Decomposition Analysis of CO2 Emissions in 138 Countries During the COVID-19 Pandemic
Abstract
1. Introduction
2. Literature Review and Objective
2.1. Literature Review
2.2. Research Objective
3. Methodology
3.1. Decoupling Analysis
3.2. LMDI Decomposition Analysis
3.3. Data Description
4. Results and Discussion
4.1. Results of the Decoupling Analysis
4.2. Results of the LMDI Analysis
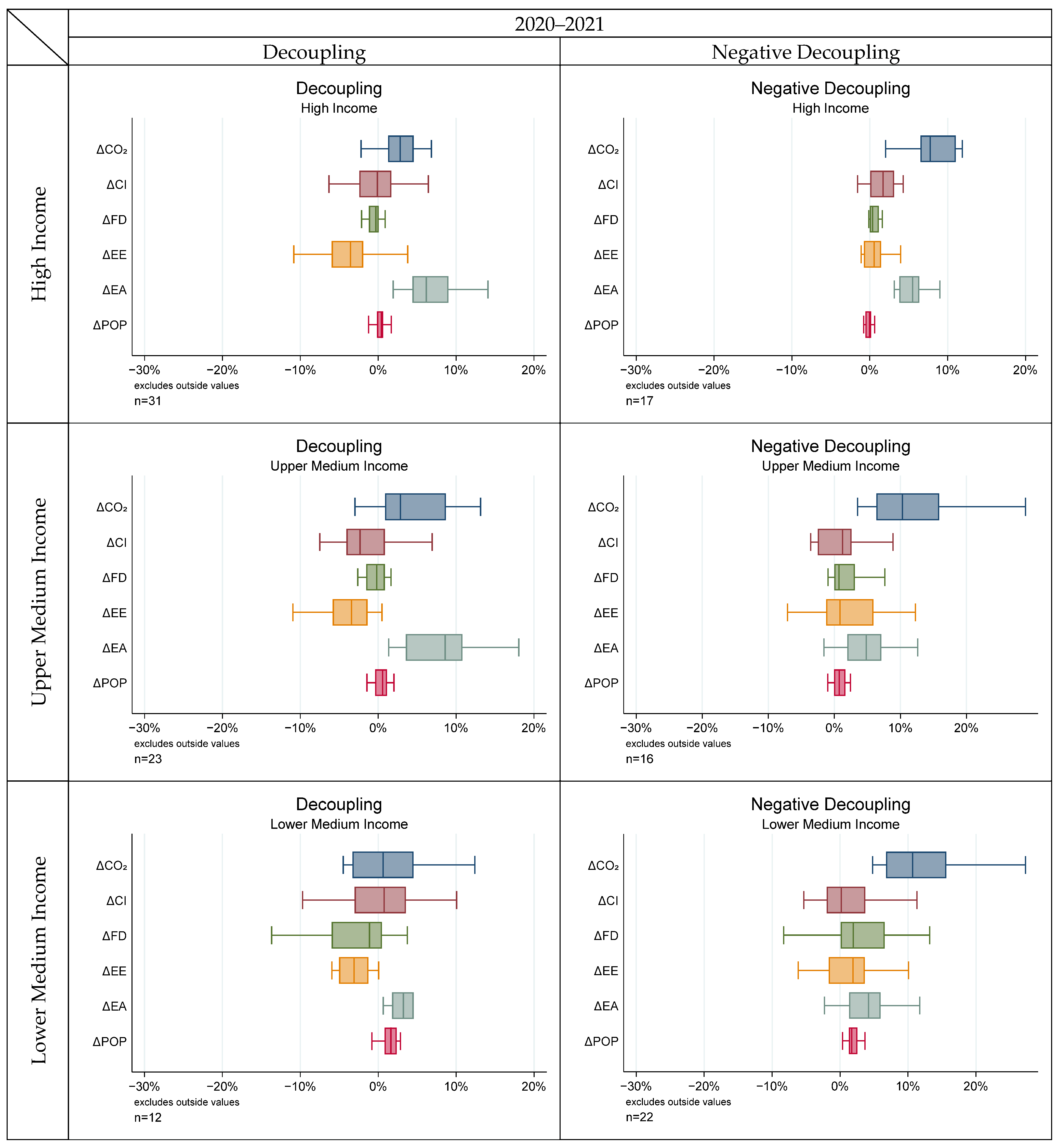
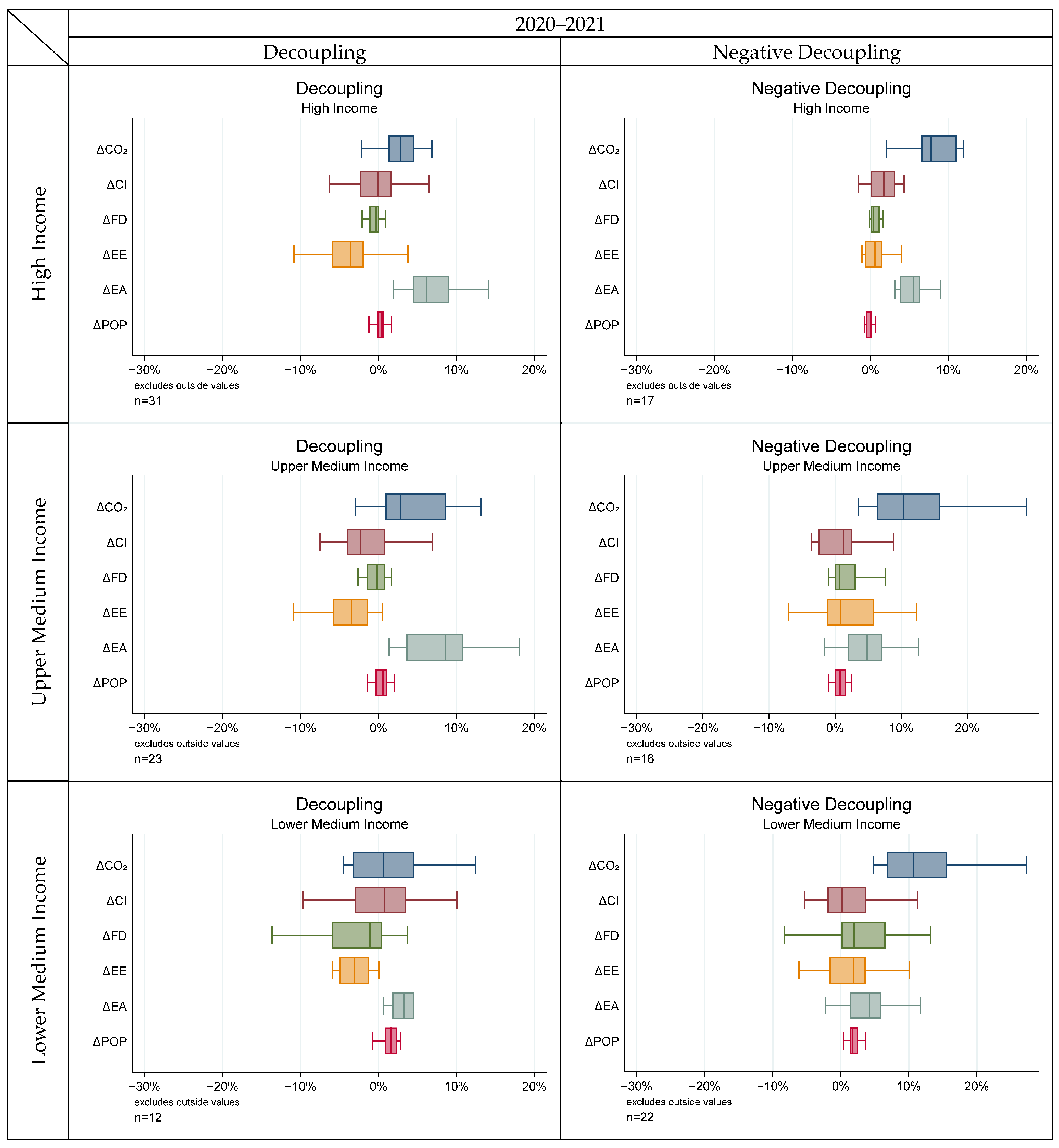
4.3. Comparative Analysis of Decoupling and Income Levels
5. Conclusions
5.1. Discussion
5.2. Limitations
5.3. Policy Implications
Supplementary Materials
Author Contributions
Funding
Data Availability Statement
Conflicts of Interest
References
- Clarke, B.; Otto, F.; Stuart-Smith, R.; Harrington, L. Extreme weather impacts of climate change: An attribution perspective. Environ. Res. Clim. 2022, 1, 012001. [Google Scholar] [CrossRef]
- DeConto, R.M.; Pollard, D.; Alley, R.B.; Velicogna, I.; Gasson, E.; Gomez, N.; Sadai, S.; Condron, A.; Gilford, D.M.; Ashe, E.L.; et al. The Paris climate agreement and future sea-level rise from Antarctica. Nature 2021, 593, 83–89. [Google Scholar] [CrossRef]
- Manes, S.; Costello, M.J.; Beckett, H.; Debnath, A.; Devenish-Nelson, E.; Grey, K.-A.; Jenkins, R.; Khan, T.M.; Kiessling, W.; Krause, C.; et al. Endemism increases species’ climate change risk in areas of global biodiversity importance. Biol. Conserv. 2021, 257, 109070. [Google Scholar] [CrossRef]
