Biosurfactants: Chemical Properties, Ecofriendly Environmental Applications, and Uses in the Industrial Energy Sector
Abstract
1. Introduction
2. Biosurfactants
3. Classification of Biosurfactants
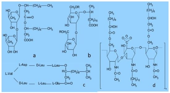
3.1. Glycolipids
3.2. Lipopeptides
3.3. Phospholipids
3.4. Polymeric Surfactants
4. Properties of Biosurfactants
4.1. Surface and Interface Activity
4.2. Biodegradability
4.3. Low Toxicity
4.4. Stability at Extreme Temperatures, High Salt Concentrations and in a Broad pH Range
4.5. Emulsification and De-Emulsification
5. Practical Applications of Biosurfactants in Environmental Remediation
| Environmental Applications | Title of Patent | Description | Reference |
|---|---|---|---|
| Bioremediation | A process for the bioremediation of hydrocarbons in contaminated soil or sediment | Invention involving bioremediation of soil and sludge contaminated with hydrocarbons using microorganisms, nutrients, and biosurfactant. | [80] |
| Bacillus sp. producing bioflocculant and biosurfactant and use thereof | Invention involving Bacillus sp. (Bacillus sp. SS15) that produces bioflocculant and biosurfactant for application in remediation of fracturing flowback liquid and effective simultaneous removal of chroma, COD, suspended solids, polycyclic aromatic hydrocarbons, and n-alkanes | [81] | |
| Method for degrading n-hexadecane and fermenting rhamnolipid biosurfactant | Invention discloses a strain (Pseudomonas aeruginosa H2-4) capable of using the pollutant n-hexadecane as a carbon source and producing a rhamnolipid surfactant. | [82] | |
| High-efficiency composite degrading bacterial agent and process for bioremediation of oil-containing soil | Invention regards soil remediation and discloses a high-efficiency composite degrading bacterial agent that comprises P. aeruginosa, Rhodococcus honghuengensis, Bacillus subtilis, and Candida tropicalis. The efficient microbial flora constructed by the invention can metabolize a biosurfactant by taking petroleum hydrocarbon as a unique carbon source, can greatly reduce the content of petroleum substances in oily sludge (soil), and has the advantages of a short degradation period, low cost, and no secondary pollution. | [83] | |
| Genetically modified Burkholderia kururiensis, method for rhamnolipid-type biosurfactants and uses | Invention describes genetically modified Burkholderia kururiensis (LMM21) and a method of using genetic engineering as a tool for the production of rhamnolipid-type biosurfactants in a non-pathogenic strain, B. kururiensis KP23T, as a heterologous host. The mono-rhamnolipids are used for the bioremediation of soils and waters contaminated by hydrocarbons. | [84] | |
| Microbial enhanced oil recovery (MEOR) | Brevibacillus agri, preparation thereof, method for preparing surfactant, and use thereof | Invention discloses the preparation of a strain of Brevibacillus agri and a surfactant-producing method and use thereof. The bacterial strain and its preparation may enhance the recovery of crude oil; the surfactant preparation method confers the lipopeptide biosurfactant with satisfactory physical properties with a reduction in surface tension and has adequate emulsification of petroleum, lipids, and various hydrocarbons. | [85] |
| Microbial products and uses thereof to improve oil recovery | Invention regards compositions of biochemical-producing microbes and methods for microbially enhanced oil recovery. Specifically, biosurfactant-producing bacteria and/or by-products of the growth of the bacteria are applied to an oil-producing site. The bacteria can also be applied with a yeast fermentation product, polymer, non-biological surfactant, alkaline compound, and/or one or more chelating agents. The advantage of the invention is its usefulness in stimulating the flow of oil from a well. | [86] | |
| Bioremediation of polycyclic aromatic hydrocarbons (PAHs) | Method for synergistic remediation of soil polluted by high-ring polycyclic aromatic hydrocarbons by using biosurfactant | Invention discloses a method for synergistic remediation of soil polluted by high-ring polycyclic aromatic hydrocarbons using a biosurfactant and belongs to the technical field of soil remediation. Its advantages are that the biosurfactant is added to promote the solubilization of the high-ring PAHs, the selected strains can synthesize the biosurfactant during the growth process, the dispersibility of the high-ring PAHs in soil particles is further promoted, the added exogenous carbon source can be used as a growth substrate and as a co-metabolism substrate for the growth of degrading bacteria, and the degradation efficiency of the high-ring PAHs is improved. | [87] |
| Remediation of heavy metals | Biosurfactant produced by Candida bombicola with potential application in the removal of heavy metals | Invention regards a novel biodegradable bioproduct (Bombisan), which is obtained by yeast from industrial waste. Bombisan has high emulsifying capacity, stability over a wide range of temperatures, pH values, and salinities, in addition to the ability to remove heavy metals from contaminated soil and effluents. | [88] |
| Environmentally-friendly compositions and methods for extracting minerals and metals from ore | Invention enables extracting minerals and/or metal from ore through safe, environmentally-friendly compositions and methods. Bioleaching is achieved using a composition composed of one or more biosurfactant-producing microorganisms and/or microbial growth by-products. | [89] | |
| Application and method of lipopeptide in removal of heavy metal ions | Invention discloses an application and method of biosurfactant lipopeptide in heavy metal ion removal. Micelles with a certain particle size are formed using the electrostatic binding effect of -COOH residues of surfactin and metal ions and reaching the critical micelle concentration (CMC). Micelles are intercepted by an ultrafiltration membrane with a certain pore size so that the lipopeptide can be used for removing heavy metal ions. Therefore, the effect of removing the metal ions is achieved. | [90] | |
| Bio-leaching compositions and methods for mining metals | Bioleaching compositions for processing ores or other matter, including metal or metal salt, are presented. Bioleaching composition includes a biosurfactant and metal solubilizing reagents. The biosurfactant can be a sophorolipid biosurfactant, and the metal-solubilizing reagents include an acid and an oxidant or a microorganism. In methods using the bioleaching composition, the metals from ores can be isolated from either a solution or non-solution phase. | [91] | |
| Phytoremediation | Method for reinforcing phytoremediation of polycyclic aromatic hydrocarbon-contaminated soil with phytohormones and biosurfactants | Invention discloses a method for reinforcing phytoremediation of soil contaminated with polycyclic aromatic hydrocarbons using phytohormones and a biosurfactant. The method involves (1) adding a biosurfactant to the surface layer of the contaminated soil; (2) dissolving the phytohormone in ethanol and then adding distilled water for dilution; (3) putting Medicago sativa seeds in H2O2 for soaking, then performing flushing with sterile distilled water and planting the treated seeds in soil contaminated with polycyclic aromatic hydrocarbons; and (4) conducting conventional watering management on M. sativa: spraying the phytohormone ethanol aqueous solution 2–3 times within the plant growth period, harvesting the plant after 90–12 days growth, and conducting low-temperature drying and centralized treatment. | [92] |
