Research on Transformer Condition Prediction Based on Gas Prediction and Fault Diagnosis
Abstract
1. Introduction
2. Introduction to Combinatorial Models
2.1. Gas Concentration Prediction Model
2.2. Fault Diagnosis Model
- Due to the fact that the values of the input feature data are too different in size, in order to save computation time and improve the training efficiency of the model, it is necessary to normalize the size of the data so that all the values are within the range of [0,1]. The processing method is shown as in Equation (1):
- 2.
- We randomly divide the dissolved gas data, corresponding to various fault types, into training sets and testing sets, use the training set and the extended data to find the optimal hyperparameters for the ISSA-SVM model, and apply the hyperparameters optimized by ISSA to the SVM classifier.
- 3.
- Using the optimized SVM fault diagnosis model to diagnose faults in the test set, after thorough learning and fitting on the training set, SVM can fully explore the potential correlations between different types of faults and data in numerous dimensions and ultimately output the fault diagnosis results.
2.3. Combinatorial Model
- Collect the dissolved gas concentration data to be predicted and also collect the data of the transformer under different faults and normal states; divide the gas concentration data into training set and test set data and carry out two different modal decompositions of the time series data to decompose them into multiple sub-sequences with a certain degree of regularity, which are easy to predict.
- Use the sparrow search algorithm to optimize the parameters of the two-way long and short-term memory network, predict the multiple sub-sequences of the test set, and then superimpose the output values of the sub-sequences and reconstruct them into the predicted values of the final dissolved gas concentration. The same method is used to decompose, predict, and reconstruct different characteristic gases and output the final predicted value.
- Normalize and preprocess the historical fault data of the transformer and input the data of the characteristic gases into the SVM optimized by the improved sparrow search algorithm after dimensional upgrading; the SVM will mine the correlation among them and train the diagnosis on the historical fault data and fault types.
