Evaluating Energy Efficiency Parameters of Municipal Wastewater Treatment Plants in Terms of Management Strategies and Carbon Footprint Reduction: Insights from Three Polish Facilities
Abstract
1. Introduction
2. Materials and Methods
2.1. Description of the Study Areas
2.2. Determination of Basic Energy Consumption Indicator (I)
2.3. Carbon Footprint Estimation
3. Results and Discussion
3.1. Description of WWTP Performance
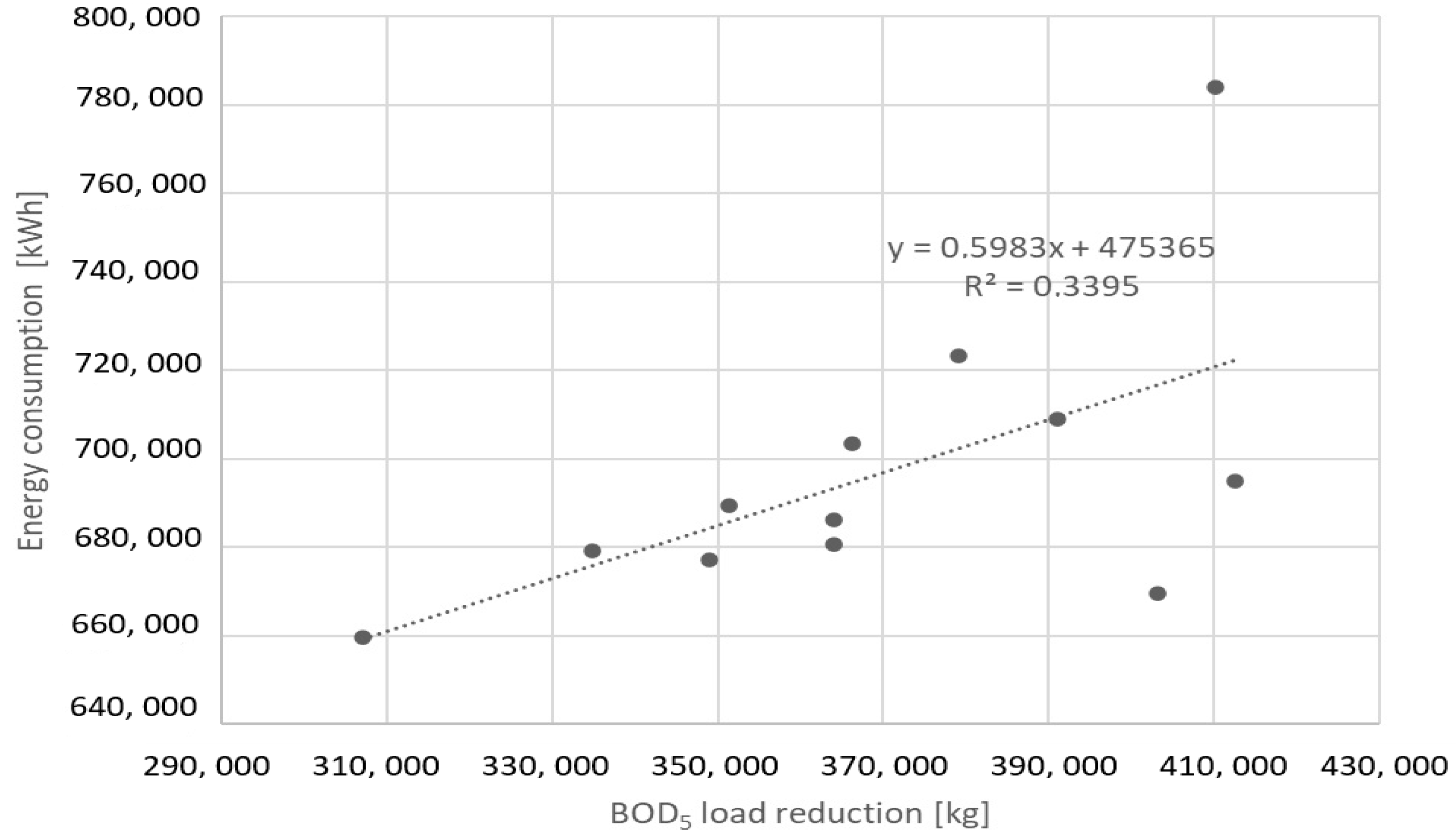
3.2. Determination of Basic Energy Consumption Coefficients and Energy Efficiency
3.3. WWTP Footprint Calculations
4. Conclusions
Supplementary Materials
Author Contributions
Funding
Data Availability Statement
Conflicts of Interest
References
- ASCE Critical Infrastructure Guidance Task Committee. Guiding Principles for the Nation’s Critical Infrastructure; American Society of Civil Engineers: Reston, VA, USA, 2009. [Google Scholar]
- Capodaglio, A.; Olsson, G. Energy Issues in Sustainable Urban Wastewater Management: Use, Demand Re-duction and Recovery in the Urban Water Cycle. Sustainability 2019, 12, 266. [Google Scholar] [CrossRef]
- Masłoń, A. Energy Consumption of Selected Wastewater Treatment Plants Located in South-Eastern Poland. Eng. Prot. Environ. 2017, 20, 331–342. [Google Scholar] [CrossRef]
- Water Intelligence. The Carbon Footprint of Water. 2022. Available online: https://wint.ai/solutions/carbon-emissions/ (accessed on 19 March 2024).
- Siatou, A.; Manali, A.; Gikas, P. Energy Consumption and Internal Distribution in Activated Sludge Wastewater Treatment Plants of Greece. Water 2020, 12, 1204. [Google Scholar] [CrossRef]
