Visualization of Injected Fuel Vaporization Using Background-Oriented Schlieren Method
Abstract
1. Introduction
2. Experimental Setup and Procedures
3. Visualization Results
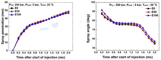
3.1. Comparison of Spray Behavior Obtained via Mie Scattering
3.2. Comparison between Mie Scattering and BOS Method
3.3. Spray Collision with Piston
4. Conclusions
- (1)
- Because the spray penetration and spray angle obtained from the BOS method—which can be used to obtain images of the spray, including the vaporare larger than those obtained from the Mie scattering, it was concluded that vaporization could occur as the spray progressed.
- (2)
- The accelerated fuel vaporization at high ambient temperatures resulted in larger differences in the results at different ambient temperatures.
- (3)
- As the ambient pressure increased, the differences between the results of the Mie scattering and the BOS methods, and those for different fuel blending ratios, became insignificant. It was concluded that the rate of vaporization decreased as the ambient pressure increased.
- (4)
- In general, the differences between the spray penetrations and spray angles for E100 are larger than those for E0. This suggests that the vaporization rate of E100 during injection was higher than that of E0.
- (5)
- The collision image between the fuel and piston could be used to predict the collision of vaporized fuel, including liquid fuel.
- (6)
- The wall-wetting phenomenon, which may adversely affect combustion, occurred because of vaporized fuel that was not visualized.
Author Contributions
Funding
Data Availability Statement
Conflicts of Interest
References
- Al-Hasan, M. Effect of ethanol-unleaded gasoline blends on engine performance and exhaust emission. Energy Convers. Manag. 2003, 44, 1547–1561. [Google Scholar] [CrossRef]
- Marek, N. Pre-Commercialization of E-Diesel Fuels in Off-Road Applications. In Proceedings of the A&WMA 2002 Annual Conference, Baltimore, MD, USA, 23–27 June 2002; p. 42740. [Google Scholar]
- Wu, C.W.; Chen, R.H.; Pu, J.Y.; Lin, T.H. The influence of air–fuel ratio on engine performance and pollutant emission of an SI engine using ethanol–gasoline-blended fuels. Atmos. Environ. 2004, 38, 7093–7100. [Google Scholar] [CrossRef]
- US Department of Energy. Light-Duty E85 FFVs in Use. In Alternative Fuels and Advanced Vehicles Data Center; Department of Energy: Washington, DC, USA, 2010. [Google Scholar]
- ASTM D5798-07; Standard Specification for Fuel Ethanol (Ed75-Ed85) for Automotive Spark-Ignition Engines. ASTM: West Conshohocken, PA, USA, 2007.
- Renewable Fuels Association. Industry Statistics. In 2008 World Fuel Ethanol Production; Renewable Fuels Association: Washington, DC, USA, 2010. [Google Scholar]
- de Cerqueira Leite, R.C.; Leal, M.R.L.V.; Cortez, L.A.B.; Griffin, W.M.; Scandiffio, M.I.G. Can Brazil replace 5% of the 2025 gasoline world demand with ethanol? Energy 2009, 34, 655–661. [Google Scholar] [CrossRef]
- Idicheria, C.A.; Pickett, L.M. Quantitative mixing measurements in a vaporizing diesel spray by Rayleigh imaging. SAE Trans. 2007, 116, 490–504. [Google Scholar]
- Wu, Z.; Zhu, Z.; Huang, Z. An experimental study on the spray structure of oxygenated fuel using laser-based visualization and particle image velocimetry. Fuel 2006, 85, 1458–1464. [Google Scholar] [CrossRef]
- Payri, R.; Salvador, F.J.; Garcia, A.; Gil, A. Combination of Visualization Techniques for the Analysis of Evaporating Diesel Sprays. Energy Fuels 2012, 26, 5481–5490. [Google Scholar] [CrossRef]
- Montanaro, A.; Allocca, L. Study of Liquid and Vapor Phases of a GDI Spray. Combust. Sci. Technol. 2019, 191, 1600–1608. [Google Scholar] [CrossRef]
- Lazzaro, M. High-Speed Imaging of a Vaporizing GDI Spray: A Comparison between Schlieren, Shadowgraph, DBI and Scattering; SAE Technical Paper 2020-01-0326; SAE International: Warrendale, PA, USA, 2020. [Google Scholar]
- Bang, S.H.; Lee, C.S. Application of background oriented Schlieren (BOS) method for visualization of evaporating impinged spray. Optik 2015, 123, 1606–1609. [Google Scholar] [CrossRef]
- Meier, G.E.A. Computerized background oriented Schlieren. Exp. Fluids 2002, 33, 181–187. [Google Scholar] [CrossRef]
- Venkatakrishnan, L.; Meier, G.E.A. Density measurements using the background oriented Schlieren technique. Exp. Fluids 2004, 37, 237–247. [Google Scholar] [CrossRef]