- The final predicted value data in step (2) are used as input to carry out the diagnosis process in step (3), and the trained ISSA-SVM model will evaluate the input data accordingly and output whether there is a fault in the transformer in the state of the predicted value, as well as the corresponding fault type.
3. Case Studies
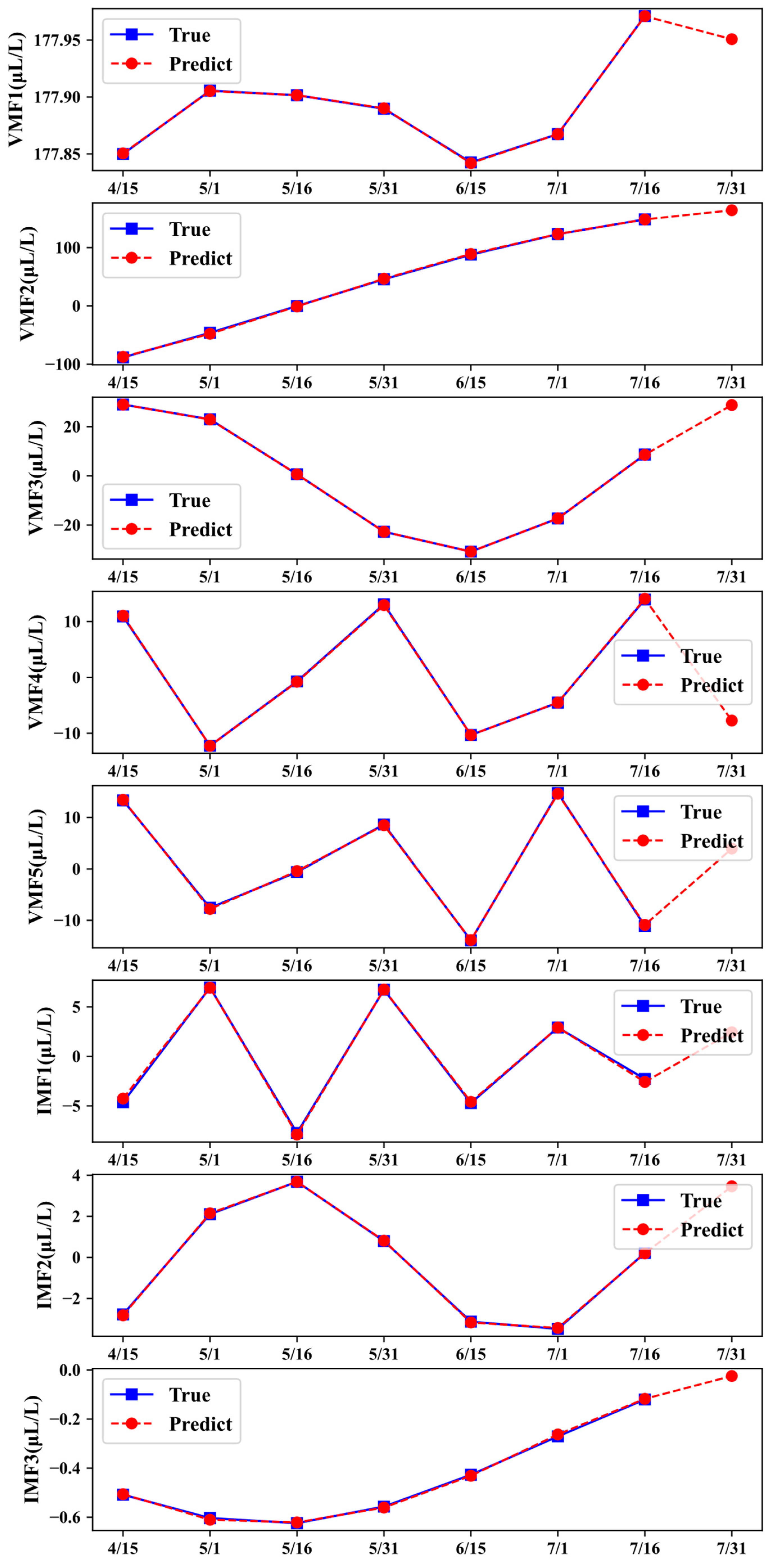
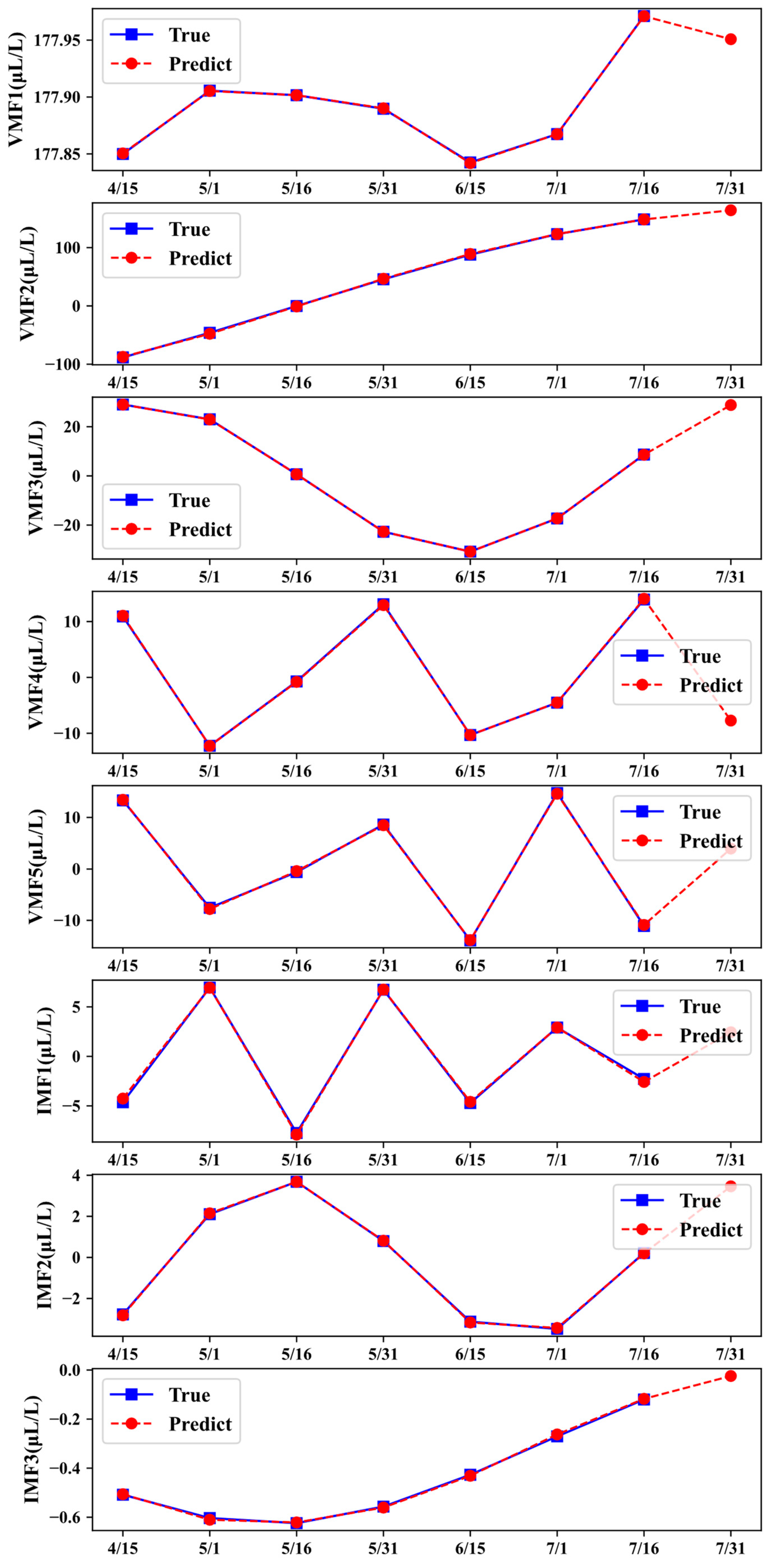
3.1. Case One
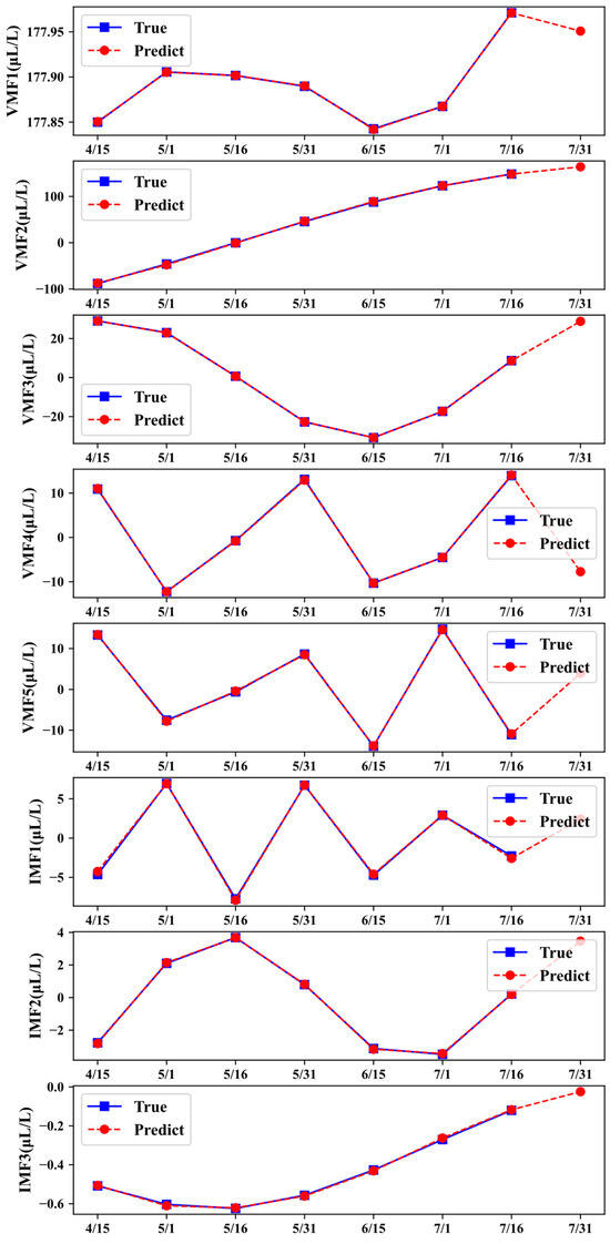
3.2. Case Two
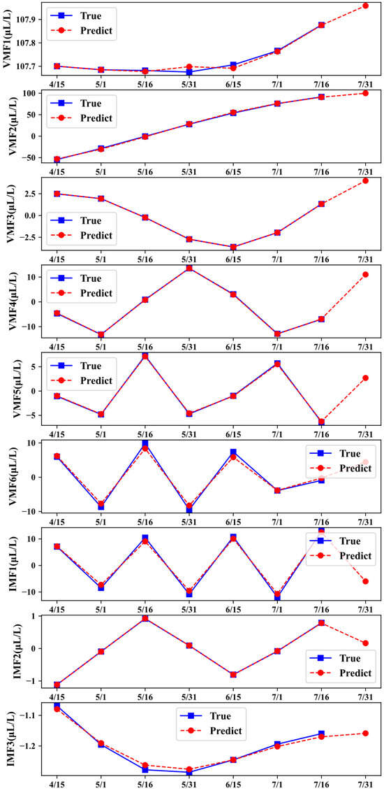
3.3. Case Three
4. Conclusions
- In Case One, the SSA-BiLSTM gas prediction model with quadratic modal decomposition is used to predict the concentration of each subsequence of methane and other gases. The results show that the model accurately predicts the concentration values on the day of several sampling dates before the fault occurs, and on the day of the fault, the predicted values of the concentration are very close to the actual values. The prediction results for Case Two are also very close to the real values. In Case Three, the deviation of the prediction results is larger than that for the other two cases due to the smaller amount of gas concentration data, but the overall prediction accuracy is very high, which demonstrates the excellent prediction performance of the gas prediction model proposed in this paper.
- The improved sparrow search algorithm enhances the optimization ability and speed and is able to jump out of the local optimum quickly, making the SVM fault diagnosis algorithm’s performance better. The predicted values of each characteristic gas in the model are imported into the ISSA-SVM fault diagnosis model, which is able to judge the possible future faults of the transformer. The results of the three cases prove that the combined transformer state prediction models constructed in this paper all accurately predict the results (i.e., they are consistent with the actual fault types), showing that the ISSA-SVM model has a high accuracy rate for transformer fault diagnosis.
