Abstract
Low-frequency oscillation (LFO) poses significant challenges to the dynamic performance of hydropower unit regulation systems (HURS) in hydropower units sharing a tailwater system. Previous methods have struggled to effectively suppress LFO, due to limitations in governor parameter optimization strategies. To address this issue, this paper proposes a governor parameter optimization strategy based on the crayfish optimization algorithm (COA). Considering the actual water diversion layout (WDL) of a HURS, a comprehensive mathematical model of the WDL is constructed and, combined with models of the governor, turbine, and generator, an overall HURS model for the shared tailwater system is derived. By utilizing the efficient optimization performance of the COA, the optimal PID parameters for the HURS controller are quickly obtained, providing robust support for PID parameter tuning. Simulation results showed that the proposed strategy effectively suppressed LFOs and significantly enhanced the dynamic performance of the HURS under grid-connected conditions. Specifically, compared to before optimization, the optimized system reduced the oscillation amplitude by at least 30% and improved the stabilization time by at least 25%. Additionally, the impact of the power grid system parameters on oscillations was studied, providing guidance for the optimization and tuning of specific system parameters.
1. Introduction
Against the global strategic goals of “carbon peaking and carbon neutrality”, power systems are being profoundly transformed [1,2]. With the growing demand for environmentally friendly energy, the share of renewable energy in power systems is rapidly increasing, particularly with the large-scale integration of clean energy sources such as wind and solar power [3,4]. However, the inherent intermittency and unpredictability of these energy sources bring new challenges to the stable operation of power systems [5]. This dynamic change in power systems leads to various types of disturbances, including the frequent occurrence of low-frequency oscillation (LFO) and even ultra-low-frequency oscillation (ULFO). LFO typically occurs at frequencies between 0.1 Hz and 2 Hz, a typical dynamic issue in a power system. It can cause sustained mechanical vibrations in equipment such as generators, transformers, and transmission lines, thereby threatening the safe and stable operation of the power system [6,7]. Over the past few decades, researchers have conducted extensive and in-depth studies on LFO from a power system damping control perspective and have achieved significant theoretical and practical results [8,9]. Nonetheless, with the increasing complexity of power system structures and the growing penetration of renewable energy, traditional LFO suppression methods face new challenges, necessitating the exploration of more effective and adaptable solutions.
In recent years, during the energy transition process, multiple regions worldwide have established or are establishing power systems dominated by hydropower [10]. For example, China’s Yunnan and Sichuan power grids and the Nordic power system have become important bases for hydropower generation, due to their abundant water resources [11]. However, as the proportion of hydropower in these power systems continues to increase, these systems also face varying degrees of LFO risk [12]. Although studies have shown that the overall damping of these power systems remains in good condition, the occurrence of LFO has still garnered widespread attention within the industry [13]. Researchers have begun to suspect that power disturbances on the hydropower side may be one of the leading causes of LFO phenomena [14,15].
As a clean and renewable energy source, hydropower leads in scale and technological maturity among all renewable energies [16]. Hydropower plants play a crucial role in power systems, with their peak shaving and frequency regulation capabilities being essential for maintaining grid frequency stability and balancing peak and valley loads [17]. However, as a complex hydro–mechanical–electrical coupling system, hydropower unit regulation systems (HURSs) exhibit significant nonlinear characteristics [18]. This nonlinearity arises not only from the hydraulic dynamics of the turbine, but also involves the complex interactions among electrical equipment such as generators, transformers, and transmission lines [19]. The mechanism of LFO generation in hydropower-dominated systems is often the result of multiple factors acting together [10]. In addition to traditional hydraulic instability and electrical disturbance factors, the improper setting of governor parameters in HURSs is also a significant contributing factor [11]. As a critical control device in HURSs, the governor’s parameter settings directly impact the operational stability and response characteristics of hydropower units [20,21]. Therefore, if the PID parameters of the governor are improperly set, hydropower units may fail to respond appropriately to load changes or system disturbances, thereby inducing LFO phenomena.
With the increasing demand for dynamic optimization in power systems, various heuristic algorithms have been successfully applied to the PID parameter tuning of the hydropower unit regulation system (HURS) governor. These algorithms, by simulating natural optimization processes, provide effective solutions for the automatic tuning of PID parameters [22]. Reference [23] proposed the multi-verse optimization (MVO) algorithm, which is highly efficient for optimizing the PID parameters of turbine governors (TG) and effectively suppressing LFO phenomena. Reference [24] derived the damping torque coefficient of a turbine governor system considering PID parameters and analyzed the damping characteristics of the turbine governor system using boundary frequencies and actual oscillation frequencies. Based on a single-machine system, particle swarm optimization was used to optimize the PID parameters of the governor, with the optimization objective function considering both the speed deviation of the turbine and the damping torque of the governor system. The damping changes before and after optimization were compared using the damping torque method, and additional control methods were employed to increase the system’s positive damping to suppress LFO. Furthermore, reference [25] used a genetic algorithm-particle swarm optimization (GA-PSO) algorithm to optimize the PID parameters of governors in power systems. A single-machine single-load model was constructed in MATLAB/Simulink2021a, and the optimization effect was demonstrated through the analysis of generator speed deviation waveforms before and after optimization, indicating the practical significance of the proposed optimization algorithm for PID-type governor parameter tuning and its effectiveness in suppressing LFO phenomena in power systems.
However, in the construction of hydropower projects in China’s southwestern provinces, due to the unique geographical conditions such as the rock layer conditions in plateau and mountainous areas, construction difficulties, and project costs, the design of power stations often adopts a “one tunnel, two machines” water diversion layout (WDL). This design means that two turbines share a single tailwater system, which makes hydraulic interference and mechanical vibrations more likely to propagate between units, increasing the complexity of the system’s dynamic response. When optimizing PID parameters for a HURS governor, the existing heuristic algorithms often do not fully consider the specific model of the WDL, which leads to potential issues in the parameter optimization process, such as insufficient applicability and robustness of the optimization results, which may not be fully adaptable to the actual operating conditions of the “one tunnel, two machines” WDL. Additionally, due to the uniqueness of WDLs, traditional heuristic algorithms may not fully capture the nonlinear and coupling effects present in the system, which could affect the accuracy and effectiveness of PID parameter optimization. Therefore, researchers need to develop parameter optimization methods more suited to the characteristics of WDLs, to enhance the operational stability of hydropower units and the dynamic performance of power systems.
In summary, the main contributions of this paper can be summarized as follows:
- Modeling the overall regulation system for two units in a shared tailwater system.
- Proposing a governor parameter optimization strategy based on the crayfish optimization algorithm (COA), which enhances the search accuracy for local optima while maintaining a global search capability.
- Verifying the effectiveness and superiority of the proposed parameter optimization through a detailed simulation analysis.
The interaction between the HURS and the power grid is analyzed. The remainder of this paper is structured as follows: Section 2 models the HURS of the WDL and elaborates on the mathematical models of each component. Section 3 presents the PID parameter optimization strategy for the HURS based on the COA. Section 4 investigates various simulation scenarios, highlighting the dynamic performance differences of the entire HURS before and after optimization, validating the proposed strategy’s advancements and analyzing the impact of grid system parameters on LFOs. Finally, Section 5 summarizes the entire paper.
2. Mathematical Modeling
The hydropower units in a shared tailwater system have a general structure, as shown in Figure 1. Figure 1 illustrates the overall layout of a power station system, starting from the upstream. The two units draw water separately from the upstream and direct it to the turbines via steel intake pipes. The water flows from the tailwater pipes of the two turbines; passes through the tailwater connection section, the tailwater gate chamber, and the two segments of tailwater branches; converging at the confluence point, before entering the tailwater main channel and ultimately exiting through the outlet gate into the downstream river. Below, we introduce the main components of a HURS, as shown in Figure 1, and provide a summary of the overall model.
Figure 1.
Structural diagram of a large hydropower station.
2.1. Modeling of WDL
2.1.1. Pipeline Parameter Relations Considering Elastic Water Hammer
Based on the dynamic analysis of a pressurized pipeline, the basic equations for water hammer are given by [17]:
where Q is the instantaneous flow rate in the pressurized pipeline; H is the head at the cross-section of the pressurized pipeline; L is the distance from the cross-section to the reference point; A is the cross-sectional area of the pressurized pipeline; D is the equivalent diameter of the pressurized pipeline cross-section; a is the water hammer wave speed; and g is the gravitational acceleration. Introducing relative value increments,
where Q0 is the baseline flow rate, and H0 is the baseline head.
Using relative values , , and deviation relative values , , Equations (1) and (2) can be rewritten as
where is the length of the pressurized pipeline; is the rated flow rate of the unit; is the design head of the unit; is the flow inertia time constant; is the water hammer reflection time constant; and .
When studying a specific cross-section of the pressurized pipeline, the parameter l is constant. Let and . Applying the Laplace transform to Equations (4) and (5), with the direction from downstream to upstream as positive,
Solving these equations, the continuous expressions for water pressure and flow rate in the s-domain are obtained:
where ; .
