Next Article in Journal
Hourly Photovoltaic Production Prediction Using Numerical Weather Data and Neural Networks for Solar Energy Decision Support
Next Article in Special Issue
The Effect of Magnetic Anisotropy on the Computed Specific Total Loss in Electrical Steel
Previous Article in Journal
A Pore Scale Study on Heat Transfer Characteristics of Integrated Thermal Protection Structures with Phase Change Material
Previous Article in Special Issue
Influence of the Skin and Proximity Effects on the Thermal Field in a System of Two Parallel Round Conductors
 
 
Font Type:
Arial Georgia Verdana
Font Size:
Aa Aa Aa
Line Spacing:
Column Width:
Background:
Article

Comprehensive Study of SDC Memristors for Resistive RAM Applications

Faculty of Electrical Engineering, Automatics, Computer Science and Biomedical Engineering, AGH University of Kraków, al. Mickiewicza 30, 30-059 Krakow, Poland
*
Author to whom correspondence should be addressed.
Energies 2024, 17(2), 467; https://doi.org/10.3390/en17020467
Submission received: 15 December 2023 / Revised: 9 January 2024 / Accepted: 15 January 2024 / Published: 18 January 2024

Abstract

Memristors have garnered considerable attention within the scientific community as devices for emerging construction of Very Large Scale Integration (VLSI) systems. Owing to their inherent properties, they appear to be promising candidates for pivotal components in computational architectures, offering alternatives to the conventional von Neumann architectures. This work has focused on exploring potential applications of Self-Directed Channel (SDC) memristors as novel RRAM memory cells. The introductory section of the study is dedicated to evaluating the repeatability of the tested memristors. Subsequently, a detailed account of the binary programming testing process for memristors is provided, along with illustrative characteristics depicting the impact of programming pulses on a memory cell constructed from a memristor. A comprehensive data analysis was then conducted, comparing memristors with varying types of doping. The results revealed that SDC memristors exhibit a high level of switching, certainty between the Low Resistance State (LRS) and High Resistance State (HRS), suggesting their capability to facilitate the storage of multiple bits within a single memory cell.

1. Introduction

Due to the limitations of the von Neumann architecture, in the conventional computing systems the solution of many classical problems such as combinatorial optimization, neural networks, inverse logic, etc., usually require huge computational space, memory and extremely long running times. To solve these problems efficiently, new computer architecture proposals are constantly being researched. Among many of them the architecture involving Memristors brought a great attention of the scientific community as devices for the new generations of Very Large Scale Integration (VLSI) systems. Memristors are non-linear two-terminal components postulated by Leon O. Chua in 1971 [1]. After Professor Chua’s postulation regarding memristors, subsequent years were dedicated to the quest for the actual implementations of the memristor. In 2008, the engineering team under the leadership of Stanley Williams at HP Laboratories presented the first physical realization of the proposed element [2,3].
One of the most attractive properties of memristors is that the memristor can adopt a continuous range of different equilibrium states when the power is switched off at any time [4]. It follows that memristors can serve as a non-volatile analogue memory. The existence of nanoscale memristor behavior opens up a wide range of possibilities in the realization of low-power, high-density memory technologies that could replace existing technologies (flash memories and dynamic random-access memories) and have been thoroughly examined in-depth over the past few decades through extensive scientific research [5,6,7,8,9,10,11,12]. When two sufficiently different internal state values are chosen to encode desired states, memristors can be used as non-volatile multi-state memory cells [13,14,15,16]. This property seems to find a perfect application in memory devices industry, as the possible memory capacity might increase exponentially. Since memristors can handle analogue values and, in addition, the memristor is able to simulate synaptic connections between neurons, some future memristor-based devices could be designed to mimic biological functions and be used to build a brain-like computer [17,18,19]. An intriguing investigation concerning SDC memristors involves their application in modulation/demodulation transceiver links within the context of Binary Phase Shift Keying (BPSK) communication systems [20].
The research delved into the potential applications of SDC (Self-Directed Channel) memristors with various types of doping as prospective new RRAM/CBRAM memory cells. In Figure 1, a comparison between currently employed DRAM memory cells and a potential RRAM memory cell based on a memristor is depicted. Such a cell would possess numerous advantages, including the absence of the need for refreshing with each working cycle, data retention even after power loss, and, leveraging features such as multi-state capability, the ability to perform logical operations directly in the memory without the necessity for prior readout to the CPU register. The construction of SDC-doped memristors has been elucidated in the literature [21,22,23].
The initial section of the document involved the verification of memristor quality by calculating indicators describing of its quality and repeatability. Subsequently, the process of testing the binary state programming of memristors was described, and exemplary programming characteristics of memristors were presented. In the following section, an individual analysis for a specific case was detailed, followed by a collective data analysis comparing various doping types of memristors. Conclusions were drawn, and an algorithm for programming multi-state SDC memristors has been proposed.

2. Materials and Methods

SDC (Self-Directed Channel) memristors with tungsten, tin, chromium, and carbon doping were tested and compared with each other during the tests. In order to measure the memristor current and to limit it below its nominal value, i.e., 1 mA for W, Sn, and Cr-doped memristors and 50 µA for C doping [21], the memristor was connected in series with a high quality linear resistor R s . In the case of W, Sn, Cr doping, the resistance R s was 5.11 k Ω while in the case of C doping, R s was 47.5 k Ω . The u r voltage measured at resistor R s , according to Ohm’s law, is directly proportional to the current and its known resistance, which allows the memristor current to be obtained by multiplying the voltage across the resistor by the reciprocal of its resistance. The conceptual diagram of the measurement system is shown in Figure 2a. All tested memristors were prepared using the same forming procedure before the tests began. With the myDAQ University Kit from National Instruments containing a measurement board and function generator, the supply voltage was generated and the u m and u r signals were collected [24]. The current of the memristor were calculated using Ohm’s law ( i m = u r R s ) . The circuit connection diagram for the measuring device is shown in Figure 2b. For the AC analysis tests conducted in Section 3, the sampling rate of the acquisition signal depended on the frequency of the forcing signal, so that 1000 points were collected for each signal period. The relation between sampling rate f r and the forcing signal frequency f s can be expressed as:
f r = 10 3 f s
The sampling frequency for bi-stable programming tests was constant and set to 10 kHz. The timer of the measurement card was synchronized with the timer of the signal generator.
For the generation, acquisition, and processing of specific signals, a dedicated algorithm written in the Python (ver.3.10) programming language was employed. This algorithm utilizes the nidaqmx library for communication with DAQ (Data Acquisition) devices, along with supporting libraries for numerical computations and data processing, including pandas, numpy, scipy, and matplotlib. For specific computations and visualizations, the Matlab R2023a software package was also employed.

