Study on the Influencing Factors of Electrical Characteristics of Articulated Split-Zone Insulator Arc
Abstract
1. Introduction
2. Arcing Mechanism of the Articulated Split-Zone Insulator
3. Modeling of Articulated Split-Zone Insulator Arcing
3.1. Black-Box Arc Model
3.2. Extension of Parameters for the Black Box Arc Model
3.3. Model Validation
4. Experimental Results and Discussion
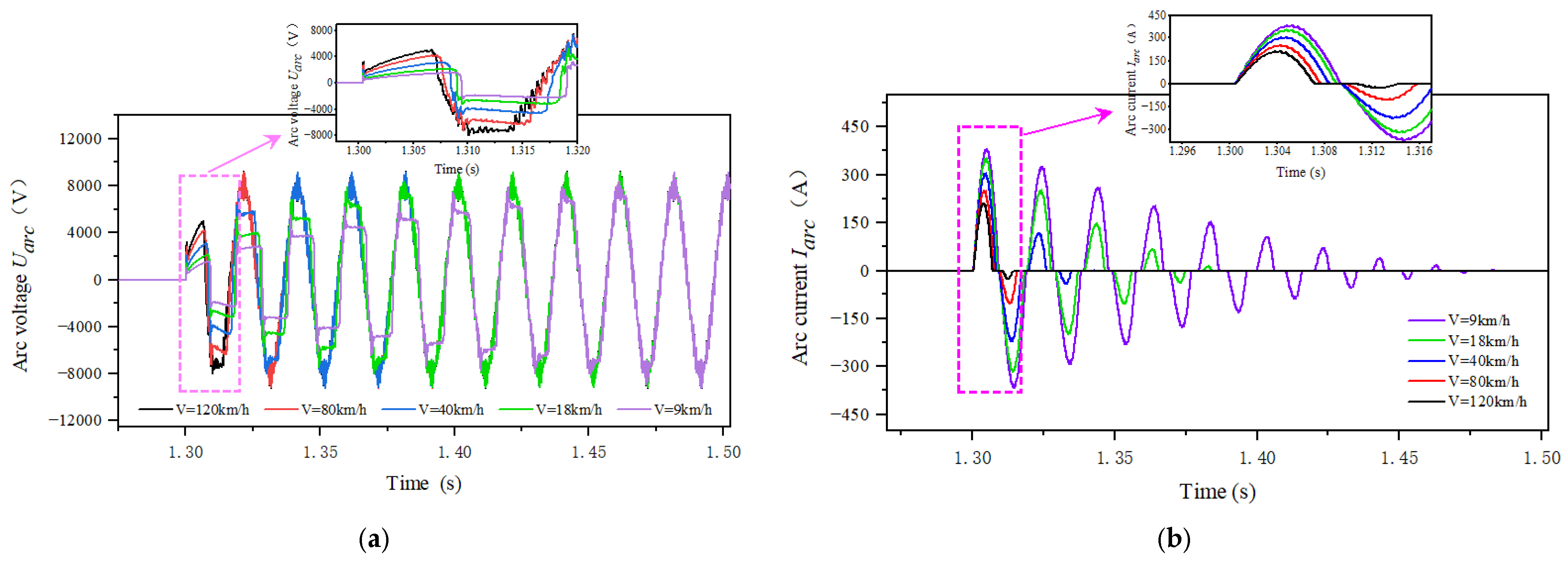
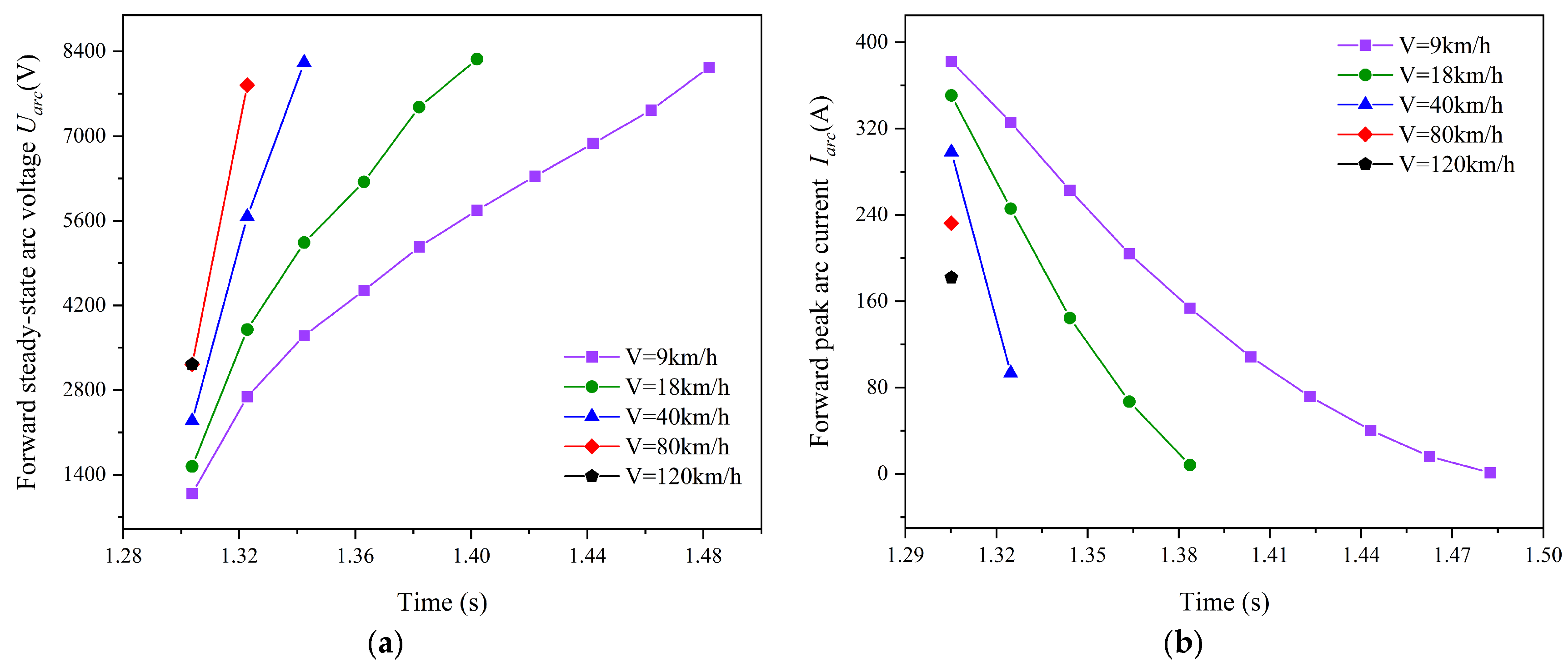
4.1. The Influence of Train Speed on Arcing Electrical Characteristics
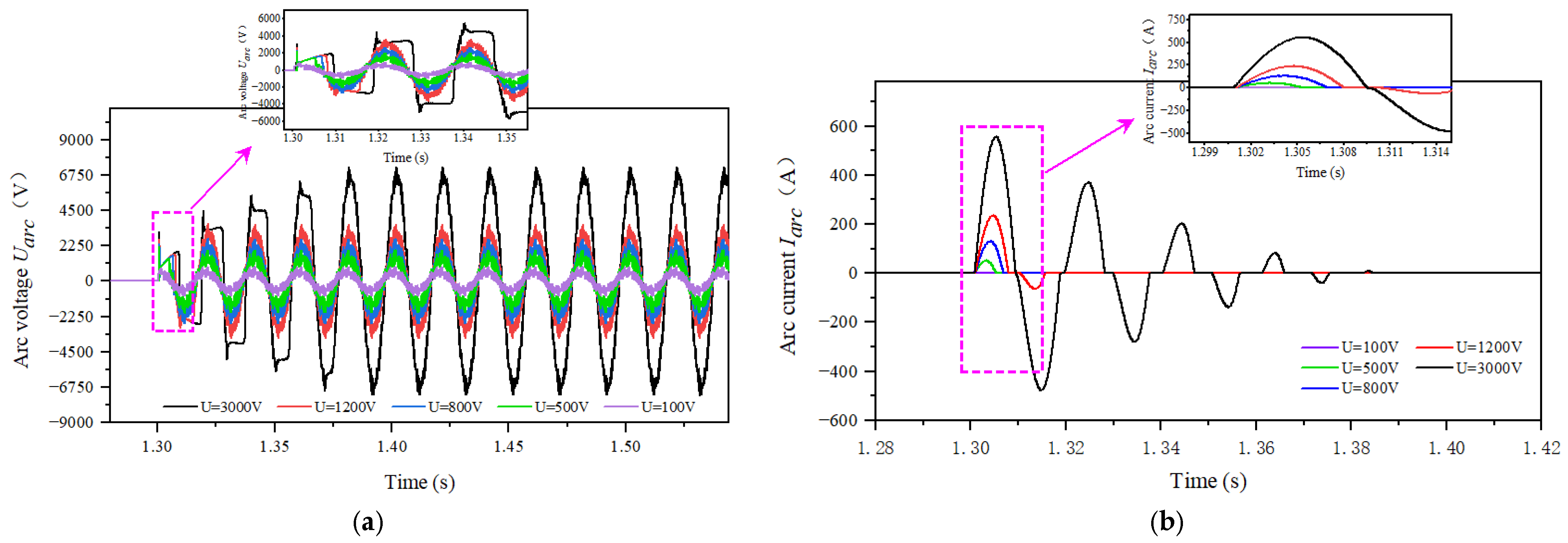