Equations (8) and (9) provide continuous expressions of water pressure and flow rate at any cross-section l in the s-domain for the pressurized pipeline, containing the undetermined coefficients and . By applying specific boundary conditions, the values of and can be determined, thus quantitatively obtaining the water pressure and flow rate .
Figure 2 represents any pipe section in the s-domain for a pressurized pipeline. The pressure and flow rate at the left end (inlet end l = 1) of the pipe section are denoted as and , respectively. The pressure and flow rate at the right end (outlet end l = 0) of the pipe section are denoted as and , respectively. For this model with two cross-sections, each having two parameters, the relationship between the input and output can be described using a two-port network form.
Figure 2.
Pressurized pipe modeling and its boundary conditions.
A pressurized pipeline is often described using Figure 2. By performing coordinate translation and setting in Equations (8) and (9), we obtain
By setting l = 1 in Equations (8) and (9), we obtain
Solving simultaneously, we obtain and as
Substituting Equation (14) into Equations (12) and (13), we obtain
If the pressure at the inlet end and the flow rate at the outlet end are known, then the derived equations are
Similarly, when the direction from upstream to downstream is positive, the relationship between the water pressure and flow rate at the inlet and outlet ends of the pressurized pipeline is
2.1.2. Mathematical Models of Key Components in the WDL
- Upstream water intake pipeline model
A structural schematic of the upstream water intake pipeline is shown in Figure 3. The water pressure at the reservoir and the flow rate at the outlet of the upstream water intake pipeline are chosen as the inputs. The water pressure at the outlet of the upstream water intake pipeline and the flow rate at the reservoir inlet are the outputs. The boundary conditions for the upstream water intake pipeline are
Figure 3.
Upstream water intake pipeline schematic.
Combining with Equation (16), the equation for the upstream water intake pipeline is
- 2.
- Draft tube model
A physical schematic of the draft tube is shown in Figure 4. The water pressure at the inlet of the pressure intake pipeline and the flow rate at the outlet of the pressure intake pipeline are chosen as the inputs. The water pressure at the outlet of the pressure intake pipeline and the flow rate at the inlet of the pressure intake pipeline are the outputs. The boundary conditions are
Figure 4.
Draft tube schematic.
Combining with Equation (16), the equation for the draft tube is
- 3.
- Shared tailrace tunnel model
A physical schematic of the shared tailrace tunnel is shown in Figure 5. The water pressure at the downstream reservoir and the flow rate at the inlet of the tailrace tunnel are chosen as the system inputs. The water pressure at the inlet of the tailrace tunnel and the flow rate at the inlet of the downstream reservoir are the outputs. The boundary conditions for the tailrace tunnel are
Figure 5.
Tailrace tunnel schematic.
Combining with Equation (17), the mathematical model for the tailrace tunnel is obtained as follows:
- 4.
- Overall model of the WDL
The boundary conditions for the turbine are as follows:
where represents the relative deviation of the water head, and represents the relative deviation of the flow rate.
The boundary conditions at the junction where the two draft tubes merge with the common tailrace tunnel are as follows:
In summary, a model block diagram for the “one tunnel, two units” WDL is shown in Figure 6.
Figure 6.
Overall model block diagram of the water intake system.
2.2. Modeling of Hydro-Turbine
The dynamic characteristics of a turbine are typically represented by the torque and flow characteristics of the turbine under steady-state conditions, namely [19,26]
where represents the turbine torque; represents the turbine flow rate; represents the guide vane opening; represents the turbine speed; represents the turbine working head.
In the case of small perturbations, assuming the initial operating point of the turbine is , , and , after entering the dynamic process, the variables become , , and . The implicit function expressions for turbine torque and flow rate characteristics around the operating point are expanded into a Taylor series. Ignoring second-order and higher-order small quantities, we obtain
In relative values, the turbine mathematical model simplifies to
where represents the relative deviation of the torque; represents the relative deviation of the guide vane opening; represents the relative deviation of the turbine speed; , , and are the transfer coefficients of turbine torque with respect to the guide vane opening, speed, and head, respectively. , , and are the transfer coefficients of turbine flow rate with respect to the guide vane opening, speed, and head, respectively.
2.3. Modeling of the Governor
2.3.1. Modeling of Microprocessor-Based Regulator
Microprocessor-based regulators all employ PID control strategies, with the parallel PID control strategy being the most widely used. Its structural block diagram is shown in Figure 7. In practical engineering applications, to avoid frequent triggering of governor adjustments due to minor frequency fluctuations in the power grid and to reduce equipment fatigue and wear, a dead-band element is often introduced at the input of the regulator model [26].
Figure 7.
Parallel PID controller block diagram.
The transfer function of the parallel PID controller shown in Figure 7 is given by
where is the proportional gain; is the integral gain; is the derivative gain; is the steady-state slip coefficient; is the control signal; and is the desired speed.
After the hydro-generator had been connected to the grid, a PI control strategy is generally used. The corresponding transfer function in this case is
2.3.2. Servo System Mathematical Model
The servo system of the hydro-generator governor receives weak electrical control signals from the regulator. The signal is amplified through an amplification stage and converted into a mechanical hydraulic signal by the electro-hydraulic converter. This hydraulic signal controls the auxiliary relay, main pressure regulator, and main relay movements to adjust the opening and closing of the turbine guide vanes. A structure block diagram of the servo system is shown in Figure 8.
Figure 8.
Servo system structure diagram.
In Figure 8, represents the amplification coefficient of the integrated amplifier stage; is the response time constant of the auxiliary actuator; and is the response time constant of the main actuator. Since the time constant of the auxiliary actuator is much smaller than that of the main actuator (), we can ignore . Therefore, the differential equation and transfer function of the servo system are given by Equations (31) and (32), as follows:
2.4. Generator and Power System Mathematical Models
The generator is the core device that converts mechanical energy into electrical energy in a hydroelectric generating unit. Depending on the research objectives, generators can be described using first-order, second-order, third-order, or fifth-order mathematical models. In this section, we will only discuss the first-order and second-order mathematical models for synchronous generators, which are pertinent to the focus of this study [27].
2.4.1. First-Order Generator Model
If a study focuses on the transient characteristics of the generator’s speed control system, specifically on the mechanical rotational speed of the generator, this can be approximated as a homogeneous rotating rigid body considering only rotational inertia. In this case, a first-order generator-load model can be used to describe the dynamics, as shown in Equation (33):
where is the generator’s inertia time constant; is the comprehensive self-regulation coefficient of the unit; is the rate of change in the electromagnetic power with respect to the generator speed; is the overall inertia of the unit; is the rated speed of the unit; is the rated output of the unit; and mg is the load torque deviation relative value.
The transfer function of the first-order generator-load model can be derived as follows:
Then, a block diagram of the first-order generator-load model transfer function is shown in Figure 9.
Figure 9.
First-order generator-load model transfer function block diagram.
2.4.2. Second-Order Generator Model
When studying a grid-connected hydro-generator set, besides considering the mechanical inertia of the generator, it is also necessary to consider the relationship between the electromagnetic power and the power angle. In this case, the generator’s resistive torque can be divided into two parts: the electromagnetic torque and the damping torque of the damping winding [28].
In the analysis of the dynamic characteristics of generators, it is customary to include the impact of speed changes on torque in the mechanical damping coefficient of the unit. Therefore, electromagnetic torque is often used instead of electromagnetic power. Based on this, ignoring deviations in grid frequency and bus voltage, and using the relationship between unit speed and power angle, the second-order generator-load mathematical model differential equations can be written as follows:
where represents the relative deviation of the grid frequency; is the power angle of the generator; the electromagnetic torque ; and the damping torque . The mathematical expressions for the equivalent damping coefficient and the equivalent synchronizing coefficient are as follows:
where is the imaginary unit; is the stator current; is the transient electromotive force of the generator; is the grid bus voltage; is the transient reactance on the q-axis; is the sub-transient reactance on the q-axis; is the super-transient reactance on the q-axis; is the damping winding time constant on the q-axis; is the sub-transient reactance on the d-axis; is the super-transient reactance on the d-axis; is the damping winding time constant on the d-axis; is the leakage reactance; and is the initial power angle.
To facilitate writing the second-order generator differential equations, a new variable is defined as
Based on this, the differential equations for the second-order generator-load model are
Therefore, the transfer function of the generator from to is
In summary, the transfer function block diagram for the second-order generator-load model is shown in Figure 10.
Figure 10.
Transfer function block diagram for the second-order generator-load model.
2.4.3. Electrical Grid Mathematical Model
To study the stability and transient response characteristics of hydro-generator units when connected to the grid, it is necessary to establish a mathematical model that reflects the load and frequency characteristics, while being relatively simple in structure [29,30]. Therefore, this paper introduces an equivalent mathematical model of the grid. By considering all the generators in the real grid as a single equivalent generator, we obtain the mathematical model block diagram as shown in Figure 11.