Self-Directed Channel Memristors

SDC memristors exhibit variability in resistance by leveraging ion-conductive properties, specifically through the migration of Ag + ions within the device structure [21,22,25].
Despite the presence of numerous thin layers, the manufacturing process remains straightforward and dependable. All layers, including the top electrode, are deposited in situ in a single processing step through sputtering. The consistent separation between the Ag-source (comprising Ge 2 Se 3 / Ag / Ge 2 Se 3 layers) and the top electrode allows for high-temperature processes, enabling prolonged continuous operation at 150 °C [21]. Additionally, there is no need for a high voltage forming step, as the set voltage during regular device operation can efficiently transition a pristine device into a low-resistance state [26] Moreover, the programming voltages and compliance current values required are significantly lower compared to traditional metal-oxide RRAMs, resulting in reduced power consumption [25,27].
Each package encompasses 16 discrete SDC devices initially in a high-resistance state (M Ω –G Ω range) [21]. The initial operational step produces Sn ions from the SnSe layer, facilitating their incorporation into the active Ge 2 Se 3 layer. This incorporation process involves the formation of self-trapped electrons within the Ge 2 Se 3 active layer, leading to the distortion of Ge–Ge bonds by reacting with Ag. This distortion creates an ’opening’ near the Ge–Ge sites, establishing a natural conductive channel for the movement of Ag + during device operation. Importantly, this pathway does not manifest as a metallic filament between electrodes but functions as a channel with resistance influenced by varying concentrations of Ag. The tunable resistance can be adjusted in both lower and higher directions by manipulating Ag movement through the application of positive (SET) or negative (RESET) potential, respectively, across the device [26]. The absence of a physical conductive filament results in a less abrupt set transition (yielding a low-resistive state, LRS) compared to metal-oxide technology [27]. In contrast, the reset operation (leading to a high-restive state, HRS) occurs suddenly, disrupting loop symmetry. The low power consumption is attributed to small currents and notably low voltage levels required for set and reset, as there is no necessity for initiating a true soft breakdown in the device [25].
Knowm Inc. produces four versions of dopants introduced into the active layer of memristors:
  • Tungsten W ;
  • Carbon C ;
  • Tin Sn ;
  • Chromium Cr .
Each dopant alters the dynamic switching characteristics of resistance [21,23]. In Figure 3, the construction and operating principle of these devices are depicted in a simplified manner.

3. Analysis of SDC Memristors Quality

This section presents the study over the quality of the memristor behaviour over the switching process. This aspect is especially important from the point of view of potential applications of SDC memristors in memristive RAM cells.

3.1. Pinched Hysteresis Loop of the SDC Memristors

One of the fingerprints of memristors is their specific response on periodic signals [1]. When the periodic signal with zero mean is applied (current or voltage) all memristors must exhibit a characteristic hysteresis loop pinched at origin of v i domain. This phenomenon is said to provide necessary and sufficient conditions for identifying experimentally whether a device is a memristor, or not [28,29]. In Figure 4, the characteristic hysteresis loops on v i domain for each SDC memristors considered in the work are presented. The amplitude and frequency of the generating sine signal was V s = 1.5 [ V ] and f z = 20 [ Hz ] accordingly. It can be noticed that SDC memristors are unstable during the switching process both from the OFF state (high resistance) to the ON state (low resistance) and v.v. For clarity of the observation the averaged signal over all 100 periods of the generation signal has been presented, here indicated by the red line. To illustrate the evolution of the memristor’s hysteresis loop during the course of the investigation, the measurement points was colorized using a gradient based on the sequential number of signal periods. As observed, the i m = f ( u m ) characteristic of the memristor undergoes changes with successive periods of the driving signal, indicating a correlation with the supplied energy, i.e., the temperature of the memristor. This phenomenon is particularly pronounced in the case of Chromium-doped memristors. The comprehensive study over the variations of the memristors behavior with temperature has been studied in [22]. On Figure 5 the calculated STD (standard deviation) factor from the average has been presented. Looking at STD values one can assume that the most stable switching might be considered the memristor with carbon dopant where the STD factor does not exceed 6 × 10 4 on the other hand the chromium doped memristor where the STD factor reaches values of 5 × 10 2 . It is worth to notice that deviations from the average are higher during the resetting process. This phenomenon can be seen on Figure 4. The exception is the memristor doped with Tin where some unstable behavior are noticed during the setting process. Significant deviations from the referenced characteristics can also be seen at the final periods, so trivially it is hard to separate two different transition characteristic, based only on electric energy provided to the memristor. On the other hand after set and reset process all memristors reaches stable state condition what is the most important in the field of RRAM application.
To analyze the quality of data and assess the repeatability of a given memristor’s behavior, certain statistical coefficients were calculated based on the collected measurement data. In order to compare the measured values for each period j (where j 1 , m , and m is the number of periods) with the averaged period, the coefficient δ j was proposed. It is understood as the normalized standard deviation relative to the coefficient of the mean value and can be described by the following relationship [30]:
δ j = k = 1 n i k ¯ i k , j 2 k = 1 n i k ¯ 2
where n = 1000 represents the number of points per period, j denotes the index of the successive period, i k , j signifies the current at point k during the j-th period, and i k ¯ indicates the current at point k for the averaged period.
To estimate the error across all periods in a given measurement, the coefficient ε was proposed as the root mean square of the coefficients δ j . The relationship is expressed as follows [30]:
ε = 1 m j = 1 m δ j 2
Using the Matlab environment, the aforementioned coefficients were computed for each measurement and aggregated in Table 1.
It can be observed that the chromium-doped element is the least stable, while other dopings exhibit a similar level of stability. The smallest error estimate ε is observed for tungsten doping with a supply voltage amplitude V s = 1.5 V and a frequency f = 20 Hz , whereas the largest is for chromium doping with V s = 1.5 V and f = 50 Hz . The worst-case scenario is intriguing, as the memristor behaved almost like a resistor for the first 15 periods before undergoing a state change. In Table 2, the medians of error estimates med ( ε ) for each type of doping are presented.