- Sanober, N. An overview of the influence of climate change on food security and human health. Arch. Food Nutr. Sci. 2023, 7, 001–011. [Google Scholar] [CrossRef]
- Callahan, C.W.; Mankin, J.S. Globally unequal effect of extreme heat on economic growth. Sci. Adv. 2022, 8, eadd3726. [Google Scholar] [CrossRef]
- Trout, K.; Muttitt, G.; Lafleur, D.; Van de Graaf, T.; Mendelevitch, R.; Mei, L.; Meinshausen, M. Existing fossil fuel extraction would warm the world beyond 1.5 °C. Environ. Res. Lett. 2022, 17, 064010. [Google Scholar] [CrossRef]
- Rahman, M.; Alam, K. CO2 emissions in Asia–Pacific region: Do energy use, economic growth, financial development, and international trade have detrimental effects? Sustainability 2022, 14, 5420. [Google Scholar] [CrossRef]
- Gao, Z.; Zhao, Y.; Li, L.; Hao, Y. Economic effects of sustainable energy technology progress under carbon reduction targets: An analysis based on a dynamic multi-regional CGE model. Appl. Energy 2024, 363, 123071. [Google Scholar] [CrossRef]
- Sun, Y.; Mao, X.; Yin, X.; Liu, G.; Zhang, J.; Zhao, Y. Optimizing carbon tax rates and revenue recycling schemes: Model development, and a case study for the Bohai Bay area, China. J. Clean. Prod. 2021, 296, 126519. [Google Scholar] [CrossRef]