Figure 11.
Equivalent-grid model block diagram.
In Figure 11, represents the relative value of the load disturbance on the grid side. Assuming there is no load disturbance on the grid side, . denotes the proportion of the hydro-generator unit’s power in the grid, which indicates the size of the grid: the larger the value, the smaller the grid. is the grid’s equivalent inertia time constant, encompassing the rotational inertia of all generators in the grid. is the grid’s equivalent load self-regulation coefficient, describing the damping characteristics between the grid frequency and load.
Additionally, in region (1) of Figure 11, the block represents the equivalent grid’s speed regulation system, which integrates the dynamic characteristics of all generator speed regulation systems in the grid. Here, is the grid’s equivalent relay inertia time constant, indicating the grid frequency’s response speed to load fluctuations; and is the grid’s equivalent steady-state slip coefficient, derived from the comprehensive steady-state slip coefficients of all generators in the grid, expressed as
where is the steady-state slip coefficient of the generator units in the grid, and is the number of generators connected to the grid.
Based on the equivalent grid model block diagram, we can derive the differential equations and transfer functions of the equivalent grid mathematical model as shown in Equations (43) and (44):
where is an artificially defined system state variable to facilitate writing the first-order differential equations.
Therefore, the transfer function of the generator from to is
This equivalent grid mathematical model has been applied in relevant literature, and its rationality and reliability have been validated. Therefore, this paper will not discuss it in detail. Moreover, the accuracy of this equivalent model is sufficient to support theoretical qualitative analysis.
2.5. Overall System Model Block Diagram
Based on the modeling of the various components discussed earlier, the corresponding block diagram of the regulation system for the hydropower system structure shown in Figure 1 is presented in Figure 12. This diagram serves as the foundational model for calculating the fitness function during the subsequent optimization process. If the second-order generator model is to be considered, the first-order generator mathematical model in the overall HURS block diagram will be replaced with the second-order generator model described in Section 2.4.2, and the corresponding grid model will be added. This provides a solid foundation for further parameter analysis and allows for a more precise understanding of the system’s dynamic behavior.
Figure 12.
Block diagram of the overall system model with a first-order generator model.
3. Optimal PID Parameter Tuning Based on the Crayfish Optimization Algorithm
3.1. Crayfish Optimization Algorithm
In 2023, JIA and colleagues proposed the crayfish optimization algorithm (COA), inspired by the social behavior of crayfish in nature [31]. The following sections provide an overview of the COA’s operational steps.
3.1.1. Population Initialization
In the COA, each crayfish is represented as a 1×dim matrix, where each column corresponds to a potential solution to the problem at hand. For a set of variables , …, ), each value must remain within predefined upper and lower bounds. The initialization process involves randomly generating a population of candidate solutions based on the population size and problem dimension. The initialization formula is given as follows:
where is the initial population positions, is the population size, is the population dimension, and is the position of individual in the -th dimension, determined by the following formula:
where and are the lower and upper bounds for the -th dimension, and rand is a random number.
3.1.2. Defining the Temperature and Feeding
The temperature affects crayfish behavior, including their feeding patterns. The crayfish exhibit different behaviors depending on the temperature. When it exceeds 30 °C, they seek cooler areas to avoid heat. In the temperature range of 15 °C to 30 °C, they actively forage, with 25 °C being optimal. The crayfish feeding rate can be approximated by a normal distribution. Thus, the COA defines the temperature using the following expression:
This temperature affects crayfish feeding behavior, described mathematically as
where represents the optimal temperature for crayfish, and and are used to control the amount of feeding of crayfish at different temperatures.
3.1.3. Summer Cooling Stage
If the temperature exceeds 30 °C, crayfish seek shade to cool down. The shaded area is modeled as
where is the global best position obtained so far, and is the local best in the current population. The probability of a crayfish entering the cave depends on a random event; if rand < 0.5, the crayfish will enter the cave to cool down using the following movement equation:
where represents the current iteration, represents the next iteration, and is a decreasing curve defined as
Here, represents the total number of iterations. This cooling process helps guide the crayfish closer to the optimal solution, improving the convergence speed.
3.1.4. Competition Stage
When the temperature exceeds 30 °C and rand ≥ 0.5, the crayfish engage in competition for the cave. The competition process is modeled as
where is a randomly selected crayfish, calculated as
During this phase, the competition enhances the algorithm’s ability to explore the search space by adjusting positions based on other crayfish.
3.1.5. Foraging Stage
When the temperature is below 30 °C, it is optimal for crayfish to forage. The location of food is represented by , which is defined as
The size of the food is defined as
where is the food factor, representing the maximum food size with a constant value of 3; represents the fitness value of the -th crayfish; and represents the fitness value of the food location.
