Next Article in Journal
Simulators for Conversing Power to Thermal on Green Data Centers: A Review
Previous Article in Journal
Modeling of Lithium-Ion Batteries for Electric Transportation: A Comprehensive Review of Electrical Models and Parameter Dependencies
 
 
Font Type:
Arial Georgia Verdana
Font Size:
Aa Aa Aa
Line Spacing:
Column Width:
Background:
Article

Wind Farm Layout Optimization/Expansion of Real Wind Turbines with a Parallel Collaborative Multi-Objective Optimization Algorithm

by
Houssem R. E. H. Bouchekara
1,
Makbul A. M. Ramli
2,* and
Mohammad S. Javaid
3
1
Department of Electrical Engineering, University of Hafr Al Batin, Hafr Al Batin 31991, Saudi Arabia
2
Department of Electrical and Computer Engineering, King Abdulaziz University, Jeddah 21589, Saudi Arabia
3
Department of Electrical and Electronic Engineering, Imperial College London, London SW7 2AZ, UK
*
Author to whom correspondence should be addressed.
Energies 2024, 17(22), 5632; https://doi.org/10.3390/en17225632
Submission received: 21 September 2024 / Revised: 2 November 2024 / Accepted: 6 November 2024 / Published: 11 November 2024
(This article belongs to the Section A3: Wind, Wave and Tidal Energy)

Abstract

The objective of this paper is to study the Wind Farm Layout Optimization/expansion problem. This problem is formulated here as a Multi-Objective Optimization Problem considering the total power output and net efficiency of Wind Farms as objectives along with specific constraints. Once formulated, this problem needs to be solved efficiently. For that, a new approach based on a combination of five Multi-Objective Optimization algorithms, which is named the Parallel Collaborative Multi-Objective Optimization Algorithm, is developed and implemented. This technique is checked on seven test cases; for each case, the goal is to find a set of optimal solutions called the Pareto Front, which can be exploited later. The acquired solutions were compared with other approaches and the proposed approach was found to be the better one. Finally, this work concludes that the proposed approach gives, in a single run, a set of optimal solutions from which a designer/planner can select the best layout of a designed Wind Farm using expertise and applying technical and economic constraints.

1. Introduction

Energy has become a crucial part of our lives that is increasingly seen as an essential element of our daily activities [1]. As the demand for energy continues to grow, traditional energy sources like oil, natural gas, and coal have historically met these needs since the early 20th century. With ongoing population growth and advancements in technology and economics, this demand is expected to rise even further in the future [2]. However, these primary energy sources are finite and are projected to be depleted in the foreseeable future. Moreover, traditional sources such as fossil fuels contribute significantly to climate change due to their extensive use in industry and society, primarily because they emit large amounts of greenhouse gases. As a result, there is a substantial push among researchers to develop and adopt efficient alternative energy sources, such as solar and wind power, which are seen as viable replacements for conventional energy forms. Wind energy, in particular, is valued for being safe, clean, and highly efficient [3,4,5]. Consequently, the penetration of wind energy as a carbon-free source has increased drastically in the last decades. Globally, the net wind power capacity has increased from 349,458 MW in 2001 to 1,017,390 MW in 2023, as can be seen in Figure 1.
The maximization of wind energy is the most promising area of research in the field of renewable energy [1]. One of the key challenges in wind energy research is the placement of Wind Turbines (WTs) within Wind Farms (WFs). This is called the Wind Farm Layout Optimization (WFLO) problem. The issue was initially explored by Mosetti et al. in 1994 [6]. They created a Genetic Algorithm (GA) to determine the optimal quantity and placements of WTs on a 10 × 10 grid to enhance the power-to-installation cost ratio. To analyze the wake effects, they employed Jensen’s wake decay model [7], considering multiple scenarios with different wind speeds and directions [8].
In this study, we explore not only the WFLO problem but also introduce a novel challenge termed the Wind Farm Layout Expansion (WFLE) problem. The WFLE problem focuses on expanding an existing configuration of a WF by strategically incorporating additional WTs. To the best of our knowledge, this particular problem has been previously addressed only in a few other research works. Throughout this work, the WFLO problem and the WFLE problem are collectively referred to using the abbreviation WFLO/E.
Both the WFLO and WFLE problems are complex and non-linear optimization problems, characterized by state-varying functions and strong coupling between variables, making them impractical to be solved analytically via traditional calculus-based optimization algorithms. An inadequately planned WF layout can impede operations and negatively impact the management of wake effects from WTs [7,9]. Instead, metaheuristics have been identified as a viable alternative for addressing the WFLO/E problem [10]. Some of the references in which the WFLO/E problem is solved using metaheuristics are given in Table 1.
The literature, summarized in Table 1, indicates that the WFLO problem has been a challenging task for researchers for decades. It can be formulated as either a Single-Objective Optimization (SOO) or Multi-Objective Optimization (MOO) algorithm, with each reported algorithm having its own advantages and disadvantages. According to the no free lunch theorem, no single algorithm can achieve optimal solutions for all problems, suggesting that there is always potential for new metaheuristic algorithms to improve solutions for the WFLO problem. The WFLO/E problem is formulated in this paper as a MOO problem. The objective of this paper is to address this issue using a novel parallel and efficient optimization algorithm. This algorithm is called the Parallel Collaborative Multi-Objective Optimization Algorithm (PCMMO). It combines five algorithms as follows: Multi-Population Cooperative Coevolutionary Multi-Objective Optimization (MCCMO), Improved Multi-Task Constrained Multi-Objective (IMTCMO), Non-Uniform Clustering-Based Evolutionary Algorithm (NUCEA), Helper-Problem-Assisted Constrained Multi-objective Evolutionary Algorithm (MSCEA), and Coevolutionary Framework for Generalized Multimodal Multi-Objective Optimization Problems (CoMMEA).
In summary, this paper outlines significant contributions to the WFLO/E problem, framing it as a MOO challenge. Furthermore, it proposes a novel approach by combining the efforts of five different MOO algorithms to collaboratively tackle this issue. To streamline the optimization process, a variable reduction technique is employed, significantly reducing the number of design variables. This paper also delves into various WFLO/E scenarios to test the robustness of the proposed method. Furthermore, a comparative analysis is conducted between the proposed method and an original algorithm, highlighting the effectiveness and improvements offered by the new approach.
Section 2 provides the mathematical formulation of the WFLO/E problem and discusses the wake model. It also covers the method used for variable reduction to binary forms. Section 3 delves into the proposed optimization approach to tackle WFLO/E optimization. Section 4 presents the simulation results and related discussions, including seven test case scenarios. This paper concludes in Section 5, which summarizes key findings and highlights potential directions for future research.

2. Problem Formulation

This work focuses on the WFLO/E problem. Traditionally, WFLO entails identifying the optimal arrangement of WTs within a specified area to improve certain objective functions, as depicted in Figure 1. This problem can be defined using a mathematical formulation [18]. If F is the vector of objective functions, then
m i n x X F x
where F x denotes two objective functions vector, as follows,
F x = f 1 x , f 2 x
and x represents the design variables vector defined in [18]:
x = x 1 , y 1 , x 2 , y 2 , , x N W T , y N W T , N W T x X
where X denotes the feasible set of design variables, x i and y i are the geometric coordinates of the W T i , and N W T (the Number of WTs) denotes the number of WTs already inside the WF.
The complexity of addressing this issue is increased due to the variability in NWT during the optimization process. This leads to a fluctuating number of design variables significantly complicating the matter.
The WFLE problem involves augmenting an existing WF, initially set with WTs (as depicted in dark blue in Figure 2). The goal is to strategically place additional WTs (shown in light blue in Figure 2) to enhance certain performance metrics. In mathematical terms, the WFLE challenge is addressed as the WFLO problem, as expressed in Equation (1), incorporating the pre-existing turbines as extra constraints.
A critical aspect in determining the optimal placement of WTs within a specified area is the consideration of the wake effect. The following sections will initially outline the wake model employed in our research. Subsequently, we will specify the objective functions that this study aims to optimize.

2.1. Wake Model

As wind passes through a WT, it generates a wake due to the energy extracted by the turbine and the disruption caused by the rotor. The power output of a WT is closely tied to the cube of the wind speed, which means that the wake effects can significantly reduce power generation. Consequently, these effects are crucial considerations in optimizing WF layouts [7,31,32]. To model the wake flow of WTs, the Jensen linear wake decay model [7,31] is utilized here, based on a series of assumptions [32] discussed next.
The assumptions underlying the Jensen model include the following: the wake obscures the downstream rotor, implying a blocked flow that impacts subsequent turbines. The expansion of the wake is considered linear, simplifying the calculation of its growth over distance. Wakes that are very close to the rotor are ignored, and there is no rotational flow within the wake, suggesting a straightforward, laminar decay of speed and momentum. Furthermore, the model assumes the wake retains its initial momentum and that there is a direct linear relationship between the distance downstream and the wake radius, facilitating predictable calculations of wake effects as the wind travels past multiple turbines.
The WT at the ith location impacts the one at the jth location [32], with the following equation governing the wind velocity in the wake region of a downstream WT:
u j = u 0 j 1 2 d 1 1 + δ i   x i k r i 1 2
where δ i represents the entrainment constant, while d refers to the axial induction factor. The term u j is the wind speed observed at the j t h WT downstream, and u 0 j is the wind speed at the j t h WT when the wake effects of preceding WTs are not considered. The variable x i j signifies the distance between the i t h and j t h WTs. Additionally, r i 1 indicates the rotor radius of the i t h WT as measured downstream. This leads to an expression that establishes the connection between the rotor radius of the i t h WT ( r i ) and its downstream equivalent ( r i 1 ) [33] as follows:
r i 1 = r i 1 d 1 2 d 1 2
According to [33], d can be computed from the WT Thrust Coefficient (TC) as in the following equation:
d = 1 ( 1 T C ) 1 2 2
The δ i     is obtained empirically for being dependant on the variation in local weather and topography, as in [34], as follows:
δ i = 1 2 I n h i g o
where g 0 represents terrain roughness while hi denotes the hub height of the WT.
Based on [33,34], the linear wake model’s conical wake area gives the wake radius as follows:
r g i = r i 1 + δ i x i j
The wind speed at the jth WT’s hub height is extrapolated using logarithmic law based on the wind speed at a reference height [34,35] as follows:
u 0 j = u R l n l n   h f z 0   l n l n   h R z 0  
where h R and h f are the reference height and the jth WT’s hub height, respectively, while u R denotes the wind speed at the reference height.
The equation focuses on the wake effect of a single WT. In a WF scenario, WTs are subjected to multiple wakes, leading to an increased deficit in wind velocity. Various methods can be employed to model the cumulative effect of multiple wakes, as discussed in Reference [36]. In this research, the sum of squares method is adopted, aligning with the approach used in previous studies [36,37]. When multiple wakes affect a WT, the combined deficit in kinetic energy of the mixed wake is calculated as the sum of the deficits from each individual wake. Consequently, the wind velocity at the k t h WT can be described as follows:
u k = u 0 k 1 t = 1 N W T 1 u k t u 0 t 2 1 2
where u k t symbolizes the wind velocity at WT k , factoring in the wake effect from WT. The term u 0 k indicates the wind velocity at WT k without considering the wake effect. NWT stands for the total count of WTs. Lastly, if the wake effect is disregarded, u 0 t   represents the wind speed at turbine m.