- European Commission. A Clean Planet for all A European Long-Term Strategic Vision for a Prosperous, Modern, Competitive and Climate Neutral Economy. Brussels. 2018. Available online: https://climatecooperation.cn/wp-content/uploads/2019/06/com_2018_733_analysis_in_support_en_0.pdf (accessed on 7 November 2024).
- An, K.; Zhang, S.; Zhou, J.; Wang, C. How can computable general equilibrium models serve low-carbon policy? A systematic review. Environ. Res. Lett. 2023, 18, 033002. [Google Scholar] [CrossRef]
- Kato, S.; Lee, S.; He, Y.; Yoshioka, T.; Morotomi, T.; Chewpreecha, U. Impact of Carbon Neutrality on the Economy and Industry Assuming Japan’s Achievement of 2030 Power Mix Plan: A 2050 Perspective Based on the E3ME Macro-Econometric Model. Energies 2023, 16, 6661. [Google Scholar] [CrossRef]
- Xin, L.; Jia, J.; Hu, W.; Zeng, H.; Chen, C.; Wu, B. Decomposition and decoupling analysis of CO2 emissions based on LMDI and two-dimensional decoupling model in gansu province, China. Int. J. Environ. Res. Public Health 2021, 18, 6013. [Google Scholar] [CrossRef] [PubMed]
- UNFCCC. Adoption of the Paris Agreement FCCC/CP/2015/L.9/Rev.1. United Nations Framework Convention on Climate Change. Available online: https://unfccc.int/resource/docs/2015/cop21/eng/l09r01.pdf (accessed on 28 August 2024).