| Agriculture | Method of using biosurfactant-producing bacteria against fungal and bacterial pathogens | Disclosure regards use of a bacterium (Streptomyces, Bacillus, Microbacterium, Rhodococcus, Staphylococcus, Micrococcus, Arthrobacter, or Pseudomonas) and/or extract containing a biosurfactant isolated from said bacterium as an antimicrobial agent against a foodborne or a plant bacterial or fungal pathogen. The bacterium optionally comprises at least 3 of difficidin, bacilysin, bacillaene, macrolactin h, fengycin, bacillomycin d, bacillibactin, and surfactin. | [93] |
| Biosurfactant producing microorganisms | Invention discloses Burkholderia thailandensis DIS2 bacterium and a B. thailandensis DIS2.1 bacterium, as well as bacteria having all the identifying characteristics thereof and mutants thereof. There is also provided Starmerella bombicola DIS4 yeast and a yeast having all the identifying characteristics thereof and mutants thereof, along with a method for producing rhamnolipids and a method for producing sophorolipids. | [94] | |
| Antimicrobial compositions and related methods of use | Invention discloses antimicrobial compositions with one or more compounds generally recognized as safe for human consumption and related methods of use. The compositions and methods have applications in agricultural, pharmaceutical, building, industrial, and/or personal care products. | [95] | |
| Sanitization method and related formulation | Invention relates to an aqueous formulation comprising at least one surfactant of microbial origin and at least one organic acid in a weight ratio between 1:1000 and 10:1 and methods for sanitizing the internal surfaces of plants and products subject to biofilm formation using an aqueous solution. The latter is obtained by dosing the above formulation in water so that the aqueous solution contains at least one biosurfactant in an amount between 0.0001 and 10% by weight and at least one organic acid in an amount between 0.001 and 10% by weight. | [96] | |
| Bacillus strain for applications in agriculture, livestock health, and environmental protection | A bacterial strain with enhanced biosurfactant-production capabilities is provided, as well as methods of its use in agriculture, livestock husbandry, and environmental protection. In a specific embodiment, the invention is directed to a strain of Bacillus amyloliquefaciens that has novel properties for producing a mixture of lipopeptides, which is unique to its genus and species. | [97] | |
| Corrosion | Method of using biosurfactants as acid corrosion inhibitors in well treatment operations | Corrosion during well treatment is inhibited by introducing a composition into the well containing a biosurfactant selected from glycolipids (other than mannosylerythritol lipids or sophorolipids), polyol lipids, phospholipids, lipopeptides, lipoproteins, carbohydrate-lipids, ornithine lipids, amino acid lipids, neutral lipids, liposan, exolipids, protein polyamines, diglycosyl diglycerides, siderolipids, saponified triglycerides, fatty acids, and fimbriae. Composition may also contain a corrosion inhibitor intensifier. | [98] |
| Multifunctional composition for enhanced oil recovery, improved oil quality, and prevention of corrosion | Invention provides compositions and methods for simultaneously enhancing oil recovery, improving quality of oil and gas through reduction in sulphur-containing compounds, and preventing and/or reducing corrosion of production equipment. | [99] | |
| Environment-friendly industrial oil stain cleaning agent and preparation method thereof | Invention provides an environment-friendly industrial oil stain cleaning agent. The cleaning agent is prepared from the following components in percentage by weight: 1–5% of biological enzyme, 5–20% of a biosurfactant, 20–40% of a plant extract, 1–10% of a washing aid, and 25–73% of deionized water. The cleaning agent has the advantages of having high oil removal capability and being non-corrosive to various types of equipment, non-irritative to humans, safe, non-toxic, and environmentally friendly. | [100] |
5.1. Bioremediation
5.2. Microbial Enhanced Oil Recovery
5.3. Metal Corrosion Inhibition
5.4. Improvements in Agriculture
5.5. Methods and Innovations in Environmental Remediation
5.5.1. Nanobioremediation
5.5.2. Multiple Bioremediation Methods
5.5.3. Genetically Modified Microorganisms
5.5.4. Enzymatic Bioremediation
5.5.5. Modelling and Prototyping
5.5.6. Biotechnology and Process Engineering
6. Industrial Application and Market Prospects
7. Conclusions
Author Contributions
Funding
Data Availability Statement
Acknowledgments
Conflicts of Interest
References
- Ali, M.; Song, X.; Ding, D.; Wang, Q.; Zhang, Z.; Tang, Z. Bioremediation of PAHs and heavy metals co-contaminated soils: Challenges and enhancement strategies. Environ. Pollut. 2022, 295, 118686. [Google Scholar] [CrossRef]
- Singh, R.; Rathore, D. Effects of fertilization with textile effluent on germination, growth and metabolites of chilli (Capsicum annum L.) cultivars. Environ. Process. 2021, 8, 1249–1266. [Google Scholar] [CrossRef]
- Bezza, F.A.; Chirwa, E.M.N. Biosurfactant-enhanced bioremediation of aged polycyclic aromatic hydrocarbons (PAHs) in creosote contaminated soil. Chemosphere 2016, 144, 635–644. [Google Scholar] [CrossRef]
- Wei, Z.; Wang, J.J.; Gaston, L.A.; Li, J.; Fultz, L.M.; DeLaune, R.D.; Dodla, S.K. Remediation of crude oil-contaminated coastal marsh soil: Integrated effect of biochar, rhamnolipid biosurfactant and nitrogen application. J. Hazard. Mater. 2020, 396, 122595. [Google Scholar] [CrossRef]
- Zahed, M.A.; Matinvafa, M.A.; Azari, A.; Mohajeri, L. Biosurfactant, a green and effective solution for bioremediation of petroleum hydrocarbons in the aquatic environment. Discov. Water 2022, 2, 5. [Google Scholar] [CrossRef]
- Pereira, E.; Napp, A.; Allebrandt, S.; Barbosa, R.; Reuwsaat, J.; Lopes, W.; Kmetzsch, L.; Staats, C.C.; Schrank, A.; Dallegrave, A.; et al. Biodegradation of aliphatic and polycyclic aromatic hydrocarbons in seawater by autochthonous microorganisms. Int. Biodeterior. Biodegrad. 2019, 145, 104789. [Google Scholar] [CrossRef]
- Eras-Muñoz, E.; Farré, A.; Sánchez, A.; Font, X.; Gea, T. Microbial biosurfactants: A review of recent environmental applications. Bioengineered 2022, 13, 12365–12391. [Google Scholar] [CrossRef]
- Ambaye, T.G.; Vaccari, M.; Prasad, S.; Rtimi, S. Preparation, characterization and application of biosurfactant in various industries: A critical review on progress, challenges and perspectives. Environ. Technol. Innov. 2021, 24, 102090. [Google Scholar] [CrossRef]
- Pacwa-Płociniczak, M.; Płaza, G.A.; Piotrowska-Seget, Z.; Cameotra, S.S. Environmental applications of biosurfactants: Recent advances. Int. J. Mol. Sci. 2011, 12, 633–654. [Google Scholar] [CrossRef]
- Bezerra, K.G.O.; Rufino, R.D.; Luna, J.M.; Sarubbo, L.A. Saponins and microbial biosurfactants: Potential raw materials for the formulation of cosmetics. Biotechnol. Prog. 2018, 34, 1482–1493. [Google Scholar] [CrossRef]
- Sun, S.; Wang, Y.; Zang, T.; Wei, J.; Wu, H.; Wei, C.; Qiu, G.; Li, F. A biosurfactant-producing Pseudomonas aeruginosa S5 isolated from coking wastewater and its application for bioremediation of polycyclic aromatic hydrocarbons. Bioresour. Technol. 2019, 281, 421–428. [Google Scholar] [CrossRef]
- Medhi, M.K.; Ambust, S.; Kumar, R.; Das, A.J. Characterization and purification of biosurfactants. In Advancements in Biosurfactants Research; Aslam, R., Mobin, M., Aslam, J., Zehra, S., Eds.; Springer: Cham, Switzerland, 2023; pp. 79–93. [Google Scholar] [CrossRef]
- Bailly, C.; Vergoten, G. Glycyrrhizin: An alternative drug for the treatment of COVID-19 infection and the associated respiratory syndrome? Pharmacol. Ther. 2020, 214, 107618. [Google Scholar] [CrossRef]