3.2. Change in the Memristor’s Resistance

The memristor as an non-linear element has its internal variable state which has an direct influence on it’s final resistance. The memristor’s state changes proportionally to the magnetic flux or electric charge that has passed through the element. On the Figure 6 the resistance variation during the setting and resetting process described in Section 3.1 is presented, notice that resistance axis is in logarithmic scale. For the comparison reason the parameters of the generating signal is the same as for the hysteresis loop presented on the Figure 4 and Figure 5. It can be noticed that applying the input signal the memristor’s state, i.e., its resistance, can be changed significantly in the order of some magnitudes. The setting process requires smaller voltage value then resetting. This aspect is studied in the next section.

4. The Testing Process for Memristor Programming

The programming process of the circuit shown in Figure 2b was carried out by supplying the memristor with appropriate pulses: programming pulses (with positive polarization), measuring resistance (at low amplitude, below the threshold voltage of the memristor), and resetting pulses (with negative polarization). The tests pulses for the resistance measurement uses the property of the memristors that below some threshold voltage the memristor state, i.e., its resistance stays unchanged. The conceptual process of setting and resetting the memristor is illustrated in Figure 7.
During the process of the experiments, current and voltage waveforms of the memristor are recorded for each pulse. Subsequently, for the purpose of smoothing measurements and reducing the impact of disturbances, a Savitzky–Golay smoothing filter is applied, as described in [31]. During the resistance measurement pulse, the instantaneous resistance is calculated from the recorded and filtered current and voltage signals using the equation r = u ( t ) i ( t ) . Subsequently, its average value is determined by the following formula:
R = 1 T 0 T r ( t ) d t
where: r is the instantaneous resistance, T pulse width and R reference resistance value. During the programming pulse, the following parameters are calculated from the recorded, filtered current and voltage signals:
  • Charge flowing through the memristor q;
  • Memristor energy E.
Memristor energy is calculated as the integral of the instantaneous power, which is the product of the instantaneous current and the instantaneous voltage:
E = 0 T i ( t ) u ( t ) d t
The charge flowing through the memristor is calculated as the integral of the instantaneous current according to the following relationship:
q = 0 T i ( t ) d t

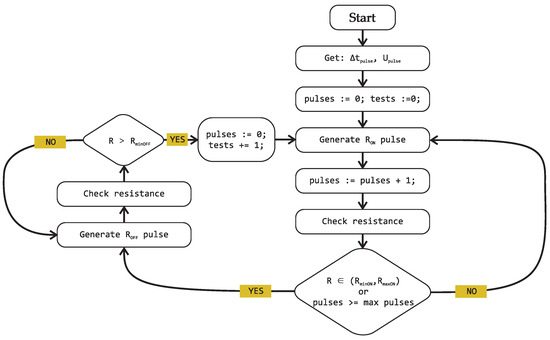
5. Algorithm for Memristor Programming

The block diagram of the testing process is presented in Figure 8. The main concept of the algorithm is to generate programming pulses until the R ON state is achieved, i.e., the memristor’s resistance is within the specified range. The resistance ranges have been experimentally determined and based on previous studies of the memristor response to various pulses, and they are as follows:
  • For memristors doped with tungsten, tin, and chromium: R ON ( 0 , 5 [ k Ω ] , R OFF 10 , ) [ k Ω ]
  • For memristors doped with carbon: R ON ( 0 , 100 [ k Ω ] , R OFF 200 , ) [ k Ω ]
Between the R ON and R OFF states, there is an unknown state used for error detection, referred to as u n k n o w n .
After acquiring the data, which includes the pulse width Δ t pulse and pulse amplitude V pulse , the memristor is brought into the R OFF state by applying a reset pulse. Subsequently, a programming pulse with the specified parameters is generated, followed immediately by resistance measurement using a measuring pulse. If the R ON state is achieved, reset pulses are generated until the R OFF state is reached. If the R ON state is not achieved, the generation of programming and resistance-measuring pulses is repeated until the R ON state is reached or the maximum number of pulses, here 10, is reached. The parameters of the programming, resistance-measuring, and resetting pulses are presented below:
  • Reset pulse: pulse width Δ t pulse { 5 , 10 , 50 , 100 } [ ms ] ,
    pulse amplitude V pulse { 1 , 1.5 , 2 } [ V ] ,
  • Reset pulse: pulse width Δ t pulse = 100 [ms],
    pulse amplitude V pulse = 2.5 [V],
  • Resistance-measuring pulse: pulse width Δ t pulse = 10 [ms],
    pulse amplitude V pulse = 0.15 [V].
The parameters of the reset pulse were selected to ensure the memristor’s reset to a high-resistance state. To obtain signals during the pulse, values above a certain voltage on the memristor or resistance were screened using a kind of trigger set above the signal noise level. A test is defined as the time in which a single transition of the memristor occurs from the R OFF state to the R ON state, and experiments involve conducting 100 tests. The studies were carried out for each combination of programming pulse amplitude and width. All measured values were aggregated and saved in a *.csv file for in-depth analysis.