2.2. Multi-Objective Optimization

Equation (11) captures the objective function to optimize the total power output P T t and the wind farm’s efficiency η [16]. The k t h WT’s electrical power output against u 0 k is denoted by P k , whereas the k t h WT’s maximum electrical power output is denoted by P k , m a x and f j represents the probability of each wind direction such that j = 0 360 f j = 1 , where j denotes the angle in degrees.
F = P T o t a l = j = 0 360 k = 1 N W T f j P k u k η = j = 0 360 k = 1 N W T f j P k u k j = 0 360 k = 1 N W T f j P k , m a x u 0 k
Considering the goals of the model, it is evident that the power output of the WF increases with the addition of more WTs. However, the introduction of more WTs leads to increased wake flow, which in turn diminishes the overall efficiency of the WF. Consequently, decreasing the number of WTs can lessen wake flow losses but also reduces the WF’s power generation. Therefore, selecting the most effective layout or optimally expanding the current layout is a critical decision that requires careful consideration.
Moreover, while the Capacity Factor ( C f ) is not a direct objective in the optimization process, it is nonetheless reported for all cases. This metric is crucial for assessing the energy production efficiency of a WF at a specific site. As per the findings in [38], the C f for a WF varies between 20% and 50%, offering insights into the operational efficiency of WFs.

2.3. Variable Reduction Approach

Consistent with our previous discussion, the WFLO/E challenge has been structured as a MOO problem with multiple objectives, specifically focusing on efficiency and total power generation. The problem is defined by two types of design variables, NWT and its respective coordinates ( x i and y i ). Consequently, the total count of design variables is double the NWT. Even a modest number of WTs poses a considerable challenge for many optimization algorithms. The complexity is further amplified by the fluctuating number of design variables due to the variable NWT.
This paper introduces a two-step approach to streamline the WFLO/E problem. The first step involves creating a grid over the WF area, where each grid cell signifies a potential WT location (with a WT situated at the cell’s center). The maximum number of turbines that can be placed in a grid equals the total number of cells. A binary system is utilized where a cell containing a turbine is marked “1”, and an empty cell is marked “0.” This strategy addresses the issue of variable design variables and reduces the total number by half, focusing on the cell’s integer locations instead of specific coordinates ( x i and y i ).
The second strategy further minimizes the design variables. Here, a column of cells is treated as a single binary number, with the number of bits matching the number of rows. For example, consider a WF with a 20-cell grid (5 × 4), implying a maximum NWT of 20. If there are nine turbines placed (NWT = 9), as shown in Figure 3, the first column’s binary representation would be 1001, or 9 in decimal, indicating turbines in the first and fourth cells. Similarly, the second column with turbines in the first, third, and fourth cells is represented as 1011 (or 11 in decimal). This method reduces the design variables from 20 to 5 in the scenario shown in Figure 4, generally lowering the count from the total number of cells to the number of columns, achieving an M-fold reduction in a typical (N × M) grid.
Combining these two steps significantly lowers the number of design variables, thereby the optimization process becomes simpler.

3. A Parallel Collaborative Multi-Objective Optimization Algorithm

The proposed approach builds on the five algorithms described next. The proposed algorithm, which essentially combines these algorithms, is discussed at the end of this section.

3.1. Multi-Population Cooperative Coevolutionary Multi-Objective Optimization (MCCMO)

The Multi-Population Cooperative Coevolutionary Multi-Objective Optimization (MCCMO) algorithm, a novel approach in evolutionary computation, introduces an advanced strategy to tackle Multi-Objective Optimization Problems (MOPs), particularly those characterized by multiple complex constraints. This algorithm offers a structure where multiple populations are utilized, each assigned to address different facets of the optimization problem. The key to MCCMO’s effectiveness lies in its key functions: Activation Dormancy Detection (ADD) and Combine Occasion Detection (COD).
In the MCCMO algorithm, C + 1 auxiliary populations are created alongside the main population. These auxiliary populations are tailored to handle individual constraints or a subset of constraints, thereby segmenting the problem into more manageable parts. The ADD function activates or renders dormant these auxiliary populations based on the progress and requirements of the optimization process. For instance, an auxiliary population responsible for a particular constraint may remain dormant during the initial stages of the algorithm to conserve computational resources and then activate when its specific constraint becomes critical to finding a feasible solution. This approach ensures that the algorithm focuses its resources on the most pertinent aspects of the problem at any given time.
The ADD mechanism operates on a set criterion, determined by the variation in the population’s centroid over generations. This criterion, represented by the equation C T = 10 M 4 × i = 1 N j = 1 M f i j ( x ) M N , where f i j ( x ) denotes the absolute value of the i t h solution in the j t h dimension, enables the algorithm to assess whether a population should be active or dormant. The scaling factor 10 M 4 adjusts according to the problem’s dimensionality, acknowledging that solutions may be more dispersed in higher-dimensional problems.
Complementing ADD, the COD is functionally responsible for determining the right moments to combine different Single Constrained Pareto Fronts (SCPs). When COD detects that certain SCPs are either redundant or less effective in their current state, it merges them. This merging process not only streamlines the search but also frees up computational resources for other populations, particularly the main population, which is critical for achieving the overall optimization objectives. As the algorithm progresses, COD continually assesses and reconfigures the population structure to maintain efficiency and effectiveness. This dynamic restructuring allows MCCMO to adaptively focus its computational resources, ensuring that the most critical aspects of the problem are addressed at the right times.

3.2. Improved Multi-Task Constrained Multi-Objective (IMTCMO)

The Improved Multi-Task Constrained Multi-Objective (IMTCMO) algorithm is primarily designed to enhance efficiency in solving complex optimization problems, particularly those involving multiple objectives and constraints.
At the core of the IMTCMO algorithm is the integration of a global search operator and a local search operator. These operators are pivotal to the algorithm’s strategy, as they serve distinct yet complementary roles in navigating the optimization landscape. The global search operator is responsible for exploring the broader search space and identifying potential regions of interest. In contrast, the local search operator is focused on fine-tuning and exploiting the solutions within a specific region, providing a more detailed and precise search capability.
The effectiveness of IMTCMO is highlighted through its comparison with two of its variants: IMTCMO-Local (IMTCMO-L), which exclusively employs the local search operator, and IMTCMO-Global (IMTCMO-G), which solely relies on the global search operator. The performance of these variants is measured using the Inverted Generational Distance (IGD) metric, a common criterion in the evaluation of Multi-Objective Optimization algorithms.
In scenarios involving functions with multiple local infeasible regions defined as Scalable Decision space Constraints (SDC), SDC4, SDC7, and SDC11, the diversity of the search strategy is crucial. IMTCMO-L, with its focus on local search, exhibits a performance comparable to IMTCMO in these cases. This similarity underscores the significance of local search in managing complex landscapes with multiple infeasible regions. However, in problems with simpler landscapes, IMTCMO-L’s performance lags behind IMTCMO, primarily due to its slower convergence rate.
Conversely, IMTCMO-G, which employs the differential evolution/current-to-pbest/1 strategy, excels in simpler functions, owing to its global search capability. This strategy enables it to effectively explore a wide range of the search space. However, its performance is limited in more complex functions, where it tends to get trapped in local regions.
The superior performance of IMTCMO stems from its hybrid approach that synergistically combines both global and local search strategies. This combination allows IMTCMO to effectively tackle a wide array of functions, outperforming its variants in most cases. By leveraging the strengths of both search strategies, IMTCMO exhibits enhanced capabilities in dealing with diverse and complex optimization problems, ensuring a balanced and efficient search process. However, the validity of this study on the Improved Multi-Task Constrained Multi-Objective (IMTCMO) algorithm faces challenges from three perspectives categorized as internal threats, external threats, and construct threats. Firstly, the algorithm’s performance is potentially limited by the non-adaptive nature of the parameter F and the lack of a parameter for controlling the number of objective functions. Secondly, this study’s comparison involves only eight algorithms, implying that there might be superior ones yet to be evaluated. Furthermore, the benchmark framework excludes real-world constraint functions, limiting its practical scope. Lastly, this study’s use of only three performance indicators might not fully capture the algorithm’s effectiveness, suggesting a need for a more diverse set of indicators for a comprehensive evaluation. The combination of this algorithm along with the other four addresses these limitations.

