Evolution of the Caprock Sealing Capacity Induced by CO2 Intrusion: A Simulation of the Dezhou Dongying Formation
Abstract
1. Introduction
2. Geology of the Study Area
3. Model Setting
3.1. Simulator Brief Description
3.2. Conceptual Model and Boundary Settings
3.3. Thermohydrological Parameters and Initial Conditions
3.3.1. Thermohydrological Parameters
3.3.2. Initial Chemistry
3.3.3. Initial Mineral Composition
Initial Mineral Composition of the Reservoir
Initial Mineral Composition of the Caprock
- Plagioclase: Plagioclase in the caprock is also set as oligoclase.
- A mixture of illite and montmorillonite: The mixture is a kind of clay mineral composition, in which montmorillonite transitions to illite. Therefore, it is impossible to accurately classify the content of montmorillonite and illite. In this simulation, it was assumed that illite and montmorillonite each account for 50% of the mixture. Montmorillonite is subdivided into smectite-Na and smectite-Ca, depending on the main cation species. For the caprock, no stratum water analysis data were available to constrain the relationship between the content of smectite-Na and smectite-Ca; the montmorillonite in the caprock is treated as 50% each of smectite-Na and smectite-Ca. The initial mineral compositions of the reservoir and caprock are shown in Table 3.
3.3.4. Thermodynamic and Kinetic Parameters
4. Model Correction
4.1. Experiments Descriptions
4.2. Model Settings for Experiments
4.3. Obtaining Kinetic Parameters for Minerals
5. Results and Discussion
5.1. Intrusion of CO2 into the Caprock
5.2. Mineral Alteration Induced by CO2 Intrusion
5.3. Evolution of Caprock Sealing Efficiency (Porosity)
5.4. Sensitivity Analysis to the Caprock Sealing Efficiency
5.4.1. Impact of Pressure Difference
5.4.2. Impact of Gas Saturation Sg
5.4.3. Impacts of Chlorite Volume Fraction
6. Conclusions
- Under the conditions of this study, after CO2 enters the caprock by convection, the dissolution reaction reduces its sealing ability, while molecular diffusion reduces the porosity in the upper part of the caprock. Both of these effects are mainly controlled by the dissolution/precipitation of calcite. The entry of CO2 into the caprock acidifies the formation of water and reduces the pH, which creates the conditions for the dissolution of minerals. Among them, Ca2+ and CO3− from calcite dissolution were transported upward by the concentration gradient effect, which effectively mitigated the decrease in pH in the upper part.
- CO2 causes the dissolution of minerals (e.g., calcite, chlorite, oligoclase, and illite) and precipitation of other minerals (e.g., smectite-Na, smectite-Ca, and K-feldspar) in the caprock, including the formation of secondary minerals (e.g., kaolinite, dolomite, and dawsonite). Kaolinite acts as an intermediate product of mineral dissolution and precipitation. Magnesium (Mg) released from the dissolution of illite and calcium (Ca) from the dissolution of oligoclase combine to form smectite-Ca and smectite-Na. Potassium ions (K+) from the dissolution of illite combine with sodium ions (Na+) to form dawsonite.
- Different pressure differentials affect only the rate and range of gaseous CO2 and dissolved CO2 migration. At pressure differentials of 1, 2, 3, and 4 MPa, after 1000 years, the gaseous CO2 migrates to 3, 4, 7, and 9 m, respectively. The type of mineral reactions is not influenced by pressure, but because the migration rate of reservoir water is faster than dissolved CO2, smectite-Ca in the caprock first dissolves and then precipitates. As the pressure increases, the solubility of CO2 increases, accelerating the CO2–water–rock interaction process and enhancing the caprock self-sealing ability.