- Zaborowska, E.; Czerwionka, K.; Makinia, J. Strategies for achieving energy neutrality in biological nutrient removal systems—A case study of the Slupsk WWTP (northern Poland). Water Sci. Technol. 2017, 75, 727–740. [Google Scholar] [CrossRef]
- Maziotis, A.; Sala-Garrido, R.; Molinos-Senante, M. Assessing Energy Efficiency and Its Dynamic Changes in The Water Sector Integrating Heterogeneity and Carbon Emissions. J. Clean. Prod. 2024, 480, 144137. [Google Scholar] [CrossRef]
- Hamawand, I. Energy Consumption in Water/Wastewater Treatment Industry—Optimisation Potentials. Energies 2023, 16, 2433. [Google Scholar] [CrossRef]
- Costantini, V.; Morando, V.; Olk, C.; Tausch, L. Fuelling the Fire: Rethinking European Policy in Times of Energy and Climate Crises. Energies 2022, 15, 7781. [Google Scholar] [CrossRef]
- Capodaglio, A.G.; Callegari, A. Energy and resources recovery from excess sewage sludge: A holistic analysis of opportunities and strategies. Resour. Conserv. Recycl. Adv. 2023, 19, 200184. [Google Scholar] [CrossRef]
- Zakeri, B.; Paulavets, K.; Barreto-Gomez, L.; Echeverri, L.G.; Pachauri, S.; Boza-Kiss, B.; Zimm, C.; Rogelj, J.; Creutzig, F.; Ürge-Vorsatz, D.; et al. Pandemic, War, and Global Energy Transitions. Energies 2022, 15, 6114. [Google Scholar] [CrossRef]
- Capodaglio, A.G. Urban Wastewater Mining for Circular Resource Recovery: Approaches and Technology Analysis. Water 2023, 15, 3967. [Google Scholar] [CrossRef]
- European Parliament. European Parliament Resolution, 24th March 2022 “Need for an Urgent EU Action Plan to Ensure Food Security Inside and Outside the EU in Light of the Russian Invasion of Ukraine”; P9_TA(2022)0099; European Parliament: Strasbourg, France, 2022.