- Furman, A.C.; Veit, M.; Palácio, S.; Gonçalves, G.; Barbieri, J.C.Z. Sustainability in the production process of the cosmetic industry: A literature review. Res. Soc. Dev. 2022, 11, e586111335852. [Google Scholar] [CrossRef]
- Silva, I.A.; Fortunato, J.G.L.A.; Almeida, F.C.G.; Alves, R.N.; Cunha, M.C.C.; Rufino, R.D.; Fernandes, M.L.B.; Sarubbo, L.A. Production and application of a new biosurfactant for solubilisation and mobilisation of residual oil from sand and seawater. Processes 2024, 12, 1605. [Google Scholar] [CrossRef]
- Twigg, M.S.; Baccile, N.; Banat, I.M.; D’eziel, E.; Marchant, R.; Roelants, S.; Van Bogaert, I.N.A. Microbial biosurfactant research: Time to improve the rigour in the reporting of synthesis, functional characterization and process development. Microbiol. Biotechnol. 2021, 14, 147–170. [Google Scholar] [CrossRef]
- Silva, R.C.F.S.; Almeida, D.G.; Rufino, R.D.; Luna, J.M.; Santos, V.A.; Sarubbo, L.A. Applications of biosurfactants in the petroleum industry and the remediation of oil spills. Int. J. Mol. Sci. 2014, 15, 12523–12542. [Google Scholar] [CrossRef]
- Shakeri, F.; Babavalian, H.; Amoozegar, M.A.; Ahmadzadeh, Z.; Zuhuriyanizadi, S.; Afsharian, M.P. Production and application of biosurfactants in biotechnology. Biointerface Res. Appl. Chem. 2021, 11, 10446–10460. [Google Scholar] [CrossRef]
- Alara, O.R.; Abdurahman, N.H.; Alara, J.A.; Tade, M.O.; Ali, H.A. Commercialization of biosurfactants. In Advancements in Biosurfactants Research; Aslam, R., Mobin, M., Aslam, J., Zehra, S., Eds.; Springer: Cham, Switzerland, 2023; pp. 525–549. [Google Scholar] [CrossRef]
- Kumari, K.; Nandi, A.; Sinha, A.; Ghosh, A.; Sengupta, S.; Saha, U.; Singh, P.K.; Panda, P.K.; Raina, V.; Verma, S.K. The paradigm of prophylactic viral outbreaks measures by microbial biosurfactants. J. Infect. Public Health 2023, 16, 575–587. [Google Scholar] [CrossRef]
- Uzoigwe, C.; Burgess, J.G.; Ennis, C.J.; Rahman, P.K.S.M. Bioemulsifiers are not biosurfactants and require different screening approaches. Front. Microbiol. 2015, 6, 245. [Google Scholar] [CrossRef]
- Abdel-Mawgoud, A.M.; Lépine, F.; Déziel, E. Rhamnolipids: Diversity of structures, microbial origins and roles. Appl. Microbiol. Biotechnol. 2010, 86, 1323–1336. [Google Scholar] [CrossRef]
- Ashby, R.D.; Wan Muhammad Zulkifli, W.N.F.; Yatim, R.; Ren, K.; Mustafa, A. Glycolipid biosurfactants: Biosynthesis and related potential applications in food industry. In Applications of Next Generation Biosurfactants in the Food Sector; Inamuddin, C.O.A., Ed.; Academic Press: London, UK, 2023; pp. 307–334. [Google Scholar] [CrossRef]
- Garay, L.A.; Sitepu, I.R.; Cajka, T.; Xu, J.; Teh, H.E.; German, J.B.; Pan, Z.; Dungan, S.R.; Block, D.E.; Boundy-Mills, K.L. Extracellular fungal polyol lipids: A new class of potential high value lipids. Biotechnol. Adv. 2018, 36, 397–414. [Google Scholar] [CrossRef]
- Santos, D.K.F.; Rufino, R.D.; Luna, J.M.; Santos, V.A.; Sarubbo, L.A. Biosurfactants: Multifunctional biomolecules of the 21st century. Int. J. Mol. Sci. 2016, 17, 401. [Google Scholar] [CrossRef]
- Kashif, A.; Rehman, R.; Fuwad, A.; Shahid, M.K.; Dayarathne, H.N.P.; Jamal, A.; Aftab, M.N.; Mainali, B.; Choi, Y. Current advances in the classification, production, properties and applications of microbial biosurfactants–A critical review. Adv. Colloid Interface Sci. 2022, 306, 102718. [Google Scholar] [CrossRef]
- Varjani, S.J.; Upasani, V.N. Critical review on biosurfactant analysis, purification and characterization using rhamnolipid as a model biosurfactant. Bioresour. Technol. 2017, 232, 389–397. [Google Scholar] [CrossRef]
- Shao, Z. Trehalolipids. In Biosurfactants. Microbiology Monographs; Soberón-Chávez, G., Ed.; Springer: Berlin/Heildelberg, Germany, 2011; Volume 20, pp. 121–143. [Google Scholar] [CrossRef]
- Satpute, S.K.; Banat, I.M.; Dhakephalkar, P.K.; Banpurkar, A.G.; Chopade, B.A. Biosurfactants, bioemulsifiers and exopolysaccharides from marine microorganisms. Biotechnol. Adv. 2010, 28, 436–450. [Google Scholar] [CrossRef]
- Bages-Estopa, S.; White, D.A.; Winterburn, J.B.; Webb, C.; Martin, P.J. Production and separation of a trehalolipid biosurfactant. Biochem. Eng. J. 2018, 139, 85–94. [Google Scholar] [CrossRef]
- Pal, S.; Chatterjee, N.; Das, A.K.; McClements, D.J.; Dhar, P. Sophorolipids: A comprehensive review on properties and applications. Adv. Colloid Interface Sci. 2023, 313, 102856. [Google Scholar] [CrossRef]
- Arutchelvi, J.I.; Bhaduri, S.; Uppara, P.V.; Doble, M. Mannosylerythritol lipids: A review. J. Ind. Microbiol. Biotechnol. 2008, 35, 1559–1570. [Google Scholar] [CrossRef]
- Fukuoka, T.; Morita, T.; Konishi, M.; Imura, T.; Sakai, H.; Kitamoto, D. Structural characterization and surface-active properties of a new glycolipid biosurfactant, mono-acylated mannosylerythritol lipid, produced from glucose by Pseudozyma antarctica. Appl. Microbiol. Biotechnol. 2007, 76, 801–810. [Google Scholar] [CrossRef]
- Saika, A.; Koike, H.; Yamamoto, S.; Kishimoto, T.; Morita, T. Enhanced production of a diastereomer type of mannosylerythritol lipid-B by the basidiomycetous yeast Pseudozyma tsukubaensis expressing lipase genes from Pseudozyma antarctica. Appl. Microbiol. Biotechnol. 2017, 101, 8345–8352. [Google Scholar] [CrossRef]
- Matosinhos, R.D.; Cesca, K.; Carciofi, B.A.M.; de Oliveira, D.; de Andrade, C.J. Mannosylerythritol lipids as green pesticides and plant biostimulants. J. Sci. Food Agric. 2023, 103, 37–47. [Google Scholar] [CrossRef]
- Nihorimbere, V.; Cawoy, H.; Seyer, A.; Brunelle, A.; Thonart, P.; Ongena, M. Impact of rhizosphere factors on cyclic lipopeptide signature from the plant beneficial strain Bacillus amyloliquefaciens S499. FEMS Microbiol. Ecol. 2012, 79, 176–191. [Google Scholar] [CrossRef]
- Cochrane, S.A.; Vederas, J.C. Lipopeptides from Bacillus and Paenibacillus spp.: A gold mine of antibiotic candidates. Med. Res. Rev. 2016, 36, 4–31. [Google Scholar] [CrossRef] [PubMed]
- Sałek, K.; Euston, S.R. Sustainable microbial biosurfactants and bioemulsifiers for commercial exploitation. Process Biochem. 2019, 85, 143–155. [Google Scholar] [CrossRef]
- Grangemard, I.; Wallach, J.; Maget-Dana, R.; Peypoux, F. Lichenysin: A more efficient cation chelator than surfactin. Appl. Biochem. Biotechnol. 2001, 90, 199–210. [Google Scholar] [CrossRef] [PubMed]
- McInerney, M.J.; Javaheri, M.; Nagle, D.P. Properties of the biosurfactant produced by Bacillus licheniformis strain JF-2. J. Ind. Microbiol. 1990, 5, 95–101. [Google Scholar] [CrossRef]
- Hazaimeh, M.D.; Ahmed, E.S. Bioremediation perspectives and progress in petroleum pollution in the marine environment: A review. Environ. Sci. Pollut. Res. Int. 2021, 28, 54238–54259. [Google Scholar] [CrossRef]
- Rawat, G.; Dhasmana, A.; Kumar, V. Biosurfactants: The next generation biomolecules for diverse applications. Environ. Sustain. 2020, 3, 353–369. [Google Scholar] [CrossRef]
- Soares dos Santos, A.; Pereira, J.N.; Freire, D.M.G. Strategies for improved rhamnolipid production by Pseudomonas aeruginosa PA1. PeerJ 2016, 4, 2078. [Google Scholar] [CrossRef]
- Paulino, B.N.; Pessôa, M.G.; Mano, M.C.R.; Molina, G.; Neri-Numa, I.A.; Pastore, G.M. Current status in biotechnological production and applications of glycolipid biosurfactants. Appl. Microbiol. Biotechnol. 2016, 100, 10265–10293. [Google Scholar] [CrossRef]
- Vijayakumar, S.; Saravanan, V. Biosurfactants types, sources and applications. Res. J. Microbiol. 2015, 10, 181–192. [Google Scholar]
- Shekhar, S.; Sundaramanickam, A.; Balasubramanian, T. Biosurfactant producing microbes and their potential applications: A review. Crit. Rev. Environ. Sci. Technol. 2015, 45, 1522–1554. [Google Scholar] [CrossRef]
