Abstract
CO2–water–rock interactions have an important impact on the stability and integrity of the caprock in CO2 geological storage projects. The injected CO2 in the reservoir enters the caprock via different mechanisms, leading to either the dissolution or precipitation of minerals. The mineral alterations change the porosity, permeability, and mechanical properties of the caprock, affecting its sealing capability. To evaluate the sealing effectiveness of overlying caprock and identify the influencing factors, numerical simulations and experiments were carried out on the mudstone Dongying Formation in Dezhou, China. Based on high-temperature and high-pressure autoclave experiments, batch reaction simulations were performed to obtain some key kinetic parameters for mineral dissolution/precipitation. Then, they were applied to the following simulation. The simulation results indicate that gaseous CO2 has migrated 7 m in the caprock, while dissolved CO2 migrated to the top of the caprock. Calcite is the dominant mineral within 1 m of the bottom of the caprock. The dissolution of calcite increases the porosity from 0.0625 to 0.4, but the overall porosity of the caprock decreases, with a minimum of 0.054, mainly due to the precipitation of montmorillonite and K-feldspar. A sensitivity analysis of the factors affecting the sealing performance of the caprock considered the changes in sealing performance under different reservoir sealing conditions. Sensitivity analysis of the factors affecting the sealing performance of the caprock indicates that the difference in pressure between reservoir and caprock affects the range of CO2 transport and the degree of mineral reaction, and the sealing of the caprock increases with the difference in pressure. Increasing the initial reservoir gas saturation can weaken the caprock’s self-sealing behavior but shorten the migration distance of CO2 within the caprock. When the content is lower than 2%, the presence of chlorite improves the sealing performance of the caprock and does not increase with further chlorite content. This study elucidates the factors that affect the sealing ability of the caprock, providing a theoretical basis for the selection and safety evaluation of CO2 geological storage sites.
1. Introduction
As the global economy develops, environmental issues such as the greenhouse effect caused by the consumption of fossil fuels have become increasingly significant. Climate change is gradually becoming a major threat that humanity faces together, with CO2 playing a crucial role in this change. Geological CO2 storage is a promising method of large-scale and long-term stable method of carbon sequestration to mitigate anthropogenic CO2 emissions from point sources [,,,]. The sites for geological storage of CO2 are mainly chosen in deep saline aquifers [], deep-sea sites, depleted oil and gas reservoirs, and unmineable coal seams. Of these, deep saline aquifers are more widely distributed than other sites and have huge gas storage structures that are more suitable for storing CO2, and therefore have greater potential for storage [,,].
However, after CO2 is sequestered in a saline aquifer, there is a certain risk of leakage [,,,,,]. Leakage paths include (1) wellbores; (2) existing faults and fractures; (3) exceeding the capillary pressure of the cap layer; and (4) diffusion through molecules of CO2 dissolved in water. Leaked CO2 has a negative impact on shallow groundwater systems and the atmosphere [,]. Water-based fracturing or drilling can also have a significant impact on rock sealing capacity and CO2 intrusion [,]. To date, there has been no known leakage from CO2 geological storage projects [].
When the CO2 temperature is greater than 31.1 °C, and the pressure is greater than 7.38 MPa, CO2 is in a supercritical state with high density, low viscosity, and good fluidity, and is therefore more readily injected into the rock formation and in greater quantities. The density of supercritical CO2 is less than that of water, so it gathers more readily at the top of the reservoir due to buoyant force, and the rock at the base of the caprock is in contact with CO2-rich formation water or supercritical CO2 for a long period of time []. After CO2 enters the caprock by different mechanisms [], geochemical reactions with the caprock material lead to changes in its porosity and permeability; this may facilitate or inhibit CO2 transport within the caprock [,]. The caprock is considered to be an important part of the reservoir that prevents the upward transport of CO2, and the long-term stability of the formation itself is an important aspect of the implementation of any geological CO2 storage project [,,,,]. Therefore, the determination of CO2–water–rock interactions within the caprock is extremely important [,].
Several experiments [,,,,,,,] and numerical simulations [,,,,,,,,,,,,] have been reported on studies of CO2–water–rock interactions in the caprock. CO2–water–rock interactions lead to varying degrees of change in the porosity, permeability, and mineral composition of the caprock. The initial composition of the minerals has a significant impact on these reactions. For example, Gherardi et al. [] and Credoz et al. [] believe that calcite is the main mineral influencing changes in caprock porosity and permeability, reacting most intensely within the system. The dissolution of carbonate rocks helps to buffer the acidity of saline water, contributing to the long-term stability and integrity of the caprock. Bildstein et al. [] and Patil et al. [] report that simulations of areas with high calcite volume fractions show significant calcite dissolution at the reservoir–caprock interface, resulting in notable changes in porosity. Gaus et al. [], Tian et al. [] and Wang et al. [] suggest that the precipitation of calcite-like minerals induces self-sealing in the caprock, reducing the CO2 penetration distance []. Ma et al. [] demonstrate that the presence of clay minerals greatly affects the sealing capacity of the caprock, such that higher clay mineral content has a more significant self-sealing effect, with chlorites being particularly influential. The dissolution of chlorite provides Fe2+ and Mg2+ ions to the reaction system, promoting the precipitation of minerals such as magnesite, siderite, and anhydrite, all of which reduce the porosity of the caprock.
In addition to caprock initial conditions, reservoir conditions also influence the migration of CO2. After it is injected into the formation, a large amount of supercritical CO2 disrupts the original equilibrium between saline water and the reservoir/caprock, leading to uncertainties in reservoir pressure response and caprock sealing capacity and integrity. Around wellbores, the type and degree of chemical interaction vary in zones defined by the fluid phase saturation, expressed as the ratio of CO2 volume to saline water volume in the pores.
Around the well, the rock pores are entirely occupied by dry supercritical CO2, followed by a transition zone with varying proportions of two-phase flow, and further out is a saline water zone rich in CO2. A low initial gas saturation (0–0.5) represents the edge of the CO2 injection site, where the aqueous phase is only partially replaced by gas. In this area, relevant mineral changes occur in the aqueous phase between the reservoir and the caprock. High initial gas saturation conditions (0.7–0.9) are considered typical around the injection well, where the main geochemical reactions occur at the front edge of CO2 migration.
The present study is based on the first CO2 geological storage project in Shandong Province. Numerical simulations were performed to assess the impact of mineral changes on the sealing capacity of caprock after CO2 intrusion. Long-term simulation experiments were conducted to study the mechanism under different conditions of mineral transformation triggered by CO2 injection into the formation. The factors affecting the sealing capacity of the caprock were clarified, providing significant insights for CO2 geological storage projects in saline aquifers.
2. Geology of the Study Area
The northwestern Shandong Plain is located within the sedimentary region of the North China Plain, one of the three major subsidence areas in China. Situated in the eastern part of the North China Platform, the region is predominantly covered by Quaternary sediments, except for exposed bedrock in areas such as southern Dong’a, Dashan in Wudi, Jinan, Zibo, and Zouping. Since the Miocene, the area has been slowly subsiding due to differential uplift and subsidence movements, leading to the deposition of thick Cenozoic strata. Influenced by the Himalayan and Yanshan tectonic movements, fault structures have developed in the region. The study area is located in the Dezhou Depression of the northwestern Shandong Plain (see Figure 1), which is a tertiary structural unit. The Paleogene Shahejie Formation at depths of 1700–3200 m contains widespread saline aquifers that offer favorable conditions for CO2 storage. The overlying Dongying Formation, with its nearly 100 m thick strata, serves as a caprock to effectively prevent CO2 leakage.