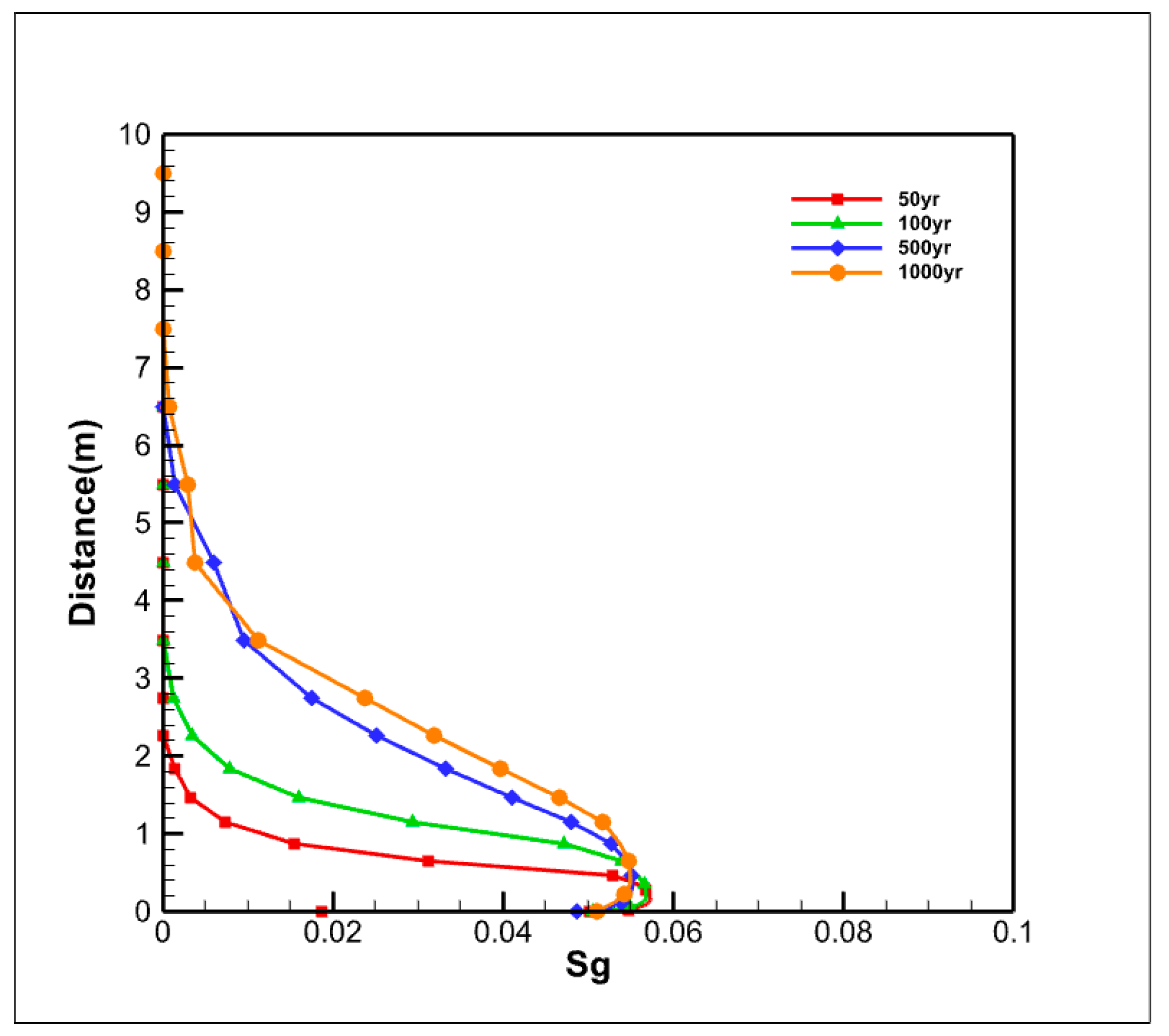
- As the initial saturation of the reservoir increases, the migration distance of gaseous CO2 in the caprock first decreases and then increases, while the migration distance of dissolved CO2 continuously decreases. At higher saturation levels, the reservoir exhibits higher capillary pressure, making it difficult for the formation of water to migrate upward. When the saturation Sg exceeds 0.7, calcite in the caprock is no longer the primary dissolved mineral and cannot provide calcium ions for the precipitation of smectite-Ca, and the range of porosity change aligns with the migration range of dissolved CO2, concentrating within 20 m. When Sg is less than 0.7, the range of porosity reduction decreases as saturation increases. Therefore, the smaller Sg increases the self-sealing ability of the caprock.