- Karlapudi, A.P.; Venkateswarulu, T.C.; Tammineedi, J.; Kanumuri, L.; Ravuru, B.K.; Dirisala, V.R.; Kodali, V.P. Role of biosurfactants in bioremediation of oil pollution-a review. Petroleum 2018, 4, 241–249. [Google Scholar] [CrossRef]
- Brumano, L.P.; Soler, M.F.; Silva, S.S. Recent advances in sustainable production and application of biosurfactants in Brazil and Latin America. Ind. Biotechnol. 2016, 12, 31–39. [Google Scholar] [CrossRef]
- De, S.; Malik, S.; Ghosh, A.; Saha, R.; Saha, B. A review on natural surfactants. RSC Adv. 2015, 5, 65757–65767. [Google Scholar] [CrossRef]
- Abbot, V.; Paliwal, D.; Sharma, A.; Sharma, P. A review on the physicochemical and biological applications of biosurfactants in biotechnology and pharmaceuticals. Heliyon 2022, 8, 10149. [Google Scholar] [CrossRef]
- Madankar, C.S.; Meshram, A. Review on classification, physicochemical properties and applications of microbial surfactants. Tenside Surf. Deterg. 2022, 59, 1–16. [Google Scholar] [CrossRef]
- Corazza, E.; Abruzzo, A.; Giordani, B.; Cerchiara, T.; Bigucci, F.; Vitali, B.; di Cagno, M.P.; Luppi, B. Human Lactobacillus biosurfactants as natural excipients for nasal drug delivery of hydrocortisone. Pharmaceutics 2022, 14, 524. [Google Scholar] [CrossRef]
- Cooper, D.G.; Macdonald, C.R.; Duff, S.J.B.; Kosaric, N. Enhanced production of surfactin from Bacillus subtilis by continuous product removal and metal cation additions. Appl. Environ. Microbiol. 1981, 42, 408–412. [Google Scholar] [CrossRef]
- Patel, S.; Kharawala, K. Biosurfactants and their biodegradability: A review and examination. Int. J. Eng. Adv. Technol. 2022, 11, 4–11. [Google Scholar] [CrossRef]
- Ahn, C.; Morya, V.K.; Kim, E.-K. Tuning surface-active properties of bio-surfactant sophorolipids by varying fatty-acid chain lengths. Korean J. Chem. Eng. 2016, 33, 2127–2133. [Google Scholar] [CrossRef]
- Kim, H.-S.; Jeon, J.-W.; Kim, S.-B.; Oh, H.-M.; Kwon, T.-J.; Yoon, B.-D. Surface and physico-chemical properties of a glycolipid biosurfactant, mannosylerythritol lipid, from Candida antarctica. Biotechnol. Lett. 2022, 24, 1637–1641. [Google Scholar] [CrossRef]
- Cappello, S.; Crisari, A.; Denaro, R.; Crescenzi, F.; Porcelli, F.; Yakimov, M.M. Biodegradation of a bioemulsificant exopolysaccharide (EPS2003) by marine bacteria. Water Air Soil Poll. 2011, 214, 645–652. [Google Scholar] [CrossRef]
- Hirata, Y.; Ryu, M.; Oda, Y.; Igarashi, K.; Nagatsuka, A.; Furuta, T.; Sugiura, M. Novel characteristics of sophorolipids, yeast glycolipid biosurfactants, as biodegradable low-foaming surfactants. J. Biosci. Bioeng. 2009, 108, 142–146. [Google Scholar] [CrossRef] [PubMed]
- Mohan, P.K.; Nakhla, G.; Yanful, E.K. Biokinetics of biodegradation of surfactants under aerobic, anoxic and anaerobic conditions. Water Res. 2006, 40, 533–540. [Google Scholar] [CrossRef]
- Mallik, T.; Banerjee, D. Biosurfactants: The potential green surfactants in the 21st century. J. Adv. Sci. Res. 2022, 13, 97–106. [Google Scholar] [CrossRef]
- Poremba, K.; Gunkel, W.; Wagner, F. Toxicity testing of synthetic and biogenic surfactants on marine microorganisms. Environ. Toxicol. Water Qual. 1991, 6, 157–163. [Google Scholar] [CrossRef]
- da Silva, I.A.; de Almeida, F.C.G.; Alves, R.N.; Cunha, M.C.C.; de Oliveira, J.C.M.; Fernandes, M.L.B.; Sarubbo, L.A. The formulation of a natural detergent with a biosurfactant cultivated in a low-cost medium for use in coastal environmental remediation. Fermentation 2024, 10, 332. [Google Scholar] [CrossRef]
- da Silva, R.R.; Santos, J.C.V.; Meira, H.M.; Almeida, S.M.; Sarubbo, L.A.; Luna, J.M. Microbial biosurfactant: Candida bombicola as a potential remediator of environments contaminated by heavy metals. Microorganisms 2023, 11, 2772. [Google Scholar] [CrossRef]
- Durval, I.J.B.; Rufino, R.D.; Sarubbo, L.A. Biosurfactant as an environmental remediation agent: Toxicity, formulation, and application in the removal of petroderivate in sand and rock walls. Biointerface Res. Appl. Chem. 2022, 12, 34–48. [Google Scholar] [CrossRef]
- Santos, D.K.F.; Resende, A.H.M.; De Almeida, D.G.; Soares da Silva, R.C.F.; Rufino, R.D.; Luna, J.M.; Banat, I.M.; Sarubbo, L.A. Candida lipolytica UCP0988 biosurfactant: Potential as a bioremediation agent and in formulating a commercial related product. Front. Microbiol. 2017, 8, 767. [Google Scholar] [CrossRef] [PubMed]
- Santos, E.F.; Teixeira, M.F.S.; Converti, A.; Porto, A.L.F.; Sarubbo, L.A. Production of a new lipoprotein biosurfactant by Streptomyces sp. DPUA1566 isolated from lichens collected in the Brazilian Amazon using agroindustry wastes. Biocatal. Agric. Biotechnol. 2019, 17, 142–150. [Google Scholar] [CrossRef]
- Faccioli, Y.E.S.; Silva, G.O.; Soares da Silva, R.C.F.; Sarubbo, L.A. Application of a biosurfactant from Pseudomonas cepacia CCT 6659 in bioremediation and metallic corrosion inhibition processes. J. Biotechnol. 2022, 351, 109–121. [Google Scholar] [CrossRef]
- Perfumo, A.; Banat, I.M.; Canganella, F.; Marchant, R. Rhamnolipid production by a novel. thermophilic hydrocarbon-degrading Pseudomonas aeruginosa AP02-1. Appl. Microbiol. Biotechnol. 2006, 72, 132–138. [Google Scholar] [CrossRef] [PubMed]
- Smyth, T.; Perfumo, A.; McClean, S.; Marchant, R.; Banat, I. Isolation and analysis of lipopeptides and high molecular weight biosurfactants. In Handbook of Hydrocarbon and Lipid Microbiology; Timmis, K.N., Ed.; Springer: Berlin/Heidelberg, Germany, 2010; pp. 3687–3704. [Google Scholar] [CrossRef]
- Mohebali, G.; Kaytash, A.; Etemadi, N. Efficient breaking of water/oil emulsions by a newly isolated de-emulsifying bacterium, Ochrobactrum anthropi strain RIPI5-1. Colloids Surf. B 2012, 98, 120–128. [Google Scholar] [CrossRef]
- Aparna, A.; Srinikethan, G.; Smitha, H. Production and characterization of biosurfactant produced by a novel Pseudomonas sp. 2B. Colloids Surf. B 2012, 95, 23–29. [Google Scholar] [CrossRef]
- Synergia Consultoria. Available online: https://www.synergiaconsultoria.com.br/ (accessed on 24 September 2024).
- Manga, E.B.; Celik, P.A.; Cabuk, A.; Banat, I.M. Biosurfactants: Opportunities for the development of a sustainable future. Curr. Opin. Colloid Interface Sci. 2021, 56, 101514. [Google Scholar] [CrossRef]
- Ayed, B.H.; Jemil, N.; Maalej, H.; Bayoudh, A.; Hmidet, N.; Nasri, M. Enhancement of solubilization and biodegradation of diesel oil by biosurfactant from Bacillus amyloliquefaciens AN6. Int. Biodeterior. Biodegrad. 2015, 99, 8–14. [Google Scholar] [CrossRef]
- Reis, R.S.; Pacheco, G.J.; Pereira, A.G.; Freire, D.M.G. Biosurfactants: Production and applications. In Industrial Applications of Biosurfactants and Microorganisms; Chamy, R., Rosenkranz, F., Eds.; Intech Open: Valparaiso, Chile, 2013; pp. 277–305. [Google Scholar] [CrossRef]
- Instituto Nacional da Propriedade Industrial (INPI). 2017. Available online: http://www.inpi.gov.br/ (accessed on 25 November 2023).
- Silva, M.D.G.C.; Medeiros, A.O.; Converti, A.; Almeida, F.C.G.; Sarubbo, L.A. Biosurfactants: Promising biomolecules for agricultural applications. Sustainability 2024, 16, 449. [Google Scholar] [CrossRef]
- Liu, J.; Xue, J.; Yuan, D.; Wei, X.; Su, H. Surfactant washing to remove heavy metal pollution in soil: A review. Recent Innov. Chem. Eng. 2020, 13, 3–16. [Google Scholar] [CrossRef]
- Wang, Q.H.; Yan, Z. Potential of biosurfactants in corrosion inhibition. In Industrial Applications of Biosurfactants and Microorganisms; Aslam, R., Aslam, J., Hussain, C.M., Eds.; Academic Press: Boca Raton, FL, USA, 2024; pp. 277–305. [Google Scholar] [CrossRef]