- Compared with machine learning fault diagnosis algorithms, traditional diagnostic methods such as Duval’s triangle rule and the three-ratio method have certain limitations, which make it difficult to determine the actual types of faults occurring inside the transformer under the action of various factors, such as complex environment, accurately. It can be seen from the results of Case Two that sometimes, the fault type does not match the gas ratio after the encoding of the three-ratio method, so it is difficult for this method to be widely used in fault diagnosis. The oil-immersed transformer state prediction method based on the combined model of gas prediction and fault diagnosis proposed in this paper demonstrates good performance in judging the fault types for the three cases, and it will also have a positive impact on the operation and maintenance of transformers in the future.
Author Contributions
Funding
Data Availability Statement
Conflicts of Interest
References
- Li, J.; Li, G.; Hai, C.; Guo, M. Transformer Fault Diagnosis Based on Multi-Class AdaBoost Algorithm. IEEE Access 2022, 10, 1522–1532. [Google Scholar] [CrossRef]
- Jiang, J.; Chen, R.; Chen, M.; Wang, W.; Zhang, C. Dynamic Fault Prediction of Power Transformers Based on Hidden Markov Model of Dissolved Gases Analysis. IEEE Trans. Power Deliv. 2019, 34, 1393–1400. [Google Scholar] [CrossRef]
- Ma, X.; Hu, H.; Shang, Y. A New Method for Transformer Fault Prediction Based on Multifeature Enhancement and Refined Long Short-Term Memory. IEEE Trans. Instrum. Meas. 2021, 70, 2512111. [Google Scholar] [CrossRef]
- Wang, Y.; Zhang, P.; Qi, B.; Li, C.; Su, H.; Wang, Q. State Prediction of Power Transformer Based on Grey-Lagrange Method with Weighted Coefficient of Variation. In Proceedings of the 2018 Condition Monitoring and Diagnosis (CMD), Perth, WA, Australia, 23–26 September 2018; pp. 1–6. [Google Scholar]
- Mishra, D.; Pradhan, A.K.; Baral, A.; Chakravorti, S. Reduction of time domain insulation response measurement duration for fast and effective diagnosis of power transformer. IEEE Trans. Dielectr. Electr. Insul. 2018, 25, 1932–1940. [Google Scholar] [CrossRef]
- Benmahamed, Y.; Teguar, M.; Boubakeur, A. Application of SVM and KNN to Duval Pentagon 1 for transformer oil diagnosis. IEEE Trans. Dielectr. Electr. Insul. 2023, 24, 3443–3451. [Google Scholar] [CrossRef]