Figure 1.
Location map of the study area.
3. Model Setting
3.1. Simulator Brief Description
All simulations of this work were carried out using TOUGHREACT V2.0. This software was launched by Lawrence Berkeley National Laboratory, USA, and has been widely used to simulate multiphase flow and reactive transport, as well as the geochemical reaction of fluids with media at different temperatures and pressures.
The dissolution and precipitation of minerals are directly related to the volume change in minerals, which can cause changes in the porosity of porous media, consequently affecting the sealing capacity of the caprock. Therefore, the model considers the changes in porosity, and the relationship is as follows:
where φ is the porosity; nm is the number of minerals; frm is the volume fraction of mineral m in the rock; and fru is the volume fraction of non-reactive rock. As the value of frm of each mineral changes at each time step, the porosity is recalculated. The porosity is not allowed to go below zero.
3.2. Conceptual Model and Boundary Settings
Numerical simulations investigated the CO2–water–rock geochemical process and its long-term effects on the sealing capacity of the caprock after CO2 injection.
The Dongying Formation was selected as the main caprock of the Shahejie Formation on consideration of geological conditions and actual engineering operation. To simplify the problem, this study uses a 1D model to analyze the migration and evolution of CO2 in the caprock, as well as the interaction between water and rock. In accordance with the caprock thickness of the Dongying Formation at the Dezhou drill site, a column with a vertical height of 99.0 m and cross-sectional area of 1.0 m2 was designed (Figure 2). To analyze the changes in mineral volume fraction, porosity, and permeability at the interface between the reservoir and caprock, dense mesh (0.001–1 m) was created at the interface. The boundary at the top of the model was set as having fixed temperature and pressure. Assuming that groundwater does not generate horizontal flow, zero flux boundaries were set around the model, and a larger grid (1020) was set at the base of the model to represent the reservoir itself and to provide stable and sufficient CO2.

Figure 2.
Conceptual model and boundary conditions.
3.3. Thermohydrological Parameters and Initial Conditions
3.3.1. Thermohydrological Parameters
Two types of lithology were considered in the model: sandstone and mudstone. The bottom grid, acting as the reservoir, represented sandstone; the upper grids, treated as the caprock, were mudstone. The physical parameters of the reservoir and caprock were mainly obtained from experimental tests and are summarized in Table 1.

Table 1.
Initial values of physical parameters.
The initial gas saturation Sg of the reservoir (the bottom element of the column) was set to 0.50; the initial Sg of the caprock was set to 0. The temperature of each element was calculated from the geothermal gradient (2.8 °C/100 m); the pressure at the top of the model was set to 14.7 MPa, and the internal pressure of the caprock was then distributed based on hydrostatic pressure calculations. To force CO2 into the caprock, a pressure differential was necessary between the reservoir and the caprock. For this purpose, reservoir pressure was set to 18.7 MPa (ΔP = 3 MPa).
In order to represent the effect on the permeability of the caprock by CO2–water–rock interactions, a simulation on a geologic time scale of 1000 years was conducted.
3.3.2. Initial Chemistry
The component concentrations of the reservoir water were obtained from water sampling reports for the formation water of the Shahejie Formation obtained in Dezhou. The caprock water was obtained from approximate equilibrium water chemistry by performing water–rock interactions on the caprock, and the water chemistry component concentrations were obtained by utilizing chemical equilibrium with a 55 mmol·L−1 NaCl solution at 52 °C and 15 MPa. In addition to these 10 ions, 109 complexes were considered in this system.
Table 2 lists the initial water ionic fractions of the caprock after 1000 years of reaction. In order to trace the fluid leading edge of the reservoir water intrusion into the caprock, a non-reactive tracer of 1 mol·L−1 was added to the reservoir module.

Table 2.
Total dissolved component concentrations (mol·L−1 H2O) for reactive transport simulations.
3.3.3. Initial Mineral Composition
Initial Mineral Composition of the Reservoir
XRD tests indicate that the main mineral composition of the reservoir of the Shahejie Formation is 2% calcite, 48% quartz, 30% K-feldspar, and 20% plagioclase. Experiments showed that, after the reaction of the reservoir rock samples with CO2, the change in Ca2+ in the solution exceeded that of Na+. However, the reservoir contains calcite, and its dissolution also provides Ca2+. It is difficult to determine the ratio of Ca2+ and Na+ dissolved from plagioclase. In most sedimentary basins, plagioclase mainly exists in the form of oligoclase, and many scholars [] have also treated plagioclase as oligoclase in numerical simulations. Therefore, the plagioclase in the reservoir was defined as oligoclase in this simulation.
Initial Mineral Composition of the Caprock
The mineral components obtained by XRD analysis in the experiment cannot be directly used in the geochemical model, although each mineral must be accurately defined for the model. The XRD results combine plagioclase feldspar and clay minerals, which were processed as follows to obtain values for the model:
- Plagioclase: Plagioclase in the caprock is also set as oligoclase.
- A mixture of illite and montmorillonite: The mixture is a kind of clay mineral composition, in which montmorillonite transitions to illite. Therefore, it is impossible to accurately classify the content of montmorillonite and illite. In this simulation, it was assumed that illite and montmorillonite each account for 50% of the mixture. Montmorillonite is subdivided into smectite-Na and smectite-Ca, depending on the main cation species. For the caprock, no stratum water analysis data were available to constrain the relationship between the content of smectite-Na and smectite-Ca; the montmorillonite in the caprock is treated as 50% each of smectite-Na and smectite-Ca. The initial mineral compositions of the reservoir and caprock are shown in Table 3.