- Wang, Z. A Process for the Bioremediation of Hydrocarbons in Contaminated Soil or Sediment. AU Patent 2,016,101,966, 9 November 2016. [Google Scholar]
- Zhang, C.; Zeng, F.; Zhou, H.; Jiang, L.; Zhang, D.; Li, Y.; Li, S. Bacillus sp. Producing Bioflocculant and Biosurfactant and Use Thereof. U.S. Patent 20,230,159,959, 23 November 2023. [Google Scholar]
- Zhuan, X.; Wang, Y.; Wu, S.; Wang, H. Method for Degrading n-Hexadecane and Fermenting Rhamnolipid Biosurfactant. CN Patent 116,426,590, 1 April 2022. [Google Scholar]
- Sun, W.; Ke, C.; Zhai, W.; Wang, S.; Sun, R.; Zhang, Q.; Qin, F. High-Efficiency Composite Degrading Bacterial Agent and Process for Bioremediation of Oil-Containing Soil. CN Patent 115,537,353, 30 December 2022. [Google Scholar]
- Neves, B.C.; Mariano, D.C.O.; Tavares, L.F.D.; Lima, P.S.F. Genetically Modified Burkholderia kururiensis, Method for Raminolipid-Type Biosurfactants and Uses. PI Patent 1102193-4, 23 May 2011. [Google Scholar]
- She, Y.; Zhang, F.; Zhang, Z.; Yao, P.; Li, F.; Dong, H.; Sun, S.; Yu, G.; Yi, S.; Zhang, W.; et al. Brevibacillus agri, Preparation Thereof, Method for Preparing Surfactant and Use Thereof. U.S. Patent 20,220,049,165, 17 February 2022. [Google Scholar]
- Farmer, S.; Alibek, K.; Mazumder, S.; Adams, K.; Dixon, T.; Chen, Y.; Milovanovic, M. Microbial Products and Uses Thereof to Improve Oil Recovery. U.S. Patent 20,220,389,303, 8 December 2022. [Google Scholar]
- Cao, F.; Zhu, H.; Chen, J.; Liao, C.; Wei, X.; Zhou, Y.; Yan, D.; Yang, Y.; Xie, D.; Chen, S.; et al. Method for Synergistic Remediation of Soil Polluted by High-Ring Polycyclic Aromatic Hydrocarbon by Using Biosurfactant. CN Patent 112,620,342, 20 October 2020. [Google Scholar]
- Silva, R.R.; Sarubbo, L.A.; Luna, J.M. Biosurfactant Produced by Candida bombicola with Potential Application in the Removal of Heavy Metals. BR Patent 1,020,220,046,115, 19 September 2023. [Google Scholar]
- Farmer, S.; Karathur, K.N. Environmentally-Friendly Compositions and Methods for Extracting Minerals and Metals from Ore. U.S. Patent 20,230,322,556, 7 November 2023. [Google Scholar]
- Long, X.; Yu, F. Application and Method of Lipopeptide in Removal of Heavy Metal Ions. CN Patent 116655085, 25 June 2023. [Google Scholar]
- Mahmoudkhani, A.; Rogers, J.; Farmer, S.; Knesel, G. Bio-Leaching Compositions and Methods for Mining Metals. WO Patent 2,023,141,456, 18 January 2023. [Google Scholar]
- Qi, L.; Wang, Q.; Wu, W.; Han, C.; Gan, F.; Xie, W.; Zhang, R.; Guan, Y.; Cheng, T. Method for Reinforcing Phytoremediation of Polycyclic Aromatic Hydrocarbon Contaminated Soil with Phytohormone and Biosurfactant. CN Patent 108,817,054, 31 July 2018. [Google Scholar]
- Jabaji, S. Method of Using Biosurfactant-Producing Bacteria against Fungal and Bacterial Pathogens. WO Patent 2,021,163,810, 26 August 2021. [Google Scholar]
- Martinez, S.; Balendra, N.; Benaissa, H. Biosurfactant Producing Microorganisms. WO Patent 2,023,184,025, 10 May 2023. [Google Scholar]
- Gandhi, N.R.; Skebba, V.P.; Strobel, G.A. Antimicrobial Compositions and Related Methods of Use. U.S. Patent 20,230,172,199, 23 June 2023. [Google Scholar]
- Garusi, G.; Garusi, F.; Fermi, B.; Doniselli, N. Sanitization Method and Related Formulation. EP Patent 4,206,148, 29 December 2021. [Google Scholar]
- Farmer, S.; Alibek, K. Bacillus Strain for Applications in Agriculture, Livestock Health and Environmental Protection. U.S. Patent 20,230,029,570, 13 April 2021. [Google Scholar]
- Gunawan, S.; Vorderbruggen, M.A.; Armstrong, C.D. Method of Using Biosurfactants as Acid Corrosion Inhibitors in Well Treatment Operations. U.S. Patent 20,160,237,334, 4 October 2015. [Google Scholar]
- Farmer, S.; Alibek, K.; Adams, K.; Karathur, K.N.; Moldakozhayev, A.; Nerris, A. Multifunctional Composition for Enhanced Oil Recovery, Improved Oil Quality and Prevention of Corrosion. U.S. Patent 20,230,159,814, 1 October 2023. [Google Scholar]
- Hao, Z.; Li, C. Environment-Friendly Industrial Oil Stain Cleaning Agent and Preparation Method Thereof. CN Patent 109,762,669, 25 February 2019. [Google Scholar]
- Machado, T.S.; Decesaro, A.; Cappellaro, Â.C.; Machado, B.S.; Reginato, K.V.S.; Reinehr, C.O.; Thomé, A.; Colla, L.M. Effects of homemade biosurfactant from Bacillus methylotrophicus on bioremediation efficiency of a clay soil contaminated with diesel oil. Ecotoxicol. Environ. Saf. 2020, 201, 110798. [Google Scholar] [CrossRef] [PubMed]
- Dell’Anno, F.; Sansone, C.; Ianora, A.; Dell’Anno, A. Biosurfactant-induced remediation of contaminated marine sediments: Current knowledge and future perspectives. Mar. Environ. Res. 2018, 137, 196–205. [Google Scholar] [CrossRef] [PubMed]
- Mahanty, B.; Pakshirajan, K.; Dasu, V.V. Understanding the complexity and strategic evolution in PAH remediation research. Crit. Rev. Environ. Sci. Technol. 2011, 41, 1697–1746. [Google Scholar] [CrossRef]
- Kiran, G.S.; Ninawe, A.S.; Lipton, A.N.; Pandian, V.; Selvin, J. Rhamnolipid biosurfactants: Evolutionary implications, applications and future prospects from untapped marine resource. Crit. Rev. Biotechnol. 2016, 36, 399–415. [Google Scholar] [CrossRef]
- Ambaye, T.G.; Formicola, F.; Sbaffoni, S.; Franzetti, A.; Vaccari, M. Insights into rhamnolipid amendment towards enhancing microbial electrochemical treatment of petroleum hydrocarbon contaminated soil. Chemosphere 2022, 307, 136126. [Google Scholar] [CrossRef]
- Abosede, E.E. Effect of crude oil pollution on some soil physical Properties. IOSR J. Agric. Vet. Sci. 2013, 6, 14–17. [Google Scholar] [CrossRef]
- Klamerus-Iwan, A.; Błońska, E.; Lasota, J.; Kalandyk, A.; Waligórski, P. Influence of oil contamination on physical and biological properties of forest soil after chainsaw use. Water Air Soil Pollut. 2015, 226, 389. [Google Scholar] [CrossRef] [PubMed]
- Al-Dhabi, N.A.; Esmail, G.A.; Valan Arasu, M. Enhanced production of biosurfactant from Bacillus subtilis strain Al-Dhabi-130 under solid-state fermentation using date molasses from Saudi arabia for bioremediation of crude-oil-contaminated soils. Int. J. Environ. Res. Public Health 2020, 17, 8446. [Google Scholar] [CrossRef] [PubMed]
- Barata, M.I.C.; Cavalcanti, M.H.C.; Rufino, R.D.; Almeida, F.C.G.; Sarubbo, L.A. Optimized production and properties of biosurfactant from Bacillus invictae UCP1617 and its performance in a detergent formulation for environmental applications. J. Surfact. Deterg. 2024, 1–15. [Google Scholar] [CrossRef]
- Imam, A.; Kanaujia, P.K.; Ray, A.; Suman, S.K. Removal of petroleum contaminants through bioremediation with integrated concepts of resource recovery: A review. Indian J. Microbiol. 2021, 61, 250–261. [Google Scholar] [CrossRef]
- Gautam, K.K.; Tyagi, V.K. Microbial surfactants: A review. J. Oleo Sci. 2006, 55, 155–166. [Google Scholar] [CrossRef]
- Chaprão, M.J.; Ferreira, I.N.; Correa, P.F.; Rufino, R.D.; Luna, J.M.; Silva, E.J.; Sarubbo, L.A. Application of bacterial and yeast biosurfactants for enhanced removal and biodegradation of motor oil from contaminated sand. Electron. J. Biotechnol. 2015, 18, 471–479. [Google Scholar] [CrossRef]
- Pérez Vargas, J.; Viguera Carmona, S.E.; Zamudio Moreno, E.; Rivera Casado, N.A.; Calva, G. Bioremediation of soils from oil spill impacted sites using bioaugmentation with biosurfactants producing, native, free-living nitrogen fixing bacteria. Rev. Int. Contam. Ambient. 2017, 33, 105–114. [Google Scholar] [CrossRef]
- Geetha, G.; Banat, I.M.; Joshi, S.J. Biosurfactants: Production and potential applications in microbial enhanced oil recovery (MEOR). Biocatal. Agric. Biotechnol. 2018, 14, 23–32. [Google Scholar] [CrossRef]