- Dai, J.; Song, H.; Sheng, G.; Jiang, X. Dissolved gas analysis of insulating oil for power transformer fault diagnosis with deep belief network. IEEE Trans. Dielectr. Electr. Insul. 2017, 24, 2828–2835. [Google Scholar] [CrossRef]
- Guo, J.; Xie, Z.; Qin, Y.; Jia, L.; Wang, Y. Short-Term Abnormal Passenger Flow Prediction Based on the Fusion of SVR and LSTM. IEEE Access 2019, 7, 42946–42955. [Google Scholar] [CrossRef]
- Guo, C.; Dong, M.; Wu, Z. Fault Diagnosis of Power Transformers Based on Comprehensive Machine Learning of Dissolved Gas Analysis. In Proceedings of the IEEE 20th International Conference on Dielectric Liquids (ICDL), Roma, Italy, 23–27 June 2019; pp. 1–4. [Google Scholar]
- Qi, B.; Wang, Y.; Zhang, P.; Li, C.; Wang, H. A novel deep recurrent belief network model for trend prediction of transformer DGA data. IEEE Access 2019, 7, 80069–80078. [Google Scholar] [CrossRef]
- Han, X.; Huang, S.; Zhang, X.; Zhu, Y.; An, G.; Du, Z. A transformer condition recognition method based on dissolved gas analysis features selection and multiple models fusion. Eng. Appl. Artif. Intell. 2023, 123, 106518. [Google Scholar] [CrossRef]
- Ali, M.S.; Abu Bakar, A.H.; Omar, A.; Abdul Jaafar, A.S.; Mohamed, S.H. Conventional methods of dissolved gas analysis using oil-immerse-d power transformer for fault diagnosis: A review. Electr. Power Syst. Res. 2023, 216, 109064. [Google Scholar] [CrossRef]
- Code, P.; Prix, C. Mineral Oil-Impregnated Electrical Equipment in Service–Guide to the Interpretation of Dissolved and Free Gases Analysis; IEC Publication 60599; British Standards Institution: London, UK, 2007. [Google Scholar]
- Duval, M. A review of faults detectable by gas-in-oil analysis in transformers. IEEE Electr. Insul. Mag. 2021, 18, 8–17. [Google Scholar] [CrossRef]
- Rogers, R.R. IEEE and IEC Codes to Interpret Incipient Faults in Transformers, Using Gas in Oil Analysis. IEEE Electr. Insul. Mag. 1978, EI-13, 349–354. [Google Scholar] [CrossRef]
- Xing, Z.; He, Y.; Wang, X.; Shao, K.; Duan, J. VMD-IARIMA-Based Time-Series Forecasting Model and its Application in Dissolved Gas Analysis. IEEE Trans. Dielectr. Electr. Insul. 2023, 30, 802–811. [Google Scholar] [CrossRef]