3.3. Non-Uniform Clustering-Based Evolutionary Algorithm (NUCEA)

The Non-Uniform Clustering-Based Evolutionary Algorithm (NUCEA) introduces an innovative approach to tackling large-scale SMOPs within the field of evolutionary computation. The process begins with the initialization of a population and a guiding vector, the latter of which highlights the importance of each decision variable. These variables are then organized into clusters of varying sizes using a non-uniform clustering method. This clustering not only categorizes the variables but also plays a crucial role in generating the offspring population.
The final phase of NUCEA involves selecting N solutions from the combined population. This selection is made using the environmental selection technique derived from the Strength Pareto Evolutionary Algorithm 2 (SPEA2), ensuring that the chosen solutions are the most robust in terms of addressing the objectives of the SMOPs. This methodical approach allows NUCEA to effectively navigate and optimize within the complex landscape of Multi-Objective Optimization challenges.
NUCEA adopts a hybrid representation for solutions to ensure sparsity. Each solution x = ( x 1 , x 2 , , x d ) is represented as x = ( d e c 1 × m a s k 1 , d e c 2 × m a s k 2 , , d e c d × m a s k d ) , where “dec” denotes the real value, and “mask” signifies the binary value of each decision variable. The population initialization in NUCEA is grounded in this representation. A guiding vector is employed to highlight the significance of each decision variable, where a higher value indicates a greater likelihood of the decision variable being zero. The real vector “dec” for each solution is populated with random values, whereas the binary vector “mask” is initialized to zero, except for the i^th element in the mask of the i^th solution, resulting in a D × D identity matrix.
The non-uniform clustering, an integral component of the NUCEA, dynamically organizes all decision variables into groups of varying sizes before generating offspring in each iteration. This process starts by calculating the average sparsity of the current population and determining the GroupSize, followed by sorting the decision variables in descending order based on the guiding vector. The variables are then grouped such that the size of the i^th group corresponds to [I × GroupSize]. This arrangement allows the algorithm to pursue sparse optimal solutions at varying levels of detail. Larger groups help to quickly reduce the complexity of the decision space, whereas smaller groups provide the precision needed to fine-tune more significant variables.
During the generation of offspring, NUCEA employs novel crossover and mutation operators that stem from the clustering results. Two parent solutions, labeled p and q, are randomly selected from the mating pool. The offspring, denoted as o, inherit the mask from parent p using the crossover method. Subsequently, two procedures are performed with equal likelihood: (1) selecting half of the decision variables from the intersection of the index and group and setting them to one, and (2) doing the same but setting them to zero. This approach allows several variables to be modified simultaneously, thereby enhancing the algorithm’s efficiency in navigating and optimizing within the solution space.
However, NUCEA’s reliance on a static guiding vector for dividing decision variables can be a limitation as it might not effectively account for the interdependencies among variables. Additionally, its performance can be less efficient when dealing with computationally demanding objectives in Sparse Multi-Objective Optimization Problems (SMOPs). This has led to suggestions for integrating surrogate models to alleviate the computational burden, a development addressed in this study by combining NUCEA with other algorithms to improve its robustness and applicability.

3.4. Helper-Problem-Assisted Constrained Multi-Objective Evolutionary Algorithm (MSCEA)

This algorithm starts by initializing two distinct populations, each of size N . These populations, denoted as P 1 and P 2 , form the basis for exploring and exploiting the solution space of the optimization problem.
At the heart of the algorithm are the constraint-centric ( F c o n s t r a i n t ) and objective-centric ( F o b j e c t i v e ) problems, which are derived from the original problem ( F o r i g i n a l ). The initial stage involves creating these derived problems based on the characteristics of Foriginal. Once these problems are established, the algorithm evaluates P 1 and P 2 using F c o n s t r a i n t and F o b j e c t i v e , respectively. This evaluation marks the transition to the main operational loop of the algorithm.
Within each generation, the algorithm first checks if certain conditions, referred to as switching conditions, are met to determine whether it should progress to the next stage of evolution. If these conditions are satisfied, the algorithm adapts by constructing new versions of F c o n s t r a i n t and F o b j e c t i v e for the evolved stage. The parent populations, S 1 and S 2 , are selected from P 1 and P 2 through binary tournament selection. Offspring populations, O 1 and O 2 , are generated using well-established genetic operators: the simulated binary crossover operator and polynomial mutation operator. These operations ensure diversity and robust search capability in the evolving populations.
Subsequently, the algorithm merges P 1 and P 2 with their respective offspring populations to form new hybrid populations, H 1 and H 2 . The fitness of these hybrid populations is evaluated using the current F c o n s t r a i n t and F o b j e c t i v e . Environmental selection is then employed to select the best candidates for the next generation. This selection process is crucial as it balances the exploration and exploitation trade-off in evolutionary algorithms.
The algorithm described manages a complex optimization process that culminates as it reaches its maximum number of function evaluations, initiating a final selection procedure. If the combined solutions from populations P 1 and P 2 contain at least N feasible options, the environmental selection method of SPEA2 is employed to select N feasible solutions with the smallest fitness values. However, if fewer than N feasible solutions exist, the algorithm selects N solutions based on the smallest constraint violation values, ensuring the final solutions are both diverse and adhere to the feasibility constraints of the problem.
The algorithm operates by addressing the original Constrained Multi-Objective Optimization Problem (CMOP) by solving a sequence of adjusted problems with varying constraint stringency. The construction and dynamic adjustment of F c o n s t r a i n t and F o b j e c t i v e are pivotal. These functions evolve by gradually tightening the ε-constraint boundaries based on the maximum constraint violations observed in populations P 1 and P 2 . The boundaries are initially broad, allowing extensive exploration of the search space, then become increasingly restrictive, focusing the algorithm on meeting constraints before finally aligning tightly with the original problem constraints to exploit feasible regions effectively. This strategy, reminiscent of simulated annealing’s exponential approach, is balanced by differentiating the treatment between F c o n s t r a i n t , which minimizes constraint violations, and F o b j e c t i v e , which aims for optimal objective values alongside low violations. The handling of these functions varies between the two populations, employing SPEA2 for selection when feasible solutions exceed N, or focusing on constraint violations when they do not, with P 1 also potentially reformulating F o b j e c t i v e into a more complex optimization problem when conditions warrant.

3.5. Coevolutionary Framework for Generalized Multimodal Multi-Objective Optimization Problems (CoMMEA)

CoMMEA stands out as a robust framework adept at managing complex multimodal Multi-Objective Optimization Problems. This framework is specifically designed for scenarios demanding a diverse array of optimal solutions, utilizing a dual-archive strategy that includes both a Convergence Archive (CA) and a Diversity Archive (DA). These archives are instrumental in achieving a balance between convergence towards the true Pareto Front (PF) and diversity across the decision space. Initially, both archives employ identical methodologies for initialization and fitness calculations to select parents, which then produce offspring independently.
The evolutionary strategy within CoMMEA leverages various advanced environmental selection techniques from existing Multi-Objective Evolutionary Algorithms (MOEAs), such as Pareto dominance, indicator-based, and decomposition methods, with a particular emphasis on the SPEA2. For the Convergence Archive, a Joint Archive (JointArc) is formed by amalgamating the DA with offspring from both the CA and DA. Fitness within this archive is assessed using SPEA2’s fitness assignment, with subsequent selections based on the quantity and quality of non-dominated solutions, employing a crowding distance-based truncation method when necessary.
For the Diversity Archive, CoMMEA aims to discern all pertinent global and local Pareto Sets (PSs) using an ε-dominance framework to manage solutions across generalized and non-generalized multimodal problems. The selection protocol involves fast non-dominated sorting to capture ε-approximate solutions and a local convergence indicator to refine selections, further supported by a crowding distance-based truncation to ensure a harmonious balance between convergence and diversity.
Overall, CoMMEA’s sophisticated approach significantly enhances the capability to address the nuanced dynamics of multimodal Multi-Objective Optimization Problems by effectively optimizing both convergence and diversity of solutions, ensuring a comprehensive exploration and exploitation of the solution space.

3.6. Parallel Collaborative Multi-Objective Optimization Algorithm (PCMMO)

The proposed PCMMO’s pseudocode is given in Algorithm 1. As aforesaid, the proposed approach combines five different MOOs into a more efficient and global one. By leveraging the strengths of each individual algorithm, the developed algorithm will obtain a better PF and offer better solutions and options to the designer of the WF. Another key advantage of this approach is its ability to run all five algorithms in parallel, which significantly reduces computation time. The proposed approach starts with the initialization of a population called P O P . Then, this population is randomly divided into five populations (or subpopulations), namely P O P 1 , P O P 2 , P O P 3 , P O P 4 , and P O P 5 for the MCCMO, IMTCMO, NUCEA, MSCEA, and CoMMEA algorithms, respectively. After that, an iterative process takes place and continues until a predetermined termination criterion is met (such as reaching a maximum number of iterations). In each iteration, the algorithms update their respective populations based on their unique methodologies (each algorithm has its own mechanism explained earlier), and then these updated populations are merged back into the main population P O P represented mathematically as P O P = i = 1,2 , 3,4 P O P i . The non-dominated solutions, which are the optimal solutions that cannot be improved in one objective without degrading another, from P O P are saved in the A R C H I V E and P O P is divided, randomly, into P O P 1 , P O P 2 , P O P 3 , P O P 4 , and P O P 5 with respect to the size of each population. This ARCHIVE is crucial as it consolidates the best solutions found during the optimization process. Finally, the ARCHIVE is outputted for the designer, as it encapsulates the PF. This can, for example, be represented by a graphical representation showing the trade-offs between different objectives. In addition to its experience and expertise, the obtained results provide valuable insights for the designer in evaluating and selecting the best configurations for the designed WF. It is worth mentioning that the computational complexity of the proposed approach remains consistent with that of the utilized algorithms, as it executes them in parallel simultaneously.
Algorithm 1: Algorithm Framework of PCMOO
1:Initialization of the parameters for MCCMO
2:Initialization of the parameters for IMTCMO
3:Initialization of the parameters for NUCEA
4:Initialization of the parameters for MSCEA
5:Initialization of the parameters for CoMMEA
6: Initialize   the   population   P O P randomly distributed in the search space
7: Randomly   divide   P O P   into   P O P 1 ,   P O P 2 ,   P O P 3 ,   P O P 4   and   P O P 5 with respect to their sizes
8:PFOR ITER = 1 → MAXITER
9: Execute MCCMO and   update   P O P 1
10: Execute   IMTCMO   and   update   P O P 2
11: Execute   NUCEA   and   update   P O P 3
12: Execute   MSCEA   and   update   P O P 4
13: Execute CoMMEA and   update   P O P 5
14: Combine   P O P 1 ,   P O P 2 ,   P O P 3 ,   P O P 4   and   P O P 5   into   P O P   P O P = i = 1,2 , 3,4 P O P i
15: Save the non-dominated solutions from POP in A R C H I V E
16: Partition   P O P   into   P O P 1 ,   P O P 2 ,   P O P 3 ,   P O P 4   and   P O P 5 with respect to their sizes
17:END
18:     Print the set of non-dominated solutions (i.e., A R C H I V E )

4. Test Cases and Results

4.1. Turbine, Wind, and Wind Farm Data

In this study, the prevailing models for layout optimization, which typically presume unvarying wind speed and direction, are refined by incorporating the wind probability distribution data for Midland, Texas, in April. This approach is chosen to more accurately reflect real-world conditions as presented in Reference [38]. This study employs a 6 km by 2 km rectangular WF layout, divided into 0.3 km by 0.4 km cells, based on the understanding that commercial WTs are rarely installed in proximity due to the exclusion of wakes near the rotor in the Jensen linear wake model. Each cell, potentially housing a WT in its center, contributes to a total of 100 installation WTs. The layout ensures adequate safety distance between WTs to prevent a cascading effect in case of an accidental fall.
This study utilizes the commercial “Acciona AW82/1500 kW” WT (Acciona Energy S.A., Madrid, Spain) with a 60 m hub height. Figure 5 illustrates the WT’s power output as a function of wind speed, and Table 2 details the technical specifications of this WT. Figure 6 displays the wind probability distribution for Midland, Texas, highlighting a predominant wind direction from the south. Additional details on locations and wind speeds are referenced in [38].