- Sarubbo, L.A.; Rocha Junior, R.B.; Luna, J.M.; Rufino, R.D.; Santos, V.A.; Banat, I.M. Some aspects of heavy metals contamination remediation and role of biosurfactants. Chem. Ecol. 2015, 31, 707–723. [Google Scholar] [CrossRef]
- Chang, S.; Wang, K.; Kuo, C.; Chang, C.; Chou, C. Remediation of metal contaminated soil by an integrated soil washing electrolysis process. Soil Sediment Contam. Int. J. 2005, 14, 559–569. [Google Scholar] [CrossRef]
- Kumar, R.; Das, A.J.; Juwarkar, A. Reclamation of petrol oil contaminated soil by rhamnolipids producing PGPR strains for Withania somnifera a medicinal shrub. World J. Microbiol. Biotechnol. 2015, 31, 307–313. [Google Scholar] [CrossRef]
- Juwarkar, A.A.; Nair, A.; Dubey, K.V.; Singh, S.K.; Devotta, S. Biosurfactant technology for remediation of cadmium and lead contaminated soils. Chemosphere 2007, 68, 1996–2002. [Google Scholar] [CrossRef] [PubMed]
- Diaz, M.A.; De Ranson, I.S.; Dorta, B.D. Metal removal from contaminated soils, through bioleaching with oxidizing bacteria and rhamnolipid biosurfactant. Soil Sediment Contam. 2015, 24, 16–29. [Google Scholar] [CrossRef]
- Liu, Z.; Li, Z.; Zhong, H.; Zeng, G.; Liang, Y.; Chen, M.; Wu, Z.; Zhou, Y.; Yu, M.; Shao, B. Recent advances in the environmental applications of biosurfactant saponins: A review. J. Environ. Chem. Eng. 2017, 5, 6030–6038. [Google Scholar] [CrossRef]
- Sales da Silva, I.G.; Almeida, F.C.G.; Rocha e Silva, N.M.P.; Casazza, A.A.; Converti, A.; Sarubbo, L.A. Soil bioremediation: Overview of technologies and trends. Energies 2020, 13, 4664. [Google Scholar] [CrossRef]
- Silva, I.G.S.D.; Pappalardo, J.R.; Rocha e Silva, N.M.P.D.; Converti, A.; Almeida, F.C.G.D.; Sarubbo, L.A. Treatment of motor oil-contaminated soil with green surfactant using a mobile remediation system. Processes 2023, 11, 1081. [Google Scholar] [CrossRef]
- Patel, A.B.; Shaikh, S.; Jain, K.R.; Desai, C.; Madamwar, D. Polycyclic aromatic hydrocarbons: Sources, toxicity, and remediation approaches. Front. Microbiol. 2020, 11, 562813. [Google Scholar] [CrossRef]
- Hu, J.; Nakamura, J.; Richardson, S.D.; Aitken, M.D. Evaluating the effects of bioremediation on genotoxicity of polycyclic aromatic hydrocarbon-contaminated soil using genetically engineered, higher eukaryotic cell lines. Environ. Sci. Technol. 2012, 46, 4607–4613. [Google Scholar] [CrossRef]
- Bezza, F.A.; Chirwa, E.M.N. The role of lipopeptide biosurfactant on microbial remediation of aged polycyclic aromatic hydrocarbons (PAHs)-contaminated soil. Chem. Eng. J. 2017, 309, 563–576. [Google Scholar] [CrossRef]
- Selva Filho, A.A.P.; Faccioli, Y.E.; Converti, A.; da Silva, R.D.C.F.S.; Sarubbo, L.A. Maximization of the production of a low-cost biosurfactant for application in the treatment of soils contaminated with hydrocarbons. Sustainability 2024, 16, 7970. [Google Scholar] [CrossRef]
- Devianto, L.A.; Latunussa, C.E.L.; Helmy, Q.; Kardena, E. Biosurfactants production using glucose and molasses as carbon sources by Azotobacter vinelandii and soil washing application in hydrocarbon-contaminated soil. IOP Conf. Ser. Earth Environ. Sci. 2020, 475, 012075. [Google Scholar] [CrossRef]
- Meenakshisundaram, M.; Pramila, M. Detoxification of heavy metals using microbial biosurfactant. Int. J. Curr. Microbiol. Appl. Sci. 2017, 6, 402–411. [Google Scholar] [CrossRef][Green Version]
- Lal, S.; Ratna, S.; Said, O.B.; Kumar, R. Biosurfactant and exopolysaccharide-assisted rhizobacterial technique for the remediation of heavy metal contaminated soil: An advancement in metal phytoremediation technology. Environ. Technol. Innov. 2018, 10, 243–263. [Google Scholar] [CrossRef]
- Aşçı, Y.; Nurbaş, M.; Açıkel, Y.S. A comparative study for the sorption of Cd(II) by soils with different clay contents and mineralogy and the recovery of Cd(II) using rhamnolipid biosurfactant. J. Hazard. Mater. 2008, 154, 663–673. [Google Scholar] [CrossRef]
- Ravindran, A.; Sajayan, A.; Priyadharshini, G.B.; Selvin, J.; Kiran, G.S. Revealing the efficacy of thermostable biosurfactant in heavy metal bioremediation and surface treatment in vegetables. Front. Microbiol. 2020, 11, 222. [Google Scholar] [CrossRef] [PubMed]
- Haryanto, B.; Chang, C. Removing adsorbed heavy metal ions from sand surfaces via applying interfacial properties of Rhamnolipid. J. Oleo Sci. 2015, 64, 161–168. [Google Scholar] [CrossRef] [PubMed]
- Futughe, A.E.; Purchase, D.; Jones, H. Phytoremediation using native plants. In Phytoremediation. Concepts and Strategies in Plant Sciences; Shmaefsky, B., Ed.; Springer: Berlin/Heildelberg, Germany, 2020; pp. 285–327. [Google Scholar] [CrossRef]
- Gabriele, I.; Race, M.; Papirio, S.; Esposito, G. Phytoremediation of pyrene-contaminated soils: A critical review of the key factors affecting the fate of pyrene. J. Environ. Manag. 2021, 293, 112805. [Google Scholar] [CrossRef]
- Shah, V.; Daverey, A. Effects of sophorolipids augmentation on the plant growth and phytoremediation of heavy metal contaminated soil. J. Clean. Prod. 2021, 280, 124406. [Google Scholar] [CrossRef]
- Zakeri, A.; Bahmani, E.; Aghdam, A.S.R. Plant extracts as sustainable and green corrosion inhibitors for protection of ferrous metals in corrosive media: A mini review. Corros. Comum. 2022, 5, 25–38. [Google Scholar] [CrossRef]
- Beech, I.B.; Gaylarde, C.C. Recent advances in the study of biocorrosion—An overview. Rev. Microbiol. 1999, 30, 177–190. [Google Scholar] [CrossRef]
- El-din, M.R.N.; Farag, R.K.; Elazbawy, O.E. Utilization of new anionic polymeric surfactants for corrosion inhibition enhancement in petroleum industries. Int. J. Electrochem. Sci. 2016, 11, 815–835. [Google Scholar] [CrossRef]
- Pal, A.; Sarkar, R.; Karmakar, K.; Mondal, M.; Saha, B. Surfactant as an anti-corrosive agent: A review. Tenside Surfactants Deterg. 2022, 59, 363–372. [Google Scholar] [CrossRef]
- Ali, A.E.; Badr, G.E.; Founda, A.E.S. Citrus sinensis extract as a green inhibitor for the corrosion of carbon steel in sulphuric acid solution. Biointerface Res. Appl. Chem. 2021, 11, 14007–14020. [Google Scholar] [CrossRef]
- Chen, J.; Wu, Q.; Hua, Y.; Chen, J.; Zhang, H.; Wang, H. Potential applications of biosurfactant rhamnolipids in agriculture and biomedicine. Appl. Microbiol. Biotechnol. 2017, 101, 8309–8319. [Google Scholar] [CrossRef]
- Hussain, T.; Haris, M.; Shakeel, A.; Ahmad, G.; Khan, A.A.; Khan, M.A. Bio-nematicidal activities by culture filtrate of Bacillus subtilis HussainT-AMU: New promising biosurfactant bioagent for the management of Root Galling caused by Meloidogyne incognita. Vegetos 2020, 33, 229–238. [Google Scholar] [CrossRef]
- Akladious, S.A.; Gomaa, E.Z.; El-Mahdy, O.M. Efficiency of bacterial biosurfactant for biocontrol of Rhizoctonia solani (AG-4) causing root rot in faba bean (Vicia faba) plants. Eur. J. Plant Pathol. 2019, 153, 1237–1257. [Google Scholar] [CrossRef]
- Mata-Sandoval, J.C.; Karns, J.; Torrents, A. Influence of rhamnolipids and Triton X-100 on the biodegradation of three pesticides in aqueous phase and soil slurries. J. Agric. Food Chem. 2001, 49, 3296–3303. [Google Scholar] [CrossRef] [PubMed]
- Odukkathil, G.; Vasudevan, N. Enhanced biodegradation of endosulfan and its major metabolite endosulfate by a biosurfactant producing bacterium. J. Environ. Sci. Health B 2013, 48, 462–469. [Google Scholar] [CrossRef]
- Wattanaphon, H.T.; Kerdsin, A.; Thammacharoen, C.; Sangvanich, P.; Vangnai, A.S. A biosurfactant from Burkholderia cenocepacia BSP3 and its enhancement of pesticide solubilization. J. Appl. Microbiol. 2008, 105, 416–423. [Google Scholar] [CrossRef] [PubMed]
- Wolf, D.C.; Gan, J. Influence of rhamnolipid biosurfactant and Brij-35 synthetic surfactant on 14C-Pyrene mineralization in soil. Environ. Pollut. 2018, 243, 1846–1853. [Google Scholar] [CrossRef]