- Zhang, W.; Liu, J.; Jiang, J.; Zhang, X.; Fan, L. Prediction of concentration for dissolved gas in oil based on CEEMDAN and TCN. Electr. Power Eng. Technol. 2024, 30, 192–200. [Google Scholar]
- Huang, X.; Wang, X.; Tian, Y. Research on Transformer Fault Diagnosis Method based on GWO Optimized Hybrid Kernel Extreme Learning Machine. In Proceedings of the 2018 Condition Monitoring and Diagnosis (CMD), Perth, WA, Australia, 23–26 September 2018; pp. 1–5. [Google Scholar]
- Das, S.; Paramane, A.; Chatterjee, S.; Rao, U.M. Accurate Identification of Transformer Faults From Dissolved Gas Data Using Recursive Feature Elimination Method. IEEE Trans. Dielectr. Electr. Insul. 2023, 30, 466–473. [Google Scholar] [CrossRef]
- Das, S.; Paramane, A.; Chatterjee, S.; Rao, U.M. Sensing Incipient Faults in Power Transformers Using Bi-Directional Long Short-Term Memory Network. IEEE Sens. Lett. 2023, 7, 7000304. [Google Scholar] [CrossRef]
- Baiju, S.S.; Adarsh, S. Root Cause Analysis in Power Transformer Failure with Improved Intelligent Methods. In Proceedings of the 2022 IEEE International Power and Renewable Energy Conference (IPRECON), Kollam, India, 16–18 December 2022; pp. 1–6. [Google Scholar]
- Mounir, N.; Ouadi, H.; Jrhilifa, I. Short-term electric load forecasting using an EMD-BI-LSTM approach for smart grid energy management system. Energy Build. 2023, 288, 113022. [Google Scholar] [CrossRef]
- Qu, L.; Zhou, H. The Multi-class SVM Is Applied in Transformer Fault Diagnosis. In Proceedings of the 2015 14th International Symposium on Distributed Computing and Applications for Business Engineering and Science (DCABES), Guiyang, China, 18–24 August 2015; pp. 477–480. [Google Scholar]
- Li, J.; Lei, Y.; Yang, S. Mid-long term load forecasting model based on support vector machine optimized by improved sparrow search algorithm. Energy Rep. 2022, 8, 491–497. [Google Scholar] [CrossRef]
- Gu, Q.; Tian, J.; Li, X.; Jiang, S. A novel Random Forest integrated model for imbalanced data classification problem. Knowl.-Based Syst. 2021, 250, 109050. [Google Scholar] [CrossRef]
- Zhang, H.; Zhang, Y. An Improved Sparrow Search Algorithm for Optimizing Support Vector Machines. IEEE Access 2023, 11, 8199–8206. [Google Scholar] [CrossRef]