- Cardoso, B.J.; Rodrigues, E.; Gaspar, A.R.; Gomes, Á. Energy performance factors in wastewater treatment plants: A review. J. Clean. Prod. 2021, 322, 129107. [Google Scholar] [CrossRef]
- Torregrossa, D.; Castellet-Viciano, L.; Hernández-Sancho, F. A data analysis approach to evaluate the impact of the capacity utilization on the energy consumption of wastewater treatment plants. Sustain. Cities Soc. 2019, 45, 307–313. [Google Scholar] [CrossRef]
- Callegari, A.; Boguniewicz-Zablocka, J.; Capodaglio, A.G. Energy recovery and efficiency improvement for an activated sludge, agro-food WWTP upgrade. Water Pract. Technol. 2018, 13, 909–921. [Google Scholar] [CrossRef]
- Longo, S.; d’Antoni, B.M.; Bongards, M.; Chaparro, A.; Cronrath, A.; Fatone, F.; Lema, J.M.; Mauricio-Iglesias, M.; Soares, A.; Hospido, A. Monitoring and diagnosis of energy consumption in wastewater treatment plants. A state of the art and proposals for improvement. Appl. Energy 2016, 179, 1251–1268. [Google Scholar] [CrossRef]
- Lozano Avilés, A.B.; del Cerro Velázquez, F.; Llorens Pascual del Riquelme, M. Methodology for Energy Optimization in Wastewater Treatment Plants. Phase I: Control of the Best Operating Conditions. Sustainability 2019, 11, 3919. [Google Scholar] [CrossRef]
- Dairi, A.; Cheng, T.; Harrou, F.; Sun, Y.; Leiknes, T. Deep learning approach for sustainable WWTP operation: A case study on data-driven influent conditions monitoring. Sustain. Cities Soc. 2019, 50, 101670. [Google Scholar] [CrossRef]
- Ráduly, B.; Gernaey, K.V.; Capodaglio, A.G.; Mikkelsen, P.S.; Henze, M. Artificial neural networks for rapid WWTP performance evaluation: Methodology and case study. Environ. Model. Softw. 2007, 22, 1208–1216. [Google Scholar] [CrossRef]
- Cecconet, D.; Mainardis, M.; Callegari, A.; Capodaglio, A.G. Psychrophilic treatment of municipal wastewater with a combined UASB/ASD system, and perspectives for improving urban WWTP sustainability. Chemosphere 2022, 297, 134228. [Google Scholar] [CrossRef]
- Castellet, L.; Molinos-Senante, M. Efficiency assessment of wastewater treatment plants: A data envelopment analysis approach integrating technical, economic, and environmental issues. J. Environ. Manag. 2016, 167, 160–166. [Google Scholar] [CrossRef]
- Zhang, S.; Tang, Y. A POET Based Energy Audit Methodology for WWTPs. In Proceedings of the 2018 37th Chinese Control Con-ference (CCC), Wuhan, China, 25–27 July 2018; pp. 7399–7404. [Google Scholar]
- Ritchie, J. Energy Management Systems and Digital Technologies for Industrial Energy Efficiency and Productivity. Report from IEA Workshop; 2017. Available online: www.iea.org (accessed on 2 November 2022).