4.2. Investigated Cases

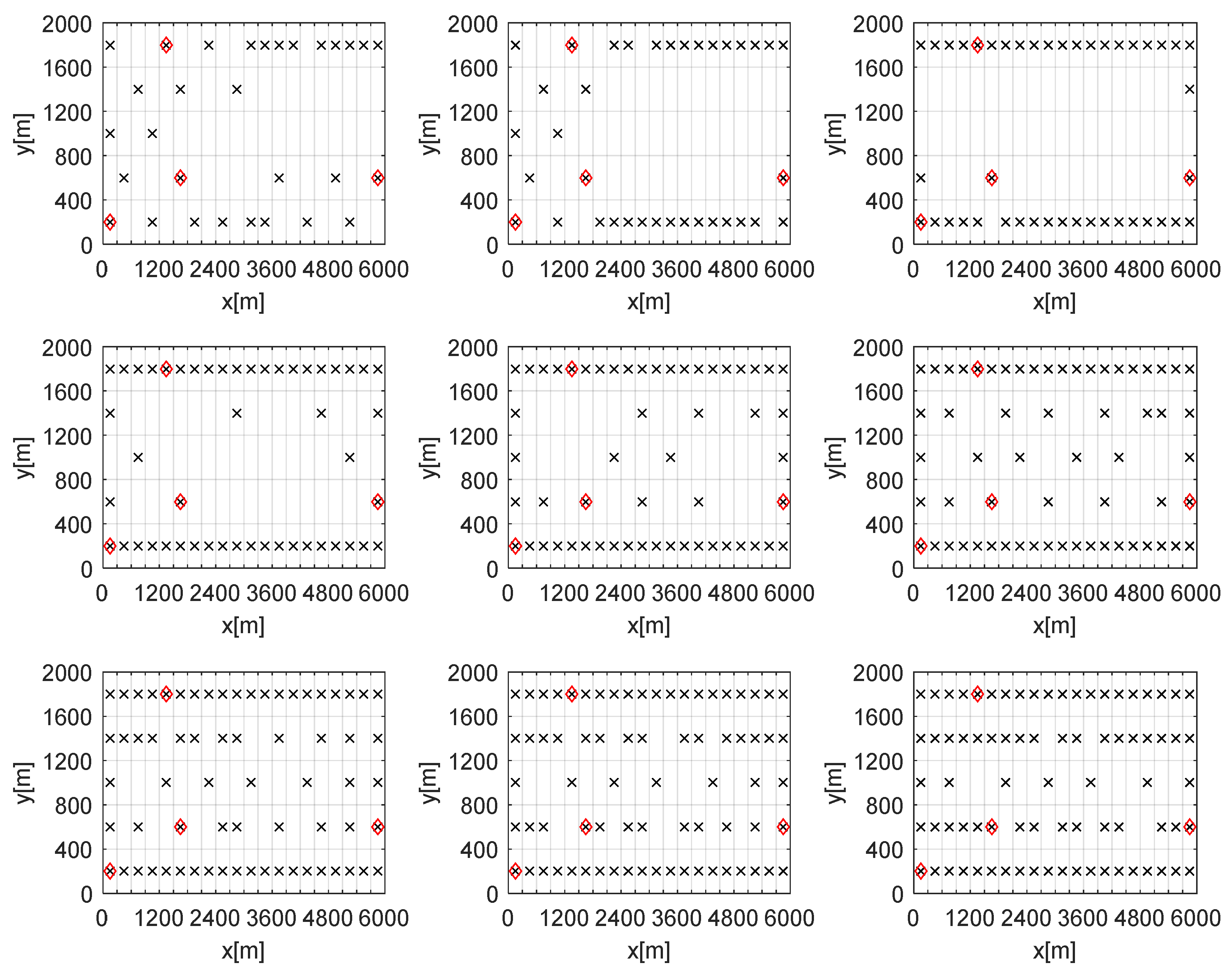
As aforementioned, seven cases were investigated in this paper. The experimental study was carried out using the commercial software MATLAB® R2024a. For all the cases, a grid of 20 × 5 was created. In each cell, only one WT can be placed, which gives a maximum number of 100 WT. Furthermore, by employing the variable reduction technique discussed in Section 3, the design variables are decreased from 200 to 20. A detailed summary of the scenarios examined is provided in Table 3. CASE 1 represents the basic scenario without any constraints (Figure 7). In CASE 2, the number of WTs is restricted to between 30 and 80, with four fixed WTs located at positions 1, 26, 40, and 85 (the numbering of WTs starts from the lower-left corner of the grid, moving right and then upward until it reaches the upper-right corner). This case is illustrated in Figure 8. In CASE 3, the fixed WTs are located at the same location as in CASE 2. However, the number of WTs that can be added to the layout is limited to between 25 and 75 WTs. In CASE 4, there are no constraints imposed on the number of WTs. However, there are eight fixed WTs as shown in Figure 9. CASE 5 is similar to CASE 4 in terms of fixed WTS. However, in this case, constraints are imposed on the number of WTs, which is limited to be between 25 WTs and 75 WTs. CASE 6 and CASE 7 are similar in terms of layout and fixed WTs. However, while the number of WTs in CASE 6 is free, this last one is contained in CASE 7 to be limited to between 25 WTs and 75 WTs. Both cases are illustrated in Figure 10.

4.2.1. CASE 1

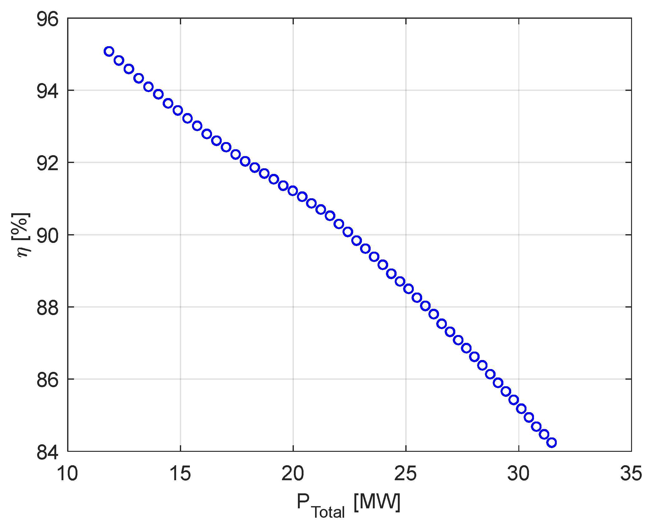
The first case investigated in this paper consists of solving a WFLO problem. The number of WTs can theoretically vary from 1 to 100 (i.e., no constraints are imposed on the number of WTs). The proposed PCMOO is used to obtain the set of optimal solutions (in other words, the PF set of solutions). The PF found is plotted in Figure 11. The obtained set is composed of 96 solutions where the number of WTs ranges from 5 to 100. It is worth mentioning that some solutions with a low number of WTs and a high number of WTs, although presented here, might not be suitable from a practical point of view.
It is evident from Figure 11 that the PF obtained for this case is not completely smooth. This irregularity is attributed to two main factors: (1) the positions of the WTs are discrete values, which means that even with the same number of WTs, multiple distinct solutions can be identified, and (2) the stochastic nature of wind probabilities. This explanation is valid for all the remaining cases.
Since it is not possible to depict all the solutions found, for convenience, nine solutions have been selected from the obtained set of solutions and depicted in Figure 12 with the detailed results presented in Table 4. These solutions have been selected based on the number of WTs. They range from the smallest number of WTs found to the greatest one and equally (as much as possible) spaced. The following observations can be drawn from that table:
The nine selected solutions have 5, 17, 29, 41, 53, 64, 76, 88, and 100 WTs, respectively.
The lowest P T o t a l obtained is 2.49 MW for 5 WTs, and the highest P T o t a l obtained is 39.36 MW for 100 WTs.
The lowest η is 79.07% for 100 WTs, while the highest η is 99.9% for 5 WTs.
The C f varies between 19.68% and 24.89%, which falls in the acceptable range since they fall approximatively between 20% and 50%.
In Figure 12, it is apparent that when the number of WTs is low, they are spaced widely apart to minimize the wake effect. Additionally, the influence of wind directions is clearly significant in determining the optimal placements of WTs.
We define the percentage of preference of a cell or the most suitable cell or location as the average of the use of the cell over all the solutions found. For instance, if five solutions are found and one cell has been found to have a WT for all solutions, the percentage of use would be 100%. In another case, if a cell is used two times over the five solutions, its percentage of use would be 40% and so on.
An analysis was conducted to identify the most suitable locations (or cells) over the grid of 100 cells considered for this study. The numbers of the top 10 WTs’ most suitable locations for this case are 20, 2, 6, 81, 17, 16, 19, 9, 83, and 86 with percentages of use in the set of obtained solutions of 90.63%, 89.58%, 89.58%, 89.58%, 88.54%, 85.42, 84.38, 83.33, 83.33, and 83.33%, respectively.