Table 3.
Mineralogical compositions of reservoir and caprock.
3.3.4. Thermodynamic and Kinetic Parameters
There are 18 primary and secondary minerals in the system altogether. The thermodynamic data for minerals and gases were taken from the database of the EQ3/6 8.0a software package for geochemical modeling. The reaction rates for kinetically controlled mineral dissolution/precipitation are derived from transition state theory []. Based on high-temperature and high-pressure autoclave experiments, batch reaction simulations were performed to obtain some key kinetic parameters for mineral dissolution/precipitation (e.g., reaction area, the rate constant at 25 °C). The details are given in the following sections.
4. Model Correction
4.1. Experiments Descriptions
In this experiment, using a 500 mL high-temperature and high-pressure reactor (Nantong Huaxing Petroleum Instrument Co., Ltd., ML-500 mL, Nantong, China), the rock samples were taken from 1499 to 1570 m in Well ZK01, Dongying Formation, Dezhou. A 15 g sample and 300 mL (0.055 mol·L−1) of NaCl solution were placed in the reactor and then filled with CO2 to raise the pressure of the reactor to 15 MPa. Batch reactions were carried out for 1, 3, 5, 7, 9 days at 54 °C. The concentration of each ion in the solution was tested by atomic absorption spectroscopy and ICP-MS after sampling at the end of the experiments.
4.2. Model Settings for Experiments
A geometric model was established based on the actual dimensions of the autoclave (Figure 3 and Figure 4). The model was divided into two parts: the upper part with a volume of 200 mL was saturated with supercritical CO2 as the source of CO2 in the reaction, and the porosity was set to 1.0 to represent all the CO2 in the supercritical state. The lower part, with a volume of 300 mL, was saturated with salty water. The porosity of this part was calculated to be 0.98 based on a water-rock ratio of 20:1 (mass ratio), and the initial gas saturation was set to 1.0. The whole model was a closed system, and all boundaries were set as impermeable.

Figure 3.
Experimental equipment.

Figure 4.
Conceptual model.
Settings were a constant pressure of 15 MPa and a temperature of 54 °C; the simulation processes were all isothermal. The physical and hydrological parameters of the model are listed in Table 4.

Table 4.
Initial physical parameters.
The initial chemical components in the simulation were set according to the NaCl solution with a concentration of 0.055 mol·L−1 configured during the operation of the experiment, with initial values of Na+ and Cl− concentrations being 0.055 mol·L−1. The other components were given extremely small values (e.g., 10−7 mol·kg−1 H2O).
The initial composition of the minerals is consistent with Section Initial Mineral Composition of the Caprock.
4.3. Obtaining Kinetic Parameters for Minerals
In this study, the kinetic parameters (specific reaction area and reaction rate constant at 25 °C, k25) used to predict the precipitation/dissolution of minerals involved in the geochemical system were obtained experimentally.
The model simulation time was 9 days, consistent with the experiments. The kinetic parameters were obtained by comparing simulated and measured component concentrations in experiments, as shown in Figure 5.

Figure 5.
Measured and simulated results of experiments.
Figure 5a shows that Ca2+ increased significantly after the reaction. At the same time, the XRD analysis shows a decrement in the volume fraction of calcite among Ca2+-bearing minerals. Therefore, the change in Ca2+ was used to derive the reaction kinetic parameters of calcite. As shown in Figure 5b,c, Fe2+ and Mg2+ both increased with the experiment time. Simultaneously, XRD analysis found that chlorite was dissolved, providing Fe2+ and Mg2+ for the reaction system. Therefore, Fe2+ and Mg2+ values were used to calculate the reaction parameters of chlorite. Similarly, the reaction parameters of K-feldspar (the main K-bearing mineral in the geochemical system) were estimated from the change in K+ (Figure 5d) in the reaction solution.
Specific reaction area and k25 of minerals were determined by adjusting them until the simulated Ca2+, Fe2+, Mg2+, and K+ were in good agreement with the measured values (Figure 5). The obtained parameters are summarized in Table 5.

Table 5.
Mineral composition and kinetic parameters used in simulations.
5. Results and Discussion
5.1. Intrusion of CO2 into the Caprock
When a pressure difference is present between the reservoir and the caprock, CO2 and the reservoir water enter the caprock. The presence of CO2 affects the alteration between the minerals in the caprock, influencing its sealing efficiency. When setting the model pressure, to ensure that the CO2 entering the caprock infiltrates the formation without spilling over the top boundary of the caprock model, ΔP between the reservoir and the caprock was set to 3 MPa.
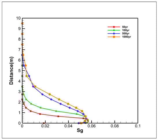
Figure 6 shows the variation in gaseous CO2 saturation in the caprock over time and space for a reservoir–caprock pressure difference of 3 MPa and an initial reservoir gas saturation of 0.5. After 50 years, CO2 migrates upward to a depth of 2.2 m and a maximum saturation of 0.056. After 100 years, it rises to 3.5 m; after 500 years, it reaches 6.5 m. By 1000 years, the gaseous CO2 has migrated to the reservoir–caprock interface at a depth of 7 m, with the maximum saturation remaining at 0.056. However, the maximum saturation of gaseous CO2 does not occur in the lowest grid cell. After 50 years, the gaseous CO2 saturation in the first grid cell at the reservoir–caprock interface is only 0.02, indicating that water from the reservoir enters the caprock along with CO2 when the saturation is 0.5.

Figure 6.
Distributions of gas saturation in the caprock.
After CO2 intrudes into the caprock under the influence of pressure difference, capillary action, and diffusion, it dissolves in the caprock water. Dissolved CO2 then migrates upward, driven by concentration gradients or water flow. As shown in Figure 7, the dissolved CO2 migrated more rapidly than gaseous CO2.

Figure 7.
(a) Distributions of dissolved CO2; (b) pH changes with time and space.
5.2. Mineral Alteration Induced by CO2 Intrusion
The acidification of caprock water directly affects the chemical reactions between caprock minerals and caprock water. Calcite is the most affected mineral when the pH decreases (Figure 8a). Within 1 m above the reservoir–caprock interface, calcite dissolves extensively, with a maximum dissolution volume of 0.33. The dissolved Ca2+ and CO3− ions migrate upward by diffusion, mitigating the pH decrease in the upper caprock to some extent. These ions also combine with other minerals to form new mineral precipitates in the upper caprock. This conclusion is consistent with that of Gherardi et al. [].

