Optimization of Second-Generation Biodiesel Blends to Enhance Diesel Engine Performance and Reduce Pollutant Emissions
Abstract
1. Introduction
2. Materials and Methods
2.1. Test Fuels
2.2. Test Engine
2.3. Test Scheme
3. Results and Discussion
3.1. Performance
3.2. Combustibility
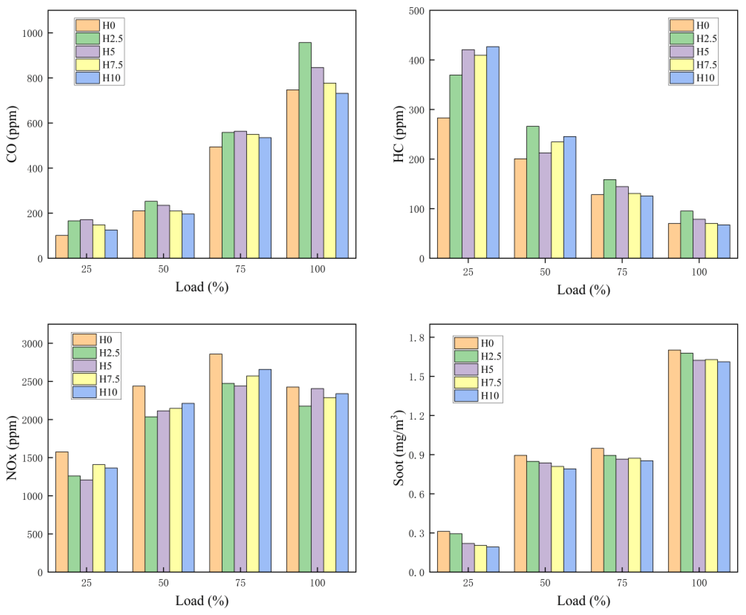
3.3. Emissions
4. Performance Evaluation and Optimal Blending Ratio Decision
4.1. Grey Decision-Making
4.2. Constructing a Multi-Objective Grey Decision-Making Model
4.3. Method of Assigning Decision Weights to Decision Objectives
4.4. Determination and Evaluation Analysis of the Optimal Blending Ratio
5. Research on Optimizing the Performance by Changing the Deoxygenation Ratio
5.1. Deoxygenation Ratio
5.2. Performance
5.3. Combustion
5.4. Emissions
5.5. The Optimal Deoxygenation Ratio of Biodiesel
6. Conclusions
Author Contributions
Funding
Data Availability Statement
Conflicts of Interest
Abbreviations
| IMO | International Maritime Organization |
| CO | Carbon monoxide |
| CO2 | Carbon dioxide |
| NO2 | Nitrogen dioxide |
| HC | Hydrocarbon |
| NOx | Oxides of nitrogen |
| H | Hydrogenation deoxygenation |
| H0 | Pure diesel |
| H2.5 | Diesel 97.5% + second-generation biodiesel 2.5% |
| H5 | Diesel 95% + second-generation biodiesel 5% |
| H7.5 | Diesel 92.5% + second-generation biodiesel 7.5% |
| H10 | Diesel 90% + second-generation biodiesel 10% |
| ppm | Parts per million |
| rpm | Revolutions per minute |
| HRR | Heat release rate |
| Actual fuel consumption rate | |
| Fuel consumption rate of mixed fuels | |
| Calorific values of the diesel | |
| Calorific values of the second-generation biodiesel | |
| Volume fraction of diesel in mixed fuels | |
| Volume fraction of second-generation biodiesel in mixed fuels | |
| A | Event set |
| B | Countermeasure set |
| The experimental data value corresponding to the decision objective | |
| Situation set | |
| K | Decision objectives |
| Effect measurement | |
| R | Comprehensive effect measurement matrix |
| Decision objective relevance | |
| The final weight of decision objectives |
References
- Pouresmaieli, M.; Ataei, M.; Qarahasanlou, A.N.; Barabadi, A. Integration of renewable energy and sustainable development with strategic planning in the mining industry. Results Eng. 2023, 20, 101412. [Google Scholar] [CrossRef]
- Bigerna, S.; D’Errico, M.C.; Polinori, P. Energy security and RES penetration in a growing decarbonized economy in the era of the 4th industrial revolution. Technol. Forecast. Soc. Chang. 2021, 166, 120648. [Google Scholar] [CrossRef]
- Sou, W.S.; Goh, T.; Lee, X.N.; Ng, S.H.; Chai, K.H. Reducing the carbon intensity of international shipping—The impact of energy efficiency measures. Energy Policy 2022, 170, 113239. [Google Scholar] [CrossRef]
- Demir, U.; Çelebi, S.; Özer, S. Experimental investigation of the effect of fuel oil, graphene and HHO gas addition to diesel fuel on engine performance and exhaust emissions in a diesel engine. Int. J. Hydrogen Energy 2024, 52, 1434–1446. [Google Scholar] [CrossRef]