Crayfish assess the food size based on the maximum food size. When , this means the food is too large. At this point, the crayfish will use its first claw to tear the food. The mathematical equation is
To simulate the crayfish’s alternating claw movements while foraging, a combination of sine and cosine functions is employed
When , the crayfish only needs to move towards the food and eat directly. The equation is
In the foraging stage, the COA will gradually approach the optimal solution, enhancing the algorithm’s exploitation ability and ensuring good convergence. In summary, the flowchart of the COA is shown in Figure 13.
Figure 13.
COA algorithm flowchart.
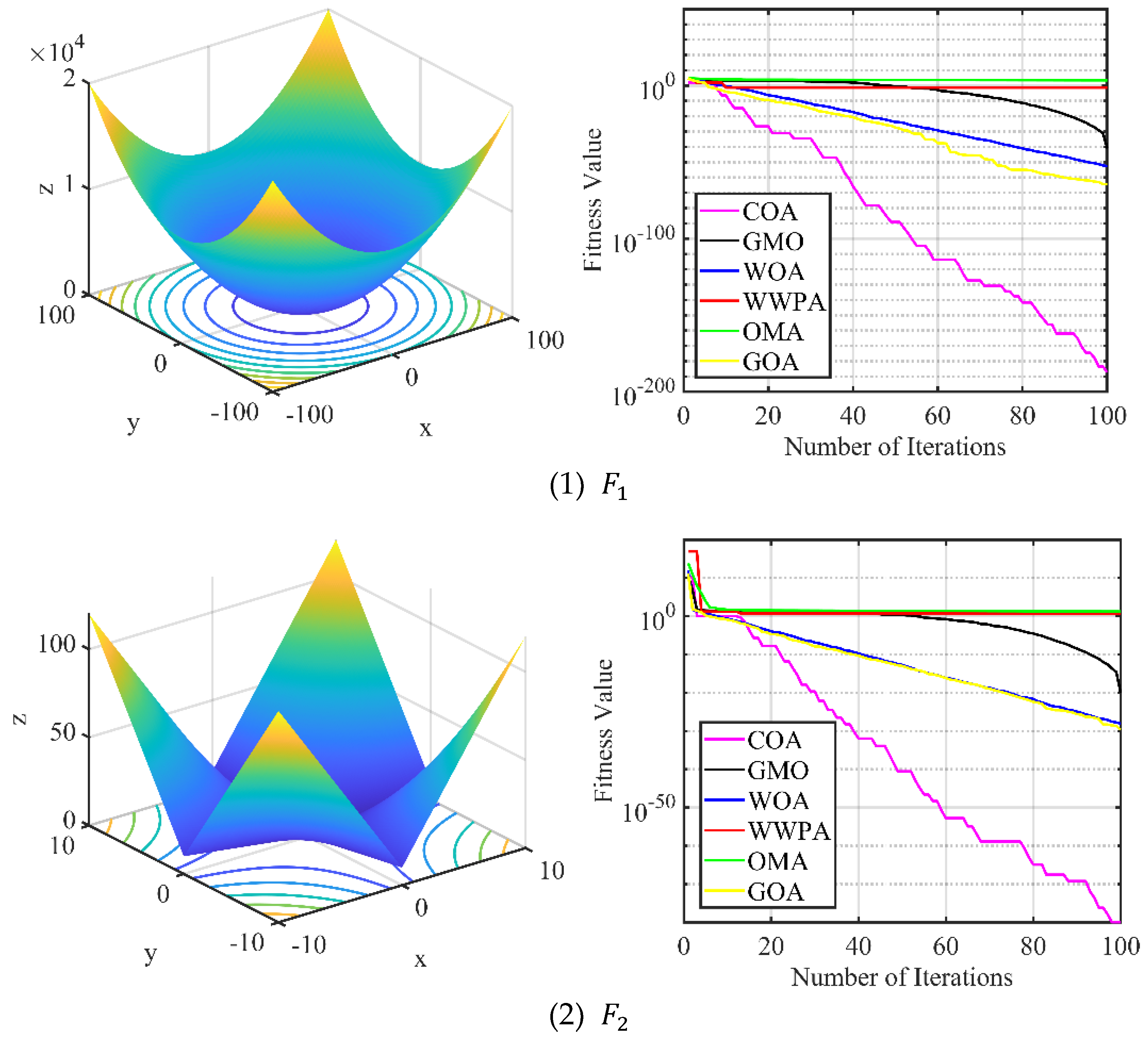
3.2. Performance Testing of COA
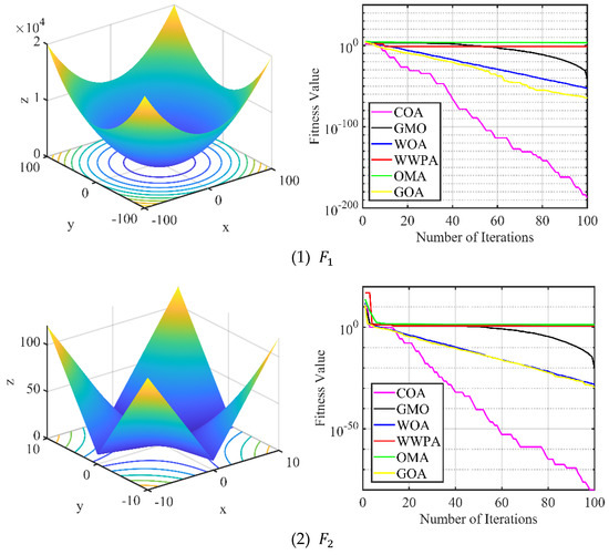
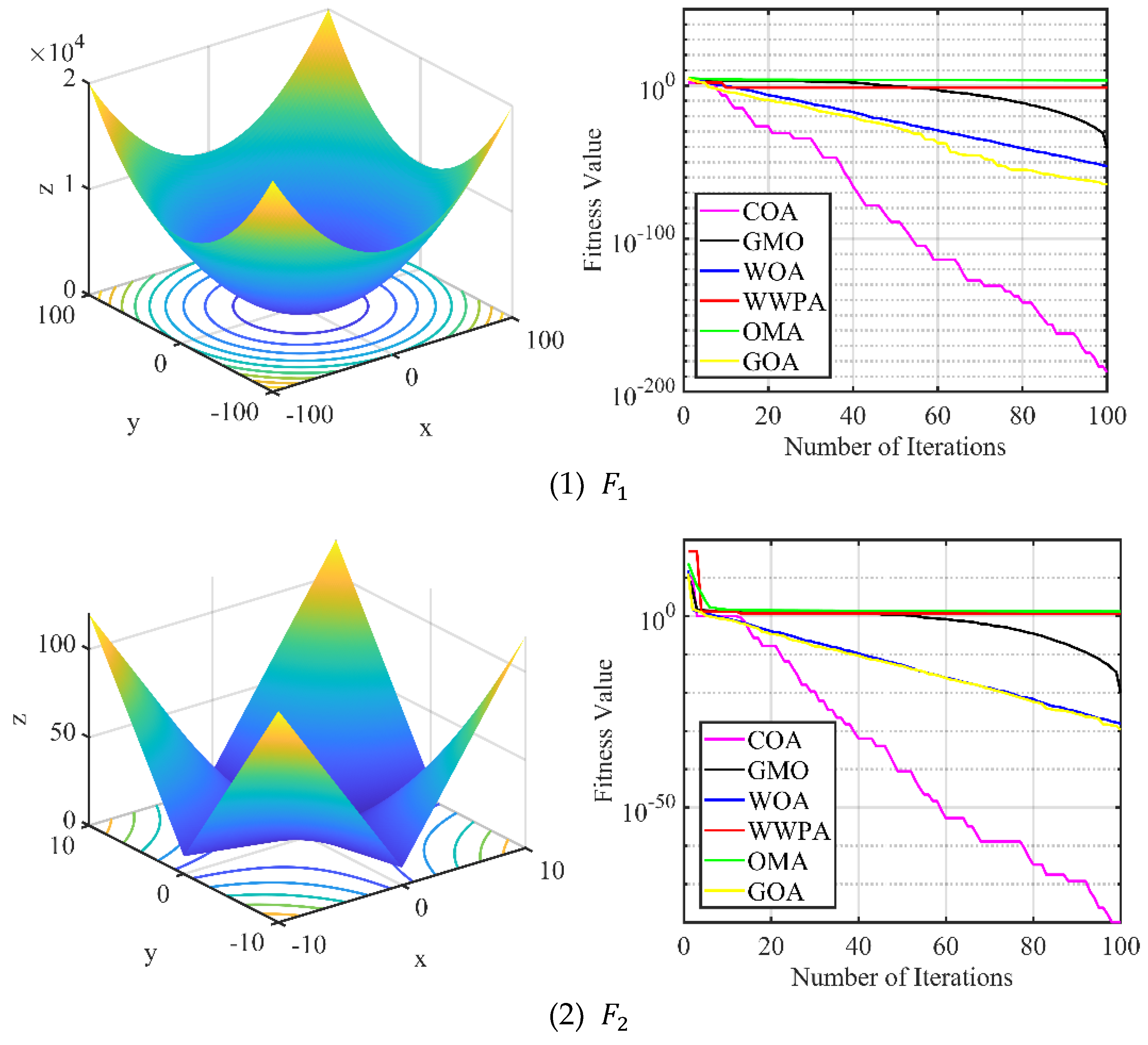
To evaluate the optimization performance of the COA, six test functions were used and compared with the geometric mean optimizer (GMO) [32], whale optimization algorithm (WOA) [33], waterwheel plant algorithm (WWPA) [34], optical microscope algorithm (OMA) [35], and gazelle optimization algorithm (GOA) [36]. Descriptions of the test functions are provided in Table 1, and the population size for all algorithms was set to 50. The 3D surfaces of the test functions and the logarithmically represented average fitness variation curves for each algorithm are shown in Figure 14. It can be observed that, compared to other optimization algorithms, the fitness value of the COA dropped sharply and reached a lower value, indicating higher precision. Moreover, the COA demonstrated a faster convergence speed. Therefore, the COA was selected to address the parameter optimization problem proposed in this paper for comprehensive suppression of low-frequency oscillations in the unit.
Table 1.
Mathematical description of the six benchmark functions.

Figure 14.
Three-dimensional surface of the test function and fitness variation curves of the different algorithms.
3.3. PID Parameter Tuning Based on COA
Improper PID parameter settings in a governor can lead to low-frequency oscillations (LFO) in the unit. Traditional optimization algorithms often suffer from the problem of getting stuck in local optima. Given the advantages of the novel metaheuristic COA mentioned earlier, it was introduced for optimizing the PID control parameters of the governor. The optimization objective function for this study is defined as follows, with the system frequency output absolute deviation integral (IAE) as the optimization direction. It can be seen that the objective function described by Equation (58) reflects the cumulative effect of the error in the output system frequency of the equivalent generator over time, which indicates the overall response of the system to LFOs, due to unreasonable controller parameters under the current operating conditions.
4. Simulation Analysis
4.1. Simulation Parameters
This section focuses on the simulation study. The pipeline numbering of the unit is shown in Figure 15, with the corresponding hydraulic parameters listed in Table 2. Additionally, the simulation parameters for the unit’s control system are provided in Table 3. Based on these simulation parameters and incorporating the aforementioned HURS model, a corresponding simulation model was constructed in the MATLAB/Simulink 2021a platform. The effectiveness and superiority of the proposed strategy were demonstrated through simulation and analysis under four different operating conditions for the HURS.
Figure 15.
WDL system pipeline numbers.
Table 2.
Pipeline hydraulic parameters.
Table 3.
Parameters of the regulation system.
4.2. Parameter Optimization and Comparative Study
In this subsection, the generator model used a first-order model, and the COA was employed for the PID parameter optimization of the HURS under different control modes. The three primary adjustment modes were the frequency control mode (FM), power control mode (PM), and opening control mode (OM). For these three different modes, the optimized PID parameters of the two governors in the shared draft tube system of the HURS, before and after optimization, are shown in Table 4, Table 5 and Table 6.
Table 4.
PID parameters before and after optimization under FM.
Table 5.
PID parameters before and after optimization under PM.
Table 6.
PID parameters before and after optimization under OM.
The FM is suitable for scenarios such as the automatic no-load operation of the unit, single unit with isolated load, unit connected to a small power grid, or unit frequency regulation when integrated into a large power grid. The FM uses the PID regulation principle, with the differential component included. The droop feedback signal is taken from the output y of the PID regulator, forming the static characteristic of the governor. The primary frequency regulation of the power grid is achieved according to the size of the steady-state droop coefficient. During no-load operation, the system frequency tracking mode can be selected, and the value should be set to a smaller value or zero.
Under the FM, at t = 1 s during the simulation, a 10% load increase and decrease were introduced at the system load end, and the simulation curves are shown in Figure 16 As seen in Figure 16, during the changes in unit speed and torque, the PID parameters tuned by the COA still exhibited the best oscillation suppression effect under a 10% load disturbance. By t = 30 s, the PID parameters tuned by the COA had completely eliminated the speed and torque oscillations of the system. Moreover, the PID parameters tuned by this algorithm maintained minimal unit speed deviation and the smallest overshoot under various load disturbance conditions, demonstrating excellent dynamic response and stability performance.