Figure 8.
Volume changes in calcite and other minerals: (a) calcite; (b) other minerals.
The dissolution of calcite is given by
Figure 8b shows the minerals, other than calcite, that experience significant dissolution and precipitation in the model. The primary dissolving minerals are oligoclase and illite, while the primary precipitating minerals are smectite-Na, smectite-Ca, and K-feldspar. The main secondary precipitating minerals are dawsonite and kaolinite, with minor amounts of chlorite dissolving and muscovite and siderite precipitating. Kaolinite acts as an intermediate product of mineral dissolution and precipitation. Mg2+ from the dissolution of kaolinite and illite reacts with Ca2+ and Na+ from the dissolution of oligoclase to form smectite-Ca and smectite-Na, respectively. The dissolution of kaolinite and illite also leads to K-feldspar precipitation due to the release of K+. Na+ combines with K-feldspar and kaolinite to form dawsonite precipitates. Since K-feldspar is in a precipitated state, it is inferred that the precipitation of dawsonite is due to the presence of kaolinite. The volume fraction distribution of kaolinite and dawsonite in Figure 8b supports this conclusion.
The dissolution of oligoclase:
The precipitation of dawsonite:
The volume fractions of mineral dissolution and precipitation in the caprock are relatively stable, with slight differences near the reservoir. This is due to the extensive dissolution of calcite at the reservoir–caprock interface, releasing Ca2+ and leading to the saturation and precipitation of smectite-Ca, consuming significant amounts of Mg2+.
5.3. Evolution of Caprock Sealing Efficiency (Porosity)
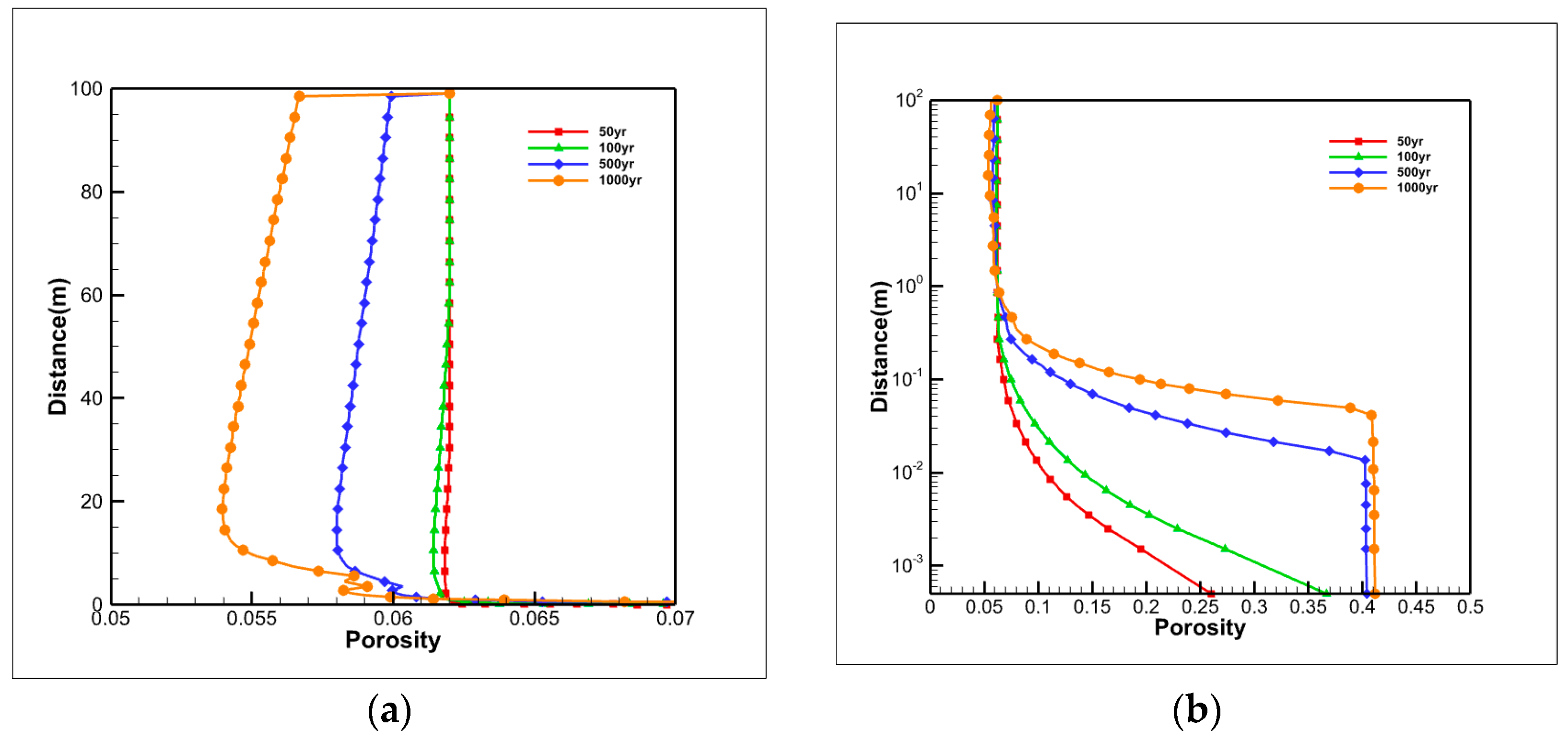
The dissolution and precipitation of minerals directly affect the porosity and thereby the permeability of caprock. As shown in Figure 9, the changes in porosity at the reservoir–caprock interface are mainly caused by the dissolution of calcite. Within 1 m above the reservoir–caprock interface, the porosity increases from 0.062 to 0.4 at 1000 years, expanding nearly sevenfold. However, above this range, the porosity of the caprock decreases: more than 1 m from the interface, porosity decreases on average by 0.007, enhancing the sealing ability of the caprock.

Figure 9.
Changes in porosity at different coordinates: (a) Cartesian coordinate; (b) logarithmic coordinate.
Combining the changes in porosity and minerals, the increase in porosity at 0–1 m in the caprock is controlled by calcite dissolution. The porosity of the caprock decreases continuously from 1 to 99 m, mainly due to the precipitation of smectite-Ca and smectite-Na.
5.4. Sensitivity Analysis to the Caprock Sealing Efficiency
In Section 3.3, the pressure gradient between caprock and reservoir, the gas saturation of invading fluid, and the mineral composition were set by trial and error, together with averaged and measured data on limited numbers of samples. However, in the field these parameters are always changing, which indicates the need for special estimates of these influencing parameters.
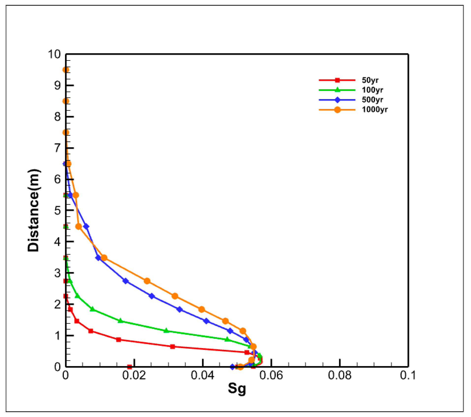
5.4.1. Impact of Pressure Difference
In the millennial-scale simulations for four different pressure difference conditions, gaseous CO2 did not breach the caprock in any scenario. In Figure 10, after 1000 years, the maximum vertical migration distances at pressure differences of 1, 2, 3, and 4 MPa were approximately 3, 4, 7, and 9 m, respectively. For different injection pressures, the migration distance of dissolved CO2 in the caprock was much greater than for gaseous CO2. After 1000 years, at ΔP = 1 MPa, dissolved CO2 had migrated upward by 60 m; at ΔP = 2 MPa, dissolved CO2 had reached the caprock edge; and for greater pressure differences, dissolved CO2 breached the layer. Even if the migration range of supercritical CO2 is relatively small, excessive pressure still poses the risk of dissolved CO2 breaching the caprock. In actual field conditions, part of the CO2 dissolves in water, and part converts into minerals, becoming solid, gradually reducing reservoir pressure. However, in the simulations, the reservoir pressure remains constant, simulating the caprock sealing capacity under maximum risk conditions. In reality, the leakage risk is much lower than in the model; for example, at the Sleipner field in the North Sea off Norway, the reservoir pressure is only slightly higher than the hydrostatic pressure [].