- Rasool, S.F.; Zaman, S.; Jehan, N.; Chin, T.; Khan, S.; Zaman, Q.U. Investigating the role of the tech industry, renewable energy, and urbanization in sustainable environment: Policy directions in the context of developing economies. Technol. Forecast. Soc. Chang. 2022, 183, 121935. [Google Scholar] [CrossRef]
- Eremeeva, A.M.; Ilyushin, Y.V. Automation of the control system for drying grain crops of the technological process for obtaining biodiesel fuels. Sci. Rep. 2023, 13, 14956. [Google Scholar] [CrossRef]
- Di Battista, D.; Di Bartolomeo, M.; Cipollone, R. Full energy recovery from exhaust gases in a turbocharged diesel engine. Energy Convers. Manag. 2022, 271, 116280. [Google Scholar] [CrossRef]
- Skuland, T.S.; Refsnes, M.; Magnusson, P.; Oczkowski, M.; Gromadzka-Ostrowska, J.; Kruszewski, M.; Mruk, R.; Myhre, O.; Lankoff, A.; Øvrevik, J. Proinflammatory effects of diesel exhaust particles from moderate blend concentrations of 1st and 2nd generation biodiesel in BEAS-2B bronchial epithelial cells—The FuelHealth project. Environ. Toxicol. Pharmacol. 2017, 52, 138–142. [Google Scholar] [CrossRef]
- Bilgili, L. A systematic review on the acceptance of alternative marine fuels. Renew. Sustain. Energy Rev. 2023, 182, 113367. [Google Scholar] [CrossRef]
- Fetanat, A.; Tayebi, M.; Mofid, H. Water-energy-carbon nexus and sustainability-oriented prioritization of negative emissions technologies for the oil & gas industry: A decision support system under Fermatean fuzzy environment. Process Saf. Environ. Prot. 2023, 179, 462–483. [Google Scholar] [CrossRef]
- Oloruntobi, O.; Mokhtar, K.; Gohari, A.; Asif, S.; Chuah, L.F. Sustainable transition towards greener and cleaner seaborne shipping industry: Challenges and opportunities. Clean. Eng. Technol. 2023, 13, 100628. [Google Scholar] [CrossRef]
- Bullermann, J.; Meyer, N.C.; Krafft, A.; Wirz, F. Comparison of fuel properties of alternative drop-in fuels with standard marine diesel and the effects of their blends. Fuel 2024, 357, 129937. [Google Scholar] [CrossRef]
- Rony, Z.I.; Mofijur, M.; Hasan, M.M.; Rasul, M.G.; Jahirul, M.I.; Ahmed, S.F.; Kalam, M.A.; Badruddin, I.A.; Khan, T.M.Y.; Show, P.L. Alternative fuels to reduce greenhouse gas emissions from marine transport and promote UN sustainable development goals. Fuel 2023, 338, 127220. [Google Scholar] [CrossRef]
- Hellström, M.; Rabetino, R.; Schwartz, H.; Tsvetkova, A.; Haq, S.H.U. GHG emission reduction measures and alternative fuels in different shipping segments and time horizons—A Delphi study. Mar. Policy 2024, 160, 105997. [Google Scholar] [CrossRef]
- Seyam, S.; Dincer, I.; Agelin-Chaab, M. Exergoeconomic and exergoenvironmental analyses of a potential marine engine powered by eco-friendly fuel blends with hydrogen. Energy 2023, 284, 129276. [Google Scholar] [CrossRef]
- Latapí, M.; Davíðsdóttir, B.; Jóhannsdóttir, L. Drivers and barriers for the large-scale adoption of hydrogen fuel cells by Nordic shipping companies. Int. J. Hydrogen Energy 2023, 48, 6099–6119. [Google Scholar] [CrossRef]