6. Results

This section presents the results of tests carried out while programming the memristor to ON and OFF states. Both memristor’s behavior during the transient time and the impact of the programming pulses characteristics are discussed. Some preliminary conclusions are provided.

6.1. Sample Memristor Characteristics during Programming

In Figure 9, the current waveform i m ( t ) and voltage waveform u m ( t ) during the programming pulse with a pulse width of 50 [ms] and an amplitude of 1.5 [V] are presented. As observed, the waveforms can be approximated fairly well with an exponential function, as demonstrated in the figure. It is evident that the programming was successful, as both current and voltage have stabilized in a low-resistance state. The application of the Savitzky–Golay smoothing filter is apparent, leading to the smoothing and noise reduction of the obtained data.
In Figure 10, the resistance waveform R ( t ) and the conductance waveform G ( t ) of the memristor during the programming pulse are presented, with a pulse width of 50 ms and an amplitude of 1.5 V. These waveforms are also exponential, as demonstrated by fitting the waveforms to an exponential curve.
In Figure 11, the evolution of resistance R ( t ) of the memristor is presented in the domain of supplied energy E and supplied charge q to the memristor during the programming pulse.

6.2. Sample Results of the Study for Selected Cases

The collected data from the measurements were aggregated and analyzed. The following section delineates an illustrative individual case, pertaining to a tin-doped memristor that was programmed with pulses of 1.5 V amplitude and a programming pulse width of 5 ms.
In Figure 12a, the number of pulses after which each test was concluded is presented in the form of a bar chart. It can be observed that a portion of the tests was completed after the first pulse, while there are tests that concluded after a number of pulses exceeding one. In Figure 12b, a cumulative charge delivered to the memristor during the test is presented in the form of a bar chart. Figure 12c shows a chart representing the energy dissipated in the memristor during the test. As can be observed, these charts are clearly correlated with the chart in Figure 12a. In Figure 12d, a bar chart is presented, showing the number of tests that concluded after a given pulse. It can be observed that the first pulse, 76% of the tests were successful.

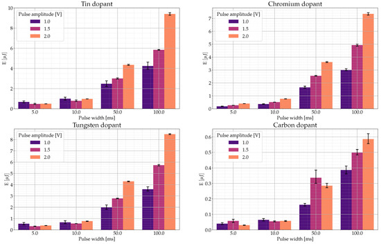
6.3. Collective Analysis of the Data

To compare the results of bi-stable programming research, several comparative graphs were created. In Figure 13, the averaged energy required to write one bit is presented in the form of a bar chart, depending on the doping of the memristor, pulse width, and pulse amplitude. Additionally, to represent the spread of results, an error bar was applied, calculated based on the confidence interval [32]. The averaged energy was computed based on the cumulative energy supplied to the memristor during a single test. As observed, the average energy needed to program one bit increases with the widening of the pulse and its amplitude. It can also be inferred that for low pulse width values, the averaged energy does not significantly increase with amplitude, and in most types of memristor doping, it even decreases, the reason for this is that there is no need for a large number of programming pulses. The spread of energy values required for writing one bit is not high.
In Figure 14, the averaged charge required to write one bit is presented in the form of a bar chart, depending on the doping of the memristor, pulse width, and pulse amplitude. The charts exhibit a high correlation with the graphs in Figure 13, showing similar dependencies. This is not surprising, as energy is highly dependent on the supplied charge q.
In Figure 15, a bar chart is presented, showing the percentage of tests in which the R ON state was achieved after the first pulse, depending on the doping of the memristor, pulse width, and pulse amplitude. The registered data from Figure 15 have been aggregated and shown in Table 3. It can be observed that the percentage of tests resulting in a state change after the first programming pulse increases with the widening of the pulse and its amplitude. It is noteworthy that a high efficacy (even reaching 100%) of state switching after the first programming pulse is achieved with a small pulse width of 5 ms and a high amplitude of 2 V. It can also be inferred that the chromium-doped memristor exhibits the highest efficiency in switching between states, even for low pulse amplitudes.
In Figure 16, the averaged value of the resistance R m after the first programming pulse is presented in the form of a bar chart, depending on the doping of the memristor, pulse width, and pulse amplitude. It can be observed that the average resistance of the memristor decreases with the increase in pulse width and amplitude. Additionally, the memristor resistance is much more sensitive to the amplitude of the programming pulse than its width. An increase in the amplitude of the programming pulse causes a significantly higher change in the resistance value compared to an increase in pulse width.
In Figure 17 the distribution of memristor resistance R m , after first programming pulse, divided by its doping has been shown. As can be observed, a chromium-doped memristor exhibits the lowest resistance values after the first pulse, with values concentrated most closely around the mean resistance value.