4.2.2. CASE 2

For CASE 2, the WFLE problem is solved. It involves WTs that are fixed at the following locations: 1, 26, 40, and 85. A constraint is imposed on the total number of WTs, where this number is limited between 30 and 80 WTs.
The proposed approach using the PCMOO gives the set of PF solutions as shown in Figure 13. This PF has 51 solutions with the number of WTs ranging between 30 and 80 as imposed.
For convenience, nine solutions were selected from the obtained set of solutions and are represented in Figure 14 and Table 5. The notable points as observed from the table are as follows:
The nine selected solutions, respectively, have 30, 36, 43, 49, 55, 61, 68, 74, and 80 WTs.
The minimum P T o t a l obtained is 14.09 MW for 30 WTs, and the maximum P T o t a l obtained is 33.17 MW for 80 WTs.
The smallest η is 83.28% for 80 WTs, whereas the largest η is 94.32% for 30 WTs.
The C f varies between 20.73% and 23.48%, which is acceptable since they fall between 20% and 50%.
The same analysis that was conducted in CASE 1 was carried out here for this case and in addition to the four fixed WTs. The best locations that were found are as follows: 1, 4, 7, 9, 11, 12, 15, 18, 26, 40, 81, 85, 88, 91, 92, 93, 94, 96, 97, 98, 99, and 100 with a percentage of use of 100%. It is worth recalling here that WTs situated at the following locations are fixed on the farm: 1, 04, 26, and 85.
CASE 2, compared with the first case, showed that fixing some WTs and restricting the number of WTs significantly changed the solutions obtained.

4.2.3. CASE 3

CASE 3 is similar to the previous case in terms of the problem to be solved (i.e., the WFLE problem) and in terms of the locations of fixed WTs (situated at positions 1, 26, 40, and 85). The only difference is the constraint on the number of WTs; thus, now the number of WTs must be between 25 and 75 (a smaller range compared with the previous case). The proposed PCMOO gives the PF shown in Figure 15. This PF consists of 51 solutions where the number of WTs ranges from 25 to 75, as imposed by the constraint.
As for the previous cases, nine solutions were selected from the obtained set of solutions. These solutions are illustrated in Figure 16 and their performances are presented in Table 6. Some comments can be made from this table as summarized below:
The nine selected solutions have 25, 31, 38, 44, 50, 56, 63, 69, and 75 WTs, respectively.
The lowest P T o t a l obtained is 11.91 MW for 25 WTs, and the highest P T o t a l obtained is 31.49 MW for 75 WTs.
The smallest η is 84.33% for 75 WTs and the largest η is 95.67% for 25 WTs.
The C f varies between 20.99% and 23.81%, which is acceptable since they fall between 20% and 50%.
An analysis was conducted to identify the WTs that are mostly used. WTs located at locations 4, 8, 11, 18, 81, 82, 89, 92, 96, and 100 are the most used locations with a percentage of use of 100% compared with other locations.

4.2.4. CASE 4

In this scenario, the complexity of the problem is increased by increasing the number of fixed WTs from four to eight. The WTs at locations 1, 5, 26, 35, 50, 55, 80, and 83 are fixed. There is no constraint on the total number of WTs, allowing their number to vary from 1 to 100. The proposed PCMOO approach was implemented, and the resulting solutions are illustrated in Figure 17. A total of 89 solutions were identified, with the number of WTs in these solutions ranging from 11 to 100.
Nine selected solutions are illustrated in Figure 18 and their overall performances are listed in Table 7. The following observations are drawn from Table 7:
The selected nine solutions have 11, 23, 34, 45, 56, 67, 78 89, and 100 WTs, respectively.
The lowest P T o t a l obtained is 5.32 MW for 11 WTs, and the highest P T o t a l obtained is 39.36 MW for 100 WTs.
The lowest η is 79.07% for 100 WTs, while the highest η is 97.12% for 11 WTs.
The C f varies between 19.68% and 24.17%, which is acceptable since they fall approximately between 20% and 50%.
The analysis for the most suitable locations for WTs revealed that the top ten locations are 17, 13, 19, 91, 98, 82, 88, 85, 94, and 84, with the following percentages of use: 98.88%, 94.38%, 93.26%, 93.26%, 93.26%, 89.89%, 89.89%, 88.76%, 88.76%, and 85.39%, respectively. It can be noticed that besides the fixed WTs, no WT location has a percentage of use equal to 100%.

4.2.5. CASE 5

CASE 5 is only different from CASE 4 because it has an added constraint on the number of WTs. The number of WTs is restricted to between 25 and 75. The solutions obtained using the proposed PCMOO approach are shown in Figure 19. A total of 51 solutions were obtained with different numbers of WTs varying between 25 and 75.
Some selected cases are represented in Figure 20 and their overall performances are tabulated in Table 8 with the following noteworthy observations:
The selected solutions have 25, 31, 38, 44, 50, 56, 63, 69, and 75 WTs, respectively (nine selected solutions).
The lowest P T o t a l obtained is 11.83 MW for 25 WTs, and the highest P T o t a l obtained is 31.45 MW for 75 WTs.
The lowest η is 84.24% for 75 WTs, whereas the highest η is 95.07% for 25 WTs.
The obtained C f values vary between 20.97% and 23.66%, falling in the allowed range of 20% and 50%.
The analysis of the most suitable WTs revealed that WTs located at 1, 5, 13, 17, 20, 26, 35, 50, 55, 80, 81, 83, 85, 87, and 96 have a percentage of use of 100%. It is worth mentioning that eight of these WTs are fixed ones. The restriction imposed on the number of allowed WTs along with the fixed ones led to this result.

4.2.6. CASE 6

In this case, the WFLE problem is treated with 13 fixed WTs at locations 1, 5, 10, 15, 24, 40, 47, 68, 75, 80, 81, 85, and 89, and no constraints are imposed on NWT (i.e., the number of WTs can vary from 1 to 100), making the problem more complex than both CASE 2 and CASE 4. The results obtained by the proposed approach are displayed in Figure 21. The resulting PF has 77 solutions with varying numbers of WTs (between 24 and 100).
The nine selected farm layouts are illustrated in Figure 22 and their performances are summarized in Table 9. The noteworthy points for CASE 6 solutions are given below:
The nine selected solutions have 24, 34, 43, 53, 62, 72, 81, 91, and 100 WTs, respectively.
The lowest P T o t a l obtained is 11.32 MW for 24 WTs, and the highest P T o t a l obtained is 39.36 MW for 100 WTs.
The lowest η found is 79.07% for 100 WTs, and the highest η is 94.77% for 24 WTs.
The C f varies between 19.68% and 23.59%, which is acceptable since they fall approximatively between 20% and 50%.
The WTs situated at locations 1, 5, 10, 15, 26, 40, 47, 68, 75, 80, 81, 85, 86, and 89 have a percentage of use of 100%. Whereas those located at 48, 53, 46, 49, 51, 55, 45, 42, 59, and 27 have the lowest percentages of use, which are as follows: 5.19%, 6.49%, 6.49%, 9.09%, 13.39%, 12.99%, 12.99%, 14.29%, 15.58%, and 18.18%, respectively.

4.2.7. CASE 7

CASE 7 is only different from CASE 6 because it has an added constraint on the number of WTs. The number of WTs is restricted to between 25 and 75. The solutions obtained using the proposed PCMOO approach are shown in Figure 23. A total of 51 solutions were obtained with different numbers of WTs varying between 25 and 75.
Some selected cases are represented in Figure 24 and their overall performances are tabulated in Table 10 with the following noteworthy observations:
The selected solutions have 25, 30, 37, 42, 50, 56, 61, 69, and 74 WTs, respectively (nine selected solutions).
The lowest P T o t a l obtained is 11.83 MW for 25 WTs, and the highest P T o t a l obtained is 31.51 MW for 75 WTs.
The lowest η is 84.40% for 75 WTs, whereas the highest η is 94.97% for 25 WTs.
The obtained C f values vary between 21.00% and 23.64%, falling in the allowed range of 20% and 50%.
The analysis of the most suitable WTs revealed that WTs located at 1, 5, 13, 17, 20, 26, 35, 50, 55, 80, 81, 83, 85, 87, and 96 have a percentage of use of 100%. It is worth mentioning that eight of these WTs are fixed ones. The restriction imposed on the number of allowed WTs along with the fixed ones led to this result.

4.3. Comparative Study

To assess the effectiveness of the newly proposed method relative to existing methods documented in the literature, the results for CASES 1 through 6 were analyzed alongside outcomes derived from using MOEA/IGD-NS/TA2, as cited in [16] (note that CASE 7 is not included in [16]). This comparative analysis is illustrated in Figure 25 Additionally, the C-metric, which evaluates the extent to which a PF generated by one algorithm dominates another PF, is employed to gauge the comparative performance of the two approaches. The C-metric values for the first six cases are presented in Table 11.
The data from Figure 25 and Table 11 indicate that the solutions generated by the proposed PCMOO approach are superior to or dominate those produced using the MOEA/IGD-NS/TA2 approach.

5. Conclusions

In this paper, the problem of optimizing WF layout is treated. This problem is formulated in two ways. In the first formulation, we assume that the WF is to be designed, and all the locations of the WTs are to be optimally placed, whilst in the second formulation, we assume that the WF exists with some WTs already installed and the goal is to expand this farm. The first formulation is called WFLO whilst the second one is called WFLE. Both problems were formulated as MOPs, considering power and efficiency as the main objectives. To solve these problems efficiently, a new approach based on combining five Multi-Objective Optimization algorithms was proposed, implemented, and tested using seven different cases. The collaboration of the five algorithms took advantage of each algorithm and consequently offered more non-dominated solutions for the resulting PCMMO algorithm. The different cases show that the proposed algorithm is able to solve the concerned problem in an efficient way and many solutions were proposed for each case. From the list of results, the designer can select the one that is the most suitable considering other factors like budget and/or enhanced security in the case of a WT fail. One of the findings of this study is that combining multiple algorithms yields superior results compared to using one single algorithm. Consequently, exploring additional algorithm combinations could be a promising axis for future research. Furthermore, this paper considered two objective functions. In future work, we could expand our analysis to incorporate more objectives. Finally, we could consider enhancing security constraints by identifying optimal WT locations considering the probability of losing one or more turbines.

Author Contributions

Conceptualization, H.R.E.H.B., M.S.J. and M.A.M.R.; methodology, H.R.E.H.B., M.S.J. and M.A.M.R.; software, H.R.E.H.B.; validation, H.R.E.H.B., M.S.J. and M.A.M.R.; formal analysis, H.R.E.H.B. and M.S.J.; investigation, H.R.E.H.B. and M.S.J.; resources, H.R.E.H.B., M.S.J. and M.A.M.R.; writing—original draft preparation, H.R.E.H.B., M.S.J. and M.A.M.R.; writing—review and editing, H.R.E.H.B., M.S.J. and M.A.M.R.; visualization, M.S.J.; supervision, M.A.M.R.; project administration, M.A.M.R.; funding acquisition, M.A.M.R. All authors have read and agreed to the published version of the manuscript.