- Crampon, M.; Cébron, A.; Portet-Koltalo, F.; Uroz, S.; Le Derf, F.; Bodilis, J. Low effect of phenanthrene bioaccessibility on its biodegradation in diffusely contaminated soil. Environ. Pollut. 2017, 225, 663–673. [Google Scholar] [CrossRef]
- Liu, Y.; Zeng, G.; Zhong, H.; Wang, Z.; Liu, Z.; Cheng, M.; Liu, G.; Yang, X.; Liu, S. Effect of rhamnolipid solubilization on hexadecane bioavailability: Enhancement or reduction? J. Hazard. Mater. 2017, 322, 394–401. [Google Scholar] [CrossRef]
- Tahseen, R.; Afzal, M.; Iqbal, S.; Shabir, G.; Khan, Q.M.; Khalid, Z.M.; Banat, I.M. Rhamnolipids and nutrients boost remediation of crude oil-contaminated soil by enhancing bacterial colonization and metabolic activities. Int. Biodeterior. Biodegradation 2016, 115, 192–198. [Google Scholar] [CrossRef]
- Mekwichai, P.; Tongcumpou, C.; Kittipongvises, S.; Tuntiwiwattanapun, N. Simultaneous biosurfactant-assisted remediation and corn cultivation on cadmium-contaminated soil. Ecotoxicol. Environ. Saf. 2020, 192, 110298. [Google Scholar] [CrossRef]
- Durval, I.B.; Resende, A.; Ostendorf, T.; Oliveira, K.G.O.; Luna, J.M.; Rufino, R.D.; Sarubbo, L.A. Application of Bacillus cereus UCP 1615 biosurfactant for increase dispersion and removal of motor oil from contaminated seawater. Chem. Eng. Trans. 2019, 74, 319–324. [Google Scholar] [CrossRef]
- Martínez-Pascual, E.; Grotenhuis, T.; Solanas, A.M.; Viñas, M. Coupling chemical oxidation and biostimulation: Effects on the natural attenuation capacity and resilience of the native microbial community in alkylbenzene-polluted soil. J. Hazard. Mater. 2015, 300, 135–143. [Google Scholar] [CrossRef] [PubMed]
- Janssen, D.B.; Stucki, G. Perspectives of genetically engineered microbes for groundwater bioremediation. Environ. Sci. Process Impacts 2020, 22, 487–499. [Google Scholar] [CrossRef] [PubMed]
- Kumar, P.T.; Vinod, P.T.; Phoha, V.V.; Iyengar, S.S.; Iyengar, P. Design of a smart biomarker for bioremediation: A machine learning approach. Comput. Biol. Med. 2011, 41, 357–360. [Google Scholar] [CrossRef] [PubMed]
- Sharma, B.; Dangi, A.K.; Shukla, P. Contemporary enzyme based technologies for bioremediation: A review. J. Environ. Manag. 2018, 210, 10–22. [Google Scholar] [CrossRef]
- Nasr, M. Modeling applications in bioremediation of hydrocarbon pollutants. In Microbial Action on Hydrocarbons; Kumar, V., Kumar, M., Prasad, R., Eds.; Springer: Singapore, 2019; pp. 181–197. [Google Scholar] [CrossRef]
- De Almeida, D.G.; Soares da Silva, R.D.; Luna, J.M.; Rufino, R.D.; Santos, V.A.; Banat, I.M.; Sarubbo, L.A. Biosurfactants: Promising molecules for petroleum biotechnology advances. Front. Microbiol. 2016, 7, 1718. [Google Scholar] [CrossRef] [PubMed]
- Crecente, C.; Rasmussen, K.; Torsaeter, O.; Storm, A.; Kowalewski, E. An experimental study of microbial improved oil recovery by using Rhodococcus sp.094. In Proceedings of the International Symposium of the Society of Core Analysts, Toronto, ON, Canada, 21–25 August 2005. Paper no. SCA2005-45. [Google Scholar]
- Perfumo, A.; Rancich, I.; Banat, I.M. Possibilities and challenges for biosurfactants use in petroleum industry. Adv. Exp. Med. Biol. 2010, 672, 135–145. [Google Scholar] [CrossRef]
- Mulligan, C.N.; Sharma, S.K.; Mudhoo, A. Biosurfactants: Research Trends and Applications; CRC Press: Boca Raton, FL, USA, 2014; 352p. [Google Scholar] [CrossRef]
- Plaza, G.A.; Chojniak, J.; Banat, I.M. Biosurfactant mediated biosynthesis of selected metallic nanoparticles. Int. J. Mol. Sci. 2014, 15, 13720–13737. [Google Scholar] [CrossRef]
- Banat, I.M.; Makkar, R.S.; Cameotra, S.S. Potential commercial applications of microbial surfactants. Appl. Microbiol. Biotechnol. 2000, 53, 495–508. [Google Scholar] [CrossRef]
- Eswari, J.S.; Dhagat, S.; Mishra, P. Biosurfactant assisted silver nanoparticle synthesis: A critical analysis of its drug design aspects. Adv. Nat. Sci. Nanosci. Nanotechnol. 2018, 9, 045007. [Google Scholar] [CrossRef]
- Sil, J.; Dandapat, P.; Das, S. Health care applications of different biosurfactants: Review. Int. J. Sci. Res. 2017, 6, 41–50. [Google Scholar] [CrossRef]
- Kitamoto, D.; Isoda, H.; Nakahara, T. Functions and potential applications of glycolipid biosurfactants—From energy-saving materials to gene delivery carriers. J. Biosci. Bioeng. 2002, 94, 187–201. [Google Scholar] [CrossRef]
- Lee, D.S.; Song, H.G. Antibacterial activity of isolated bacteria against Propionibacterium acnes causing acne vulgaris. Korean J. Microbiol. 2018, 54, 272–279. [Google Scholar] [CrossRef]
- Yuewen, L.; Ran, L.; Zhifei, L.; Jing, C.; Xinli, L. Comparison of the pharmaceutical activities of sophorolipids and nano-hydroxyapatite sophorolipids on cervical cancer cells. Chin. J. Appl. Environ. Biol. 2017, 3, 386–490. [Google Scholar]
- Al-wazni, W.S. Immunomodulator activity of biosurfactant extract from Serratia marcescens. Int. J. Microbiol. Res. 2016, 7, 36–42. [Google Scholar] [CrossRef]
- Muthusamy, K.; Gopalakrishnan, S.; Ravi, T.K.; Sivachidambaram, P. Biosurfactants: Properties, commercial production and application. Curr. Sci. 2008, 94, 736–747. [Google Scholar]
- Rufino, R.D.; Luna, J.M.; Campos-Takaki, G.M.; Ferreira, S.R.; Sarubbo, L.A. Application of the biosurfactant produced by Candida lipolytica in the remediation of heavy metals. Chem. Eng. Trans. 2012, 27, 61–66. [Google Scholar] [CrossRef]
- Chai, T.; Yan, H.; Zhang, Z.; Xu, M.; Wu, Y.; Jin, L.; Huang, G.; Fu, H. Optimization of enhanced ultrafiltration conditions for cd with mixed biosurfactants using the Box-Behnken response surface methodology. Water 2019, 11, 442. [Google Scholar] [CrossRef]
- Shoeb, E.; Akhlaq, F.; Badar, U.; Akhter, J.; Imtiaz, S. Classification and industrial applications of biosurfactants. AR Int. 2013, 4, 243. [Google Scholar]
- Fracchia, L.; Ceresa, C.; Franzetti, A.; Cavallo, M.; Gandolfi, I.; van Hamme, J.; Gkorezis, P.; Marchant, R.; Banat, I.M. Industrial applications of biosurfactants. In Biosurfact: Production and Utilization—Processes, Technologies, and Economics; Kosaric, N., Sukan, F.V., Eds.; CRC Press: Boca Raton, FL, USA, 2014; Volume 3, pp. 245–360. [Google Scholar]
- Kosaric, N. Biosurfactants and their application for soil bioremediation. Food Technol. Biotechnol. 2001, 39, 295–304. [Google Scholar]
- Campos, J.M.; Stamford, T.L.; Sarubbo, L.A.; de Luna, J.M.; Rufino, R.D.; Banat, I.M. Microbial biosurfactants as additives for food industries. Biotechnol. Prog. 2013, 29, 1097–1108. [Google Scholar] [CrossRef] [PubMed]
- Morita, T.; Konishi, M.; Fukuoka, T.; Imura, T.; Kitamoto, D. Physiological differences in the formation of the glycolipid biosurfactants, mannosylerythritol lipids, between Pseudozyma antarctica and Pseudozyma aphidis. Appl. Microbiol. Biotechnol. 2007, 74, 307–315. [Google Scholar] [CrossRef] [PubMed]
- Maeng, Y.; Kim, K.T.; Zhou, X.; Jin, L.; Kim, K.S.; Kim, Y.H.; Lee, S.; Park, J.H.; Chen, X.; Kong, M.; et al. A novel microbial technique for producing high-quality sophorolipids from horse oil suitable for cosmetic applications. Microb. Biotechnol. 2018, 11, 917–929. [Google Scholar] [CrossRef] [PubMed]
- Roy, A. A review on the biosurfactants: Properties, types and its application. J. Fundam. Renew. Energy Appl. 2017, 8, 100248. [Google Scholar] [CrossRef]
- Vecino, X.; Cruz, J.M.; Moldes, A.B.; Rodrigues, L.R. Biosurfactants in cosmetic formulations: Trends and challenges. Crit. Rev. Biotechnol. 2017, 37, 911–923. [Google Scholar] [CrossRef]
- Green Surfactants Market Size, Share, Price Analysis. Expert Market Research; 2022–2027. Available online: https://www.expertmarketresearch.com/reports/green-surfactants-market (accessed on 15 April 2023).