- Seyam, S.; Dincer, I.; Agelin-Chaab, M. An innovative study on a hybridized ship powering system with fuel cells using hydrogen and clean fuel blends. Appl. Therm. Eng. 2023, 221, 119893. [Google Scholar] [CrossRef]
- Rawat, A.; Garg, C.P.; Sinha, P. Analysis of the key hydrogen fuel vehicles adoption barriers to reduce carbon emissions under net zero target in emerging market. Energy Policy 2024, 184, 113847. [Google Scholar] [CrossRef]
- Aravindan, M.; Madhan Kumar, V.; Hariharan, V.S.; Narahari, T.; Kumar, A.; Madhesh, K.; Kumar, P.; Prabakaran, R. Fuelling the future: A review of non-renewable hydrogen production and storage techniques. Renew. Sustain. Energy Rev. 2023, 188, 113791. [Google Scholar] [CrossRef]
- Chauhan, I.; Sharma, V.; Rekha, P.; Singh, L. Microalgae biofuels: A promising substitute and renewable energy. In Green Approach to Alternative Fuel for a Sustainable Future; Elsevier: Amsterdam, The Netherlands, 2023; pp. 181–189. [Google Scholar] [CrossRef]
- Sulaiman, N.F.; Leong, Y.W.; Lee, S.L.; Goh, Z.W.; Yahya, S.S.M.; Sofiah, A.G.N. Process optimization of rice husk ash supported catalyst in biodiesel synthesis using response surface methodology approach. Fuel 2024, 358, 130165. [Google Scholar] [CrossRef]
- Ganesha, T.; Prakash, S.B.; Rani, S.S.; Ajith, B.S.; Patel, G.C.M.; Samuel, O.D. Biodiesel yield optimization from ternary (animal fat-cotton seed and rice bran) oils using response surface methodology and grey wolf optimizer. Ind. Crops Prod. 2023, 206, 117569. [Google Scholar] [CrossRef]
- Mansoorsamaei, Z.; Mowla, D.; Esmaeilzadeh, F.; Dashtian, K. Sustainable biodiesel production from waste cooking oil using banana peel biochar-Fe2O3/Fe2K6O5 magnetic catalyst. Fuel 2024, 357, 129821. [Google Scholar] [CrossRef]
- Li, Y.; Xu, H.; Li, Z.; Meng, S.; Song, H. Catalytic methanotreating of vegetable oil: A pathway to Second-generation biodiesel. Fuel 2022, 311, 122504. [Google Scholar] [CrossRef]
- Verma, T.N.; Shrivastava, P.; Rajak, U.; Dwivedi, G.; Jain, S.; Zare, A.; Shukla, A.K.; Verma, P. A comprehensive review of the influence of physicochemical properties of biodiesel on combustion characteristics, engine performance and emissions. J. Traffic Transp. Eng. Engl. Ed. 2021, 8, 510–533. [Google Scholar] [CrossRef]
- Bhuiya, M.M.K.; Rasul, M.G.; Khan, M.M.K.; Ashwath, N.; Azad, A.K. Prospects of 2nd generation biodiesel as a sustainable fuel—Part: 1 selection of feedstocks, oil extraction techniques and conversion technologies. Renew. Sustain. Energy Rev. 2016, 55, 1109–1128. [Google Scholar] [CrossRef]
- Jafarihaghighi, F.; Bahrami, H.; Ardjmand, M.; Mirzajanzadeh, M.; Haghighi, B.J.; Mahdavi, A. Comparing among second, third, and fourth generations (genetically modified) of biodiesel feedstocks from the perspective of engine, exhaust gasses and fatty acid: Comparative assessment. Clean. Chem. Eng. 2022, 2, 100025. [Google Scholar] [CrossRef]
- Boutesteijn, C.; Drabik, D.; Venus, T.J. The interaction between EU biofuel policy and first- and second-generation biodiesel production. Ind. Crops Prod. 2017, 106, 124–129. [Google Scholar] [CrossRef]