- Zhang, X.P.; Tan, Y.K.; Tan, Q.L.; Yuan, J.H. Decomposition of aggregate CO2 emissions within a joint production framework. Energy Econ. 2012, 34, 1088–1097. [Google Scholar] [CrossRef]
- Apeaning, R.W. Technological constraints to energy-related carbon emissions and economic growth decoupling: A retrospective and prospective analysis. J. Clean. Prod. 2021, 291, 125706. [Google Scholar] [CrossRef]
- Chen, J.; Wang, P.; Cui, L.; Huang, S.; Song, M. Decomposition and decoupling analysis of CO2 emissions in OECD. Appl. Energy 2018, 231, 937–950. [Google Scholar] [CrossRef]
- Tapio, P. Toward a theory of decoupling: Degrees of decoupling in the EU and the case of road traffic in Finland between 1970 and 2001. Transp. Policy 2005, 12, 137–151. [Google Scholar] [CrossRef]
- Shindell, D.; Smith, C.J. Climate and air-quality benefits of a realistic phase-out of fossil fuels. Nature 2019, 573, 408–411. [Google Scholar] [CrossRef]
- Barreto, R.A. Fossil fuels, alternative energy and economic growth. Econ. Model. 2018, 75, 196–220. [Google Scholar] [CrossRef]
- United Nation Environment. COVID-19 Caused Only a Temporary Reduction in Carbon Emissions–UN Report. Available online: https://www.unep.org/news-and-stories/press-release/covid-19-caused-only-temporary-reduction-carbon-emissions-un-report (accessed on 16 July 2024).
- UNFCC. United Nations Climate Change Annual Report 2020. UNFCCC secretariat UN Campus Platz der Vereinten Nationen 153113 Bonn, Germany. Available online: https://unfccc.int/sites/default/files/resource/UNFCCC_Annual_Report_2020.pdf (accessed on 28 August 2024).
- Wang, F.; Wang, R.; Nan, X. Marginal abatement costs of industrial CO2 emissions and their influence factors in China. Sustain. Prod. Consum. 2022, 30, 930–945. [Google Scholar] [CrossRef]
- Guan, D.; Wang, D.; Hallegatte, S.; Davis, S.J.; Huo, J.; Li, S.; Bai, Y.; Lei, T.; Xue, Q.; Coffman, D.M.; et al. Global supply-chain effects of COVID-19 control measures. Nat. Hum. Behav. 2020, 4, 577–587. [Google Scholar] [CrossRef]
- Le Quéré, C.; Peters, G.P.; Friedlingstein, P.; Andrew, R.M.; Canadell, J.G.; Davis, S.J.; Jackson, R.B.; Jones, M.W. Fossil CO2 emissions in the post-COVID-19 era. Nat. Clim. Change 2021, 11, 197–199. [Google Scholar] [CrossRef]
- Le Quéré, C.; Jackson, R.B.; Jones, M.W.; Smith, A.J.P.; Abernethy, S.; Andrew, R.M.; De-Gol, A.J.; Willis, D.R.; Shan, Y.; Canadell, J.G.; et al. Temporary reduction in daily global CO2 emissions during the COVID-19 forced confinement. Nat. Clim. Change 2020, 10, 647–653. [Google Scholar] [CrossRef]
- Liu, Z.; Ciais, P.; Deng, Z.; Lei, R.; Davis, S.; Feng, S.; Zheng, B.; Cui, D.; Dou, X.; Zhu, B.; et al. Near-real-time monitoring of global CO2 emissions reveals the effects of the COVID-19 pandemic. Nat. Commun. 2020, 11, 5172. [Google Scholar] [CrossRef]
- Andreoni, V. Estimating the European CO2 emissions change due to COVID-19 restrictions. Sci. Total Environ. 2021, 769, 145115. [Google Scholar] [CrossRef] [PubMed]
- Zheng, B.; Geng, G.; Ciais, P.; Davis, S.; Martin, R.; Meng, J.; Wu, N.; Chevallier, F.; Broquet, G.; Boersma, F.; et al. Satellite-based estimates of decline and rebound in China’s CO2 emissions during COVID-19 pandemic. Sci. Adv. 2020, 6, 4998. [Google Scholar] [CrossRef]
- World Health Organization. World health Statistics 2024: Monitoring Health for SDGs, Sustainable Development Goals; World Health Organization: Geneva, Switzerland, 2024. [Google Scholar]
- Ang, B.W. LMDI decomposition approach: A guide for implementation. Energy Policy 2015, 86, 233–238. [Google Scholar] [CrossRef]
- International Energy Agency (IEA). CO2 Emissions from Fuel Combustion. Available online: https://www.iea.org/data-and-statistics/data-product/greenhouse-gas-emissions-from-energy#co2-emissions-from-fuel-combustion-detailed-estimates (accessed on 15 October 2024).