7. Conclusions

As a result of the conducted research on programming memristors, the following conclusions were drawn:
  • SDC Memristors exhibit a high certainty of switching between LRS and HRS states and seem to be appropriate candidate for a 1-bit memory cell. The carbon-doped memristors exhibit the most favorable characteristics due to their minimal average energy consumption during state transitions. However, the low nominal current may introduce measurement errors, especially in the high-resistance state (HRS) where noise and disturbances can impact accuracy.
  • The research indicates that SDC memristors are much more sensitive to the programming pulse voltage than its width. Hence, it is possible to shorten the programming time (with high certainty) by increasing the voltage and reducing the pulse width. Optimal programming is achieved with a pulse of 2 V amplitude and 5 ms width, providing a high certainty of state switching after the initial pulse, low average energy consumption, and rapid programming.
  • Observations during certain programming tests revealed that the memristor exhibited a phenomenon known as state retention, where it became entrapped within specific resistance ranges. Subsequent pulses did not induce a change in its state, a phenomenon previously documented in the literature [33,34,35]. Additionally, it was observed that, to successfully program a memristor following several failed programming pulses, employing a reset pulse before the subsequent programming pulse proved more effective than relying solely on programming pulses.
  • Given the variation in resistance values observed during the execution of identical programming pulses for memristors, even those with the same doping type, it becomes imperative to validate the current state, which was also mentioned [13].
  • Due to the limited time retention characteristics of the SDC memristor, employing it as a RAM cell without periodic state refreshing poses a potential risk of inadvertent alteration of the programmed state. Therefore, the application of SDC memristors appears more suitable in neuron models, such as Leaky Integrate-and-Fire Neurons [36].
  • Precise execution of write and read operations, selection and control, as well as reliability verification of multi-state memristors, should continue to be the focus of materials and electrical engineering research.
  • The series connection of the linear resistor and memristor results in a lack of control over the amount of charge flowing through the memristor. This involves some measurement uncertainty. The workaround for this problem may be the proposal to convert the signal generation from a voltage source to a current source. This aspect is the subject of further research.
  • In the context of multi-bit memory cells, it is recommended to employ various pulse voltage values to power the memristor. The most noticeable changes occur when adjusting the amplitude, enhancing adaptability and increasing potential information storage capacity. This approach positions the memristor as a promising candidate for configurations involving multi-bit memory. The memristors’ application for multi-bit memory cell is the subject of further study.
  • Future research will delve into the impact of the Joule heating effect on memristors and effect of PVT variations.

Author Contributions

Conceptualization, B.G.; methodology, B.G. and K.B.; software, K.B.; validation, B.G. and K.B.; resources, B.G. and K.B.; data curation, K.B.; writing—original draft preparation, B.G. and K.B.; writing—review and editing, B.G. and K.B.; visualization, K.B.; supervision, B.G. All authors have read and agreed to the published version of the manuscript.

Funding

The research presented in the article was financed by the Polish Ministry of Education and Science as part of a subsidy for AGH University in Krakow and from the AGH Rector’s grant No. 26/GRANT/2023 for AGH Student Scientific Clubs.

Data Availability Statement

The data acquired during measurements and programming algorithms have been publicly shared on the GitHub platform at the following link: https://github.com/mancorz98/memristor_programming_study (accessed on 11 December 2023).

Conflicts of Interest

The authors declare no conflict of interest.