Figure 10.
Changes in the cap environment under different pressure conditions: (a) Sg; (b) dissolved carbon dioxide.
In Figure 11, the geochemical reactions occurring under different pressure conditions are the same, differing only in their range of variation. The extent of mineral changes is similar to the distribution range of dissolved CO2. At ΔP = 1 MPa, the change in smectite-Ca is slightly different: at the top of the caprock, smectite-Ca dissolves rather than precipitates, even although CO2 has not migrated to the top of the caprock by this time. To explore the impact of reservoir formation water on the caprock, a non-reactive tracer of 1 mol·kg−1 H2O was added to the model reservoir. The reservoir water, influenced by the pressure gradient, migrates faster than CO2. Therefore, the dissolution of smectite-Ca at the top of the caprock is affected by the ionic components from the reservoir.

Figure 11.
Changes in mineral volume under different pressure conditions: (a) Oligoclase; (b) Smectite-Ca.
The decrease in porosity at the reservoir–caprock interface is mainly influenced by the dissolution of calcite. As the reservoir pressure increases, the range of calcite dissolution expands. At positions more than 1 m above the interface, the range of porosity reduction in the caprock increases with increasing pressure, with the minimum porosity value remaining the same at 0.054. At ΔP = 1 MPa, influenced by the dissolution of smectite-Ca, the porosity of the caprock slightly increases at 50 m. Figure 10b and Figure 12 indicate that, as the pressure increases, the solubility of CO2 increases, accelerating the CO2–water–rock interaction process and enhancing the caprock self-sealing ability. Although dissolved CO2 will theoretically break through the caprock when the pressure difference exceeds 2 MPa, in practice, as the pressure gradually decreases, CO2 is captured by minerals and the risk of leakage decreases.

Figure 12.
Changes in porosity for different pressure conditions at 1000 years.
5.4.2. Impact of Gas Saturation Sg
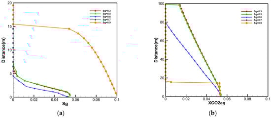
Low initial gas saturation (0–0.5) represents the edge of the CO2 injection site, where the aqueous phase is only partly replaced by gas, and the associated mineralogical changes occur in the aqueous phase between the reservoir and caprock. High initial gas saturation conditions (0.7–0.9) are considered typical around injection wells, where the main geochemical reactions occur at the leading edge of CO2 transport.
As the initial CO2 saturation increases, the migration range of gaseous CO2 in the caprock decreases at first and then increases (see Figure 13a). When the initial saturation is between 0.3 and 0.5, CO2 migrates 6 m in 1000 years. After this, the migration range decreases until the Sg reaches 0.6, which the migration distance reduced to 4.5 m. When the Sg increases to 0.7, the migration distance reaches 15 m. In the model, the is set to 0.3. When the initial reservoir saturation is equal to 0.7 and 0.9, their curves are the same (Figure 13, Figure 14, Figure 15 and Figure 16), while there is no free-moving water in the reservoir, simulating a situation where the near-wellbore formation water is entirely displaced by CO2, forming a CO2 ‘gasbag’. At higher CO2 saturation levels in the reservoir, the reservoir exhibits greater capillary forces, causing water in the caprock to be drawn into the reservoir.

Figure 13.
CO2 transport under different saturation conditions at 1000 years: (a) Sg; (b) Dissolved carbon dioxide.

Figure 14.
Pressure difference between caprock and hydrostatic pressure at 1000 years.

Figure 15.
Changes in mineral volume: (a) smectite-Ca; (b) smectite-Na; (c) dawconite.

Figure 16.
Changes in porosity.
The migration distance of CO2 in the caprock is not positively correlated with the gas saturation of the reservoir. The following analysis addresses this phenomenon. According to the gas relative permeability model, the increases with the increasing Sg; therefore, CO2 migration distance should have an increasing trend. In Figure 14, it is seen that the pressure gradient causes the CO2 to enter the caprock and accumulate at the bottom of the caprock until it exceeds the reservoir pressure. Due to the presence of capillary force, more water in the caprock is drawn into the reservoir, creating more space at the base of the caprock to accommodate CO2. Therefore, increasing saturation causes the pressure at the bottom of the caprock to decrease, which is not conducive to the upward migration of CO2. Under the influence of the two factors, a phenomenon has emerged where the migration distance first decreases and then increases with increasing saturation.
CO2 must dissolve in water to form carbonic acid before it can react with minerals in the caprock. Depending on its distribution, mineral changes differ significantly between high and low gas saturation levels. When the gas saturation (Sg) is below 0.7, calcite is the primary dissolved mineral, and the changes in porosity are mainly influenced by calcite. When Sg > 0.7, calcite dissolves by only 0.007 and is no longer the main dissolved mineral. Without sufficient Ca provided by calcite, both smectite-Ca and smectite-Na reach saturation and precipitate, as smectite-Ca and smectite-Na precipitate in a 1:1 ratio. The Na+ produced by the dissolution of oligoclase is not fully consumed, so it reacts with kaolinite to form dawsonite (see Figure 15).
Due to the significant differences in mineral dissolution and precipitation reactions, the changes in porosity when Sg > 0.7 are entirely different from those when Sg < 0.7 (see Figure 16). When Sg exceeds 0.7, the range of porosity change is consistent with the migration range of dissolved CO2, concentrating within a 20 m range, and porosity continuously decreases, reducing to 0.054 after 1000 years, a decrease of 0.008. When Sg is less than 0.7, the range of porosity reduction diminishes as saturation increases. From this, it is concluded that, after CO2 enters the caprock, a self-sealing phenomenon develops in the caprock. Figure 16 shows that a smaller Sg value results in stronger self-sealing behavior in the caprock.
5.4.3. Impacts of Chlorite Volume Fraction
In the base model, the volume fraction of chlorite is set at 2%. To investigate the impact of chlorite on the sealing capacity of the caprock, the volume fractions of chlorite were varied to 0, 2, and 4%. The different chlorite contents do not change the properties of dissolution or precipitation of other minerals in the model, but they alter the volume of dissolved or precipitated minerals. The model results show that the dissolved minerals include illite, oligoclase, and chlorite (Figure 17). All three minerals dissolve to form kaolinite and other ions (e.g., chlorite dissolves to form Fe2+ and Mg2+, illite generates Mg2+ and K+, and oligoclase generates Ca2+ and Na+). Kaolinite is required for the precipitation of minerals such as dawsonite, K-feldspar, muscovite, smectite-Na, and smectite-Ca. As the volume fraction of chlorite increases, the dissolution of chlorite and oligoclase increases while that of illite decreases. It can be determined that there is an increase in Fe2+, Ca2+, and Na+ in the system, and K+ decreases, but Mg2+ and kaolinite cannot be determined. Therefore, the following analysis is made on the changes in minerals in the simulation results. The increase in Fe2+ leads to an increase in siderite, and the precipitation of K-feldspar and muscovite decreases due to the reduction in K+. When the volume fraction of chlorite is 0, kaolinite still exists at 1000 years (Figure 18a), and the concentration of Ca2+ at the top of the caprock is higher than in the other two cases, indicating that Mg2+ was consumed first.