Figure 16.
System response under FM.
The PM is a regulation mode that should be prioritized when a unit is connected to the main grid and running with base load. In PM, the governor employs PI control, i.e., the derivative term is eliminated. The droop feedback signal of the governor is derived from the unit’s power, forming the static characteristic of the governor. The regulator adjusts the unit load through power setpoints, making it particularly suitable for hydropower stations to implement AGC functionality. The gate opening setpoint does not participate in closed-loop load regulation; it continuously tracks the guide vane opening value to ensure smooth switching to gate opening regulation mode or frequency regulation mode, without disturbances.
Step response simulation tests were conducted under PM, with step signals used as setpoint inputs. During the simulation, at t = 1 s, the power setpoint or load setpoint was increased by 10% and decreased by 10%. The corresponding unit speed response curves and torque response curves are shown in Figure 17. The figures clearly show that the optimized governor parameters exhibited significant improvements in both tests. Specifically, the regulation time of the unit was shortened, the rise time was significantly faster than that of the actual power station controller, and no noticeable oscillations occurred. This indicates that the optimized governor parameters not only significantly enhanced the system’s response speed but also improved the system’s dynamic performance and stability.

Figure 17.
System response under PM.
The OM is a control mode used when a unit is operating in a large power grid, mainly for basic load operation conditions. When the governor is in OM, it adopts a PI control law, which means the derivative component is excluded. The droop feedback signal of the governor is derived from the output y of the PID controller, forming the static characteristic of the governor. The controller changes the unit load through gate opening commands, while the power setpoint does not participate in the closed-loop load regulation. The power setpoint tracks the actual unit power in real-time to ensure a disturbance-free transition when switching from this mode to power control mode.
During the simulation, a 15% upward step and a 15% downward step in gate opening were implemented, and the corresponding speed and torque responses of the unit are shown in Figure 18. As observed from Figure 18, the optimized controller exhibited significant improvements in both tests. The rise time and regulation time were faster, enhancing the system’s response speed. The overshoot and settling time were precisely controlled within the ideal range, improving the system stability. Additionally, the pre-optimization system experienced low-frequency oscillations due to excessive overshoot, which was detrimental to stable system operation. The optimized controller parameters not only effectively reduced the overshoot and settling time but also eliminated low-frequency oscillations, greatly enhancing the system stability and dynamic response performance.

Figure 18.
System response under OM.
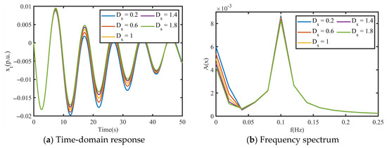
4.3. The Impact of Grid Parameters on Low-Frequency Oscillations
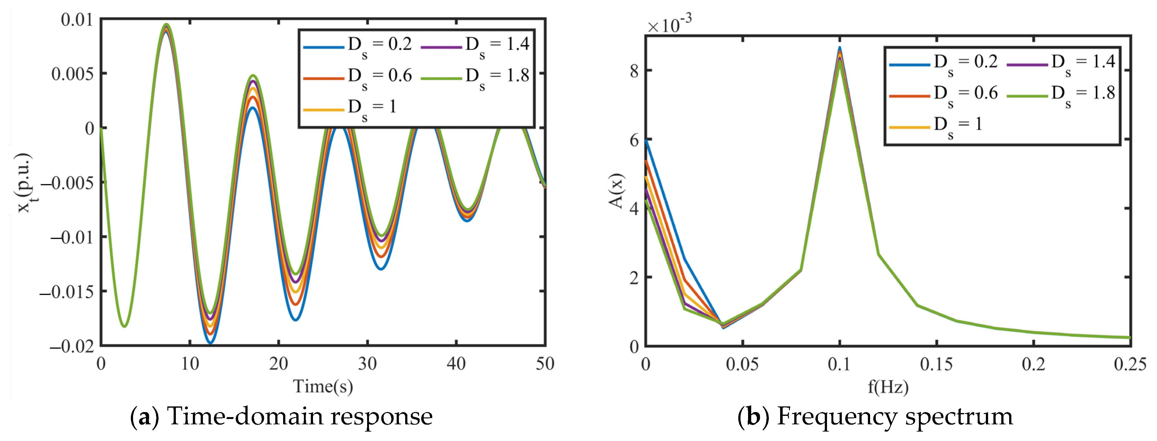
To study the impact of grid characteristic parameters on the stability and transient characteristics of the system, the generator model in the HURS adopted the second-order model described in Section 2.4.2. The equivalent grid characteristic parameters , , , , and were selected for a focused analysis. Based on the default values in Table 7, multiple sets of values within a reasonable range were substituted into the coupled system mathematical model. Additionally, the other parameters of the HTRS remained as shown in Table 2 and Table 3, and the control mode of the two governors was set to the opening mode. The governor control parameters were the optimized and parameters. Under a load disturbance of 0.1, these parameters were substituted into the coupled system mathematical model to solve for the time-domain transient response under a system load disturbance. The waveform diagram of the second-order generator speed and its frequency spectrum representing the decay rate of the time-domain transient response were plotted.
Table 7.
Equivalent grid parameters.
According to the simulation results shown in Figure 19, it is evident that had a significant impact on the stability and transient characteristics of the coupled system. Regarding the transient characteristics in the time domain, as shown in Figure 19a,b, with an increase in , the frequency of the low-frequency component in ’s time-domain transient response slightly increased, while the frequency of the high-frequency component slightly decreased. Additionally, the decay rate of the low-frequency component significantly decreased, leading to deteriorated stability. However, an increase in enhanced the damping of high-frequency oscillations, which helped them to decay quickly and stabilize the system. Furthermore, the analysis revealed that the equivalent grid characteristic parameter not only affected the low-frequency components of the time-domain transient response induced by the grid itself, but also had a coupling effect on the high-frequency components caused by the inherent oscillations of the speed control system. This also indicates that power systems with a high proportion of hydropower are prone to low-frequency oscillations.
Figure 19.
The impact of B on the stability and multi-scale transient characteristics of the coupled system.
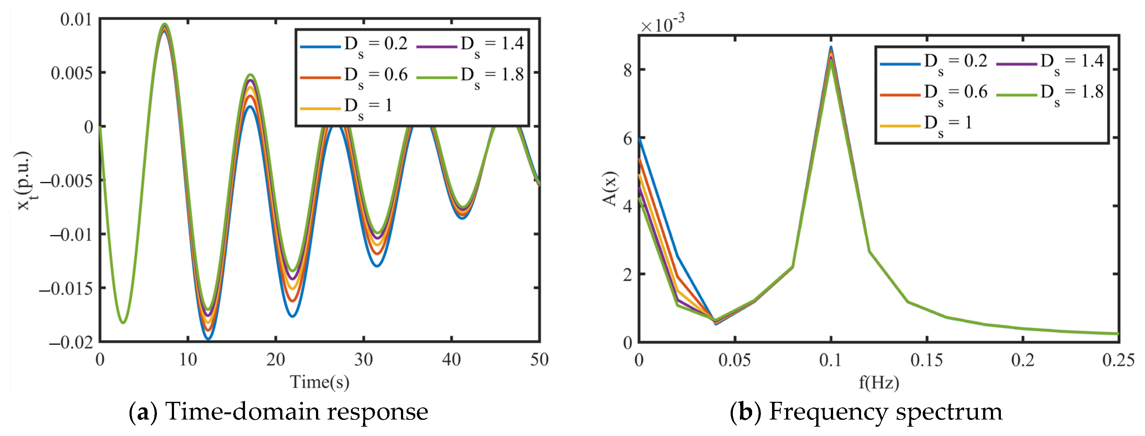
From the simulation results shown in Figure 20, it can be observed that had a relatively minor impact on the stability and time-domain transient characteristics of the system. Regarding the time-domain transient response, as shown in Figure 20a,b, had a significant effect on the low-frequency components induced by the grid itself, but it did not have a substantial impact on the frequency and decay rate of the high-frequency components. Specifically, an increase in slightly raised the decay rate of the low-frequency components in ’s time-domain transient response, which generally benefited the overall stability of the coupled system. The frequency and decay rate of the high-frequency components were unaffected by the value of . Additionally, from another perspective, increasing the system’s corresponding damping can reduce the risk of low-frequency oscillations in a hydropower unit.
Figure 20.
The impact of Ds on the stability and multi-scale transient characteristics of the coupled system.
From the simulation results shown in Figure 21, it can be seen that had a certain impact on the system’s time-domain transient characteristics. As shown in Figure 21a,b, with an increase in , the decay rate of the low-frequency components in the time-domain transient response increased. However, an increase in had no significant effect on the decay rate of the high-frequency components. Therefore, a larger on the grid side can enhance a system’s stability, achieving a rapid decay in transient response oscillations. However, with the increasing integration of wind and solar power into the grid, which may reduce , due to the presence of power electronic devices, this exacerbates the risk of unit oscillations.