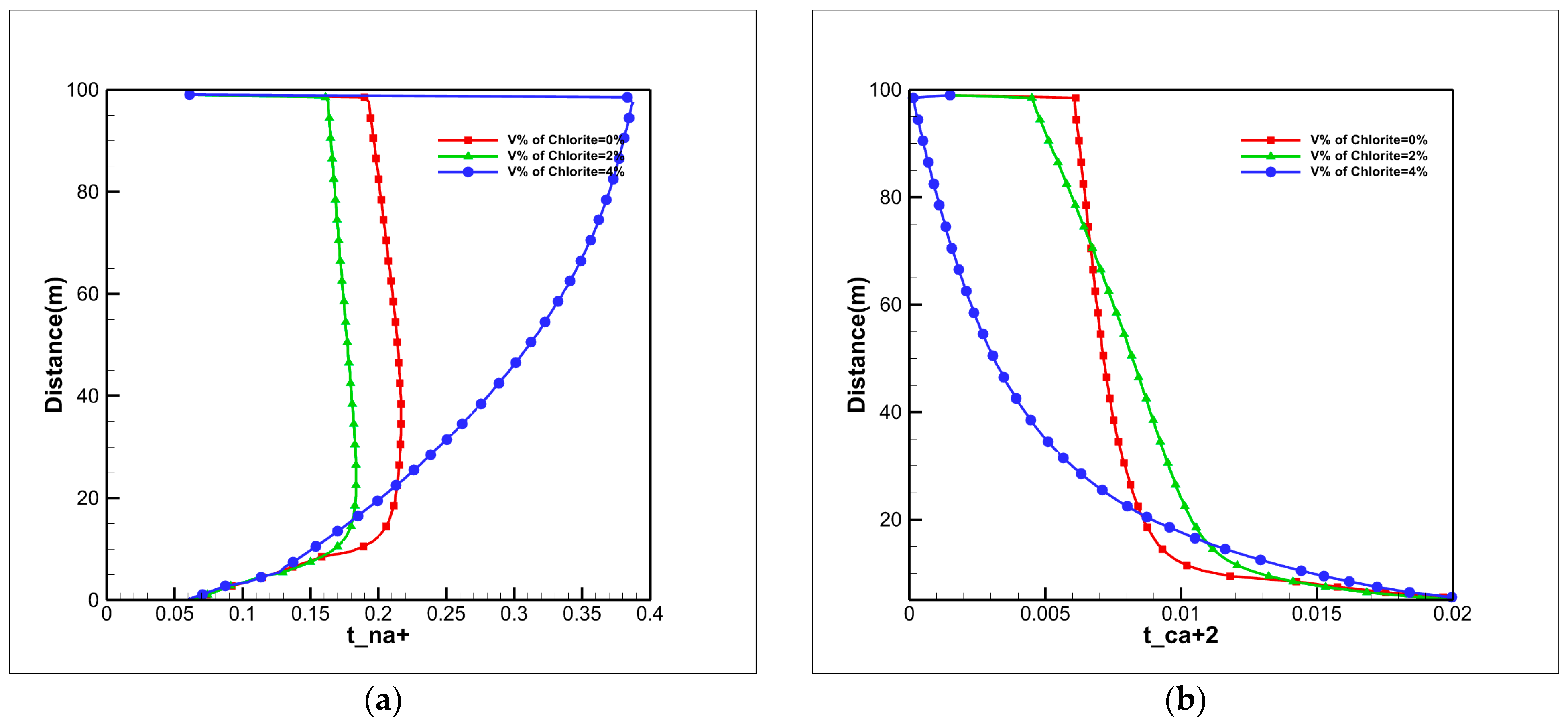
- Changes in the volume fraction of chlorite did not alter the types of chemical reactions in the model but affected only the volumes of dissolution or precipitation of other minerals. The presence of chlorite reduced the porosity of the caprock and enhanced its sealing capability, but the extent of porosity reduction does not increase with a higher volume fraction of chlorite; the critical fraction is about 2%.