Figure 17.
Volume change in dissolved minerals: (a) chlorite; (b) illite; (c) oligoclase.

Figure 18.
Changes in mineral composition: (a) kaolinite; (b) calcite; (c) smectite-Na; (d) smectite-Ca.
According to the dissolution equation of oligoclase, the Na+ generated by the dissolution of oligoclase is four times that of Ca2+, so the concentration in caprock of Na+ is much higher than that of Ca2+ (Figure 19). Due to the dissolution of calcite in the lower part of the caprock and precipitation in the upper part, the concentration of Ca2+ in the lower caprock is larger than that in the upper caprock. The existence of pressure difference between the reservoir and caprock causes reservoir water to enter the caprock with CO2, mixing with caprock water and diluting the Na+ concentration in it, so smectite-Na precipitates more in the upper caprock. At the same time, the precipitation of smectite-Na consumes kaolinite, which inhibits the precipitation of smectite-Ca. As the amount of chlorite increases, the concentration of Na+ doubles (Figure 19a), so this phenomenon becomes more obvious.

Figure 19.
Changes in ion concentration: (a) Na+; (b) Ca2+.
Calcite dissolves extensively in the lowest region of the caprock, resulting in increased porosity in the caprock between 0 and 1 m. Within the range of 1–99 m in the caprock, following CO2 injection, the caprock exhibits the self-sealing effect, and the porosity decreases accordingly. Contrary to the conclusions of Ma X. et al. [], the amount of porosity reduction did not increase with higher chlorite content. The maximum porosity change occurs at a chlorite volume fraction of 2%, and the changes in porosity are roughly similar when the chlorite volume fraction is 0 or 4%, with the lowest porosity reaching 0.055 (see Figure 20).