- International Energy Agency (IEA). World Energy Balances. Available online: https://www.iea.org/data-and-statistics/data-product/world-energy-balances (accessed on 15 October 2024).
- World Bank. World Development Indicators. Available online: https://datacatalog.worldbank.org/search/dataset/0037712 (accessed on 15 October 2024).
- The World Bank Group. World Development Report 2021: Data for Better Lives; The World Bank Group: Washington, DC, USA, 2021; Available online: https://wdr2021.worldbank.org/ (accessed on 15 October 2024).
- Wang, Q.; Zhang, F. What does the China’s economic recovery after COVID-19 pandemic mean for the economic growth and energy consumption of other countries? J. Clean. Prod. 2021, 295, 126265. [Google Scholar] [CrossRef]
- IEA. World Energy Outlook 2022; IEA: Paris, France, 2022; Available online: https://www.iea.org/reports/world-energy-outlook-2022 (accessed on 7 November 2024).
- IRENA. Renewable Power Generation Costs in 2023; International Renewable Energy Agency: Abu Dhabi, United Arab Emirates, 2024; Available online: https://www.irena.org/-/media/Files/IRENA/Agency/Publication/2024/Sep/IRENA_Renewable_power_generation_costs_in_2023.pdf (accessed on 7 November 2024).
- Wu, Y.; Zhu, Q.; Zhu, B. Comparisons of decoupling trends of global economic growth and energy consumption between developed and developing countries. Energy Policy 2018, 116, 30–38. [Google Scholar] [CrossRef]
- Kiwan, B.; Kalib, N.; Muchtar, A. Decomposition and decoupling analyses of CO2 emissions and economic growth: A comparative study between Malaysia and Vietnam. IOP Conf. Ser. Mater. Sci. Eng. 2022, 1, 1257. [Google Scholar] [CrossRef]
- Nordström, H.; Söder, L.; Flynn, D.; Matevosyan, J.; Kiviluoma, J.; Holttinen, H.; Vrana, T.K.; van der Welle, A.; Morales-España, G.; Pudjianto, D.; et al. Strategies for Continuous Balancing in Future Power Systems with High Wind and Solar Shares. Energies 2023, 16, 5249. [Google Scholar] [CrossRef]









| (a) | ||||||
|---|---|---|---|---|---|---|
| Decoupling States 2019–2020 → 2020–2021 | Countries | Share | Breakdown by Income Levels | |||
| High | Upper Medium | Lower Medium | Low | |||
| Decoupling → Decoupling | 6 | 4.35% | 1.45% | 1.45% | 0.72% | 0.72% |
| Decoupling → Recessive decoupling | 0 | 0.00% | 0.00% | 0.00% | 0.00% | 0.00% |
| Decoupling → Negative decoupling | 8 | 5.80% | 1.45% | 0.72% | 2.17% | 1.45% |
| Decoupling → Negative recessive decoupling | 0 | 0.00% | 0.00% | 0.00% | 0.00% | 0.00% |
| Recessive decoupling → Decoupling | 34 | 24.64% | 15.94% | 5.07% | 2.90% | 0.72% |
| Recessive decoupling → Recessive decoupling | 1 | 0.72% | 0.72% | 0.00% | 0.00% | 0.00% |
| Recessive decoupling → Negative decoupling | 40 | 28.99% | 10.14% | 8.70% | 7.97% | 2.17% |