- Marimon, F.; Casadesús, M. Reasons to Adopt ISO 50001 Energy Management System. Sustainability 2017, 9, 1740. [Google Scholar] [CrossRef]
- Pawlowska, E.; Machnik-Slomka, J.; Klosok-Bazan, I.; Gono, M.; Gono, R. Corporate Social Responsibility of Water and Sanitation Company in the Czech Republic—Case Study. Energies 2021, 14, 3981. [Google Scholar] [CrossRef]
- Walsh, B.P.; Murray, S.N.; O’Sullivan, D.T.J. The water energy nexus, an ISO50001 water case study and the need for a water value system. Water Resour. Ind. 2015, 10, 15–28. [Google Scholar] [CrossRef]
- Longo, S.; Hospido, A.; Mauricio-Iglesias, M. Energy efficiency in wastewater treatment plants: A framework for benchmarking method selection and application. J. Environ. Manag. 2023, 344, 118624. [Google Scholar] [CrossRef] [PubMed]
- Clos, I.; Alvarez-Gaitan, J.P.; Saint, C.P.; Short, M.D. Energy Benchmarking for Efficient, Lower Carbon Wastewater Treatment Operations in Australia. In Decarbonising the Built Environment; Springer: Singapore, 2019; pp. 305–320. [Google Scholar]
- McKane, A.; Therkelsen, P.; Scodel, A.; Rao, P.; Aghajanzadeh, A.; Hirzel, S.; Zhang, R.; Prem, R.; Fossa, A.; Lazarevska, A.M.; et al. Predicting the quantifiable impacts of ISO 50001 on climate change mitigation. Energy Policy 2017, 107, 278–288. [Google Scholar] [CrossRef]
- Shizas, I.; Bagley, D.M. Experimental Determination of Energy Content of Unknown Organics in Municipal Wastewater Streams. J. Energy Eng. 2004, 130, 45–53. [Google Scholar] [CrossRef]
- Mo, W.; Zhang, Q. Can municipal wastewater treatment systems be carbon neutral? J. Environ. Manag. 2012, 112, 360–367. [Google Scholar] [CrossRef]
- Zaborowska, E. Wykorzystanie ścieków i osadów ściekowych jako źródła energii w oczyszczalni ścieków. In Proceedings of the AQUA 2006: Problemy Inżynierii Środowiska: XXVI Międzynarodowe Sympozjum im. Bolesława Krzysztofika, Płock, Poland, 8–9 June 2006; Volume 8, pp. 104–107. [Google Scholar]
- USEPA. Examples of Innovation in the Water Sector. US Environmental Protection Agency. 2023. Available online: https://19january2017snapshot.epa.gov/innovation/examples-innovation-water-sector_.html (accessed on 19 March 2024).
- Raboni, M.; Viotti, P.; Capodaglio, A.G. A comprehensive analysis of the current and future role of biofuels for transport in the European union (EU). Rev. Ambiente E Agua 2015, 10, 9–21. [Google Scholar] [CrossRef]
- Alekseiko, L.N.; Slesarenko, V.V.; Yudakov, A.A. Combination of wastewater treatment plants and heat pumps. Pac. Sci. Rev. 2014, 16, 36–39. [Google Scholar] [CrossRef]
- Kowalik, R.; Bąk-Patyna, P. Analysis of heat recovery from wastewater using a heat pump on the example of a wastewater treatment plant in the świętokrzyskie voivodeship in Polish. Struct. Environ. 2021, 13, 90–95. [Google Scholar] [CrossRef]
- Tinivella, R.; Bargiggia, R.; Zanoni, G.; Callegari, A.; Capodaglio, A.G. High-Strength, Chemical Industry Wastewater Treatment Feasibility Study for Energy Recovery. Sustainability 2023, 15, 16285. [Google Scholar] [CrossRef]
- Schäfer, M.; Gretzschel, O.; Steinmetz, H. The Possible Roles of Wastewater Treatment Plants in Sector Coupling. Energies 2020, 13, 2088. [Google Scholar] [CrossRef]
- Cecconet, D.; Raček, J.; Callegari, A.; Hlavínek, P. Energy recovery from wastewater: A study on heating and cooling of a multipurpose building with sewage-reclaimed heat energy. Sustainability 2020, 12, 116. [Google Scholar] [CrossRef]