Author Contributions
Funding
Data Availability Statement
Acknowledgments
Conflicts of Interest
References
- Bachu, S.; Bonijoly, D.; Bradshaw, J.; Burruss, R.; Holloway, S.; Christensen, N.P.; Mathiassen, O.M. CO2 storage capacity estimation: Methodology and gaps. Int. J. Greenh. Gas Control. 2007, 1, 430–443. [Google Scholar] [CrossRef]
- Holloway, S. Underground sequestration of carbon dioxide—A viable greenhouse gas mitigation option. Erengy 2005, 30, 2318–2333. [Google Scholar] [CrossRef]
- Zhang, J.; Sun, Y. Prospects on carbon capture and storage (CCS) development. Recycl. Resour. Circ. Econ. 2013, 6, 4. [Google Scholar]
- Aminu, M.D.; Nabavi, S.A.; Rochelle, C.A.; Manovic, V. A review of developments in carbon dioxide storage. Appl. Energy 2017, 208, 1389–1419. [Google Scholar] [CrossRef]
- Diao, Y.; Zhang, S.; Guo, J.; Li, X.; Zhang, H. Geological safety evaluation method for CO2 geological storage in deep saline aquifer. Geol. China 2011, 38, 7. [Google Scholar]
- Yang, W.; Shi, Q. Overview of Geological Storage Potential Evaluation of CO2. West-China Explor. Eng. 2016, 28, 4. [Google Scholar]
- Busch, A.; Hangx, S.J.T.; Marshall, J.D.; Wentinck, H.M. Swelling clay minerals and containment risk assessment for the storage seal of the Peterhead CCS project. Int. J. Greenh. Gas Control. 2020, 94, 102924. [Google Scholar] [CrossRef]
- Todaka, N.; Nakanishi, S.; Xu, T.; Pruess, K. Hydrogeochemical Modeling for Natural Analogue Study of CO2 Leakage due to Matsushiro Earthquake Swarm. Energy Procedia 2009, 1, 2413–2420. [Google Scholar] [CrossRef][Green Version]
- Bildstein, O.; Jullien, M.; Crédoz, A.; Garnier, J. Integrated modeling and experimental approach for caprock integrity, risk analysis, and long term safety assessment. Energy Procedia 2009, 1, 3237–3244. [Google Scholar] [CrossRef]
- Alemu, B.L.; Aagaard, P.; Munz, I.A.; Skurtveit, E. Caprock interaction with CO2: A laboratory study of reactivity of shale with supercritical CO2 and brine. Appl. Geochem. 2011, 26, 1975–1989. [Google Scholar] [CrossRef]
- Pruess, K. On CO2 fluid flow and heat transfer behavior in the subsurface, following leakage from a geologic storage reservoir. Environ. Geol. 2007, 54, 1677–1686. [Google Scholar] [CrossRef]
- Angeli, M.; Soldal, M.; Skurtveit, E.; Aker, E. Experimental percolation of supercritical CO2 through a caprock. Energy Procedia 2009, 1, 3351–3358. [Google Scholar] [CrossRef]
- Al-Traboulsi, M.; Sjögersten, S.; Colls, J.; Steven, M.; Black, C. Potential impact of CO2 leakage from Carbon Capture and Storage (CCS) systems on growth and yield in maize. Plant Soil. 2013, 365, 267–281. [Google Scholar] [CrossRef]
- Li, Q.; Li, Q.; Wang, F.; Wu, J.; Wang, Y. The Carrying Behavior of Water-Based Fracturing Fluid in Shale Reservoir Fractures and Molecular Dynamics of Sand-Carrying Mechanism. Processes 2024, 12, 2051. [Google Scholar] [CrossRef]
- Li, Q.; Li, Q.; Han, Y. A Numerical Investigation on Kick Control with the Displacement Kill Method during a Well Test in a Deep-Water Gas Reservoir: A Case Study. Processes 2024, 12, 2090. [Google Scholar] [CrossRef]
- Vafaie, A.; Cama, J.; Soler, J.M.; Kivi, I.R.; Vilarrasa, V. Chemo-hydro-mechanical effects of CO2 injection on reservoir and seal rocks: A review on laboratory experiments. Renew. Sustain. Energy Rev. 2023, 178, 113270. [Google Scholar] [CrossRef]