- López-Fernández, J.; Benaiges, M.D.; Valero, F. Second- and third-generation biodiesel production with immobilised recombinant Rhizopus oryzae lipase: Influence of the support, substrate acidity and bioprocess scale-up. Bioresour. Technol. 2021, 334, 125233. [Google Scholar] [CrossRef]
- Meraz, R.M.; Rahman, M.M.; Hassan, T.; Al Rifat, A.; Adib, A.R. A review on algae biodiesel as an automotive fuel. Bioresour. Technol. Rep. 2023, 24, 101659. [Google Scholar] [CrossRef]
- Qenawy, M.; Khalaf, M.; Wang, J.; Tian, J.; Zuo, L.; Mustafa, H.M.M.; Esmail, M.F.C. Performance and emission of extracted biodiesel from mixed Jatropha-Castor seeds. Fuel 2024, 357, 130060. [Google Scholar] [CrossRef]
- Hosseinzadeh-Bandbafha, H.; Tan, Y.H.; Kansedo, J.; Mubarak, N.M.; Liew, R.K.; Yek, P.N.Y.; Aghbashlo, M.; Ng, H.S.; Chong, W.W.F.; Lam, S.S.; et al. Assessing biodiesel production using palm kernel shell-derived sulfonated magnetic biochar from the life cycle assessment perspective. Energy 2023, 282, 128758. [Google Scholar] [CrossRef]
- Deepalika; Kumar, V.; Choudhary, A.K. A comparative review on evaluation of performance, combustion, and emission characteristics of biodiesel blends enriched with hydrogen, additives and their combined effect. Therm. Sci. Eng. Prog. 2023, 46, 102185. [Google Scholar] [CrossRef]
- Kurczyński, D.; Łagowski, P.; Wcisło, G. Experimental study into the effect of the second-generation BBuE biofuel use on the diesel engine parameters and exhaust composition. Fuel 2021, 284, 118982. [Google Scholar] [CrossRef]
- Vergel-Ortega, M.; Valencia-Ochoa, G.; Duarte-Forero, J. Experimental study of emissions in single-cylinder diesel engine operating with diesel-biodiesel blends of palm oil-sunflower oil and ethanol. Case Stud. Therm. Eng. 2021, 26, 101190. [Google Scholar] [CrossRef]
- Zhong, W.; Xuan, T.; He, Z.; Wang, Q.; Li, D.; Zhang, X.; Huang, Y.Y. Experimental study of combustion and emission characteristics of diesel engine with diesel/second-generation biodiesel blending fuels. Energy Convers. Manag. 2016, 121, 241–250. [Google Scholar] [CrossRef]
- Nabi, M.N.; Rasul, M.G.; Brown, R.J. Influence of diglyme addition to diesel-biodiesel blends on notable reductions of particulate matter and number emissions. Fuel 2019, 253, 811–822. [Google Scholar] [CrossRef]
- Lin, D.; Mao, Z.; Feng, X.; Zhou, X.; Yan, H.; Zhu, H.; Liu, Y.; Chen, X.; Tuo, Y.; Peng, C.; et al. Kinetic insights into deoxygenation of vegetable oils to produce second-generation biodiesel. Fuel 2023, 333, 126416. [Google Scholar] [CrossRef]
- Lee, H.C.; Abdelsamie, A.; Dai, P.; Wan, M.; Lipatnikov, A.N. Influence of equivalence ratio on turbulent burning velocity and extreme fuel consumption rate in lean hydrogen-air turbulent flames. Fuel 2022, 327, 124969. [Google Scholar] [CrossRef]
- Nguyen, V.N.; Nayak, B.; Singh, T.J.; Nayak, S.K.; Cao, D.N.; Le, H.C.; Nguyen, X.P. Investigations on the performance, emission and combustion characteristics of a dual-fuel diesel engine fueled with induced bamboo leaf gaseous fuel and injected mixed biodiesel-diesel blends. Int. J. Hydrogen Energy 2024, 54, 397–417. [Google Scholar] [CrossRef]