References

  1. Chua, L.O. Memristor: The missing circuit element. IEEE Trans. Circ. Theory 1971, 18, 507–519. [Google Scholar] [CrossRef]
  2. Strukov, D.; Snider, G.; Stewart, D.; Williams, S. The Missing Memristor Found. Nature 2008, 453, 80–83. [Google Scholar] [CrossRef] [PubMed]
  3. Williams, R.S. How We Found The Missing Memristor. IEEE Spectr. 2008, 45, 28–35. [Google Scholar] [CrossRef]
  4. Agudov, N.V.; Safonov, A.V.; Krichigin, A.V.; Kharcheva, A.A.; Dubkov, A.A.; Valenti, D.; Guseinov, D.V.; Belov, A.I.; Mikhaylov, A.N.; Carollo, A.; et al. Nonstationary distributions and relaxation times in a stochastic model of memristor. J. Stat. Mech. Theory Exp. 2020, 2020, 024003. [Google Scholar] [CrossRef]
  5. Emelin, E.V.; Cho, H.D.; Korepanov, V.I.; Varlamova, L.A.; Klimchuk, D.O.; Erohin, S.V.; Larionov, K.V.; Kim, D.Y.; Sorokin, P.B.; Panin, G.N. Resistive Switching in Bigraphene/Diamane Nanostructures Formed on a La3Ga5SiO14 Substrate Using Electron Beam Irradiation. Nanomaterials 2023, 13, 2978. [Google Scholar] [CrossRef]
  6. Abbas, H.; Li, J.; Ang, D.S. Conductive Bridge Random Access Memory (CBRAM): Challenges and Opportunities for Memory and Neuromorphic Computing Applications. Micromachines 2022, 13, 725. [Google Scholar] [CrossRef]
  7. Cho, H.; Kim, S. Short-Term Memory Dynamics of TiN/Ti/TiO2/SiOx/Si Resistive Random Access Memory. Nanomaterials 2020, 10, 1821. [Google Scholar] [CrossRef]
  8. Pedretti, G.; Ielmini, D. In-Memory Computing with Resistive Memory Circuits: Status and Outlook. Electronics 2021, 10, 1063. [Google Scholar] [CrossRef]
  9. Ryu, H.; Kim, S. Self-Rectifying Resistive Switching and Short-Term Memory Characteristics in Pt/HfO2/TaOx/TiN Artificial Synaptic Device. Nanomaterials 2020, 10, 2159. [Google Scholar] [CrossRef]
  10. Shen, Z.; Zhao, C.; Qi, Y.; Mitrovic, I.Z.; Yang, L.; Wen, J.; Huang, Y.; Li, P.; Zhao, C. Memristive Non-Volatile Memory Based on Graphene Materials. Micromachines 2020, 11, 341. [Google Scholar] [CrossRef]
  11. Roldán, J.B.; González-Cordero, G.; Picos, R.; Miranda, E.; Palumbo, F.; Jiménez-Molinos, F.; Moreno, E.; Maldonado, D.; Baldomá, S.B.; Moner Al Chawa, M.; et al. On the Thermal Models for Resistive Random Access Memory Circuit Simulation. Nanomaterials 2021, 11, 1261. [Google Scholar] [CrossRef]
  12. Mikhaylov, A.; Guseinov, D.; Belov, A.; Korolev, D.; Shishmakova, V.; Koryazhkina, M.; Filatov, D.; Gorshkov, O.; Maldonado, D.; Alonso, F.; et al. Stochastic resonance in a metal-oxide memristive device. Chaos Solitons Fractals 2021, 144, 110723. [Google Scholar] [CrossRef]
  13. Wang, C.; Si, Z.; Jiang, X.; Malik, A.; Pan, Y.; Stathopoulos, S.; Serb, A.; Wang, S.; Prodromakis, T.; Papavassiliou, C. Multi-State Memristors and Their Applications: An Overview. IEEE J. Emerg. Sel. Top. Circuits Syst. 2022, 12, 723–734. [Google Scholar] [CrossRef]
  14. Stathopoulos, S.; Khiat, A.; Trapatseli, M.; Cortese, S.; Serb, A.; Valov, I.; Prodromakis, T. Multibit memory operation of metal-oxide bi-layer memristors. Sci. Rep. 2017, 7, 17532. [Google Scholar] [CrossRef]
  15. Kim, H.; Sah, M.P.; Yang, C.; Chua, L.O. Memristor-based multilevel memory. In Proceedings of the 2010 12th International Workshop on Cellular Nanoscale Networks and Their Applications (CNNA 2010), Berkeley, CA, USA, 3–5 February 2010; pp. 1–6. [Google Scholar] [CrossRef]
  16. Wang, C.; Xie, L.; Jiang, X.; Ge, R.; Papavassiliou, C. Design of a Multi-State Memristive Memory. In Proceedings of the 2021 28th IEEE International Conference on Electronics, Circuits, and Systems (ICECS), Dubai, United Arab Emirates, 28 November–1 December 2021; pp. 1–6. [Google Scholar] [CrossRef]
  17. Shatnawi, M.T.; Khennaoui, A.A.; Ouannas, A.; Grassi, G.; Radogna, A.V.; Bataihah, A.; Batiha, I.M. A Multistable Discrete Memristor and Its Application to Discrete-Time FitzHugh-Nagumo Model. Electronics 2023, 12, 2929. [Google Scholar] [CrossRef]
  18. Yu, F.; Lin, Y.; Xu, S.; Yao, W.; Gracia, Y.M.; Cai, S. Dynamic Analysis and FPGA Implementation of a New Fractional-Order Hopfield Neural Network System under Electromagnetic Radiation. Biomimetics 2023, 8, 559. [Google Scholar] [CrossRef]
  19. Stasenko, S.V.; Mikhaylov, A.N.; Kazantsev, V.B. Control of Network Bursting in a Model Spiking Network Supplied with Memristor-Implemented Plasticity. Mathematics 2023, 11, 3888. [Google Scholar] [CrossRef]
  20. Gao, R.; Shen, Y. BPSK Circuit Based on SDC Memristor. Micromachines 2022, 13, 1306. [Google Scholar] [CrossRef]
  21. KNOWM. Self-Directed Channel Memristors, 3.2 ed.; KNOWM: Santa Fe, NM, USA, 2019. [Google Scholar]
  22. Campbell, K.A. Self-directed channel memristor for high temperature operation. Microelectron. J. 2017, 59, 10–14. [Google Scholar] [CrossRef]
  23. Ostrovskii, V.; Fedoseev, P.; Bobrova, Y.; Butusov, D. Structural and Parametric Identification of Knowm Memristors. Nanomaterials 2022, 12, 63. [Google Scholar] [CrossRef]
  24. National Instruments. 11500 N Mopac Expwy. In USER GUIDE NI myDAQ; National Instruments: Austin, TX, USA, 2023. [Google Scholar]
  25. Benatti, L.; Zanotti, T.; Pavan, P.; Puglisi, F.M. Ultra-low power logic in memory with commercial grade memristors and FPGA-based smart-IMPLY architecture. Microelectron. Eng. 2023, 280, 112062. [Google Scholar] [CrossRef]
  26. Campbell, K.A. The Self-directed Channel Memristor: Operational Dependence on the Metal-Chalcogenide Layer. In Handbook of Memristor Networks; Chua, L., Sirakoulis, G.C., Adamatzky, A., Eds.; Springer International Publishing: Cham, Switzerland, 2019; pp. 815–842. [Google Scholar] [CrossRef]
  27. Wong, H.S.P.; Lee, H.Y.; Yu, S.; Chen, Y.S.; Wu, Y.; Chen, P.S.; Lee, B.; Chen, F.T.; Tsai, M.J. Metal–Oxide RRAM. Proc. IEEE 2012, 100, 1951–1970. [Google Scholar] [CrossRef]