| Recessive decoupling → Negative recessive decoupling | 2 | 1.45% | 0.00% | 0.00% | 0.00% | 1.45% |
| Negative decoupling → Decoupling | 5 | 3.62% | 0.72% | 0.72% | 1.45% | 0.72% |
| Negative decoupling → Recessive decoupling | 0 | 0.00% | 0.00% | 0.00% | 0.00% | 0.00% |
| Negative decoupling → Negative decoupling | 2 | 1.45% | 0.00% | 0.00% | 0.72% | 0.72% |
| Negative decoupling → Negative recessive decoupling | 1 | 0.72% | 0.72% | 0.00% | 0.00% | 0.00% |
| Negative recessive decoupling → Decoupling | 25 | 18.12% | 6.52% | 8.70% | 2.90% | 0.00% |
| Negative recessive decoupling → Recessive decoupling | 1 | 0.72% | 0.00% | 0.72% | 0.00% | 0.00% |
| Negative recessive decoupling → Negative decoupling | 11 | 7.97% | 2.90% | 2.90% | 2.17% | 0.00% |
| Negative recessive decoupling → Negative recessive decoupling | 2 | 1.45% | 0.00% | 0.72% | 0.72% | 0.00% |
| Total | 138 | 100% | 40.58% | 29.71% | 21.74% | 7.97% |
| (b) | ||||||
| Decoupling States 2020–2021 →2021–2022 | Countries | Share | Breakdown by Income Levels | |||
| High | Upper Medium | Lower Medium | Low | |||
| Decoupling → Decoupling | 49 | 35.77% | 21.17% | 8.76% | 5.11% | 0.73% |
| Decoupling → Recessive decoupling | 3 | 2.19% | 0.00% | 0.73% | 1.46% | 0.00% |
| Decoupling → Negative decoupling | 12 | 8.76% | 0.73% | 4.38% | 1.46% | 2.19% |
| Decoupling → Negative recessive decoupling | 0 | 0.00% | 0.00% | 0.00% | 0.00% | 0.00% |
| Recessive decoupling → Decoupling | 1 | 0.73% | 0.73% | 0.00% | 0.00% | 0.00% |
| Recessive decoupling → Recessive decoupling | 1 | 0.73% | 0.00% | 0.73% | 0.00% | 0.00% |
| Recessive decoupling → Negative decoupling | 0 | 0.00% | 0.00% | 0.00% | 0.00% | 0.00% |
| Recessive decoupling → Negative recessive decoupling | 0 | 0.00% | 0.00% | 0.00% | 0.00% | 0.00% |
| Negative decoupling → Decoupling | 37 | 27.01% | 10.95% | 7.30% | 8.03% | 0.73% |
| Negative decoupling → Recessive decoupling | 2 | 1.46% | 0.00% | 0.73% | 0.00% | 0.73% |
| Negative decoupling → Negative decoupling | 26 | 18.98% | 1.46% | 6.57% | 8.03% | 2.92% |
| Negative decoupling → Negative recessive decoupling | 1 | 0.73% | 0.73% | 0.00% | 0.00% | 0.00% |
| Negative recessive decoupling → Decoupling | 1 | 0.73% | 0.00% | 0.00% | 0.73% | 0.00% |
| Negative recessive decoupling → Recessive decoupling | 3 | 2.19% | 0.73% | 0.00% | 0.00% | 1.46% |
| Negative recessive decoupling → Negative decoupling | 1 | 0.73% | 0.00% | 0.73% | 0.00% | 0.00% |
| Negative recessive decoupling → Negative recessive decoupling | 0 | 0.00% | 0.00% | 0.00% | 0.00% | 0.00% |
| Total | 137 | 100.00% | 36.50% | 29.93% | 24.82% | 8.76% |
| (a) | |||||||
|---|---|---|---|---|---|---|---|
| Decoupling State Shift | Period | CO2 | CI | FD | EE | EA | Pop |