- Cung, K.D.; Wallace, J.; Kalaskar, V.; Smith, E.M., III; Briggs, T.; Bitsis, D.C., Jr. Experimental study on engine and emissions performance of renewable diesel methanol dual fuel (RMDF) combustion. Fuel 2024, 357, 129664. [Google Scholar] [CrossRef]
- Nadimi, E.; Przybyła, G.; Løvås, T.; Peczkis, G.; Adamczyk, W.P. Experimental and Numerical Study on Direct Injection of Liquid Ammonia and Its Injection Timing in an Ammonia-biodiesel Dual Injection Engine. SSRN Electron. J. 2023. [Google Scholar] [CrossRef]
- Sharma, P.; Sharma, A.K.; Balakrishnan, D.; Manivannan, A.; Chia, W.Y.; Awasthi, M.K.; Show, P.L. Model-prediction and optimization of the performance of a biodiesel—Producer gas powered dual-fuel engine. Fuel 2023, 348, 128405. [Google Scholar] [CrossRef]
- Nayak, S.K.; Nižetić, S.; Pham, V.V.; Huang, Z.; Ölçer, A.I.; Bui, V.G.; Wattanavichien, K.; Hoang, A.T. Influence of injection timing on performance and combustion characteristics of compression ignition engine working on quaternary blends of diesel fuel, mixed biodiesel, and t-butyl peroxide. J. Clean. Prod. 2022, 333, 130160. [Google Scholar] [CrossRef]
- Zhong, W.; Yan, F.; Wang, J.; Gao, W.; Xu, G.; He, Z.; Hua, L.; Wang, Q. Experimental study on combustion and emission characteristics of fatty acid methyl esters and hydrogenated catalytic biodiesel/diesel blends under world harmonized steady state cycle. Fuel 2023, 343, 127887. [Google Scholar] [CrossRef]
- Kanimozhi, B.; Karthikeyan, L.; Praveenkumar, T.R.; Alharbi, S.A.; Alfarraj, S.; Gavurová, B. Evaluation of karanja and safflower biodiesel on engine’s performance and emission characteristics along with nanoparticles in DI engine. Fuel 2023, 352, 129101. [Google Scholar] [CrossRef]
- Baranitharan, P.; Ramesh, K.; Sakthivel, R. Multi-attribute decision-making approach for Aegle marmelos pyrolysis process using TOPSIS and Grey Relational Analysis: Assessment of engine emissions through novel Infrared thermography. J. Clean. Prod. 2019, 234, 315–328. [Google Scholar] [CrossRef]
- Kong, Z.; Wang, L.; Wu, Z. Application of fuzzy soft set in decision making problems based on grey theory. J. Comput. Appl. Math. 2011, 236, 1521–1530. [Google Scholar] [CrossRef]
- Ni, P.; Wang, X.; Li, H. A review on regulations, current status, effects and reduction strategies of emissions for marine diesel engines. Fuel 2020, 279, 118477. [Google Scholar] [CrossRef]
- Kharkwal, V.S.; Kesharvani, S.; Verma, S.; Dwivedi, G.; Jain, S. Numerical investigation of engine characteristics of a diesel engine fuelled with ethanol and diethyl ether supplemented diesel-WCO biodiesel blend. Mater. Today Proc. 2023; in press. [Google Scholar] [CrossRef]
- Tan, D.; Li, D.; Wang, S.; Zhang, Z.; Tian, J.; Li, J.; Lv, J.; Zheng, W.; Ye, Y. Evaluation and optimization of hydrogen addition on the performance and emission for biodiesel dual-fuel engines with different blend ratios based on the response surface method. Energy 2023, 283, 129168. [Google Scholar] [CrossRef]