Funding

General Program for Indexed Publications (GPIP: 1632-135-2024). Deanship of Scientific Research (DSR) at King Abdulaziz University, Jeddah.

Data Availability Statement

The original contributions presented in the study are included in the article, further inquiries can be directed to the corresponding author.

Acknowledgments

This project was funded by the Deanship of Scientific Research (DSR) at King Abdulaziz University, Jeddah, under grant no. (GPIP: 1632-135-2024). The authors, therefore, acknowledge DSR with thanks for providing technical and financial support.

Conflicts of Interest

The authors declare no conflicts of interest.

Nomenclature

C f Capacity Factor
d Axial induction factor
F Vector of objective functions
f j Probability of each wind direction
g 0 Terrain roughness
h i Hub height of the WT
h R Reference height of the WT
P k , m a x Maximum electrical power output is denoted
P k Electrical power output
r i Rotor radius of the i t h WT
r i 1 Rotor radius of the i t h WT as measured downstream
u 0 j Wind speed at the j t h WT when the wake effects of preceding WTs are not considered
u j Wind speed observed at the j t h WT downstream
u R Wind speed at the reference height
X Feasible set of design variables
x Vector of design variables
x i and y i Geometric coordinates of the W T i
x i j Distance between the i t h and j t h WTs
δ i Entrainment constant
η Efficiency of the WF
ADDActivation Dormancy Detection function
AEPAnnual Energy Production
BRCGABinary Real Coded Genetic Algorithm
CADiversity Archive
CMOPConstrained Multi-Objective Optimization Problem
CODCombine Occasion Detection function
CoECost Per Unit of Energy
CoMMEACoevolutionary Framework for Generalized Multimodal Multi-Objective Optimization Problems
DAConvergence Archive
DSMGA-IIDependency Structure Matrix Genetic Algorithm II
FD-BBOFitness Difference-based Biogeography-Based Optimization
GAGenetic Algorithm
IGDInverted Generational Distance
IMTCMOImproved Multi-Task Constrained Multi-Objective
JointArcJoint Archive
LSLocal search
MCCMOMulti-Population Cooperative Coevolutionary Multi-Objective Optimization
MOECPOMulti-Objective Electric Charged Particle Optimization
MOOMulti-Objective Optimization
MOPsMulti-Objective Optimization Problems
MSCEAHelper-Problem-Assisted Constrained Multi-objective Evolutionary Algorithm
NSGA-IINon-dominated Sorting Genetic Algorithm II
NUCEANon-Uniform Clustering-Based Evolutionary Algorithm
N W T Number of WTs already inside the WF
PCMMOParallel Collaborative Multi-Objective Optimization Algorithm
PFPareto Front
POPPopulation
PSOParticle Swarm Optimization
PSsPareto Sets
SASimulated Annealing
SCPsSingle Constrained Pareto Fronts
SDCScalable Decision space Constraints
SMOPsSparse Multi-Objective Optimization Problems
SPEA2Strength Pareto Evolutionary Algorithm 2
SPLSound Pressure Level
TCThrust Coefficient
TLBOTeaching–Learning-Based Optimization
VNSVariable Neighborhood Search
WFWind Farm
WFCRWind Farm Cable Routing
WFLEWind Farm Layout Expansion
WFLOWind Farm Layout Optimization
WTWind Turbine

