Ni/Al2O3/Foam Electric Heating Catalyst: Mitigating Carbon Emissions and Enhancing Reactor Temperature Uniformity
Abstract
1. Introduction
2. Experimental and Simulations
2.1. Methodology
2.2. Experiment
2.2.1. Ni/Al2O3/Ceramic Foam Preparation
2.2.2. Catalyst Characterization and Catalytic Activity Tests
- (1)
- Catalyst characterization
- (2)
- Catalytic activity tests
2.2.3. Equations
2.3. Simulation
2.3.1. Geometric Model
2.3.2. Nomenclature
2.3.3. Boundary Conditions and Parameter Values
2.3.4. Model Validation
3. Results and Discussion
3.1. Catalytic Performance and Heating Characteristics
3.2. Temperature Distribution of Electric Heating
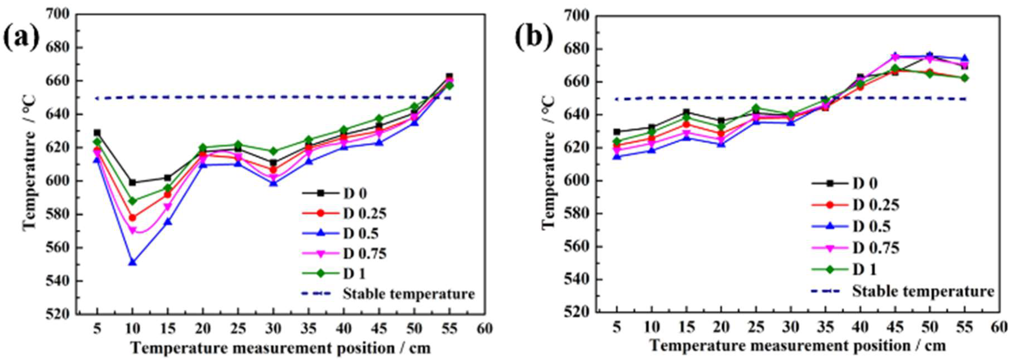
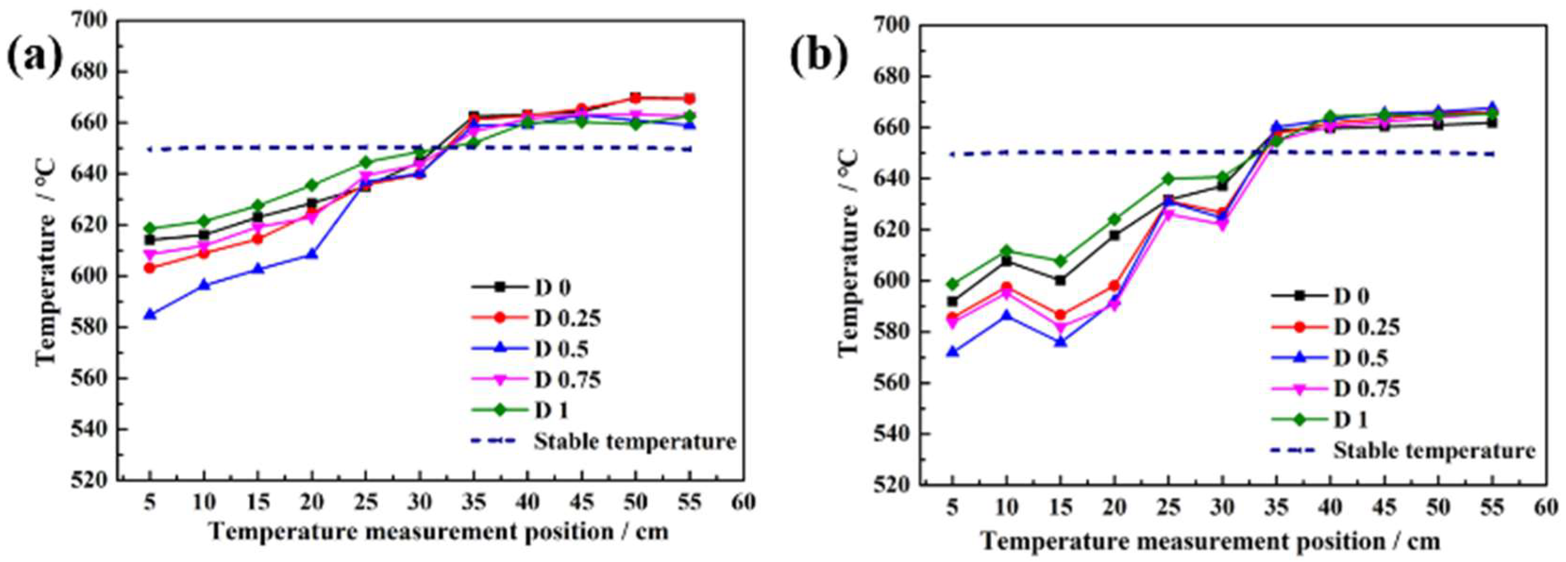
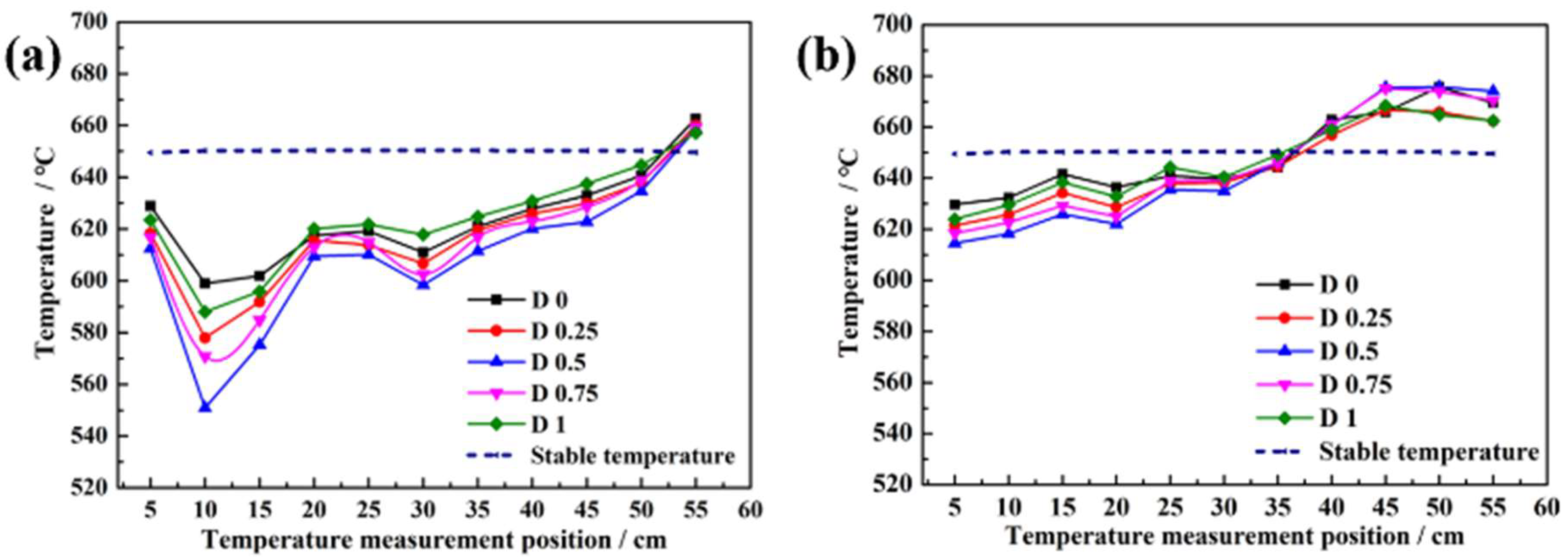
3.3. Internal Temperature Distribution Test and Comparative Analysis of the Reactor
3.4. Discussion of Results
4. Conclusions
- (1)
- Electric heating only required 25 min to reach 650 °C, saving 64% of the time compared to external electric heating; electric heating demonstrates a highly stable temperature distribution, with minimal variations in reactor temperature within a GHSV range of 500–10,000 h−1.
- (2)
- A Ni/Al2O3/ceramic foam Joule electric heating catalyst was developed, and wire distribution was simulated. The best temperature distribution inside the reactor was achieved when using a spiral wire with a final diameter of 1 mm, a spiral diameter of 5 mm, a spiral pitch of 2, and a total of four spiral wires.
- (3)
- At 650 °C, S/C = 3, and 3000 h−1, compared to external heating, internal electrical heating can achieve a reduction of 69.4% in the axial temperature differences within the reactor, while achieving a 95% reduction in the radial temperature differences.
- (4)
- Internal-to-external heat supply and close proximity between electric heating and foam catalyst make the electric heating catalyst reach 72% energy efficiency at 650 °C.