  28. Filatov, D.O.; Vrzheshch, D.V.; Tabakov, O.V.; Novikov, A.S.; Belov, A.I.; Antonov, I.N.; Sharkov, V.V.; Koryazhkina, M.N.; Mikhaylov, A.N.; Gorshkov, O.N.; et al. Noise-induced resistive switching in a memristor based on ZrO2(Y)/Ta2O5 stack. J. Stat. Mech. Theory Exp. 2019, 2019, 124026. [Google Scholar] [CrossRef]
  29. Agudov, N.; Dubkov, A.; Safonov, A.; Krichigin, A.; Kharcheva, A.; Guseinov, D.; Koryazhkina, M.; Novikov, A.; Shishmakova, V.; Antonov, I.; et al. Stochastic model of memristor based on the length of conductive region. Chaos Solitons Fractals 2021, 150, 111131. [Google Scholar] [CrossRef]
  30. Garda, B. Modeling of Memristors under Periodic Signals of Different Parameters. Energies 2021, 14, 7264. [Google Scholar] [CrossRef]
  31. Schafer, R.W. What is a Savitzky-Golay filter? [lecture notes]. IEEE Signal Process. Mag. 2011, 28, 111–117. [Google Scholar] [CrossRef]
  32. O’Brien, S.F.; Yi, Q.L. How do I interpret a confidence interval? Transfusion 2016, 56, 1680–1683. [Google Scholar] [CrossRef]
  33. Yang, C.; Jin, S.; Shen, J.; Wang, Z. On Tolerating Variations and Faults in Memristor Crossbar Based Neural Network Accelerators by Network Expansion and Weight Zeroing. In Proceedings of the 2023 IEEE 32nd Asian Test Symposium (ATS), Los Alamitos, CA, USA, 14–17 October 2023; pp. 1–6. [Google Scholar] [CrossRef]
  34. Yeo, I.; Chu, M.; Gi, S.G.; Hwang, H.; Lee, B.G. Stuck-at-Fault Tolerant Schemes for Memristor Crossbar Array-Based Neural Networks. IEEE Trans. Electron Devices 2019, 66, 2937–2945. [Google Scholar] [CrossRef]
  35. Zhang, B.; Uysal, N.; Fan, D.; Ewetz, R. Handling Stuck-at-Faults in Memristor Crossbar Arrays Using Matrix Transformations. In Proceedings of the 24th Asia and South Pacific Design Automation Conference, New York, NY, USA, 21–24 January 2019; ASPDAC’19. pp. 438–443. [Google Scholar] [CrossRef]
  36. Samardzic, N.M.; Bajic, J.S.; Sekulic, D.L.; Dautovic, S. Volatile Memristor in Leaky Integrate-and-Fire Neurons: Circuit Simulation and Experimental Study. Electronics 2022, 11, 894. [Google Scholar] [CrossRef]
Figure 1. Proposition of the replacement the of a conventional DRAM memory cell with a memristor-based RRAM memory cell.
Figure 1. Proposition of the replacement the of a conventional DRAM memory cell with a memristor-based RRAM memory cell.
Energies 17 00467 g001
Figure 2. (a) The conceptual diagram of the measurement system. (b) Connection diagram of the memristor with NI myDAQ University Kit.
Figure 2. (a) The conceptual diagram of the measurement system. (b) Connection diagram of the memristor with NI myDAQ University Kit.
Energies 17 00467 g002
Figure 3. Construction and principle of operation of SDC memristors. (a) Sandwich structure of the KNOWM SDC memristor [21,23]. (b) Graphical interpretation of memristor resistance change [21,23].
Figure 3. Construction and principle of operation of SDC memristors. (a) Sandwich structure of the KNOWM SDC memristor [21,23]. (b) Graphical interpretation of memristor resistance change [21,23].
Energies 17 00467 g003
Figure 4. Averaged values of hysteresis loops u m i m along with measured values, for varying memristor doping, for a signal with an amplitude of V s = 1.5 [V] and a frequency of f z = 20 [Hz]. The measurement points are colored with gradient according to the period number.
Figure 4. Averaged values of hysteresis loops u m i m along with measured values, for varying memristor doping, for a signal with an amplitude of V s = 1.5 [V] and a frequency of f z = 20 [Hz]. The measurement points are colored with gradient according to the period number.
Energies 17 00467 g004
Figure 5. Averaged hysteresis loops u m i m with standard deviation of i m marked for each point, for a signal with an amplitude of V s = 1.5 [V] and a frequency of f z = 20 [Hz].
Figure 5. Averaged hysteresis loops u m i m with standard deviation of i m marked for each point, for a signal with an amplitude of V s = 1.5 [V] and a frequency of f z = 20 [Hz].
Energies 17 00467 g005
Figure 6. The averaged memristor resistance R m as a function of its voltage u m , for a signal with an amplitude of V s = 1.5 [V] and a frequency of f z = 20 [Hz], along with the measured points. The measurement points are colored with gradient according to the period number. The direction of transitions between individual states of the memristor are indicated by arrows.
Figure 6. The averaged memristor resistance R m as a function of its voltage u m , for a signal with an amplitude of V s = 1.5 [V] and a frequency of f z = 20 [Hz], along with the measured points. The measurement points are colored with gradient according to the period number. The direction of transitions between individual states of the memristor are indicated by arrows.
Energies 17 00467 g006
Figure 7. The conceptual flow of the testing process.
Figure 7. The conceptual flow of the testing process.
Energies 17 00467 g007
Figure 8. Simplified block diagram of the investigation of a bistable memristor.
Figure 8. Simplified block diagram of the investigation of a bistable memristor.
Energies 17 00467 g008
Figure 9. The current waveform i m ( t ) and voltage waveform u m ( t ) during the programming pulse with a pulse width of 50 ms and an amplitude of 1.5 V.
Figure 9. The current waveform i m ( t ) and voltage waveform u m ( t ) during the programming pulse with a pulse width of 50 ms and an amplitude of 1.5 V.
Energies 17 00467 g009
Figure 10. The evolution of resistance R ( t ) and conductance G ( t ) of the memristor during the programming pulse with a pulse width of 50 ms and an amplitude of 1.5 V.
Figure 10. The evolution of resistance R ( t ) and conductance G ( t ) of the memristor during the programming pulse with a pulse width of 50 ms and an amplitude of 1.5 V.
Energies 17 00467 g010
Figure 11. The evolution of resistance R ( t ) in the domain of energy E and charge q during the programming pulse with a pulse width of 50 ms and an amplitude of 1.5 V.
