
Figure 16. Waveform of active power P, reactive power Q, and power factor cosϕ of the generator during a load change from 40% to 80% and from 80% to 40% with a changed power factor (cosϕ = 0.85–cosϕ = 0.7).
Energies 17 05963 g016
Figure 17. Voltage UABC waveforms for: (a) change in load from 40% to 80%, and (b) change in load from 80% to 40%, with a changed power factor cosϕ = 0.85 to cosϕ = 0.7 and precisely set AVR parameters Kp = 24%, Ki = 75%.
Figure 17. Voltage UABC waveforms for: (a) change in load from 40% to 80%, and (b) change in load from 80% to 40%, with a changed power factor cosϕ = 0.85 to cosϕ = 0.7 and precisely set AVR parameters Kp = 24%, Ki = 75%.
Energies 17 05963 g017
Figure 18. Waveform of voltage URMS and excitation current Iex, during (a) a load change from 40% to 80% and (b) a load change from 80% to 40%, with a changed power factor cosϕ = 0.85 to cosϕ = 0.7 and precisely adjusted AVR settings Kp = 24%, Ki = 75%.
Figure 18. Waveform of voltage URMS and excitation current Iex, during (a) a load change from 40% to 80% and (b) a load change from 80% to 40%, with a changed power factor cosϕ = 0.85 to cosϕ = 0.7 and precisely adjusted AVR settings Kp = 24%, Ki = 75%.
Energies 17 05963 g018
Figure 19. Waveforms of voltage URMS and excitation current Iex during voltage setpoint adjustment in steady state.
Figure 19. Waveforms of voltage URMS and excitation current Iex during voltage setpoint adjustment in steady state.
Energies 17 05963 g019
Table 1. Selected parameters of the ship’s synchronous generator used in the study.
Table 1. Selected parameters of the ship’s synchronous generator used in the study.
Nominal Line-to-Line Voltage URMS (Vrms)Nominal Frequency (Hz)Three-Phase Nominal Power (kVA)Nominal Current (A)Nominal Speed (RPM)q/d Axis Reactance
(ohm)
400501300187615003.3/2.2
Disclaimer/Publisher’s Note: The statements, opinions and data contained in all publications are solely those of the individual author(s) and contributor(s) and not of MDPI and/or the editor(s). MDPI and/or the editor(s) disclaim responsibility for any injury to people or property resulting from any ideas, methods, instructions or products referred to in the content.

Share and Cite

MDPI and ACS Style

Tarnapowicz, D.; Zaleski, T.; Matuszak, Z.; Jaskiewicz, M.; Sawicki, S. Testing the Automatic Voltage Regulators of Ship Synchronous Generators Using Hardware-in-the-Loop Technology. Energies 2024, 17, 5963. https://doi.org/10.3390/en17235963

AMA Style

Tarnapowicz D, Zaleski T, Matuszak Z, Jaskiewicz M, Sawicki S. Testing the Automatic Voltage Regulators of Ship Synchronous Generators Using Hardware-in-the-Loop Technology. Energies. 2024; 17(23):5963. https://doi.org/10.3390/en17235963

Chicago/Turabian Style

Tarnapowicz, Dariusz, Tymoteusz Zaleski, Zbigniew Matuszak, Marek Jaskiewicz, and Seweryn Sawicki. 2024. "Testing the Automatic Voltage Regulators of Ship Synchronous Generators Using Hardware-in-the-Loop Technology" Energies 17, no. 23: 5963. https://doi.org/10.3390/en17235963

APA Style

Tarnapowicz, D., Zaleski, T., Matuszak, Z., Jaskiewicz, M., & Sawicki, S. (2024). Testing the Automatic Voltage Regulators of Ship Synchronous Generators Using Hardware-in-the-Loop Technology. Energies, 17(23), 5963. https://doi.org/10.3390/en17235963

Note that from the first issue of 2016, this journal uses article numbers instead of page numbers. See further details here.

Article Metrics

Back to TopTop