Author Contributions
Funding
Data Availability Statement
Conflicts of Interest
References
- Kumar, R.; Singh, R.; Dutta, S. Review and Outlook of Hydrogen Production through Catalytic Processes. Energ. Fuel. 2024, 38, 2601–2629. [Google Scholar] [CrossRef]
- Harrison, D. Sorption-enhanced hydrogen production: A review. Ind. Eng. Chem. Res. 2008, 47, 6486–6501. [Google Scholar] [CrossRef]
- Wilhite, B.A.; Breziner, L.; Mettes, J.; Bossard, P. Radial microchannel reactors (RMRs) for efficient and compact steam reforming of methane: Experimental demonstration and design simulations. Energ. Fuel. 2013, 27, 4403–4410. [Google Scholar] [CrossRef]
- Lee, J.S.; Seo, J.; Kim, H.Y.; Chung, J.; Yoon, S.S. Effects of geometry and operating conditions on hydrogen productivity of a fuel cell reformer. Int. J. Heat. Mass. Transfer. 2014, 73, 318–329. [Google Scholar] [CrossRef]
- Ratnakar, R.R.; Balakotaiah, V. Modular reactors with electrical resistance heating for hydrocarbon cracking and other endothermic reactions. AIChE J. 2022, 68, e17542. [Google Scholar] [CrossRef]
- Spagnolo, D.A.; Cornett, L.J.; Chuang, K.T. Direct electro-steam reforming: A novel catalytic approach. Int. J. Hydrogen Energy 1992, 17, 839–846. [Google Scholar] [CrossRef]
- Holladay, J.D.; Hu, J.; King, D.L.; Wang, Y. An overview of hydrogen production technologies. Catal. Today 2009, 139, 244–260. [Google Scholar] [CrossRef]
- Le Quéré, C.; Moriarty, R.; Andrew, R.M.; Canadell, J.G.; Sitch, S.; Korsbakken, J.I.; Friedlingstein, P.; Peters, G.P.; Andres, R.J.; Boden, T.A.; et al. Global carbon budget 2015. Earth Syst. Sci. Data. 2015, 7, 349–396. [Google Scholar] [CrossRef]
- Dinh, D.; Trenchev, G.; Lee, D.; Bogaerts, A. Arc Plasma Reactor Modification for Enhancing Performance of Dry Reforming of Methane. J. CO2 Util. 2020, 42, e101352. [Google Scholar] [CrossRef]
- Wang, Q.; Wang, J.; Zhu, T.; Zhu, X.; Sun, B. Characteristics of methane wet reforming driven by microwave plasma in liquid phase for hydrogen production. Int. J. Hydrogen Energy 2021, 46, 34105–34115. [Google Scholar] [CrossRef]
- Scarfiello, C.; Bellusci, M.; Pilloni, L.; Pietrogiacomi, D.; La Barbera, A.; Varsano, F. Supported Catalysts for Induction-Heated Steam Reforming of Methane. Int. J. Hydrogen Energy 2020, 46, 134–145. [Google Scholar] [CrossRef]
- Wismann, S.T.; Engbæk, J.S.; Vendelbo, S.B.; Bendixen, F.B.; Winnie, L.; Aasberg-Petersen, K.; Frandsen, C.; Chorkendorff, I.; Mortensen, P.M. Electrified Methane Reforming: A Compact Approach to Greener Industrial Hydrogen Production. Science 2019, 364, 759756–759759. [Google Scholar] [CrossRef] [PubMed]
- Wismann, S.T.; Engbæk, J.S.; Vendelbo, S.B.; Eriksen, W.L.; Frandsen, C.; Mortensen, P.M.; Chorkendorff, I. Electrified Methane Reforming: Understanding the Dynamic Interplay. Ind. Eng. Chem. Res. 2019, 58, 23380–23388. [Google Scholar] [CrossRef]
- Rieks, M.; Bellinghausen, R.; Kockmann, N.; Mleczko, L. Experimental Study of Methane Dry Reforming in an Electrically Heated Reactor. Int. J. Hydrogen Energy 2015, 40, 15940–15951. [Google Scholar] [CrossRef]
- Zheng, L.; Ambrosetti, M.; Marangoni, D.; Beretta, A.; Groppi, G.; Tronconi, E. Electrified methane steam reforming on a washcoated SiSiC foam for low-carbon hydrogen production. AIChE J. 2023, 69, e17620. [Google Scholar] [CrossRef]
- Ambrosetti, M.; Beretta, A.; Groppi, G.; Tronconi, E. A numerical investigation of electrically-heated methane steam reforming over structured catalysts. Front. Chem. Sci. Eng. 2021, 3, e53. [Google Scholar] [CrossRef]