Figure 21.
The impact of Ts on the stability and multi-scale transient characteristics of the coupled system.
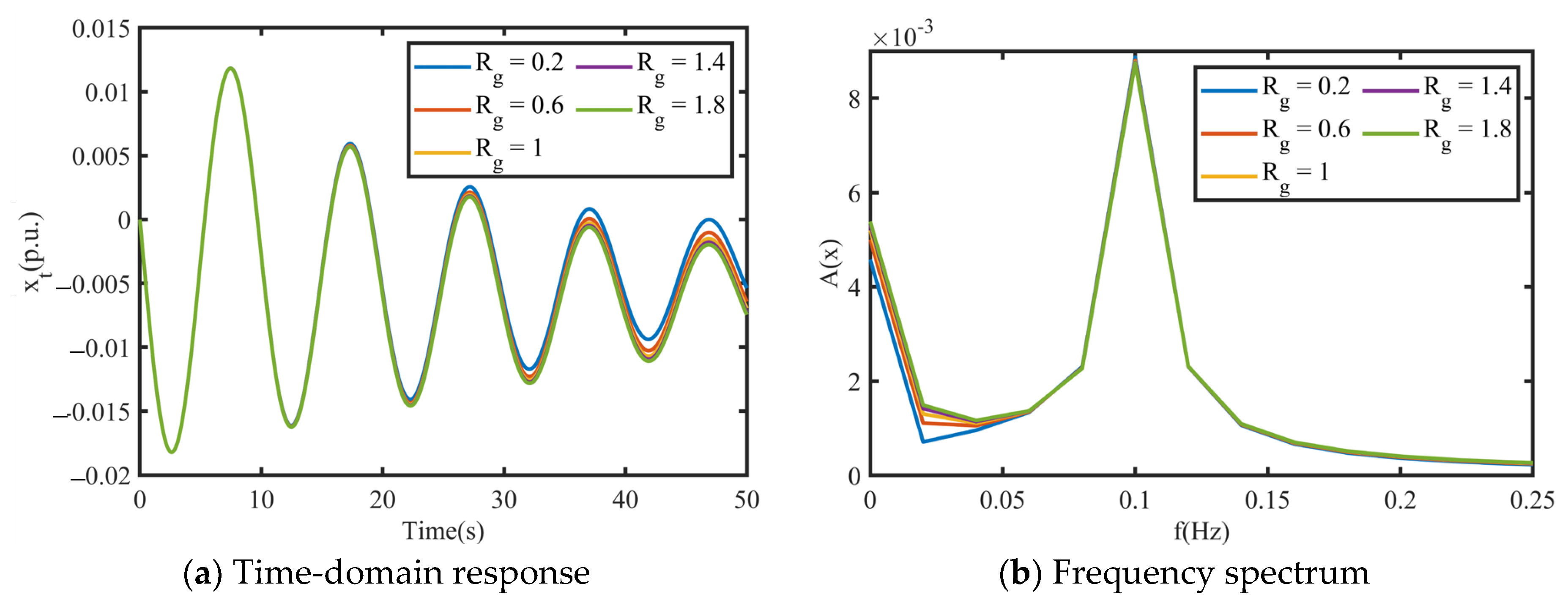
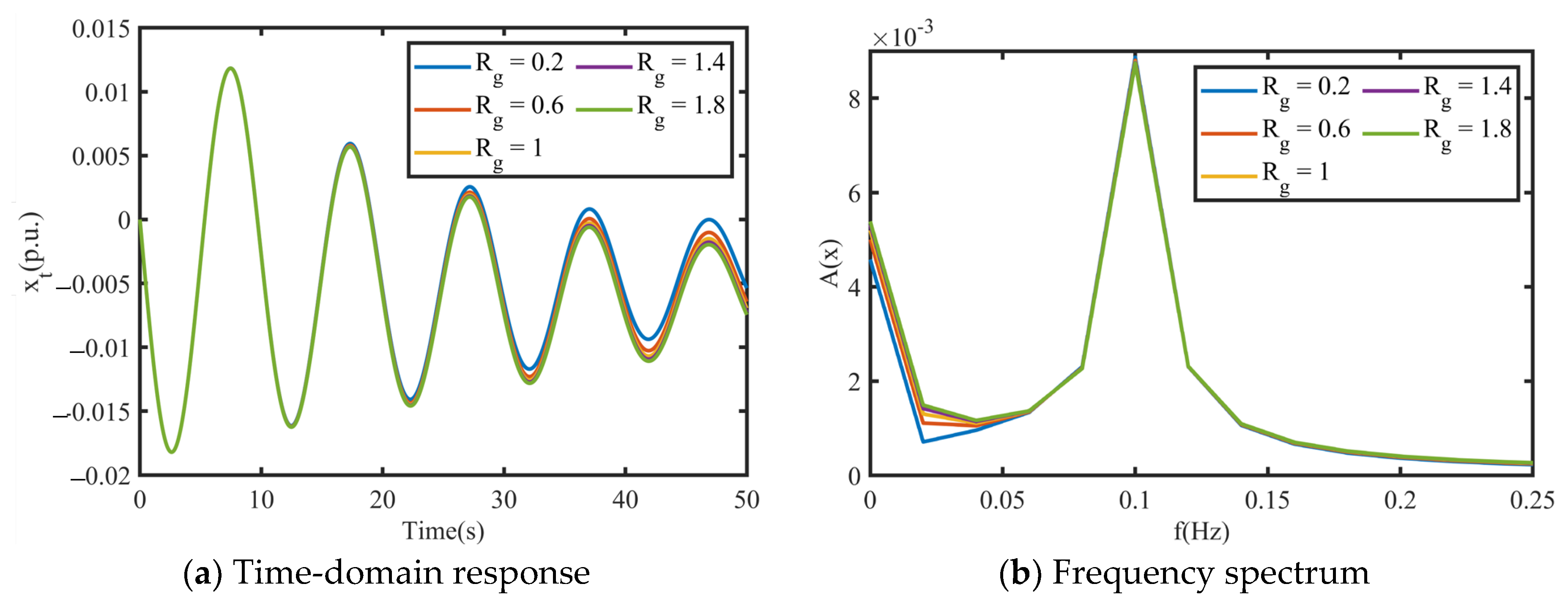
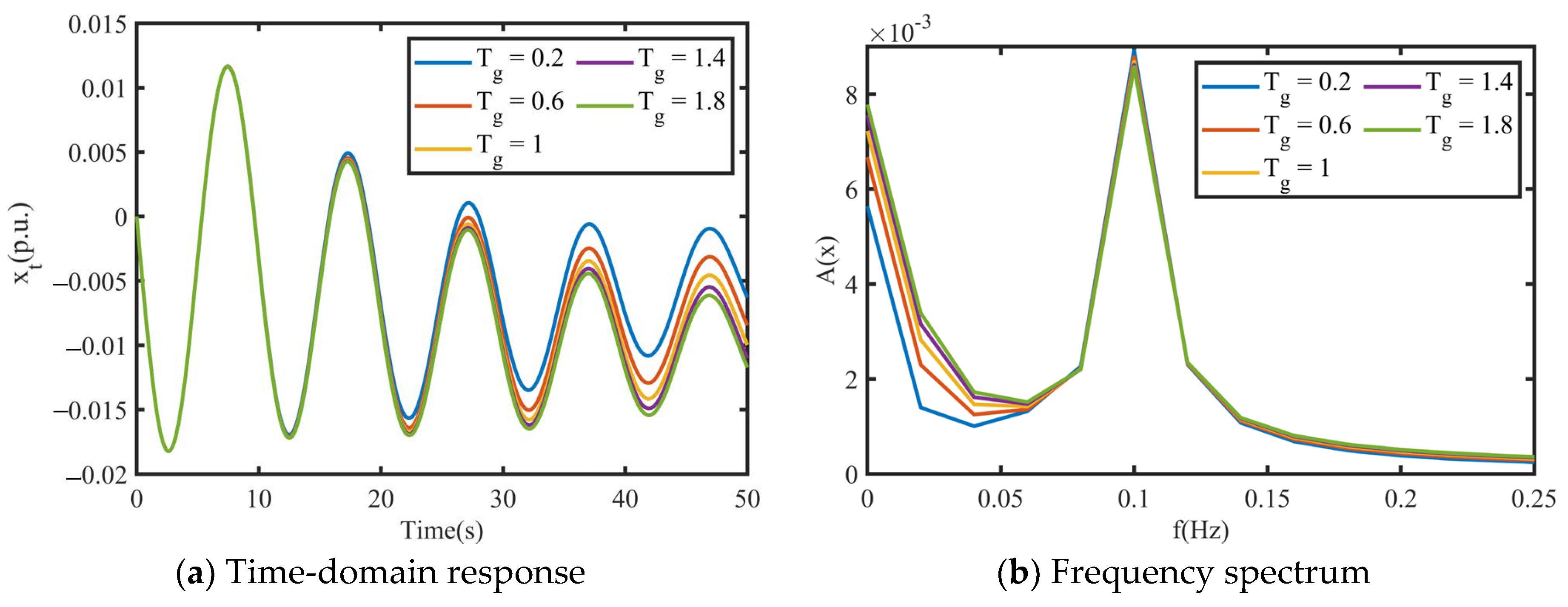
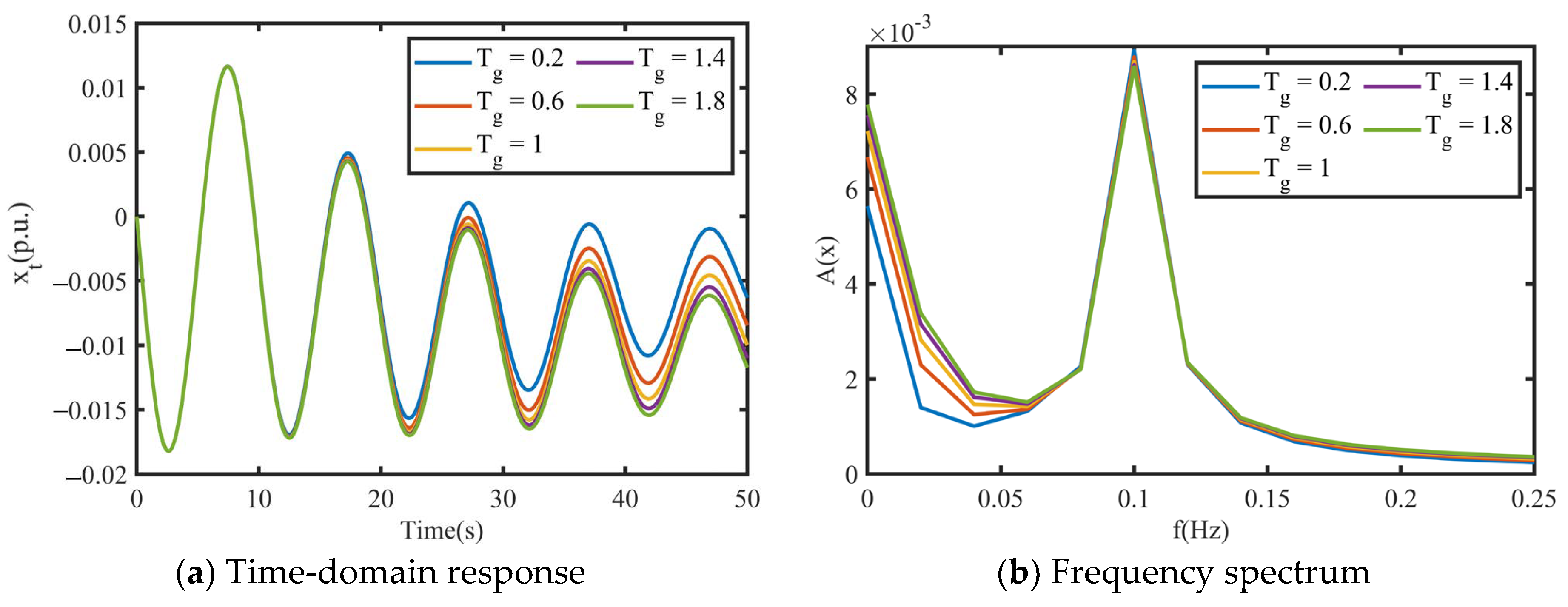
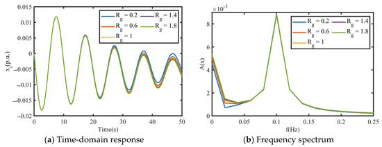
From the simulation results shown in Figure 22 and Figure 23, it can be observed that and had no significant impact on the system’s stability. Their effect on the system’s time-domain transient characteristics was mainly focused on the low-frequency components induced by the grid. As shown in figures, changes in and had little impact on the overall stability of the system. Additionally, increasing and similarly affected the low-frequency components by reducing their frequency and weakening their decay rate. Therefore, optimizing and values alone cannot improve a system’s stability and time-domain transient characteristics.
Figure 22.
The impact of Rg on the stability and multi-scale transient characteristics of the coupled system.
Figure 23.
The impact of Tg on the stability and multi-scale transient characteristics of the coupled system.
5. Conclusions
Currently, both units of a “one tunnel, two machines” WDL hydropower system use the same manually tuned PID parameters, which may prevent the dynamic regulation of the two units from achieving optimal performance and reduce the system’s ability to suppress LFOs under complex WDL conditions. The use of the COA to simultaneously optimize the PID parameters for both units’ HURSs could effectively identify their optimal tuning parameters. Additionally, this study revealed that a HURS exhibits multi-scale oscillations in the time-domain transient response under