- Bowden, A.R.; Rigg, A. Assessing reservoir performance risk in CO2 storage projects. In Greenhouse Gas Control Technologies: Proceedings of the 7th International Conference on Greenhouse Control Technologies, 5–9 September 2004, Vancouver, BC, Canada; Elsevier: Amsterdam, The Netherlands, 2005. [Google Scholar]
- Xu, T.; Zheng, L.; Tian, H. Reactive transport modeling for CO2 geological sequestration. J. Pet. Sci. Eng. 2011, 78, 765–777. [Google Scholar] [CrossRef]
- Jayasekara, D.W.; Ranjith, P.G.; Wanniarachchi, W.A.M.; Rathnaweera, T.D. Understanding the chemico-mineralogical changes of caprock sealing in deep saline CO2 sequestration environments: A review study. J. Supercrit. Fluids 2020, 161, 104819. [Google Scholar] [CrossRef]
- Chen, B.; Wang, R.; Li, Q.; Zhou, Y.; Tan, Y.; Dai, Q.; Zhang, Y. Status and Advances of Research on Caprock Sealing Properties of CO2 Geological Storage. Geol. J. China Univ. 2023, 29, 85–99. [Google Scholar]
- Li, Z.; Lv, Y.; Liu, B. Numerical Simulation of CO2 Migration and Geochemical Reactions in Shihezi Formation Caprock, China. Energies 2023, 16, 92. [Google Scholar] [CrossRef]
- Zappone, A.; Rinaldi, A.P.; Grab, M.; Wenning, Q.C.; Roques, C.; Madonna, C.; Obermann, A.C.; Bernasconi, S.M.; Brennwald, M.S.; Kipfer, R.; et al. Fault sealing and caprock integrity for CO2 storage: An in situ injection experiment. Solid. Earth 2021, 12, 319–343. [Google Scholar] [CrossRef]
- Xiao, T.; Xu, H.; Moodie, N.; Esser, R.; Mcpherson, B. Chemical-Mechanical Impacts of CO2 Intrusion Into Heterogeneous Caprock. Water Resour. Rev. 2020, 56, e2020WR027193. [Google Scholar] [CrossRef]
- Raziperchikolaee, S.; Kelley, M.; Gupta, N. A screening framework study to evaluate CO2 storage performance in single and stacked caprock-reservoir systems of the Northern Appalachian Basin. Greenh. Gases-Sci. Technol. 2019, 9, 582–605. [Google Scholar] [CrossRef]
- Fatah, A.; Bennour, Z.; Ben Mahmud, H.; Gholami, R.; Hossain, M.M. A Review on the Influence of CO2 Shale Interaction on Shale Properties: Implications of CCS in Shales. Energies 2020, 13, 3200. [Google Scholar] [CrossRef]
- Ilgen, A.G.; Aman, M.; Espinoza, D.N.; Rodriguez, M.A.; Griego, J.M.; Dewers, T.A.; Feldman, J.D.; Stewart, T.A.; Choens, R.C.; Wilson, J. Shale-brine-CO2 interactions and the long-term stability of carbonate-rich shale caprock. Int. J. Greenh. Gas. Control 2018, 78, 244–253. [Google Scholar] [CrossRef]
- Credoz, A.; Bildstein, O.; Jullien, M.; Raynal, J.; Pétronin, J.-C.; Lillo, M.; Pozo, C.; Geniaut, G. Experimental and modeling study of geochemical reactivity between clayey caprocks and CO2 in geological storage conditions. Energy Procedia 2009, 1, 3445–3452. [Google Scholar] [CrossRef]
- Kohler, E.; Parra, T.; Vidal, O. Clayey cap-rock behavior in H2O-CO2 media at low pressure and temperature conditions: An experimental approach. Clay Clay Miner. 2009, 57, 616–637. [Google Scholar] [CrossRef]
- Wollenweber, J.; Alles, S.; Busch, A.; Krooss, B.M.; Stanjek, H.; Littke, R. Experimental investigation of the CO2 sealing efficiency of caprocks. Int. J. Greenh. Gas Control 2010, 4, 231–241. [Google Scholar] [CrossRef]
- Nooraiepour, M. Clay Mineral Type and Content Control Properties of Fine-Grained CO2 Caprocks-Laboratory Insights from Strongly Swelling and Non-Swelling Clay-Quartz Mixtures. Energies 2022, 15, 5149. [Google Scholar] [CrossRef]
- Dewhurst, D.N.; Raven, M.D.; Salwani, S.; Md, B.; White, C. Interaction of super-critical CO2 with mudrocks: Impact on composition and mechanical properties. Int. J. Greenh. Gas Control. 2020, 102, 103163. [Google Scholar] [CrossRef]