- Wu, C.; Lin, J.; Yu, Z.; Yang, J.; Liu, X. Thermal State Prediction of Transformers Based on ISSA-LSTM. In Proceedings of the 2022 5th International Conference on Energy, Electrical and Power Engineering (CEEPE), Chongqing, China, 22–24 April 2022; pp. 160–165. [Google Scholar]
- Ding, C.; Ding, Q.C.; Wang, Z.Y.; Zhou, Y.Y. Fault diagnosis of oil-immersed transformers based on the improved sparrow search algorithm optimised support vector machine. IET Electr. Power Appl. 2021, 16, 985–995. [Google Scholar] [CrossRef]
- Ding, C.; Ding, Q.C.; Feng, L.; Wang, Z.L. Prediction Model of Dissolved Gas in Transformer Oil Based on VMD-SMA-LSSVM. IEEJ Trans. Electr. Electron. Eng. 2022, 17, 1432–1440. [Google Scholar] [CrossRef]
- SiMa, L. Research on Fault Diagnosis and Prediction Method of Power Transformer Based on Improved Support Vector Machine. Ph.D. Thesis, Department of Electrical Engineering, Wuhan University, Wuhan, China, 2012. [Google Scholar]













| Num | Feature | Num | Feature |
|---|---|---|---|
| 1 | CH4/H2 | 7 | CH4/(C1 + C2) |
| 2 | C2H2/C2H4 | 8 | C2H6/(C1 + C2) |
| 3 | C2H4/C2H6 | 9 | (CH4 + C2H4)/(C1 + C2) |
| 4 | C2H2/(C1 + C2) | 10 | C1 + C2 |
| 5 | H2/(H2 + C1 + C2) | 11 | C1 + C2 + H2 |
| 6 | C2H4/(C1 + C2) | 12 | CH4 + C2H4 |
| Date | H2 | CH4 | C2H6 | C2H4 | C2H2 |
|---|---|---|---|---|---|
| 1 March | 6.3 | 4.9 | 5.8 | 3.4 | 0 |
| 16 March | 11.5 | 24.5 | 6.3 | 16.2 | 0 |
| 31 March | 26.8 | 40.2 | 35.7 | 56.1 | 0.4 |
| 15 April | 32.7 | 61 | 41.3 | 134.9 | 0.4 |
| 1 May | 51.8 | 44.6 | 56.9 | 143.5 | 0.6 |
| 16 May | 46.6 | 135.2 | 48.2 | 172.4 | 0.5 |
| 31 May | 48.6 | 120.1 | 98.8 | 229.6 | 0.8 |
| 15 June | 52 | 176.3 | 103.1 | 202.5 | 1.2 |
| 1 July | 49.6 | 157.3 | 92 | 293.1 | 1.1 |
| 16 July | 67.2 | 199.1 | 123.9 | 335.8 | 1.2 |
| 31 July | 224.9 | 152.6 | 371.4 | 71.2 | 1.4 |
| Learning Rate | Training Times | Hidden Layer 1 | Hidden Layer 2 | |
|---|---|---|---|---|
| VMF1 | 0.00911 | 89 | 95 | 93 |
| VMF2 | 0.00547 | 96 | 64 | 71 |
| VMF3 | 0.00866 | 84 | 88 | 74 |
| VMF4 | 0.00828 | 80 | 97 | 47 |
| VMF5 | 0.00536 | 98 | 14 | 96 |
| VMF6 | 0.00703 | 15 | 52 | 88 |
| IMF1 | 0.00723 | 51 | 7 | 58 |
| IMF2 | 0.00415 | 99 | 85 | 32 |
| IMF3 | 0.00363 | 90 | 93 | 51 |
| H2 | CH4 | C2H6 | C2H4 | C2H2 | |
|---|---|---|---|---|---|
| Predicted Value | 71.3 | 224.6 | 153.0 | 372.3 | 1.3 |