- Kollmann, R.; Neugebauer, G.; Kretschmer, F.; Truger, B.; Kindermann, H.; Stoeglehner, G.; Ertl, T.; Narodoslawsky, M. Renewable energy from wastewater—Practical aspects of integrating a wastewater treatment plant into local energy supply concepts. J. Clean. Prod. 2017, 155, 119–129. [Google Scholar] [CrossRef]
- Schäfer, M.; Gretzschel, O.; Schmitt, T.G.; Knerr, H. Wastewater Treatment Plants as System Service Provider for Renewable Energy Storage and Control Energy in Virtual Power Plants—A Potential Analysis. Energy Procedia 2015, 73, 87–93. [Google Scholar] [CrossRef]
- Vrzala, M.; Goňo, M.; Goňo, R.; Kotulla, M.; Wzorek, M.; Leonowicz, Z. Distributed Generation Power Sys-tems in Wastewater Management. Energies 2022, 15, 6283. [Google Scholar] [CrossRef]
- Bao, Z.; Sun, S.; Sun, D. Assessment of greenhouse gas emission from A/O and SBR wastewater treatment plants in Beijing, China. Int. Biodeterior. Biodegrad. 2016, 108, 108–114. [Google Scholar] [CrossRef]
- Liao, X.; Tian, J.; Gan, Y.; Ji, J. Quantifying urban wastewater treatment sector’s greenhouse gas emissions us-ing a hybrid life cycle analysis method—An application on Shenzhen city in China. Sci. Total Environ. 2020, 745, 141176. [Google Scholar] [CrossRef]
- WRI & WBCSD. The Greenhouse Gas Protocol: A Corporate Accounting and Reporting Standard; World Resources Institute and World Business Council for Sustainable Development: Washington, DC, USA, 2004. [Google Scholar]
- The National Urban Wastewater Treatment Program, Regulation of the Ministry of Environment, Republic of Poland, 2016. IV AKPOŚK (AKPOŚK2015)—Dokument zatwierdzony przez Radę Ministrów 21.04.2016r. Available online: https://www.gov.pl/web/wody-polskie/krajowy-program-oczyszczania-sciekow-komunalnych (accessed on 19 March 2024).
- Ranieri, E.; D’Onghia, G.; Lopopolo, L.; Gikas, P.; Ranieri, F.; Gika, E.; Spagnolo, V.; Herrera, J.A.; Ranieri, A.C. Influence of climate change on wastewater treatment plants performances and energy costs in Apulia, south Italy. Chemosphere 2024, 350, 141087. [Google Scholar] [CrossRef]
- Liu, Y.; Gu, J.; Zhang, M. A-B Processes: Towards Energy Self-Sufficient Municipal Wastewater Treatment; IWA Publishing: London, UK, 2019; pp. 1–28. [Google Scholar] [CrossRef]
- Cardenes, I.; Hall, J.W.; Eyre, N.; Majid, A.; Jarvis, S. Quantifying the energy consumption and greenhouse gas emissions of changing wastewater quality standards. Water Sci. Technol. 2020, 81, 1283–1295. [Google Scholar] [CrossRef]
- Vaccari, M.; Foladori, P.; Nembrini, S.; Vitali, F. Benchmarking of energy consumption in municipal wastewater treatment plants—A survey of over 200 plants in Italy. Water Sci. Technol. 2018, 77, 2242–2252. [Google Scholar] [CrossRef]
- Tsalas, N.; Golfinopoulos, S.K.; Samios, S.; Katsouras, G.; Peroulis, K. Optimization of Energy Consumption in a Wastewater Treatment Plant: An Overview. Energies 2024, 17, 2808. [Google Scholar] [CrossRef]





| Facility ID | Design Flow [m3/d] | Population Equivalent [P.E.] | BOD5 Loading Rates [kg/d] | COD Loading Rates [kg/d] | Effluent Recipient |
|---|---|---|---|---|---|
| WTTP1 | 18,000 | 134,400 | 4029 | 8044 | Oder River |
| WTTP2 | 3000 | 9000 | 429 | 1129 | Gosciejowice Canal, Ścinawa River |
| WTTP3 | 600 | 6000 | 230 | 686 | Mała Panew River |
| Parameter | Unit | Calculation | Note |
|---|---|---|---|
| IV | kWh/m3 | Energy consumption kWh: Treated wastewater m3 | ratio between the daily energy consumption and the daily volume treated (annual average) |