Figure 20.
Changes in porosity under chlorite-free conditions.
6. Conclusions
In this work, the effect of CO2 on the sealing performance of the caprock was investigated using a combination of experiments and simulations, and the factors that have an impact on the sealing performance of the caprock were identified using a one-dimensional model. Based on the above experimental and simulation results, the following conclusions are drawn:
- Under the conditions of this study, after CO2 enters the caprock by convection, the dissolution reaction reduces its sealing ability, while molecular diffusion reduces the porosity in the upper part of the caprock. Both of these effects are mainly controlled by the dissolution/precipitation of calcite. The entry of CO2 into the caprock acidifies the formation of water and reduces the pH, which creates the conditions for the dissolution of minerals. Among them, Ca2+ and CO3− from calcite dissolution were transported upward by the concentration gradient effect, which effectively mitigated the decrease in pH in the upper part.
- CO2 causes the dissolution of minerals (e.g., calcite, chlorite, oligoclase, and illite) and precipitation of other minerals (e.g., smectite-Na, smectite-Ca, and K-feldspar) in the caprock, including the formation of secondary minerals (e.g., kaolinite, dolomite, and dawsonite). Kaolinite acts as an intermediate product of mineral dissolution and precipitation. Magnesium (Mg) released from the dissolution of illite and calcium (Ca) from the dissolution of oligoclase combine to form smectite-Ca and smectite-Na. Potassium ions (K+) from the dissolution of illite combine with sodium ions (Na+) to form dawsonite.
- Different pressure differentials affect only the rate and range of gaseous CO2 and dissolved CO2 migration. At pressure differentials of 1, 2, 3, and 4 MPa, after 1000 years, the gaseous CO2 migrates to 3, 4, 7, and 9 m, respectively. The type of mineral reactions is not influenced by pressure, but because the migration rate of reservoir water is faster than dissolved CO2, smectite-Ca in the caprock first dissolves and then precipitates. As the pressure increases, the solubility of CO2 increases, accelerating the CO2–water–rock interaction process and enhancing the caprock self-sealing ability.
- As the initial saturation of the reservoir increases, the migration distance of gaseous CO2 in the caprock first decreases and then increases, while the migration distance of dissolved CO2 continuously decreases. At higher saturation levels, the reservoir exhibits higher capillary pressure, making it difficult for the formation of water to migrate upward. When the saturation Sg exceeds 0.7, calcite in the caprock is no longer the primary dissolved mineral and cannot provide calcium ions for the precipitation of smectite-Ca, and the range of porosity change aligns with the migration range of dissolved CO2, concentrating within 20 m. When Sg is less than 0.7, the range of porosity reduction decreases as saturation increases. Therefore, the smaller Sg increases the self-sealing ability of the caprock.
- Changes in the volume fraction of chlorite did not alter the types of chemical reactions in the model but affected only the volumes of dissolution or precipitation of other minerals. The presence of chlorite reduced the porosity of the caprock and enhanced its sealing capability, but the extent of porosity reduction does not increase with a higher volume fraction of chlorite; the critical fraction is about 2%.
Author Contributions
Conceptualization—formal analysis and software, H.T. and S.Y.; data curation—investigation and methodology, S.Y.; funding acquisition—project administration and resources, H.T.; validation—visualization and writing—original draft, S.Y.; supervision, H.T.; writing—review and editing, H.T. and S.Y. All authors have read and agreed to the published version of the manuscript.
Funding
This work was performed in support of the National Natural Science Foundation of China (Grant No. 42141013), and Jilin Province Science and Technology Department Development Plan Project (Grant No. YDZJ202401330ZYTS).
Data Availability Statement
No new data were created or analyzed in this study. Data sharing is not applicable to this article.
Acknowledgments
The authors would like to thank the Key Laboratory of Groundwater Re-sources and Environment, the Ministry of Education, Jilin University for financial support and facilities, and the National Natural Science Foundation of China for financial support.
Conflicts of Interest
The authors declare no conflicts of interest.
References
- Bachu, S.; Bonijoly, D.; Bradshaw, J.; Burruss, R.; Holloway, S.; Christensen, N.P.; Mathiassen, O.M. CO2 storage capacity estimation: Methodology and gaps. Int. J. Greenh. Gas Control. 2007, 1, 430–443. [Google Scholar] [CrossRef]
- Holloway, S. Underground sequestration of carbon dioxide—A viable greenhouse gas mitigation option. Erengy 2005, 30, 2318–2333. [Google Scholar] [CrossRef]
- Zhang, J.; Sun, Y. Prospects on carbon capture and storage (CCS) development. Recycl. Resour. Circ. Econ. 2013, 6, 4. [Google Scholar]
- Aminu, M.D.; Nabavi, S.A.; Rochelle, C.A.; Manovic, V. A review of developments in carbon dioxide storage. Appl. Energy 2017, 208, 1389–1419. [Google Scholar] [CrossRef]
- Diao, Y.; Zhang, S.; Guo, J.; Li, X.; Zhang, H. Geological safety evaluation method for CO2 geological storage in deep saline aquifer. Geol. China 2011, 38, 7. [Google Scholar]
- Yang, W.; Shi, Q. Overview of Geological Storage Potential Evaluation of CO2. West-China Explor. Eng. 2016, 28, 4. [Google Scholar]
- Busch, A.; Hangx, S.J.T.; Marshall, J.D.; Wentinck, H.M. Swelling clay minerals and containment risk assessment for the storage seal of the Peterhead CCS project. Int. J. Greenh. Gas Control. 2020, 94, 102924. [Google Scholar] [CrossRef]
- Todaka, N.; Nakanishi, S.; Xu, T.; Pruess, K. Hydrogeochemical Modeling for Natural Analogue Study of CO2 Leakage due to Matsushiro Earthquake Swarm. Energy Procedia 2009, 1, 2413–2420. [Google Scholar] [CrossRef][Green Version]
- Bildstein, O.; Jullien, M.; Crédoz, A.; Garnier, J. Integrated modeling and experimental approach for caprock integrity, risk analysis, and long term safety assessment. Energy Procedia 2009, 1, 3237–3244. [Google Scholar] [CrossRef]
- Alemu, B.L.; Aagaard, P.; Munz, I.A.; Skurtveit, E. Caprock interaction with CO2: A laboratory study of reactivity of shale with supercritical CO2 and brine. Appl. Geochem. 2011, 26, 1975–1989. [Google Scholar] [CrossRef]
- Pruess, K. On CO2 fluid flow and heat transfer behavior in the subsurface, following leakage from a geologic storage reservoir. Environ. Geol. 2007, 54, 1677–1686. [Google Scholar] [CrossRef]
- Angeli, M.; Soldal, M.; Skurtveit, E.; Aker, E. Experimental percolation of supercritical CO2 through a caprock. Energy Procedia 2009, 1, 3351–3358. [Google Scholar] [CrossRef]
- Al-Traboulsi, M.; Sjögersten, S.; Colls, J.; Steven, M.; Black, C. Potential impact of CO2 leakage from Carbon Capture and Storage (CCS) systems on growth and yield in maize. Plant Soil. 2013, 365, 267–281. [Google Scholar] [CrossRef]
- Li, Q.; Li, Q.; Wang, F.; Wu, J.; Wang, Y. The Carrying Behavior of Water-Based Fracturing Fluid in Shale Reservoir Fractures and Molecular Dynamics of Sand-Carrying Mechanism. Processes 2024, 12, 2051. [Google Scholar] [CrossRef]
- Li, Q.; Li, Q.; Han, Y. A Numerical Investigation on Kick Control with the Displacement Kill Method during a Well Test in a Deep-Water Gas Reservoir: A Case Study. Processes 2024, 12, 2090. [Google Scholar] [CrossRef]
- Vafaie, A.; Cama, J.; Soler, J.M.; Kivi, I.R.; Vilarrasa, V. Chemo-hydro-mechanical effects of CO2 injection on reservoir and seal rocks: A review on laboratory experiments. Renew. Sustain. Energy Rev. 2023, 178, 113270. [Google Scholar] [CrossRef]