References

  1. Bansal, J.C.; Farswan, P.; Nagar, A.K. Design of Wind Farm Layout with Non-Uniform Turbines Using Fitness Difference Based BBO. Eng. Appl. Artif. Intell. 2018, 71, 45–59. [Google Scholar] [CrossRef]
  2. Hussain, M.N.; Shaukat, N.; Ahmad, A.; Abid, M.; Hashmi, A.; Rajabi, Z.; Tariq, M.A.U.R. Effective Realization of Multi-Objective Elitist Teaching–Learning Based Optimization Technique for the Micro-Siting of Wind Turbines. Sustainability 2022, 14, 8458. [Google Scholar] [CrossRef]
  3. El Mokhi, C.; Addaim, A. Optimization of Wind Turbine Interconnections in an Offshore Wind Farm Using Metaheuristic Algorithms. Sustainability 2020, 12, 5761. [Google Scholar] [CrossRef]
  4. Wang, Z.; Tu, Y.; Zhang, K.; Han, Z.; Cao, Y.; Zhou, D. An Optimization Framework for Wind Farm Layout Design Using CFD-Based Kriging Model. Ocean Eng. 2024, 293, 116644. [Google Scholar] [CrossRef]
  5. Wang, Q.; Xu, T.; von Terzi, D.; Xia, W.; Wang, Z.; Zhang, H. Synchronized Optimization of Wind Farm Start-Stop and Yaw Control Based on 3D Wake Model. Renew. Energy 2024, 223, 120044. [Google Scholar] [CrossRef]
  6. Mosetti, G.; Poloni, C.; Diviacco, B. Optimization of Wind Turbine Positioning in Large Windfarms by Means of a Genetic Algorithm. J. Wind Eng. Ind. Aerodyn. 1994, 51, 105–116. [Google Scholar] [CrossRef]
  7. Jensen, N.O. A Note on Wind Generator Interaction; Risø-M-2411; Risø National Laboratory: Roskilde, Denmark, 1983; pp. 1–16.
  8. Ulku, I.; Alabas-Uslu, C. A New Mathematical Programming Approach to Wind Farm Layout Problem under Multiple Wake Effects. Renew. Energy 2019, 136, 1190–1201. [Google Scholar] [CrossRef]
  9. Tian, J.; Zhou, D.; Su, C.; Soltani, M.; Chen, Z.; Blaabjerg, F. Wind Turbine Power Curve Design for Optimal Power Generation in Wind Farms Considering Wake Effect. Energies 2017, 10, 395. [Google Scholar] [CrossRef]
  10. Tang, X.; Yang, Q.; Wang, K.; Stoevesandt, B.; Sun, Y. Optimisation of Wind Farm Layout in Complex Terrain via Mixed-Installation of Different Types of Turbines. IET Renew. Power Gener. 2018, 12, 1065–1073. [Google Scholar] [CrossRef]
  11. Abdelsalam, A.M.; El-Shorbagy, M.A. Optimization of Wind Turbines Siting in a Wind Farm Using Genetic Algorithm Based Local Search. Renew. Energy 2018, 123, 748–755. [Google Scholar] [CrossRef]
  12. Serrano González, J.; Burgos Payán, M.; Riquelme Santos, J.M. Optimal Design of Neighbouring Offshore Wind Farms: A Co-Evolutionary Approach. Appl. Energy 2018, 209, 140–152. [Google Scholar] [CrossRef]
  13. Yamani Douzi Sorkhabi, S.; Romero, D.A.; Beck, J.C.; Amon, C.H. Constrained Multi-Objective Wind Farm Layout Optimization: Novel Constraint Handling Approach Based on Constraint Programming. Renew. Energy 2018, 126, 341–353. [Google Scholar] [CrossRef]
  14. Rao, R.V.; Keesari, H.S. Multi-Team Perturbation Guiding Jaya Algorithm for Optimization of Wind Farm Layout. Appl. Soft Comput. J. 2018, 71, 800–815. [Google Scholar] [CrossRef]
  15. Cazzaro, D.; Pisinger, D. Variable Neighborhood Search for Large Offshore Wind Farm Layout Optimization. Comput. Oper. Res. 2022, 138, 105588. [Google Scholar] [CrossRef]
  16. Bouchekara, H.R.E.H.; Sha’aban, Y.A.; Shahriar, M.S.; Ramli, M.A.M.; Mas’ud, A.A. Wind Farm Layout Optimization/Expansion with Real Wind Turbines Using a Multi-Objective EA Based on an Enhanced Inverted Generational Distance Metric Combined with the Two-Archive Algorithm 2. Sustainability 2023, 15, 2525. [Google Scholar] [CrossRef]
  17. Ramli, M.A.M.; Bouchekara, H.R.E.H.; Milyani, A.H. Wind Farm Layout Optimization Using a Multi-Objective Electric Charged Particles Optimization and a Variable Reduction Approach. Energy Strateg. Rev. 2023, 45, 101016. [Google Scholar] [CrossRef]
  18. Bouchekara, H.R.E.H.; Sha’aban, Y.A.; Shahriar, M.S.; Ramli, M.A.M.; Mas’ud, A.A. Wind Farm Layout Optimisation Considering Commercial Wind Turbines Using Parallel Reference Points, Radial Space Division and Reference Vector Guided EA-Based Approach. Energy Rep. 2023, 9, 4919–4940. [Google Scholar] [CrossRef]
  19. Cazzaro, D.; Koza, D.F.; Pisinger, D. Combined Layout and Cable Optimization of Offshore Wind Farms. Eur. J. Oper. Res. 2023, 311, 301–315. [Google Scholar] [CrossRef]
  20. Huang, X.; Wang, Z.; Li, C.; Zhang, M. A Low-Complexity Evolutionary Algorithm for Wind Farm Layout Optimization. Energy Rep. 2023, 9, 5752–5761. [Google Scholar] [CrossRef]
  21. Yu, Y.; Zhang, T.; Lei, Z.; Wang, Y.; Yang, H.; Gao, S. A Chaotic Local Search-Based LSHADE with Enhanced Memory Storage Mechanism for Wind Farm Layout Optimization. Appl. Soft Comput. 2023, 141, 110306. [Google Scholar] [CrossRef]
  22. Yang, H.; Gao, S.; Lei, Z.; Li, J.; Yu, Y.; Wang, Y. An Improved Spherical Evolution with Enhanced Exploration Capabilities to Address Wind Farm Layout Optimization Problem. Eng. Appl. Artif. Intell. 2023, 123, 106198. [Google Scholar] [CrossRef]
  23. Yu, X.; Lu, Y. Reinforcement Learning-Based Multi-Objective Differential Evolution for Wind Farm Layout Optimization. Energy 2023, 284, 129300. [Google Scholar] [CrossRef]
  24. Tao, S.; Feijóo-Lorenzo, A.E. Multi-Objective Optimization of Clustered Wind Farms Based on Potential Game Approach. Ocean Eng. 2024, 300, 117291. [Google Scholar] [CrossRef]
  25. Zheng, Y.; Wang, J.S.; Zhu, J.H.; Zhang, X.Y.; Xing, Y.X.; Zhang, Y.H. MORSA: Multi-Objective Reptile Search Algorithm Based on Elite Non-Dominated Sorting and Grid Indexing Mechanism for Wind Farm Layout Optimization Problem. Energy 2024, 293, 130771. [Google Scholar] [CrossRef]
  26. Yang, S.; Deng, X.; Yang, K. Machine-Learning-Based Wind Farm Optimization through Layout Design and Yaw Control. Renew. Energy 2024, 224, 120161. [Google Scholar] [CrossRef]
  27. Ling, Z.; Zhao, Z.; Liu, Y.; Liu, H.; Ali, K.; Liu, Y.; Wen, Y.; Wang, D.; Li, S.; Su, C. Multi-Objective Layout Optimization for Wind Farms Based on Non-Uniformly Distributed Turbulence and a New Three-Dimensional Multiple Wake Model. Renew. Energy 2024, 227, 120558. [Google Scholar] [CrossRef]
  28. Hu, W.; Yang, Q.; Yuan, Z.; Yang, F. Wind Farm Layout Optimization in Complex Terrain Based on CFD and IGA-PSO. Energy 2024, 288, 129745. [Google Scholar] [CrossRef]
  29. Yu, X.; Zhang, W. A Teaching-Learning-Based Optimization Algorithm with Reinforcement Learning to Address Wind Farm Layout Optimization Problem. Appl. Soft Comput. 2024, 151, 111135. [Google Scholar] [CrossRef]
  30. Rizk-Allah, R.M.; Hassanien, A.E. A Hybrid Equilibrium Algorithm and Pattern Search Technique for Wind Farm Layout Optimization Problem. ISA Trans. 2023, 132, 402–418. [Google Scholar] [CrossRef]
  31. Katic, I.; Højstrup, J.; Jensen, N.O. A Simple Model for Cluster Efficiency. In Proceedings of the European Wind Energy Association Conference and Exhibition, Rome, Italy, 7–9 October 1986; Volume 1. [Google Scholar]
  32. Qin, S.; Ngu, S.S.; Zeng, T. Optimal Constant Power Control of Wind Turbine Generators Based on Takagi-Sugeno Fuzzy Model. Alex. Eng. J. 2022, 61, 5977–5982. [Google Scholar] [CrossRef]
  33. Arreyndip, N.A.; Joseph, E. Small 500 KW Onshore Wind Farm Project in Kribi, Cameroon: Sizing and Checkers Layout Optimization Model. Energy Rep. 2018, 4, 528–535. [Google Scholar] [CrossRef]
  34. Frandsen, S. On the Wind Speed Reduction in the Center of Large Clusters of Wind Turbines. J. Wind Eng. Ind. Aerodyn. 1992, 39, 251–265. [Google Scholar] [CrossRef]
  35. Holmes, J.D.; Bekele, S.A. Wind Loading of Structures; CRC Press: Boca Raton, FL, USA, 2020. [Google Scholar]
  36. Shao, Z.; Wu, Y.; Li, L.; Han, S.; Liu, Y. Multiple Wind Turbine Wakes Modeling Considering the Faster Wake Recovery in Overlapped Wakes. Energies 2019, 12, 680. [Google Scholar] [CrossRef]
  37. Hakli, H. A New Approach for Wind Turbine Placement Problem Using Modified Differential Evolution Algorithm. Turkish J. Electr. Eng. Comput. Sci. 2019, 27, 4659–4672. [Google Scholar] [CrossRef]
  38. Biswas, P.P.; Suganthan, P.N.; Amaratunga, G.A.J. Decomposition Based Multi-Objective Evolutionary Algorithm for Windfarm Layout Optimization. Renew. Energy 2018, 115, 326–337. [Google Scholar] [CrossRef]
Figure 1. Cumulative wind power capacity worldwide [MW].
Figure 1. Cumulative wind power capacity worldwide [MW].
Energies 17 05632 g001
Figure 2. WFLO problem setup where light blue WTs indicate potential placement locations.
Figure 2. WFLO problem setup where light blue WTs indicate potential placement locations.
Energies 17 05632 g002
Figure 3. WFLE problem setup where light blue WTs indicate potential placement locations, while dark blue WTs represent existing, fixed WTs.
Figure 3. WFLE problem setup where light blue WTs indicate potential placement locations, while dark blue WTs represent existing, fixed WTs.
Energies 17 05632 g003
Figure 4. Proposed approaches for variable reduction.
Figure 4. Proposed approaches for variable reduction.
Energies 17 05632 g004
Figure 5. Active power for the given WT of Table 2.
Figure 5. Active power for the given WT of Table 2.
Energies 17 05632 g005
Figure 6. Wind direction and wind speed probability distribution diagram.
Figure 6. Wind direction and wind speed probability distribution diagram.
Energies 17 05632 g006
Figure 7. CASE 1 layout.
Figure 7. CASE 1 layout.
Energies 17 05632 g007
Figure 8. CASE 2 and CASE 3 layout.
Figure 8. CASE 2 and CASE 3 layout.
Energies 17 05632 g008
Figure 9. CASE 4 and CASE 5 layout.
Figure 9. CASE 4 and CASE 5 layout.
Energies 17 05632 g009
Figure 10. CASE 6 and CASE 7 layout.
Figure 10. CASE 6 and CASE 7 layout.
Energies 17 05632 g010
Figure 11. PF obtained for CASE 1.
Figure 11. PF obtained for CASE 1.
Energies 17 05632 g011
Figure 12. CASE 1 optimal WF layouts (selected solutions).
Figure 12. CASE 1 optimal WF layouts (selected solutions).
Energies 17 05632 g012
Figure 13. CASE 2 PF.
Figure 13. CASE 2 PF.
Energies 17 05632 g013
Figure 14. CASE 2 optimal WF layouts (selected solutions).
Figure 14. CASE 2 optimal WF layouts (selected solutions).
Energies 17 05632 g014
Figure 15. CASE 3 PF.
Figure 15. CASE 3 PF.
Energies 17 05632 g015
Figure 16. CASE 3 optimal WF layouts (selected solutions).
Figure 16. CASE 3 optimal WF layouts (selected solutions).
Energies 17 05632 g016
Figure 17. PF obtained for CASE 4.
Figure 17. PF obtained for CASE 4.
Energies 17 05632 g017
Figure 18. CASE 4 optimal WF layouts (selected solutions).
Figure 18. CASE 4 optimal WF layouts (selected solutions).
Energies 17 05632 g018
Figure 19. CASE 5 PF.
Figure 19. CASE 5 PF.
Energies 17 05632 g019
Figure 20. CASE 5 optimal WF layouts (selected solutions).
Figure 20. CASE 5 optimal WF layouts (selected solutions).
Energies 17 05632 g020
Figure 21. PF obtained for CASE 6.
Figure 21. PF obtained for CASE 6.
Energies 17 05632 g021
Figure 22. CASE 6 optimal WF layouts (selected solutions).
Figure 22. CASE 6 optimal WF layouts (selected solutions).
Energies 17 05632 g022
Figure 23. CASE 7 PF.
Figure 23. CASE 7 PF.
Energies 17 05632 g023
Figure 24. CASE 7 optimal WF layouts (selected solutions).
Figure 24. CASE 7 optimal WF layouts (selected solutions).
Energies 17 05632 g024
Figure 25. Performance comparison of the proposed PCMOO with MOEA/IGD-NS/TA2. (a) CASE 1, (b) CASE 2, (c) CASE 3, (d) CASE 4, (e) CASE 5, and (f) CASE 6.
Figure 25. Performance comparison of the proposed PCMOO with MOEA/IGD-NS/TA2. (a) CASE 1, (b) CASE 2, (c) CASE 3, (d) CASE 4, (e) CASE 5, and (f) CASE 6.
Energies 17 05632 g025aEnergies 17 05632 g025b
Table 1. Summary of some research work solving the WFLO problem using metaheuristics ordered by publication year.
Table 1. Summary of some research work solving the WFLO problem using metaheuristics ordered by publication year.
ReferenceYearSOO or MOOWFLO or WFLEAlgorithmObjectivesApplication
[1]2018SOOWFLOFitness Difference-based Biogeography-Based Optimization (FD-BBO) algorithm
Maximize power output
Minimize the cost
The WF is a square region of 2 km × 2 km.
[11]2018SOOWFLOBinary Real Coded Genetic Algorithm (BRCGA)-based local search (LS)
Minimize the Cost Per Unit of Energy produced
The WF is a square region (2 km × 2 km) divided into 100 possible turbine positions.
[10]2018SOOWFLOGA–Particle Swarm Optimization (PSO)
Minimize the Cost Per Unit of Energy (CoE)
The first WF considered is a line of 2 km without terrain undulation where five turbines of different types are to be deployed. In the second WF considered, the objective is to deploy 12 turbines over a 2000 m × 2000 m WF with complex terrain.
[12]2018SOOWFLO/EGA
Maximize the Net Present Value (NPV)
The first case analyzes two offshore WFs composed of 20 WTs each whilst the second case analyses two OFWs with a higher number of WTs and considers the typical characteristics of current offshore projects.
[13]2018MOOWFLOA multi-objective, continuous variable Non-dominated Sorting Genetic Algorithm II (NSGA-II)
Maximize the Annual Energy Production (AEP)
Minimize the noise (Sound Pressure Level (SPL))
The WF is randomly generated with predefined feasibility percentages with an area of 3 km × 3 km square, which is divided into 225 random convex polygons with similar areas.
[14]2018SOOWFLOMulti-Team Perturbation-Guiding Jaya (MTPG-Jaya)
Minimize the cost of unit power generated
The WF considers a square region of 2 × 2 km in which a WT can be placed at any position in the specified area, maintaining the minimum distance (5 d = 200 m) between two adjacent turbines.
[3]2020SOOWFLOSimulated Annealing (SA)
Maximize the power output of the WF
Minimize the investment costs
The WF total area is 6.25 km2, which is divided into smaller area cells of a size of 250 × 250 m2.
[2]2022SOOWFLOTeaching–Learning-Based Optimization (TLBO)
Maximize power
Minimize the cost
The WF is a square region (2 km × 2 km) divided into 100 possible WT positions.
[15]2022MOOWFLOVariable Neighborhood Search (VNS)
Maximize the power production
Minimize wakes and foundation costs
10 synthetic WFs are tested.
[16]2023MOOWFLO/EA combination of the MOEA/IGD-NS and Two Arch2 called (MOEA/IGD-NS/TA2)
Maximize both the WF’s efficiency and total power output
The WF is a 6 km × 2 km rectangle with 0.3 km × 0.4 km cells allowing 100 possible WTs to be installed.
[17]2023MOOWFLOMulti-Objective Electric Charged Particle Optimization (MOECPO)
Maximize both the WF’s efficiency and total power output
The WF is a 6 km × 2 km rectangle with 0.3 km × 0.4 km cells allowing 100 possible WTs to be installed.
[18]2023MOOWFLOCombination of RSEA, RPEA, RVEAa, and RVEA
Maximize both the WF’s efficiency and total power output
The WF is a 6 km × 2 km rectangle with 0.3 km × 0.4 km cells allowing 100 possible WTs to be installed.
[19]2023MOOWFLO/ Wind Farm Cable Routing (WFCR)Variable Neighborhood Search (VNS)
Maximize the energy production revenues
Minimize the foundation costs and minimize the total cost of the cables
10 synthetic WFs.
[20]2023MOOWFLOGrey Wolf Optimization (GWO) with a 2-dimensional encoding mechanism named GWOEM
Maximize the power output
The WF is the GE1.5-77 WTs.
[21]2023SOOWFLOChaotic local search-based success-history-based adaptive differential evolution with linear population size reduction (CLSHADE)
Maximum power and minimum cost
13 different WFs with square layouts that can be divided into 12 by 12 blocks.
[22]2023SOOWFLOImproved Spherical Evolution (ISE)
Maximum power and minimum cost
13 WFs, 12 of which have landowner-imposed constraints, feature square layouts divided into 12 by 12 blocks.
[23]2023MOOWFLOReinforcement learning-based multi-objective differential evolution (RLMODE)
Maximize the energy generated by WTs
Minimize the cost
The WF is a 2 km × 2 km square area simulated as a 10 × 10 grid.
[18]2023MOOWFLOParallel Reference Points, Radial Space Division, and Reference Vector Guided-Based EA Approach (PRPSVEAa)
Maximize both the WF’s efficiency and total power output
The WF is a 6 km × 2 km rectangle with 0.3 km × 0.4 km cells, accommodating up to 100 Wind Turbines.
[24]2024MOOWFLONSGA-II and the Dependency Structure Matrix Genetic Algorithm II (DSMGA-II)
Maximize the WF-generated power
Minimize WT turbulence intensity
Qindong WFs with areas of 35.99 km2, 29.55 km2, and 41.36 km2.
[25]2024MOOWFLOMulti-Objective Reptile Search Algorithm (MORSA)
Maximize power generation
Minimize costs
A 10 × 10 grid allowing 100 WTs to be installed.
[26]2024SOOWFLO and yaw controlANN, GA Bayesian machine learning
Maximize the Annual Energy Production (AEP)
A WF with a regular aligned layout of 16 WTs.
[27]2024MOOWFLONSGA-II
Maximize total power generation
Minimize the maximum streamwise turbulence intensity
The WTs are located on a flat 2 km × 2 km terrain with a ground roughness of 0.3 m. Each WT has a rotor radius of 20 m, a hub height of 60 m, and a Thrust Coefficient of 0.88, operating under an ambient turbulence intensity of 10%. The wind shear index is set at 0.2.
[28]2024MOOWFLOImproved GA with PSO (IGA-PSO)
Maximize AEP model and net annual value (NAV)
The WF spans a region of 5.5 km east–west and 14.5 km north–south in the complex terrain of Qianjiang, Chongqing, China.
[29]2024SOOWFLOA Reinforcement Learning-based TLBO (RLPS-TLBO)
Maximum power and minimum cost
The WF is a square region of 2 km × 2 km simulated as a 10 × 10 grid.
[30]2024MOOWFLOMulti-objective Equilibrium Optimizer (MEO) and Pattern Search (PS) named MEO-PS
Maximize AEP
Maximize efficiency
The WF is a square region of 2 km × 2 km simulated as a 10 × 10 grid located in the Gulf of Suez–Red Sea in Egypt.
Table 2. WT specifications.
Table 2. WT specifications.
ModelAcciona AW82/1500 kW
IEC ClassesIIIb
Cut-in speed3 m/s
Hub Height60 m, 80 m
Cut-out speed20 m/s
Rotor Diameter82 m
Rated Power1.5 MW
Table 3. Summary of the investigated cases.
Table 3. Summary of the investigated cases.
CASE #TypeMinimum # of WTsMaximum # of WTsFixed WT Locations #Illustrative Figure
CASE 1WFLO1100NoneFigure 7
CASE 2WFLE3080[1, 26, 40, 85]Figure 8
CASE 3WFLE2575[1, 26, 40, 85]Figure 8
CASE 4WFLE1100[1, 5, 26, 35, 50, 55, 80, 83]Figure 9
CASE 5WFLE2575[1, 5, 26, 35, 50, 55, 80, 83]Figure 9
CASE 6WFLE1100[1, 5, 10, 15, 26, 40, 47, 68, 75, 80, 81, 85, 89]Figure 10
CASE 7WFLE2575[1, 5, 10, 15, 26, 40, 47, 68, 75, 80, 81, 85, 89]Figure 10
Table 4. CASE 1 selected solutions.
Table 4. CASE 1 selected solutions.
Solution #NWT P T o t a l [MW] η [%] C f [%]
152.49100.0024.89
2178.2897.8224.35
32913.6894.7923.59
44118.8292.2322.96
55323.6289.5422.29
66427.7186.9721.65
77631.8484.1520.94
88835.7581.6020.31
910039.3679.0719.68
Table 5. CASE 2 selected solutions.
Table 5. CASE 2 selected solutions.
Solution #NWT P T o t a l [MW] η [%] C f [%]
13014.0994.3223.48
23616.6793.0423.16
34319.6591.7922.85
44922.0790.4622.52
55524.3989.0822.17
66126.6387.7121.83
76829.1186.0021.40
87431.1784.6121.06
98033.1783.2820.73
Table 6. CASE 3 selected solutions.
Table 6. CASE 3 selected solutions.
Solution #NWT P T o t a l [MW] η [%] C f [%]
12511.9195.6723.81
23114.5494.2223.45
33817.5292.6223.05
44420.0791.6122.80
55022.4590.2122.45
65624.7788.8622.12
76327.3587.2121.71
86929.4485.7221.34
97531.4984.3320.99
Table 7. CASE 4 selected solutions.
Table 7. CASE 4 selected solutions.
Solution #NWT P T o t a l [MW] η [%] C f [%]
1115.3297.1224.17
22310.9295.3323.73
33415.7492.9823.14
44520.4091.0522.66
55624.7388.7222.08
66728.7386.1421.44
77832.4883.6620.82
88936.0681.3820.26
910039.3679.0719.68
Table 8. CASE 5 selected solutions.
Table 8. CASE 5 selected solutions.
Solution #NWT P T o t a l [MW] η [%] C f [%]
12511.8395.0723.66
23114.4593.6423.31
33817.4492.2222.95
44419.9891.2122.70
55022.4290.0822.42
65624.7388.7022.08
76327.3187.0821.67
86929.4285.6621.32
97531.4584.2420.97
Table 9. CASE 6 selected solutions.
Table 9. CASE 6 selected solutions.
Solution #NWT P T o t a l [MW] η [%] C f [%]
12411.3294.7723.59
23415.7392.9523.14
34319.5591.3522.74
45323.5789.3322.23
56226.9787.3821.75
67230.4985.0721.17
78133.5083.0820.68
89136.6880.9620.15
910039.3679.0719.68
Table 10. CASE 7 selected solutions.
Table 10. CASE 7 selected solutions.
Solution #NWT P T o t a l [MW] η [%] C f [%]
12511.8294.9723.64
23114.4593.6123.30
33817.4892.3822.99
44419.9991.2822.72
55022.4190.0222.41
65624.7488.7522.09
76327.3287.1221.68
86929.4485.7221.34
97531.5184.4021.01
Table 11. Comparison of C-metric values.
Table 11. Comparison of C-metric values.
C(PCMOO, MOEA/IGD-NS/TA2)C(MOEA/IGD-NS/TA2, PCMOO)
CASE 101
CASE 200.9016
CASE 301
CASE 401
CASE 501
CASE 601
Disclaimer/Publisher’s Note: The statements, opinions and data contained in all publications are solely those of the individual author(s) and contributor(s) and not of MDPI and/or the editor(s). MDPI and/or the editor(s) disclaim responsibility for any injury to people or property resulting from any ideas, methods, instructions or products referred to in the content.