- Gaus, I.; Azaroual, M.; Czernichowski-Lauriol, I. Reactive transport modelling of the impact of CO2 injection on the clayey cap rock at Sleipner (North Sea). Chem. Geol. 2005, 217, 319–337. [Google Scholar] [CrossRef]
- Dalkhaa, C.; Okandan, E. 2-D numerical modeling of CO2-water-caprock interactions at a potential CO2 storage site in Turkey. Geochem. J. 2013, 47, 499–511. [Google Scholar] [CrossRef]
- Pruess, K.; García, J. Multiphase flow dynamics during CO2 disposal into saline aquifers. Environ. Geol. 2002, 42, 282–295. [Google Scholar] [CrossRef]
- Ma, X.; Cao, X.; Li, L.; Yang, G. Research on the Variation Rule of the Sealing Ability of Caprock under the Condition of Lack of Chlorite. Saf. Environ. Eng. 2014, 21, 10. [Google Scholar]
- Ma, X.; Yang, G.; Yu, Y.; Li, X.; Liu, X. Effect of Clay Mineral Contents on Sealing Capacity of Cap Rock of CO2 Geological Storage. Bull. Mineral. Petrol. Geochem. 2019, 38, 9. [Google Scholar]
- Yang, G.; Li, Y.; Ma, X.; Dong, J. Effect of Chlorite on CO2-Water-Rock Interaction. Saf. Environ. Eng. 2014, 11, 462–472. [Google Scholar]
- Tian, H.; Pan, F.; Xu, T.; McPherson, B.J.; Yue, G.; Mandalaparty, P. Impacts of hydrological heterogeneities on caprock mineral alteration and containment of CO2 in geological storage sites. Int. J. Greenh. Gas Control 2014, 24, 30–42. [Google Scholar] [CrossRef]
- Tian, H.; Xu, T.; Wang, F.; Patil, V.V.; Sun, Y.; Yue, G. A numerical study of mineral alteration and self-sealing efficiency of a caprock for CO2 geological storage. Acta Geotech. 2013, 9, 87–100. [Google Scholar] [CrossRef]
- Wang, K.; Xu, T.; Tian, H.; Wang, F. Impacts of mineralogical compositions on different trapping mechanisms during long-term CO2 storage in deep saline aquifers. Acta Geotech. 2016, 11, 1167–1188. [Google Scholar] [CrossRef]
- Gherardi, F.; Xu, T.; Pruess, K. Numerical modeling of self-limiting and self-enhancing caprock alteration induced by CO2 storage in a depleted gas reservoir. Chem. Geol. 2007, 244, 103–129. [Google Scholar] [CrossRef]
- Kivi, I.R.; Makhnenko, R.Y.; Vilarrasa, V. Two-Phase Flow Mechanisms Controlling CO2 Intrusion into Shaly Caprock. Transp. Porous Media 2022, 141, 771–798. [Google Scholar] [CrossRef]
- Patil, V.V.; McPherson, B.J.; Priewisch, A.; Moore, J.; Moodie, N. Factors affecting self-sealing of geological faults due to CO2-leakage. Greenh. Gases-Sci. Technol. 2017, 7, 273–294. [Google Scholar] [CrossRef]
- Wang, K.; Xu, T.; Wang, F.; Tian, H. Experimental study of CO2-brine-rock interaction during CO2 sequestration in deep coal seams. Int. J. Coal Geol. 2016, 154, 265–274. [Google Scholar] [CrossRef]
- Minardi, A.; Stavropoulou, E.; Kim, T.; Laloui, L. Experimental assessment of the hydro-mechanical behaviour of a shale caprock during CO2 injection. Int. J. Greenh. Gas Control. 2021, 106, 103225. [Google Scholar] [CrossRef]
- Xu, T.F.; Sonnenthal, E.; Spycher, N.; Pruess, K. TOUGHREACT: A simulation program for non-isothermal multiphase reactive geochemical transport in variably saturated geologic media: Applications to geothermal injectivity and CO2 geological sequestration. Comput. Geosci. 2006, 32, 145–165. [Google Scholar] [CrossRef]
- Lasaga, A. Quantum Mechanical Calculations of Potential Surfaces and Applications to Global Change, Mineral Physics and the Kinetic Theory of Petrologic Processes; National Science Foundation: Alexandria, VA, USA, 1994.