load disturbances, and successfully separated the high- and low-frequency components of the time-domain response waveform, while elucidating the mechanisms behind these frequency components. Future research will focus on analyzing the sensitivity of the time-domain transient response of coupled system state variables to external random disturbances and system parameter perturbations. Applying our optimization methods to real-world hydropower stations is also a key direction for future efforts.
Author Contributions
Conceptualization, Z.L., Z.Y., H.Z. and H.X.; Methodology, Y.Z. (Yidong Zou), Y.Z. (Yang Zheng)., Z.X. and F.C.; Software, Z.L., Z.Y. and F.C.; Validation, Y.Z. (Yidong Zou), Z.X. and Z.X.; Formal analysis, Z.L., Z.Y., H.Z. and H.X.; Investigation, Z.L., Z.Y., H.Z. and H.X.; Resources, Z.L.; Data curation, Y.Z. (Yidong Zou), Z.X. and Z.X.; Writing—original draft, Y.Z. (Yidong Zou), Y.Z. (Yang Zheng), Z.X. and F.C.; Writing—review and editing, Z.L., Z.Y., H.Z. and H.X.; Visualization, Z.L., Z.Y., H.Z. and H.X.; Supervision, Z.L., Z.Y., H.Z. and H.X.; Project administration, Z.L., Z.Y., H.Z. and H.X.; Funding acquisition, Z.L., Z.Y., H.Z. and H.X; All authors have read and agreed to the published version of the manuscript.
Funding
This research was funded by Yangtze Power Company Technology Projects, grant number 4223020036.
Data Availability Statement
Data are contained within the article.
Conflicts of Interest
Authors Zhao Liu, Zhenwu Yan, Hongwei Zhang and Huiping Xie were employed by the company China Yangtze Power Co., Ltd. The remaining authors declare that the research was conducted in the absence of any commercial or financial relationships that could be construed as a potential conflict of interest.