| IPE | kWh/PE −1 year −1 | Energy consumption kWh: Population Equivalent (PE) | ratio between the annual energy consumption and the PE served in the plant |
| IBOD | kWh/kg BOD removed | Energy consumption: BOD removed | ratio between the annual energy consumption and the BOD removed, expressed in kg |
| ICOD | kWh/kg COD removed | Energy consumption: COD removed | ratio between the annual energy consumption and the BOD removed, expressed in kg |
| IS | kWh/kg SS removed | Energy consumption: SS | ratio between the annual energy consumption and the BOD removed, expressed in kg |
| I | WWTP1 | WWTP2 | WWTP3 | |||||
|---|---|---|---|---|---|---|---|---|
| Y1 | Y2 | Y3 | Y2 | Y3 | Y1 | Y2 | Y3 | |
| IV | 0.69 | 0.63 | 0.66 | 0.66 | 0.61 | 1.15 | 1.07 | 1.15 |
| IPE | 0.11 | 0.11 | 0.11 | 0.15 | 0.14 | 0.15 | 0.21 | 0.17 |
| IBOD | 1.89 | 1.91 | 1.85 | 2.58 | 2.50 | 2.51 | 3.56 | 2.93 |
| ICOD | 0.95 | 0.97 | 0.95 | 1.11 | 0.89 | 0.93 | 1.13 | 0.88 |
| IS | 4.63 | 4.60 | 4.78 | 3.14 | 3.15 | 1.55 | 2.38 | 1.78 |
| CO2 Emission [kg] | |||
| Y1 | Y2 | Y3 | |
| WTTP1 | 1,811,062 | 1,770,667 | 1,909,318 |
| WTTP2 | - | 248,996 | 228,932 |
| WTTP3 | 145,688 | 145,774 | 163,502 |
| CO2 Emission per m3 Wastewater [kg] | |||
| Y1 | Y2 | Y3 | |
| WTTP1 | 0.4521 | 0.4111 | 0.4345 |
| WTTP2 | - | 0.4311 | 0.3980 |
| WTTP3 | 0.7556 | 0.7023 | 0.7561 |
| CO2 Emission per P.E. | |||
| Y1 | Y2 | Y3 | |
| WTTP1 | 0.0739 | 0.0743 | 0.0721 |
| WTTP2 | - | 0.0982 | 0.0931 |
| WTTP3 | 0.0963 | 0.1370 | 0.1125 |
Disclaimer/Publisher’s Note: The statements, opinions and data contained in all publications are solely those of the individual author(s) and contributor(s) and not of MDPI and/or the editor(s). MDPI and/or the editor(s) disclaim responsibility for any injury to people or property resulting from any ideas, methods, instructions or products referred to in the content. |
© 2024 by the authors. Licensee MDPI, Basel, Switzerland. This article is an open access article distributed under the terms and conditions of the Creative Commons Attribution (CC BY) license (https://creativecommons.org/licenses/by/4.0/).
Share and Cite
Kłosok-Bazan, I.; Rak, A.; Boguniewicz-Zabłocka, J.; Kuczuk, A.; Capodaglio, A.G. Evaluating Energy Efficiency Parameters of Municipal Wastewater Treatment Plants in Terms of Management Strategies and Carbon Footprint Reduction: Insights from Three Polish Facilities. Energies 2024, 17, 5745. https://doi.org/10.3390/en17225745
Kłosok-Bazan I, Rak A, Boguniewicz-Zabłocka J, Kuczuk A, Capodaglio AG. Evaluating Energy Efficiency Parameters of Municipal Wastewater Treatment Plants in Terms of Management Strategies and Carbon Footprint Reduction: Insights from Three Polish Facilities. Energies. 2024; 17(22):5745. https://doi.org/10.3390/en17225745
Chicago/Turabian StyleKłosok-Bazan, Iwona, Adam Rak, Joanna Boguniewicz-Zabłocka, Anna Kuczuk, and Andrea G. Capodaglio. 2024. "Evaluating Energy Efficiency Parameters of Municipal Wastewater Treatment Plants in Terms of Management Strategies and Carbon Footprint Reduction: Insights from Three Polish Facilities" Energies 17, no. 22: 5745. https://doi.org/10.3390/en17225745
APA StyleKłosok-Bazan, I., Rak, A., Boguniewicz-Zabłocka, J., Kuczuk, A., & Capodaglio, A. G. (2024). Evaluating Energy Efficiency Parameters of Municipal Wastewater Treatment Plants in Terms of Management Strategies and Carbon Footprint Reduction: Insights from Three Polish Facilities. Energies, 17(22), 5745. https://doi.org/10.3390/en17225745