Figure 11. The evolution of resistance R ( t ) in the domain of energy E and charge q during the programming pulse with a pulse width of 50 ms and an amplitude of 1.5 V.
Energies 17 00467 g011
Figure 12. Experimental outcomes for tin-doped memristors subjected to a pulse with a width of 5 ms and an amplitude of 1.5 V. (a) The number of pulses after which the test was concluded. (b) The charge delivered to the memristor during the test. (c) The energy dissipated in the memristor during the test. (d) The number of tests concluded after a specific number of pulses.
Figure 12. Experimental outcomes for tin-doped memristors subjected to a pulse with a width of 5 ms and an amplitude of 1.5 V. (a) The number of pulses after which the test was concluded. (b) The charge delivered to the memristor during the test. (c) The energy dissipated in the memristor during the test. (d) The number of tests concluded after a specific number of pulses.
Energies 17 00467 g012
Figure 13. Comparative charts of the averaged energy required for write a single bit, as a function of memristor doping, programming pulse width, and its amplitude.
Figure 13. Comparative charts of the averaged energy required for write a single bit, as a function of memristor doping, programming pulse width, and its amplitude.
Energies 17 00467 g013
Figure 14. The averaged charge required to write one bit.
Figure 14. The averaged charge required to write one bit.
Energies 17 00467 g014
Figure 15. The percentage of tests in which the R ON state was achieved after the first pulse.
Figure 15. The percentage of tests in which the R ON state was achieved after the first pulse.
Energies 17 00467 g015
Figure 16. The averaged value of the resistance R after the first programming pulse.
Figure 16. The averaged value of the resistance R after the first programming pulse.
Energies 17 00467 g016
Figure 17. Distribution of the resistance values of the memristor R m obtained after the first programming pulse with subdivisions based on its doping.
Figure 17. Distribution of the resistance values of the memristor R m obtained after the first programming pulse with subdivisions based on its doping.
Energies 17 00467 g017
Table 1. The value of the error ε for collected measurement signals of memristors with various doping levels and different parameters of the driving signal. The smallest error is highlighted in green, while the largest is marked in red.
Table 1. The value of the error ε for collected measurement signals of memristors with various doping levels and different parameters of the driving signal. The smallest error is highlighted in green, while the largest is marked in red.
f [ Hz ] TinChromium
V s = 0.5 V V s = 1 V V s = 1.5 V V s = 0.5 V V s = 1 V V s = 1.5 V
1 7.73 × 10 4 9.95 × 10 5 4.90 × 10 5 3.95 × 10 3 5.19 × 10 4 1.76 × 10 4
5 1.58 × 10 3 3.52 × 10 5 2.44 × 10 4 3.05 × 10 4 2.43 × 10 4 6.94 × 10 4
10 6.12 × 10 4 7.23 × 10 5 4.39 × 10 4 3.04 × 10 4 9.46 × 10 4 1.45 × 10 3
20 3.54 × 10 4 8.04 × 10 5 3.26 × 10 4 2.59 × 10 3 1.68 × 10 3 1.12 × 10 3
50 1.16 × 10 3 3.98 × 10 4 1.37 × 10 3 3.66 × 10 4 0.80 0.88
100 2.70 × 10 4 1.69 × 10 5 0.02 1.77 × 10 3 1.93 × 10 4 4.94 × 10 4
f [ Hz ] TungstenCarbon
V s = 0.5 V V s = 1 V V s = 1.5 V V s = 0.5 V V s = 1 V V s = 1.5 V
1 2.26 × 10 4 1.10 × 10 5 3.05 × 10 6 7.43 × 10 4 8.04 × 10 6 2.35 × 10 6
5 6.33 × 10 6 6.72 × 10 6 1.51 × 10 5 1.99 × 10 4 7.89 × 10 6 4.74 × 10 6
10 7.53 × 10 6 3.25 × 10 5 2.48 × 10 5 1.11 × 10 3 1.79 × 10 5 1.21 × 10 5
20 1.19 × 10 5 8.29 × 10 6 1.92 × 10−6 1.50 × 10 5 3.13 × 10 5 9.02 × 10 6
50 4.68 × 10 4 5.72 × 10 6 1.10 × 10 4 0.27 2.46 × 10 5 1.57 × 10 5
100 4.72 × 10 5 3.57 × 10 6 2.06 × 10 6 3.83 × 10 6 3.06 × 10 5 6.78 × 10 6
Table 2. The median estimation of errors med ( ε ) for each type of doping in memristors.
Table 2. The median estimation of errors med ( ε ) for each type of doping in memristors.
DopingCarbonChromiumTinTungsten
med ( ε ) 1.54 × 10 5 8.20 × 10 4 3.40 × 10 4 9.63 × 10 6
Table 3. Percentage of tests in which the R ON state was reached after the first pulse. Depending on pulse width Δ t , pulse amplitude V pulse , and memristor doping.
Table 3. Percentage of tests in which the R ON state was reached after the first pulse. Depending on pulse width Δ t , pulse amplitude V pulse , and memristor doping.
DopantCarbonChromiumTinTungsten
V pulse [ V ] 1.01.52.01.01.52.01.01.52.01.01.52.0
Δ t pulse
5 ms 39711009110010023781004494100
10 ms 49951009010010028891007810099
50 ms 719310097100100691001009299100
100 ms 839799991001008010010095100100
Disclaimer/Publisher’s Note: The statements, opinions and data contained in all publications are solely those of the individual author(s) and contributor(s) and not of MDPI and/or the editor(s). MDPI and/or the editor(s) disclaim responsibility for any injury to people or property resulting from any ideas, methods, instructions or products referred to in the content.

Share and Cite

MDPI and ACS Style

Garda, B.; Bednarz, K. Comprehensive Study of SDC Memristors for Resistive RAM Applications. Energies 2024, 17, 467. https://doi.org/10.3390/en17020467

AMA Style

Garda B, Bednarz K. Comprehensive Study of SDC Memristors for Resistive RAM Applications. Energies. 2024; 17(2):467. https://doi.org/10.3390/en17020467

Chicago/Turabian Style

Garda, Bartłomiej, and Karol Bednarz. 2024. "Comprehensive Study of SDC Memristors for Resistive RAM Applications" Energies 17, no. 2: 467. https://doi.org/10.3390/en17020467

APA Style

Garda, B., & Bednarz, K. (2024). Comprehensive Study of SDC Memristors for Resistive RAM Applications. Energies, 17(2), 467. https://doi.org/10.3390/en17020467

Note that from the first issue of 2016, this journal uses article numbers instead of page numbers. See further details here.

Article Metrics

Back to TopTop