- Bowden, A.R.; Rigg, A. Assessing reservoir performance risk in CO2 storage projects. In Greenhouse Gas Control Technologies: Proceedings of the 7th International Conference on Greenhouse Control Technologies, 5–9 September 2004, Vancouver, BC, Canada; Elsevier: Amsterdam, The Netherlands, 2005. [Google Scholar]
- Xu, T.; Zheng, L.; Tian, H. Reactive transport modeling for CO2 geological sequestration. J. Pet. Sci. Eng. 2011, 78, 765–777. [Google Scholar] [CrossRef]
- Jayasekara, D.W.; Ranjith, P.G.; Wanniarachchi, W.A.M.; Rathnaweera, T.D. Understanding the chemico-mineralogical changes of caprock sealing in deep saline CO2 sequestration environments: A review study. J. Supercrit. Fluids 2020, 161, 104819. [Google Scholar] [CrossRef]
- Chen, B.; Wang, R.; Li, Q.; Zhou, Y.; Tan, Y.; Dai, Q.; Zhang, Y. Status and Advances of Research on Caprock Sealing Properties of CO2 Geological Storage. Geol. J. China Univ. 2023, 29, 85–99. [Google Scholar]
- Li, Z.; Lv, Y.; Liu, B. Numerical Simulation of CO2 Migration and Geochemical Reactions in Shihezi Formation Caprock, China. Energies 2023, 16, 92. [Google Scholar] [CrossRef]
- Zappone, A.; Rinaldi, A.P.; Grab, M.; Wenning, Q.C.; Roques, C.; Madonna, C.; Obermann, A.C.; Bernasconi, S.M.; Brennwald, M.S.; Kipfer, R.; et al. Fault sealing and caprock integrity for CO2 storage: An in situ injection experiment. Solid. Earth 2021, 12, 319–343. [Google Scholar] [CrossRef]
- Xiao, T.; Xu, H.; Moodie, N.; Esser, R.; Mcpherson, B. Chemical-Mechanical Impacts of CO2 Intrusion Into Heterogeneous Caprock. Water Resour. Rev. 2020, 56, e2020WR027193. [Google Scholar] [CrossRef]
- Raziperchikolaee, S.; Kelley, M.; Gupta, N. A screening framework study to evaluate CO2 storage performance in single and stacked caprock-reservoir systems of the Northern Appalachian Basin. Greenh. Gases-Sci. Technol. 2019, 9, 582–605. [Google Scholar] [CrossRef]
- Fatah, A.; Bennour, Z.; Ben Mahmud, H.; Gholami, R.; Hossain, M.M. A Review on the Influence of CO2 Shale Interaction on Shale Properties: Implications of CCS in Shales. Energies 2020, 13, 3200. [Google Scholar] [CrossRef]
- Ilgen, A.G.; Aman, M.; Espinoza, D.N.; Rodriguez, M.A.; Griego, J.M.; Dewers, T.A.; Feldman, J.D.; Stewart, T.A.; Choens, R.C.; Wilson, J. Shale-brine-CO2 interactions and the long-term stability of carbonate-rich shale caprock. Int. J. Greenh. Gas. Control 2018, 78, 244–253. [Google Scholar] [CrossRef]
- Credoz, A.; Bildstein, O.; Jullien, M.; Raynal, J.; Pétronin, J.-C.; Lillo, M.; Pozo, C.; Geniaut, G. Experimental and modeling study of geochemical reactivity between clayey caprocks and CO2 in geological storage conditions. Energy Procedia 2009, 1, 3445–3452. [Google Scholar] [CrossRef]
- Kohler, E.; Parra, T.; Vidal, O. Clayey cap-rock behavior in H2O-CO2 media at low pressure and temperature conditions: An experimental approach. Clay Clay Miner. 2009, 57, 616–637. [Google Scholar] [CrossRef]
- Wollenweber, J.; Alles, S.; Busch, A.; Krooss, B.M.; Stanjek, H.; Littke, R. Experimental investigation of the CO2 sealing efficiency of caprocks. Int. J. Greenh. Gas Control 2010, 4, 231–241. [Google Scholar] [CrossRef]
- Nooraiepour, M. Clay Mineral Type and Content Control Properties of Fine-Grained CO2 Caprocks-Laboratory Insights from Strongly Swelling and Non-Swelling Clay-Quartz Mixtures. Energies 2022, 15, 5149. [Google Scholar] [CrossRef]
- Dewhurst, D.N.; Raven, M.D.; Salwani, S.; Md, B.; White, C. Interaction of super-critical CO2 with mudrocks: Impact on composition and mechanical properties. Int. J. Greenh. Gas Control. 2020, 102, 103163. [Google Scholar] [CrossRef]
- Gaus, I.; Azaroual, M.; Czernichowski-Lauriol, I. Reactive transport modelling of the impact of CO2 injection on the clayey cap rock at Sleipner (North Sea). Chem. Geol. 2005, 217, 319–337. [Google Scholar] [CrossRef]
- Dalkhaa, C.; Okandan, E. 2-D numerical modeling of CO2-water-caprock interactions at a potential CO2 storage site in Turkey. Geochem. J. 2013, 47, 499–511. [Google Scholar] [CrossRef]
- Pruess, K.; García, J. Multiphase flow dynamics during CO2 disposal into saline aquifers. Environ. Geol. 2002, 42, 282–295. [Google Scholar] [CrossRef]
- Ma, X.; Cao, X.; Li, L.; Yang, G. Research on the Variation Rule of the Sealing Ability of Caprock under the Condition of Lack of Chlorite. Saf. Environ. Eng. 2014, 21, 10. [Google Scholar]
- Ma, X.; Yang, G.; Yu, Y.; Li, X.; Liu, X. Effect of Clay Mineral Contents on Sealing Capacity of Cap Rock of CO2 Geological Storage. Bull. Mineral. Petrol. Geochem. 2019, 38, 9. [Google Scholar]
- Yang, G.; Li, Y.; Ma, X.; Dong, J. Effect of Chlorite on CO2-Water-Rock Interaction. Saf. Environ. Eng. 2014, 11, 462–472. [Google Scholar]
- Tian, H.; Pan, F.; Xu, T.; McPherson, B.J.; Yue, G.; Mandalaparty, P. Impacts of hydrological heterogeneities on caprock mineral alteration and containment of CO2 in geological storage sites. Int. J. Greenh. Gas Control 2014, 24, 30–42. [Google Scholar] [CrossRef]
- Tian, H.; Xu, T.; Wang, F.; Patil, V.V.; Sun, Y.; Yue, G. A numerical study of mineral alteration and self-sealing efficiency of a caprock for CO2 geological storage. Acta Geotech. 2013, 9, 87–100. [Google Scholar] [CrossRef]
- Wang, K.; Xu, T.; Tian, H.; Wang, F. Impacts of mineralogical compositions on different trapping mechanisms during long-term CO2 storage in deep saline aquifers. Acta Geotech. 2016, 11, 1167–1188. [Google Scholar] [CrossRef]
- Gherardi, F.; Xu, T.; Pruess, K. Numerical modeling of self-limiting and self-enhancing caprock alteration induced by CO2 storage in a depleted gas reservoir. Chem. Geol. 2007, 244, 103–129. [Google Scholar] [CrossRef]
- Kivi, I.R.; Makhnenko, R.Y.; Vilarrasa, V. Two-Phase Flow Mechanisms Controlling CO2 Intrusion into Shaly Caprock. Transp. Porous Media 2022, 141, 771–798. [Google Scholar] [CrossRef]
- Patil, V.V.; McPherson, B.J.; Priewisch, A.; Moore, J.; Moodie, N. Factors affecting self-sealing of geological faults due to CO2-leakage. Greenh. Gases-Sci. Technol. 2017, 7, 273–294. [Google Scholar] [CrossRef]
- Wang, K.; Xu, T.; Wang, F.; Tian, H. Experimental study of CO2-brine-rock interaction during CO2 sequestration in deep coal seams. Int. J. Coal Geol. 2016, 154, 265–274. [Google Scholar] [CrossRef]
- Minardi, A.; Stavropoulou, E.; Kim, T.; Laloui, L. Experimental assessment of the hydro-mechanical behaviour of a shale caprock during CO2 injection. Int. J. Greenh. Gas Control. 2021, 106, 103225. [Google Scholar] [CrossRef]
- Xu, T.F.; Sonnenthal, E.; Spycher, N.; Pruess, K. TOUGHREACT: A simulation program for non-isothermal multiphase reactive geochemical transport in variably saturated geologic media: Applications to geothermal injectivity and CO2 geological sequestration. Comput. Geosci. 2006, 32, 145–165. [Google Scholar] [CrossRef]
- Lasaga, A. Quantum Mechanical Calculations of Potential Surfaces and Applications to Global Change, Mineral Physics and the Kinetic Theory of Petrologic Processes; National Science Foundation: Alexandria, VA, USA, 1994.
- Pham, V.T.H.; Halland, E.K.; Tappel, I.M.; Gjeldvik, I.T.; Riis, F.; Aagaard, P. Long-term behavior of CO2 stored on a large scale in the Utsira Formation, the North Sea, Norwegian Continental Shelf. In Proceedings of the International Conference on Greenhouse Gas Technologies (GHGT), Kyoto, Japan, 18–22 November 2012; pp. 5240–5247. [Google Scholar]
Disclaimer/Publisher’s Note: The statements, opinions and data contained in all publications are solely those of the individual author(s) and contributor(s) and not of MDPI and/or the editor(s). MDPI and/or the editor(s) disclaim responsibility for any injury to people or property resulting from any ideas, methods, instructions or products referred to in the content. |
© 2024 by the authors. Licensee MDPI, Basel, Switzerland. This article is an open access article distributed under the terms and conditions of the Creative Commons Attribution (CC BY) license (https://creativecommons.org/licenses/by/4.0/).