- Badakhsh, A.; Kwak, Y.; Lee, Y.-J.; Jeong, H.; Kim, Y.; Sohn, H.; Nam, S.W.; Yoon, C.W.; Park, C.W.; Jo, Y.S. A compact catalytic foam reactor for decomposition of ammonia by the Joule-heating mechanism. Chem. Eng. J. 2021, 426, e130802. [Google Scholar] [CrossRef]
- Dou, L.; Yan, C.; Zhong, L.; Zhang, D.; Zhang, J.; Li, X.; Xiao, L. Enhancing CO2 Methanation over a Metal Foam Structured Catalyst by Electric Internal Heating. Chem. Commun. 2020, 56, 205–208. [Google Scholar] [CrossRef]
- Zheng, L.; Ambrosetti, M.; Zaio, F.; Beretta, A.; Groppi, G.; Tronconi, E. Direct electrification of Rh/Al2O3 washcoated SiSiC foams for methane steam reforming: An experimental and modelling study. Int. J. Hydrogen Energy 2023, 48, 14681–14696. [Google Scholar] [CrossRef]
- Shin, G.; Yun, J.; Yu, S. Thermal design of methane steam reformer with low-temperature non-reactive heat source for high efficiency engine-hybrid stationary fuel cell system. Int. J. Hydrogen Energy 2017, 42, 14697–14707. [Google Scholar] [CrossRef]
- Ren, Y.; Xu, H.; Wang, Q.; Kuang, X.; Zhang, L.; Li, G. Preparation and performance analysis of integrated electric heating hydrogen production foam catalyst. Int. J. Hydrogen Energy 2024, 56, 699–708. [Google Scholar] [CrossRef]
- Rahimipetroudi, I.; Shin, J.S.; Rashid, K.; Yang, J.B.; Dong, S.K. Development and CFD analysis for determining the optimal operating conditions of 250 kg/day hydrogen generation for an on-site hydrogen refueling station (HRS) using steam methane reforming. Int. J. Hydrogen Energy 2021, 46, 35057–35076. [Google Scholar] [CrossRef]
- Meloni, E.; Martino, M.; Ricca, A.; Palma, V. Ultracompact methane steam reforming reactor based on microwaves susceptible structured catalysts for distributed hydrogen production. Int. J. Hydrogen Energy 2021, 46, 13729–13747. [Google Scholar] [CrossRef]
- Wang, Q.; Ren, Y.; Liu, H.; Liu, H.; Wang, X.; Gu, Z.; Zhang, L. Simulation and enhancement of axial temperature distribution in a reactor filled with in-situ electrically heated structured catalyst. Int. J. Hydrogen Energy 2024, 55, 217–224. [Google Scholar] [CrossRef]
- Zhuang, X.; Xu, X.; Li, L.; Deng, D. Numerical investigation of a multichannel reactor for syngas production by methanol steam reforming at various operating conditions. Int. J. Hydrogen Energy 2020, 45, 14790–14805. [Google Scholar] [CrossRef]
- Jin, M.-H.; Lee, C.-B.; Lee, D.-W.; Lee, S.-W.; Park, J.-W.; Oh, D.; Hwang, K.-R.; Lee, K.-Y.; Park, J.-S. Microchannel methane steam reformers with improved heat transfer efficiency and their long-term stability. Fuel 2016, 176, 86–92. [Google Scholar] [CrossRef]
- Palma, V.; Ruocco, C.; Castaldo, F.; Ricca, A.; Boettge, D. Ethanol steam reforming over bimetallic coated ceramic foams: Effect of reactor configuration and catalytic support. Int. J. Hydrogen Energy 2015, 40, 12650–12662. [Google Scholar] [CrossRef]
- Ricca, A.; Palma, V.; Martino, M.; Meloni, E. Innovative catalyst design for methane steam reforming intensification. Fuel 2017, 198, 175–182. [Google Scholar] [CrossRef]
- Pashchenko, D.; Eremin, A. Heat flow inside a catalyst particle for steam methane reforming: CFD-modeling and analytical solution. Int. J. Heat. Mass. Tran. 2021, 165, 120617–120625. [Google Scholar] [CrossRef]





















| Sample | Heat Form | Parameter | Catalyst Loading |
|---|---|---|---|
| ES-In | Internal electric heating | Foam catalyst [21], hole spacing: 1 mm, opening rate: 90%, hole number: 400/square inch | 43.4 g/180 mL |