- Baccile, N.; Babonneau, F.; Banat, I.M.; Ciesielska, K.; Cuvier, A.-S.; Devreese, B.; Everaert, B.; Lydon, H.; Marchant, R.; Mitchell, C.A.; et al. Development of a cradle-to-grave approach for acetylated acidic sophorolipid biosurfactants. ACS Sustain. Chem. Eng. 2017, 5, 1186–1198. [Google Scholar] [CrossRef]
- Mgbechidinma, C.L.; Akan, O.D.; Zhang, C.; Huang, M.; Linus, N.; Zhu, H.; Wakil, S.M. Integration of green economy concepts for sustainable biosurfactant production—A review. Bioresour. Technol. 2022, 364, 128021. [Google Scholar] [CrossRef]








| Remediation Strategy | Contaminants | Description | Reference |
|---|---|---|---|
| Bioaugmentation + biosurfactant/surfactant-assisted biodegradation | Pyrene (10 mg/kg) | Successful bioaugmentation. Highly efficient biodegradation in uncorrected soil samples and with synthetic surfactants (Brij-35). Inhibition of biodegradation process when supplementation was performed with rhamnolipids, which were used as a preferential carbon source. | [147] |
| Biosurfactant-assisted biodegradation | Phenanthrene (0.1–1.0 mg/L) | Supplementation with rhamnolipids affected phenanthrene sorption kinetics, but exerted no influence on pollutant biodegradation kinetics. | [148] |
| Biosurfactant-assisted biodegradation | Hexadecane (2% v/v) | Pseudomonas aeruginosa produced rhamnolipids that increased availability of hexadecane; availability of hexadecane was reduced in the presence of Pseudomonas putida, which was not capable of producing rhamnolipids. Blocking effect by rhamnolipids caused reduction. Rhamnolipid dissipation also occurred. | [149] |
| Natural attenuation + bioaugmentation + biostimulation | Crude oil (3% w/v) | Bioaugmentation combined with biostimulation enabled achieving biodegradation faster and more efficiently. | [27] |
| Bioreactor (ex situ) | Crude oil (47.5 g kg) | Combined treatment with rhamnolipids + nutrients + a bacterial consortium led to an oil degradation efficiency of 77% in 90 days. | [150] |
| Phytoremediation (in situ) | Cadmium (39.06 mg/kg) | Higher levels of the phytoextraction of cadmium (Cd) occurred with the addition of biosurfactants on the 30th day of corn planting. | [151] |
| Ex-situ remediation using a Mobile Soil Remediation System (MSRS) | Motor oil (10% w/w) | Commercial biosurfactant from Starmerella bombicola enabled removing 92.4% of motor oil adsorbed to sand. | [122] |
| Biosurfactant-assisted biodegradation | Motor oil (10% w/w) | Addition of biosurfactant produced by Pseudomonas cepacia increased degradation of motor oil adsorbed to sand over a 70-day period. Increase in biosurfactant concentration increased pollutant solubilization, influencing removal rate. | [67] |
| Biosurfactant-assisted biodegradation | Motor oil (10% w/w) | Bacillus cereus produced biosurfactant that increased biodegradation of motor oil up to 96% compared to control over 27 days of incubation in seawater. | [152] |
| Industry | Field | Biosurfactants | Mechanism/Functioning/Property Used | Reference |
|---|---|---|---|---|
| Oil biotechnology | Extraction from crude oil reservoirs | Glycolipids and Lipopeptides | Biosurfactants enhance the formation of stable water-oil emulsions, break the film of oil on rock, and reduce interfacial tension, which reduces capillary forces that impede the movement of oil through the pores of rock | [158,159] |
| Transportation of oil through pipelines | Emulsan, alasan, biodispersan | Biosurfactants with high molecular weight form stable water-in-oil emulsions, assisting in the mobility of oil, reducing viscosity, and avoiding the coalescence of droplets | [160,161] | |
| Cleaning of oil storage tanks | Rhamnolipids | A well-circulated biosurfactant forms an oil-in-water emulsion, raises/mobilizes the sludge at the bottom of the tank, and solubilizes it in the previously formed emulsion | [162,163] | |
| Metallic corrosion | Anticorrosive agents | Rhamnolipids, lipopeptides, and glycolipids | Biosurfactants form a protective layer, impeding the occurrence of corrosion | [147] |
| Nanotechnology mining | Recovery of precious metals Silver and gold nanoparticles | Biodispersan exopolysaccharide from algae | Reduces energy needed to cleave the microstructure of ground limestone, solubilizes, and serves as a sequestering agent Biosurfactant-producing organisms convert (Ag-Au) NO3 into silver/gold particles using enzymes such as nitrate reductase | [162,163,164] |
| Medications/pharmaceuticals | Gene delivery Antimicrobial activity | Mannosylerythritol lipids (MEL) Anionic isoform of surfactin rhamnolipids | Cationic liposomes containing MEL-A effectively increases the transfection of genes in mammal cells Antimicrobial effect of biosurfactants manifests through activity similar to detergents | [165,166,167] |
| Anticancer activity | Sophorolipids | Biosurfactants as antiviral agents interrupt cell replication, favoring cell differentiation | [168] | |
| Immunological adjuvants | Surfactin | Immunomodulating biosurfactants increase the migration of polymorphic nuclear cells and the lymphocyte transformation rate, stimulating the immune system | [169] | |
| Antiviral activity | Ethyl ester of diacetate sophorolipid, surfactin | Biosurfactants inactivate viral lipid capsules and envelopes | [170] | |
| Antiadhesive agents | Sophorolipids | Adsorption of biosurfactants to a substrate modifies hydrophobicity of surface, affecting microbial adhesion and the desorption process | [171] | |
| Bioprocessing | Recovery of product | Sophorolipids Rhamnolipids | Surfactant properties contribute to the reverse micellar extraction of antibiotics and proteins | [172,173] |
| Leather | Stabilizer, dispersant, humectant | Biodispersan | Degreasing agent used as detergent for the skin, emulsifier, tanning and dying, wetting, and penetration | [174] |
| Textiles | Dispersants, penetrating agents | Nonspecific trehalotetraestercHAL2 | Removal of lipophilic components and oils from fibers as pretreatment; improved dispersion of dyes for uniform penetration into fibers | [174] |
| Paper | Cellulose processing | Biodispersan | Used for washing and de-resinification of pulp by de-foaming, dispersion, and evening of color | [174] |
| Paper manufacturing | Biodispersan | Chalk was effectively buried using biodispersan and used as filter in manufacturing of paper. Biosurfactant also used in calendaring through wetting, levelling, coating, and dying | [174] | |
| Paint protection/coating | Stabilizers, dispersants | Biodispersan | Employed as dispersant as humectant agent during milling and stabilization to improve the mixture properties | [175] |
| Food industry | Food emulsifiers | Polymeric biosurfactants | Alteration of rheological characteristics for desired consistency and texture of foods using emulsification properties | [176] |
| Food stabilizer | Rhamnolipids | Alteration of rheological characteristics of foods for desired consistency and texture | [176] | |
| Cosmetic industry | Emulsifiers, humectants, moisturizers, foaming agents | Sophorolipids Rhamnolipids MELs | Application of biosurfactants in cosmetics due to cytoprotective effect, low irritability, antiaging and antioxidant effects, moisturizing properties, wettability, tonifying of skin, and healing properties | [177,178,179] |
| Detergent for clothes | Foaming agent, dirt removal | Sophorolipids MEL | Properties such as formation of foam, reduction of surface tension, and solubilization are suitable for the fabrication of detergents | [180] |
Disclaimer/Publisher’s Note: The statements, opinions and data contained in all publications are solely those of the individual author(s) and contributor(s) and not of MDPI and/or the editor(s). MDPI and/or the editor(s) disclaim responsibility for any injury to people or property resulting from any ideas, methods, instructions or products referred to in the content. |
© 2024 by the authors. Licensee MDPI, Basel, Switzerland. This article is an open access article distributed under the terms and conditions of the Creative Commons Attribution (CC BY) license (https://creativecommons.org/licenses/by/4.0/).
Share and Cite
Faccioli, Y.E.d.S.; de Oliveira, K.W.; Campos-Guerra, J.M.; Converti, A.; Soares da Silva, R.d.C.F.; Sarubbo, L.A. Biosurfactants: Chemical Properties, Ecofriendly Environmental Applications, and Uses in the Industrial Energy Sector. Energies 2024, 17, 5042. https://doi.org/10.3390/en17205042
Faccioli YEdS, de Oliveira KW, Campos-Guerra JM, Converti A, Soares da Silva RdCF, Sarubbo LA. Biosurfactants: Chemical Properties, Ecofriendly Environmental Applications, and Uses in the Industrial Energy Sector. Energies. 2024; 17(20):5042. https://doi.org/10.3390/en17205042
Chicago/Turabian StyleFaccioli, Yslla Emanuelly da Silva, Kaio Wêdann de Oliveira, Jenyffer Medeiros Campos-Guerra, Attilio Converti, Rita de Cássia F. Soares da Silva, and Leonie A. Sarubbo. 2024. "Biosurfactants: Chemical Properties, Ecofriendly Environmental Applications, and Uses in the Industrial Energy Sector" Energies 17, no. 20: 5042. https://doi.org/10.3390/en17205042
APA StyleFaccioli, Y. E. d. S., de Oliveira, K. W., Campos-Guerra, J. M., Converti, A., Soares da Silva, R. d. C. F., & Sarubbo, L. A. (2024). Biosurfactants: Chemical Properties, Ecofriendly Environmental Applications, and Uses in the Industrial Energy Sector. Energies, 17(20), 5042. https://doi.org/10.3390/en17205042