- Bang, S.H.; Lee, C.S. Comparison between background oriented Schlieren (BOS) technique and scattering method for the spray characteristics of evaporating oxygenated fuels. Optik 2013, 124, 2147–2150. [Google Scholar] [CrossRef]
- Hung, D.L.; Harrington, D.L.; Gandhi, A.H.; Markle, L.E.; Parrish, S.E.; Shakal, J.S.; Sayar, H.; Cummings, S.D.; Kramer, J.L. Gasoline Fuel Injector Spray Measurement and Characterization—A New SAE J2715 Recommended Practice. SAE Int. J. Fuels Lubr. 2009, 1, 534–548. [Google Scholar] [CrossRef]
- Merzkirch, W. Flow Visualization, 2nd ed.; Harcourt Brace Jovanovich: San Diego, CA, USA, 2012. [Google Scholar]
- Goldstein, R. Fluid Mechanics Measurements, 2nd ed.; Routledge: Oxfordshire, UK, 2017. [Google Scholar]
- Sharma, A.; Kumar, D.V.; Ghatak, A.K. Tracing rays through graded-index media: A new method. Appl. Opt. 1982, 21, 984–987. [Google Scholar] [CrossRef] [PubMed]
- Dorić, S. Ray tracing through gradient-index media: Recent improvements. Appl. Opt. 1990, 29, 4026–4029. [Google Scholar] [CrossRef] [PubMed]
- Richard, H.; Raffel, M. Principle and applications of the background oriented schlieren (BOS) method. Meas. Sci. Technol. 2001, 12, 1576–1585. [Google Scholar] [CrossRef]
- Bao, Y.; Chan, Q.N.; Kook, S.; Hawkes, E. A Comparative Analysis on the Spray Penetration of Ethanol, Gasoline and Iso-Octane Fuel in a Spark-Ignition Direct-Injection Engine; SAE Technical Paper 2014-01-1413; SAE International: Warrendale, PA, USA, 2014. [Google Scholar]
- Wu, P.K.; Faeth, G.M. Aerodynamic effects on primary breakup of turbulent liquids. At. Sprays 1993, 3, 265–289. [Google Scholar] [CrossRef]




















| Property | Gasoline | Ethanol |
|---|---|---|
| Chemical formula | C4–C12 | C2H5OH |
| Molecular weight (kg/kmol) | 114.15 | 46.07 |
| Oxygen (wt%) | 0 | 35 |
| Octane number | 86–94 | 98–100 |
| Density at 20 °C (kg/m3) | 732 | 792 |
| Latent heat of vaporization (kJ/kg) | 289 | 854 |
| Autoignition temperature (°C) | 257 | 423 |
| Lower heating value (MJ/kg) | 43.47 | 26.87 |
| Air–fuel ratio | 14.7 | 9 |
| Test Apparatus | Specification | |
|---|---|---|
| High-speed camera | Frame rate (fps) | 10,000 |
| Shutter speed (s) | 1/10,000 | |
| Resolution | 464 × 456 | |
| Spatial resolution (μm/pixel) | 254.11 | |
| Light source | Light source | Metal halide lamp |
| Power (W) | 250 | |
| Cooling method | Air cooling | |
| Injector | Injector type | Gasoline direct injection |
| Number of holes | 6 | |
| Injection flow rate (g/min) | 250 |
| Test Item | Condition | |
|---|---|---|
| Test fuels | E0 | Ethanol 0% + Gasoline 100% |
| E50 | Ethanol 50% + Gasoline 50% | |
| E100 | Ethanol 100% + Gasoline 0% | |
| Spray visualization experiment | Injection pressure (bar) | 250 |
| Energizing duration (ms) | 1.5 | |
| Ambient pressure (bar) | 1, 5, 10 | |
| Ambient temperature (°C) | 20, 120 |
Disclaimer/Publisher’s Note: The statements, opinions and data contained in all publications are solely those of the individual author(s) and contributor(s) and not of MDPI and/or the editor(s). MDPI and/or the editor(s) disclaim responsibility for any injury to people or property resulting from any ideas, methods, instructions or products referred to in the content. |
© 2024 by the authors. Licensee MDPI, Basel, Switzerland. This article is an open access article distributed under the terms and conditions of the Creative Commons Attribution (CC BY) license (https://creativecommons.org/licenses/by/4.0/).
Share and Cite
Lee, J.; Kim, Y.; Kim, W.; Lee, K. Visualization of Injected Fuel Vaporization Using Background-Oriented Schlieren Method. Energies 2024, 17, 4867. https://doi.org/10.3390/en17194867
Lee J, Kim Y, Kim W, Lee K. Visualization of Injected Fuel Vaporization Using Background-Oriented Schlieren Method. Energies. 2024; 17(19):4867. https://doi.org/10.3390/en17194867
Chicago/Turabian StyleLee, Jungkoo, Youngkun Kim, Woongil Kim, and Kihyung Lee. 2024. "Visualization of Injected Fuel Vaporization Using Background-Oriented Schlieren Method" Energies 17, no. 19: 4867. https://doi.org/10.3390/en17194867
APA StyleLee, J., Kim, Y., Kim, W., & Lee, K. (2024). Visualization of Injected Fuel Vaporization Using Background-Oriented Schlieren Method. Energies, 17(19), 4867. https://doi.org/10.3390/en17194867