| GC-Out | External electric heating | Granular catalyst, commercial Ni-Al2O3 catalyst [22], particle size: 0.45–0.9 mm | 137 g/180 mL |
| ES-Out | External electric heating | Foam catalyst, hole spacing: 1 mm, opening rate: 90%, hole number: 400/square inch | 43.4 g/180 mL |
| Sample * | Form | Wire Diameter mm | Pitch mm | Spiral Diameter mm | Number |
|---|---|---|---|---|---|
| EL-F-01 | linear | 0.8 | / | / | / |
| ES-F-02 | spiral | 0.8 | 4 | 5 | / |
| ES-W-01 | spiral | 1 | 4 | 5 | / |
| ES-W-02 | spiral | 1.2 | 4 | 5 | / |
| ES-W-03 | spiral | 1.5 | 4 | 5 | / |
| ES-S-01 | spiral | 0.8 | 4 | 2 | / |
| ES-S-02 | spiral | 0.8 | 4 | 3 | / |
| ES-S-03 | spiral | 0.8 | 4 | 4 | / |
| ES-S-04 | spiral | 0.8 | 4 | 5 | / |
| ES-P-01 | spiral | 0.8 | 2 | 5 | / |
| ES-P-02 | spiral | 0.8 | 4 | 5 | / |
| ES-P-03 | spiral | 0.8 | 6 | 5 | / |
| ES-N-01 | spiral | 0.8 | 2 | 5 | 2 |
| ES-N-02 | spiral | 0.8 | 2 | 5 | 3 |
| ES-N-03 | spiral | 0.8 | 2 | 5 | 4 |
| Category | Attribute |
|---|---|
| Boundary | Type of boundary conditions |
| Reactor inlet | Speed inlet, temperature inlet |
| reactor outlet | Pressure outlet |
| External surface of the reactor | Wall (adiabatic) |
| Inner surface of reactor | Coupling |
| Category | Attribute | Value | Units |
|---|---|---|---|
| Foam | density | 1500 | kg/m3 |
| heat capacity at constant voltage | 950 | J/m3 | |
| thermal conductivity | 5 | W/(m·K) | |
| porosity | 85% | 1 | |
| Heating wire | electric conductivity | 106 | S/m |
| relative dielectric constant | 1.2 | 1 | |
| thermal conductivity | 18.3 | W/(m·K) | |
| density | 7800 | kg/m3 | |
| heat capacity at constant voltage | 500 | J/(kg·K) | |
| specific heat capacity | 1.23 | 1 | |
| Stainless steel | thermal conductivity | 40 | W/(m·K) |
| density | 7900 | kg/m3 | |
| heat capacity at constant voltage | 500 | J/(kg·K) | |
| Gas | thermal conductivity | k(T [1/K]) [W/(m.K)] | W/(m·K) |
| heat capacity at constant voltage | C(T [1/K]) [J/(kg·K)] | J/(kg·K) | |
| density | rho_gas_2(T [1/K]) [kg/m3] | kg/m3 | |
| specific heat capacity | 1.2 | 1 |
Disclaimer/Publisher’s Note: The statements, opinions and data contained in all publications are solely those of the individual author(s) and contributor(s) and not of MDPI and/or the editor(s). MDPI and/or the editor(s) disclaim responsibility for any injury to people or property resulting from any ideas, methods, instructions or products referred to in the content. |
© 2024 by the authors. Licensee MDPI, Basel, Switzerland. This article is an open access article distributed under the terms and conditions of the Creative Commons Attribution (CC BY) license (https://creativecommons.org/licenses/by/4.0/).
Share and Cite
Ren, Y.; Zhang, L.; Xu, H. Ni/Al2O3/Foam Electric Heating Catalyst: Mitigating Carbon Emissions and Enhancing Reactor Temperature Uniformity. Energies 2024, 17, 5836. https://doi.org/10.3390/en17235836
Ren Y, Zhang L, Xu H. Ni/Al2O3/Foam Electric Heating Catalyst: Mitigating Carbon Emissions and Enhancing Reactor Temperature Uniformity. Energies. 2024; 17(23):5836. https://doi.org/10.3390/en17235836
Chicago/Turabian StyleRen, Yanlun, Li Zhang, and Hong Xu. 2024. "Ni/Al2O3/Foam Electric Heating Catalyst: Mitigating Carbon Emissions and Enhancing Reactor Temperature Uniformity" Energies 17, no. 23: 5836. https://doi.org/10.3390/en17235836
APA StyleRen, Y., Zhang, L., & Xu, H. (2024). Ni/Al2O3/Foam Electric Heating Catalyst: Mitigating Carbon Emissions and Enhancing Reactor Temperature Uniformity. Energies, 17(23), 5836. https://doi.org/10.3390/en17235836