Share and Cite

MDPI and ACS Style

Bouchekara, H.R.E.H.; Ramli, M.A.M.; Javaid, M.S. Wind Farm Layout Optimization/Expansion of Real Wind Turbines with a Parallel Collaborative Multi-Objective Optimization Algorithm. Energies 2024, 17, 5632. https://doi.org/10.3390/en17225632

AMA Style

Bouchekara HREH, Ramli MAM, Javaid MS. Wind Farm Layout Optimization/Expansion of Real Wind Turbines with a Parallel Collaborative Multi-Objective Optimization Algorithm. Energies. 2024; 17(22):5632. https://doi.org/10.3390/en17225632

Chicago/Turabian Style

Bouchekara, Houssem R. E. H., Makbul A. M. Ramli, and Mohammad S. Javaid. 2024. "Wind Farm Layout Optimization/Expansion of Real Wind Turbines with a Parallel Collaborative Multi-Objective Optimization Algorithm" Energies 17, no. 22: 5632. https://doi.org/10.3390/en17225632

APA Style

Bouchekara, H. R. E. H., Ramli, M. A. M., & Javaid, M. S. (2024). Wind Farm Layout Optimization/Expansion of Real Wind Turbines with a Parallel Collaborative Multi-Objective Optimization Algorithm. Energies, 17(22), 5632. https://doi.org/10.3390/en17225632

Note that from the first issue of 2016, this journal uses article numbers instead of page numbers. See further details here.

Article Metrics

Back to TopTop