- Pham, V.T.H.; Halland, E.K.; Tappel, I.M.; Gjeldvik, I.T.; Riis, F.; Aagaard, P. Long-term behavior of CO2 stored on a large scale in the Utsira Formation, the North Sea, Norwegian Continental Shelf. In Proceedings of the International Conference on Greenhouse Gas Technologies (GHGT), Kyoto, Japan, 18–22 November 2012; pp. 5240–5247. [Google Scholar]




















| Parameters | Reservoir | Caprock |
|---|---|---|
| Rock grain density (kg/m3) | 2600 | 2600 |
| Porosity | 0.197 | 0.062 |
| kz, vertical absolute permeability (m2) | 237 × 10−15 | 0.217 × 10−15 |
| Pressure (MPa) | 15.7 | 14.7 |
| Temperature (°C) | 54.0 | 51.2 |
| Liquid relative permeability, parameters for van Genuchten–Mualem: | ||
| , 1 | ||
| 0.457 | 0.457 | |
| 1.0 | 1.0 | |
| 0.3 | 0.3 | |
| Gas relative permeability, parameters for Corey: | ||
| , 2 | ||
| 0.05 | 0.05 | |
| Capillary pressure, parameters for van Genuchten function: | ||
| 3 | ||
| 0.457 | 0.457 | |
| 0.0 | 0.0 | |
| 1.0 | 1.0 | |
| (Pa) | 1 × 107 | 1.0 × 108 |
| (Pa) | 5.1 × 105 | 1.6 × 107 |
| Content | Caprock (mol/kg H2O) | Reservoir (mol/kg H2O) |
|---|---|---|
| H+ | 0.1573 × 10−9 | 0.4123 × 10−7 |
| Ca2+ | 0.1500 × 10−2 | 0.2714 × 10−2 |
| Mg2+ | 0.5093 × 10−11 | 0.1113 × 10−2 |
| Na+ | 0.6110 × 10−1 | 0.6006 × 10−1 |
| K+ | 0.5671 × 10−5 | 0.3206 × 10−5 |
| Fe2+ | 0.4093 × 10−7 | 0.6694 × 10−6 |
| SiO2(aq) | 0.8827 × 10−2 | 0.1388 × 10−3 |
| HCO3− | 0.2286 × 10−5 | 0.4202 × 10−2 |
| SO42− | 0.1000 × 10−6 | 0.3161 × 10−2 |
| AlO2− | 0.2882 × 10−5 | 0.2729 × 10−5 |
| Cl− | 0.5521 × 10−1 | 0.5195 × 10−1 |
| Tracer | 1.0000 × 10−7 | 1.0000 × 100 |
| Minerals | Caprock (Vol%) | Reservoir (Vol%) |
|---|---|---|
| Calcite | 35 | 2 |
| Quartz | 25 | 48 |
| Illite | 11.5 | 0 |
| Oligoclase | 10 | 20 |
| Smectite-na | 5.75 | 0 |
| K-feldspar | 5 | 30 |
| smectite-ca | 5.75 | 0 |
| Chlorite | 2 | 0 |
| Hematite | 0 | 0 |
| Albite | 0 | 0 |
| Dolomite | 0 | 0 |
| Siderite | 0 | 0 |
| Ankerite | 0 | 0 |
| Muscovite | 0 | 0 |
| Dawsonite | 0 | 0 |
| Anorthite | 0 | 0 |
| Magnesite | 0 | 0 |
| Kaolinite | 0 | 0 |
| Parameters | Upper Part | Lower Part |
|---|---|---|
| Rock grain density (kg/m3) | 2600 | 2600 |
| Porosity | 1.0 | 0.98 |
| Pressure (MPa) | 15.0 | 15.0 |
| Temperature (°C) | 54.0 | 54.0 |
| Gas saturation | 1.0 | 0.0 |
| Volumetric (cm3) | 200 | 300 |
| Minerals | Volume Fraction | Specific Reactive Area (cm2/g) | k25 (mol/m2/s) | ||
|---|---|---|---|---|---|
| Primary Mineral | Original | In This Work | Original | In This Work | |
| Calcite | 0.35 | 9.8 | 9.8 | 1.550 × 10−6 | 1.050 × 10−6 |