| Recessive decoupling → Decoupling | 2019–2020 | −10.27% | −2.12% | −2.43% | −1.01% | −5.41% | 0.71% |
| 2020–2021 | 2.86% | −0.34% | −0.23% | −2.85% | 5.76% | 0.53% | |
| Recessive decoupling → Negative decoupling | 2019–2020 | −11.76% | −2.58% | −4.15% | −0.34% | −5.64% | 0.96% |
| 2020–2021 | 11.36% | 1.44% | 3.30% | 0.90% | 4.76% | 0.96% | |
| Negative recessive decoupling → Decoupling | 2019–2020 | −0.30% | 3.33% | 0.60% | 2.38% | −7.13% | 0.53% |
| 2020–2021 | 2.91% | −1.87% | −0.75% | −2.42% | 7.95% | 0.00% | |
| Negative recessive decoupling → Negative decoupling | 2019–2020 | −3.15% | 0.74% | 0.93% | 3.13% | −8.53% | 0.58% |
| 2020–2021 | 9.08% | 2.05% | 1.02% | 0.88% | 4.64% | 0.49% | |
| (b) | |||||||
| Decoupling State Shift | Period | CO2 | CI | FD | EE | EA | Pop |
| Decoupling → Decoupling | 2020–2021 | 2.06% | −0.22% | −1.07% | −3.87% | 6.78% | 0.43% |
| 2021–2022 | −0.72% | 0.49% | −0.25% | −6.50% | 4.76% | 0.78% | |
| Decoupling → Negative decoupling | 2020–2021 | 3.72% | −1.80% | −2.44% | −8.60% | 15.48% | 1.08% |
| 2021–2022 | 12.33% | 2.44% | 4.74% | −0.21% | 3.99% | 1.37% | |
| Negative decoupling → Decoupling | 2020–2021 | 9.72% | 2.51% | 1.77% | −0.07% | 4.72% | 0.79% |
| 2021–2022 | −1.31% | −0.97% | −0.31% | −4.61% | 3.66% | 0.92% | |
| Negative decoupling → Negative decoupling | 2020–2021 | 15.09% | 1.65% | 3.03% | 4.90% | 3.87% | 1.63% |
| 2021–2022 | 10.22% | −0.42% | 4.19% | 1.48% | 3.49% | 1.48% | |
Disclaimer/Publisher’s Note: The statements, opinions and data contained in all publications are solely those of the individual author(s) and contributor(s) and not of MDPI and/or the editor(s). MDPI and/or the editor(s) disclaim responsibility for any injury to people or property resulting from any ideas, methods, instructions or products referred to in the content. |
© 2024 by the authors. Licensee MDPI, Basel, Switzerland. This article is an open access article distributed under the terms and conditions of the Creative Commons Attribution (CC BY) license (https://creativecommons.org/licenses/by/4.0/).
Share and Cite
Ito, Y.; Fujii, H. Decomposition Analysis of CO2 Emissions in 138 Countries During the COVID-19 Pandemic. Energies 2024, 17, 5835. https://doi.org/10.3390/en17235835
Ito Y, Fujii H. Decomposition Analysis of CO2 Emissions in 138 Countries During the COVID-19 Pandemic. Energies. 2024; 17(23):5835. https://doi.org/10.3390/en17235835
Chicago/Turabian StyleIto, Yasunori, and Hidemichi Fujii. 2024. "Decomposition Analysis of CO2 Emissions in 138 Countries During the COVID-19 Pandemic" Energies 17, no. 23: 5835. https://doi.org/10.3390/en17235835
APA StyleIto, Y., & Fujii, H. (2024). Decomposition Analysis of CO2 Emissions in 138 Countries During the COVID-19 Pandemic. Energies, 17(23), 5835. https://doi.org/10.3390/en17235835