- Mohite, A.; Bora, B.J.; Sharma, P.; Medhi, B.J.; Barik, D.; Balasubramanian, D.; Nguyen, V.G.; JS, F.J.; Le, H.C.; Kamalakannan, J.; et al. Maximizing efficiency and environmental benefits of an algae biodiesel-hydrogen dual fuel engine through operational parameter optimization using response surface methodology. Int. J. Hydrogen Energy 2024, 52, 1395–1407. [Google Scholar] [CrossRef]
- Yang, M.; Chen, Y.; Wang, Y.; Yang, L.; Cui, W.; Liu, Y.; Wang, C.; Chen, Q. Investigation on in-situ deoxygenation performance of bio-oil model compound guaiacol over Ce-Fe/Al2O3 catalyst. Green Energy Resour. 2023, 1, 100021. [Google Scholar] [CrossRef]











| Physical and Chemical Properties | Second-Generation Biodiesel | Diesel Oil |
|---|---|---|
| Cetane number | 80 | 46 |
| Density/kg/m3/(20 °C) | 780 | 840 |
| Lower calorific value (MJ/kg) | 43.61 | 42.05 |
| Flash point (°C) | 60 | 55 |
| Sulfur content (%) | 5.0 × 10−6 | 0.18 |
| Kinematic viscosity 4 °C (mm2/s) | 2.46 | 3.5 |
| Ash content (%) | 0.004 | 0.012 |
| Project | Parameter |
|---|---|
| Number of cylinders | 6 |
| Bore [mm] × Store [mm] | 128 × 140 |
| Displacement [L] | 10.8 |
| Rated power [kW] | 186 |
| Speed [r/min] | 1500 |
| Compression ratio [−] | 15:1 |
| Maximum explosive pressure [MPa] | 15 |
| Rated cycle fuel supply [mg] | 151 |
| Load [%] | 25 | 50 | 75 | 100 |
|---|---|---|---|---|
| Speed [r/min] | 1500 | 1500 | 1500 | 1500 |
| Power [kW] | 46.5 | 93 | 139.5 | 186 |
| Torque [N·m] | 296 | 592 | 888 | 1184 |
Disclaimer/Publisher’s Note: The statements, opinions and data contained in all publications are solely those of the individual author(s) and contributor(s) and not of MDPI and/or the editor(s). MDPI and/or the editor(s) disclaim responsibility for any injury to people or property resulting from any ideas, methods, instructions or products referred to in the content. |
© 2024 by the authors. Licensee MDPI, Basel, Switzerland. This article is an open access article distributed under the terms and conditions of the Creative Commons Attribution (CC BY) license (https://creativecommons.org/licenses/by/4.0/).
Share and Cite
Gao, Z.; Xiao, Y.; Mao, J.; Zhou, L.; Li, X.; Li, Z. Optimization of Second-Generation Biodiesel Blends to Enhance Diesel Engine Performance and Reduce Pollutant Emissions. Energies 2024, 17, 5829. https://doi.org/10.3390/en17235829
Gao Z, Xiao Y, Mao J, Zhou L, Li X, Li Z. Optimization of Second-Generation Biodiesel Blends to Enhance Diesel Engine Performance and Reduce Pollutant Emissions. Energies. 2024; 17(23):5829. https://doi.org/10.3390/en17235829
Chicago/Turabian StyleGao, Zhanbin, Yang Xiao, Jin Mao, Liang Zhou, Xinju Li, and Zhiyong Li. 2024. "Optimization of Second-Generation Biodiesel Blends to Enhance Diesel Engine Performance and Reduce Pollutant Emissions" Energies 17, no. 23: 5829. https://doi.org/10.3390/en17235829
APA StyleGao, Z., Xiao, Y., Mao, J., Zhou, L., Li, X., & Li, Z. (2024). Optimization of Second-Generation Biodiesel Blends to Enhance Diesel Engine Performance and Reduce Pollutant Emissions. Energies, 17(23), 5829. https://doi.org/10.3390/en17235829