| True Value | 71.2 | 224.9 | 152.6 | 371.4 | 1.4 |
| H2 | CH4 | C2H6 | C2H4 | C2H2 | |
|---|---|---|---|---|---|
| Predicted Value | 531.22 | 124.4 | 21.41 | 0.89 | 0 |
| True Value | 530.41 | 124.81 | 21.2 | 0.83 | 0 |
| Date | H2 | CH4 | C2H6 | C2H4 | C2H2 |
|---|---|---|---|---|---|
| 6 May 2010 | 17.27 | 121.85 | 38.62 | 69.81 | 0.73 |
| 19 May 2010 | 17.88 | 137.42 | 40.37 | 74.72 | 0.82 |
| 31 May 2010 | 9.73 | 106.42 | 34.12 | 62.03 | 0.66 |
| 12 June 2010 | 21.43 | 140.95 | 39.38 | 75.65 | 1.7 |
| 24 June 2010 | 23.31 | 125.2 | 35.73 | 68.74 | 1.7 |
| 8 July 2010 | 10.01 | 100.68 | 35.1 | 64.53 | 1.46 |
| 23 July 2010 | 22.10 | 129.70 | 37.44 | 72.52 | 1.50 |
| H2 | CH4 | C2H6 | C2H4 | C2H2 | |
|---|---|---|---|---|---|
| Predicted Value | 18.65 | 146.01 | 42.13 | 79.24 | 1.48 |
| True Value | 22.10 | 129.70 | 37.44 | 72.52 | 1.50 |
Disclaimer/Publisher’s Note: The statements, opinions and data contained in all publications are solely those of the individual author(s) and contributor(s) and not of MDPI and/or the editor(s). MDPI and/or the editor(s) disclaim responsibility for any injury to people or property resulting from any ideas, methods, instructions or products referred to in the content. |
© 2024 by the authors. Licensee MDPI, Basel, Switzerland. This article is an open access article distributed under the terms and conditions of the Creative Commons Attribution (CC BY) license (https://creativecommons.org/licenses/by/4.0/).
Share and Cite
Ding, C.; Chen, W.; Yu, D.; Yan, Y. Research on Transformer Condition Prediction Based on Gas Prediction and Fault Diagnosis. Energies 2024, 17, 4082. https://doi.org/10.3390/en17164082
Ding C, Chen W, Yu D, Yan Y. Research on Transformer Condition Prediction Based on Gas Prediction and Fault Diagnosis. Energies. 2024; 17(16):4082. https://doi.org/10.3390/en17164082
Chicago/Turabian StyleDing, Can, Wenhui Chen, Donghai Yu, and Yongcan Yan. 2024. "Research on Transformer Condition Prediction Based on Gas Prediction and Fault Diagnosis" Energies 17, no. 16: 4082. https://doi.org/10.3390/en17164082
APA StyleDing, C., Chen, W., Yu, D., & Yan, Y. (2024). Research on Transformer Condition Prediction Based on Gas Prediction and Fault Diagnosis. Energies, 17(16), 4082. https://doi.org/10.3390/en17164082