| Quartz | 0.25 | 9.8 | 9.8 | 1.023 × 10−14 | 1.023 × 10−14 |
| Illite | 0.11 | 151.6 | 151.6 | 1.660 × 10−13 | 1.660 × 10−13 |
| Oligoclase | 0.10 | 9.8 | 9.8 | 1.445 × 10−12 | 1.445 × 10−12 |
| Smectite-na | 0.055 | 151.6 | 151.6 | 1.660 × 10−13 | 5.660 × 10−13 |
| K-feldspar | 0.05 | 9.8 | 5800 | 3.890 × 10−13 | 3.890 × 10−11 |
| smectite-ca | 0.055 | 151.6 | 151.6 | 1.660 × 10−13 | 5.660 × 10−13 |
| Chlorite | 0.02 | 9.8 | 9.8 | 3.02 × 10−13 | 3.02 × 10−12 |
| Secondary mineral | |||||
| Magnesite | 9.8 | 9.8 | 4.571 × 10−10 | 4.571 × 10−10 | |
| Dolomite | 9.8 | 9.8 | 2.951 × 10−13 | 2.951 × 10−13 | |
| Albite | 9.8 | 9.8 | 2.754 × 10−13 | 2.754 × 10−13 | |
| Siderite | 9.8 | 9.8 | 1.260 × 10−9 | 1.260 × 10−9 | |
| Ankerite | 9.8 | 9.8 | 1.260 × 10−9 | 1.260 × 10−9 | |
| Dawsonite | 10.0 | 10.0 | 1.260 × 10−9 | 1.260 × 10−9 | |
| Hematite | 13.0 | 13.0 | 2.512 × 10−15 | 2.512 × 10−15 | |
| Muscovite | 9.8 | 9.8 | 2.951 × 10−13 | 2.951 × 10−13 | |
| Anorthite | 10.0 | 10.0 | 7.586 × 10−10 | 7.586 × 10−10 | |
| Kaolinite | 10.0 | 10.0 | 6.918 × 10−14 | 6.918 × 10−14 | |
Disclaimer/Publisher’s Note: The statements, opinions and data contained in all publications are solely those of the individual author(s) and contributor(s) and not of MDPI and/or the editor(s). MDPI and/or the editor(s) disclaim responsibility for any injury to people or property resulting from any ideas, methods, instructions or products referred to in the content. |
© 2024 by the authors. Licensee MDPI, Basel, Switzerland. This article is an open access article distributed under the terms and conditions of the Creative Commons Attribution (CC BY) license (https://creativecommons.org/licenses/by/4.0/).
Share and Cite
Yang, S.; Tian, H. Evolution of the Caprock Sealing Capacity Induced by CO2 Intrusion: A Simulation of the Dezhou Dongying Formation. Energies 2024, 17, 5462. https://doi.org/10.3390/en17215462
Yang S, Tian H. Evolution of the Caprock Sealing Capacity Induced by CO2 Intrusion: A Simulation of the Dezhou Dongying Formation. Energies. 2024; 17(21):5462. https://doi.org/10.3390/en17215462
Chicago/Turabian StyleYang, Shuo, and Hailong Tian. 2024. "Evolution of the Caprock Sealing Capacity Induced by CO2 Intrusion: A Simulation of the Dezhou Dongying Formation" Energies 17, no. 21: 5462. https://doi.org/10.3390/en17215462
APA StyleYang, S., & Tian, H. (2024). Evolution of the Caprock Sealing Capacity Induced by CO2 Intrusion: A Simulation of the Dezhou Dongying Formation. Energies, 17(21), 5462. https://doi.org/10.3390/en17215462