References
- Yang, Q.; Qian, J.; Li, J.; Zou, Y.; Tian, D.; Zeng, Y.; Long, Y.; Zhang, G. A New Integral Sliding Mode Control for Hydraulic Turbine Governing Systems Based on Nonlinear Disturbance Observer Compensation. Sustainability 2023, 15, 12810. [Google Scholar] [CrossRef]
- Yang, B.; Li, Y.; Yao, W.; Jiang, L.; Zhang, C.; Duan, C.; Ren, Y. Optimization and Control of New Power Systems under the Dual Carbon Goals: Key Issues, Advanced Techniques, and Perspectives. Energies 2023, 16, 3904. [Google Scholar] [CrossRef]
- Mladenov, V.; Chobanov, V.; Georgiev, A. Impact of renewable energy sources on power system flexibility requirements. Energies 2021, 14, 2813. [Google Scholar] [CrossRef]
- Couto, A.; Estanqueiro, A. Exploring wind and solar PV generation complementarity to meet electricity demand. Energies 2020, 13, 4132. [Google Scholar] [CrossRef]
- Voropai, N. Electric power system transformations: A review of main prospects and challenges. Energies 2020, 13, 5639. [Google Scholar] [CrossRef]
- Shim, K.-S.; Ahn, S.-J.; Choi, J.-H. Synchronization of low-frequency oscillation in power systems. Energies 2017, 10, 558. [Google Scholar] [CrossRef]
- Bayu, E.S.; Khan, B.; Ali, Z.M.; Alaas, Z.M.; Mahela, O.P. Mitigation of low-frequency oscillation in power systems through optimal design of power system stabilizer employing ALO. Energies 2022, 15, 3809. [Google Scholar] [CrossRef]
- Jia, Y.; Tan, B.; Zhang, W.; Jiang, D.; Yang, C.; Wen, Y. A Novel Control Strategy for Hydraulic Turbines to Consider Both Primary Frequency Regulation and Ultra-Low Frequency Oscillation Suppression. Energies 2024, 17, 1067. [Google Scholar] [CrossRef]
- Zhang, S.; Li, L.; Liu, W.; Luo, D.; Zhai, B.; He, H.; Zou, P.; Wang, Y.; Gao, S. Research on Ultra-Low-Frequency Oscillation Suppression Method of High-Head, Large-Capacity Hydropower Units. Energies 2024, 17, 724. [Google Scholar] [CrossRef]
- Teng, Y.; Zhang, P.; Han, R.; Fan, C.; Wang, X.; Jiang, Z.; Zhang, C.; Sun, Y.; Gong, Y.; Yi, J. Mechanism and Characteristics analysis of Ultra-low Frequency Oscillation phenomenon in a Power Grid with a High Proportion of Hydropower. In Proceedings of the 2018 International Conference on Power System Technology (POWERCON), Guangzhou, China, 6–8 November 2018; pp. 575–584. [Google Scholar]
- Yang, W.; Norrlund, P.; Bladh, J.; Yang, J.; Lundin, U. Hydraulic damping mechanism of low frequency oscillations in power systems: Quantitative analysis using a nonlinear model of hydropower plants. Appl. Energy 2018, 212, 1138–1152. [Google Scholar] [CrossRef]
- Liu, D.; Li, C.; Malik, O. Operational characteristics and parameter sensitivity analysis of hydropower unit damping under ultra-low frequency oscillations. Int. J. Electr. Power Energy Syst. 2022, 136, 107689. [Google Scholar] [CrossRef]
- Xu, B.; Lei, L.; Zhao, Z.; Jiang, W.; Xiao, S.; Li, H.; Zhang, J.; Chen, D. Low frequency oscillations in a hydroelectric generating system to the variability of wind and solar power. Water 2021, 13, 1978. [Google Scholar] [CrossRef]
- Zheng, Y.; Chen, Q.; Yan, D.; Zhang, H. Equivalent circuit modelling of large hydropower plants with complex tailrace system for ultra-low frequency oscillation analysis. Appl. Math. Model. 2022, 103, 176–194. [Google Scholar] [CrossRef]
- Han, X.; Jiang, Q.; Liu, T.; Li, B.; Ding, L.; Chen, G. Research on ultra-low frequency oscillation caused by hydro power in hydro-dominant power system. In Proceedings of the 2018 International Conference on Power System Technology (POWERCON), Guangzhou, China, 6–8 November 2018; pp. 1909–1914. [Google Scholar]
- Zou, Y.; Hu, W.; Xiao, Z.; Wang, Y.; Chen, J.; Zheng, Y.; Qian, J.; Zeng, Y. Design of intelligent nonlinear robust controller for hydro-turbine governing system based on state-dynamic-measurement hybrid feedback linearization method. Renew. Energy 2023, 204, 635–651. [Google Scholar] [CrossRef]
- Dao, F.; Zou, Y.; Zeng, Y.; Qian, J.; Li, X. An intelligent CPSOGSA-based mixed H2/H∞ robust controller for the multi-hydro-turbine governing system with sharing common penstock. Renew. Energy 2023, 206, 481–497. [Google Scholar] [CrossRef]
- Liu, D.; Li, C.; Tan, X.; Lu, X.; Malik, O. Damping characteristics analysis of hydropower units under full operating conditions and control parameters: Accurate quantitative evaluation based on refined models. Appl. Energy 2021, 292, 116881. [Google Scholar] [CrossRef]
- Lu, X.; Li, C.; Liu, D.; Zhu, Z.; Tan, X. Influence of water diversion system topologies and operation scenarios on the damping characteristics of hydropower units under ultra-low frequency oscillations. Energy 2022, 239, 122679. [Google Scholar] [CrossRef]
- Chen, Y.; Liu, Y.; Tang, Z.; Hou, J.; Zhang, Y.; Mo, W.; Chen, H. Analysis of ultra-low frequency oscillation in yunnan asynchronous sending system. In Proceedings of the 2017 IEEE Power & Energy Society General Meeting, Chicago, IL, USA, 16–20 July 2017; pp. 1–5. [Google Scholar]
- Chen, G.; Liu, C.; Wang, G.; Ai, D.; Shi, H.; Li, Y. Research on simulation accuracy of ultra-low frequency oscillation in power system with high proportion of hydropower. In Proceedings of the 2019 IEEE 3rd International Electrical and Energy Conference (CIEEC), Beijing, China, 7–9 September 2019; pp. 834–838. [Google Scholar]
- Lei, G.; Chang, X.; Tianhang, Y.; Tuerxun, W. An improved mayfly optimization algorithm based on median position and its application in the optimization of PID parameters of hydro-turbine governor. IEEE Access 2022, 10, 36335–36349. [Google Scholar] [CrossRef]
- Yang, L.; Huang, W.; Zhang, D.; He, P.; Meng, X.; Cao, P.; Yang, B. Comprehensive Suppression Strategy for Low- and Ultra-Low-Frequency Oscillations in Yunnan Power Grid Under Asynchronous Interconnection. Prot. Control Mod. Power Syst. 2021, 49, 133–140. [Google Scholar]
- Deng, W.; Wang, D.; Wei, M.; Zhou, X.; Wu, S.; He, P.; Kang, J. Impact of Turbine Governor Parameters on Ultra-Low-Frequency Oscillations in Power Systems. Power Syst. Technol. 2019, 43, 1371–1377. [Google Scholar]
- Xiao, C.; Wang, D.; Li, Z.; Li, Z.; Zhou, X.; Kang, J. Optimization Control of Turbine Governor Parameters for Suppressing Ultra-Low-Frequency Oscillations in Power Systems. Power Syst. Technol. 2020, 44, 2135–2142. [Google Scholar]
- Zhou, X.; Zheng, Y.; Xu, B.; Liu, W.; Zou, Y.; Chen, J. Fractional-PID and Its Parameter Optimization for Pumped Storage Units Considering the Complicated Conduit System. Water 2023, 15, 3851. [Google Scholar] [CrossRef]
- Zou, Y.; Qian, J.; Zeng, Y.; Guo, Y.; Wu, M.; Wang, F.; Mei, H. Eigen-Structure Assignment-Based Differential Evolution Algorithm for TS Fuzzy Control Tuning Applied to Water-Turbine Governing System. IEEE Access 2021, 9, 39322–39332. [Google Scholar] [CrossRef]
- Chen, J.; Zeng, Q.; Zou, Y.; Li, S.; Zheng, Y.; Liu, D.; Xiao, Z. Intelligent robust control for nonlinear complex hydro-turbine regulation system based on a novel state space equation and dynamic feedback linearization. Energy 2024, 302, 131798. [Google Scholar] [CrossRef]
- Thorne, D.; Hill, E. Extensions of stability boundaries of a hydraulic turbine generating unit. IEEE Trans. Power Appar. Syst. 1975, 94, 1401–1409. [Google Scholar] [CrossRef]
- Phi, D.; Bourque, E.; Thorne, D.; Hill, E. Analysis and application of the stability limits of a hydro-generating unit. IEEE Trans. Power Appar. Syst. 1981, PAS-100, 3203–3212. [Google Scholar] [CrossRef]
- Jia, H.; Rao, H.; Wen, C.; Mirjalili, S. Crayfish optimization algorithm. Artif. Intell. Rev. 2023, 56, 1919–1979. [Google Scholar] [CrossRef]
- Rezaei, F.; Safavi, H.R.; Abd Elaziz, M.; Mirjalili, S. GMO: Geometric mean optimizer for solving engineering problems. Soft Comput. 2023, 27, 10571–10606. [Google Scholar] [CrossRef]
- Mirjalili, S.; Lewis, A. The whale optimization algorithm. Adv. Eng. Softw. 2016, 95, 51–67. [Google Scholar] [CrossRef]
- Abdelhamid, A.A.; Towfek, S.; Khodadadi, N.; Alhussan, A.A.; Khafaga, D.S.; Eid, M.M.; Ibrahim, A. Waterwheel plant algorithm: A novel metaheuristic optimization method. Processes 2023, 11, 1502. [Google Scholar] [CrossRef]
- Cheng, M.-Y.; Sholeh, M.N. Optical microscope algorithm: A new metaheuristic inspired by microscope magnification for solving engineering optimization problems. Knowl.-Based Syst. 2023, 279, 110939. [Google Scholar] [CrossRef]
- Agushaka, J.O.; Ezugwu, A.E.; Abualigah, L. Gazelle optimization algorithm: A novel nature-inspired metaheuristic optimizer. Neural Comput. Appl. 2023, 35, 4099–4131. [Google Scholar] [CrossRef]
Disclaimer/Publisher’s Note: The statements, opinions and data contained in all publications are solely those of the individual author(s) and contributor(s) and not of MDPI and/or the editor(s). MDPI and/or the editor(s) disclaim responsibility for any injury to people or property resulting from any ideas, methods, instructions or products referred to in the content. |
© 2024 by the authors. Licensee MDPI, Basel, Switzerland. This article is an open access article distributed under the terms and conditions of the Creative Commons Attribution (CC BY) license (https://creativecommons.org/licenses/by/4.0/).

