4.2. The Influence of Voltage Difference on the Arcing Electrical Characteristics
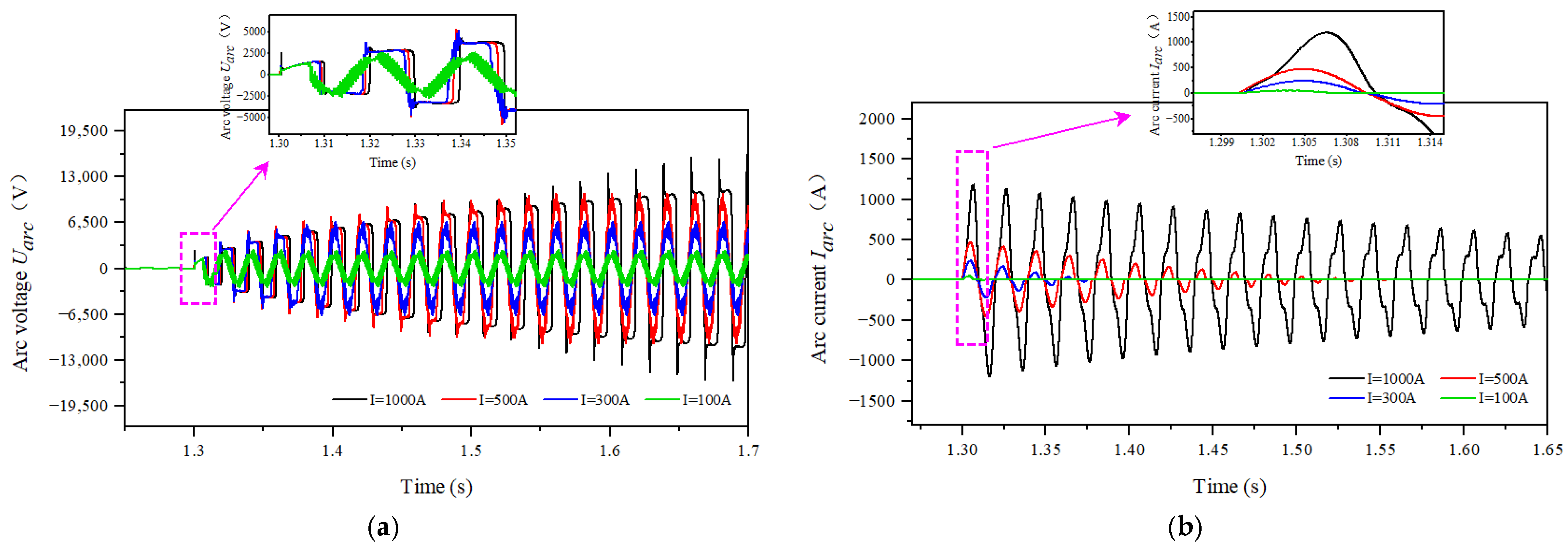
4.3. The Influence of Current Collection Size on the Arcing Electrical Characteristics
4.4. The Influence of Structural Forms on Arcing Electrical Characteristics
5. Simulation Results and Discussion
5.1. Determination of Arcing Time
5.2. Calculation of the Influence Weights of Each Indicator
6. Conclusions
- (1)
- An arc simulation model suitable for EMUs leaving articulated split-zone insulators was established. This model considers the dynamic variation process of the distance between the slide and contact wire and was verified through comparison with existing research results.
- (2)
- The impact strengths of different operational parameters on the arc duration time of the articulated split-zone insulator were obtained. The article proposes using the entropy weight method to calculate the experimental data. It was found that train speed has the largest impact strength on the arc duration time, while current collection has the smallest impact strength on the arc duration time.
- (3)
- When a train passes through the split-zone region, the erosion of the slide and contact wire can be reduced by increasing the operating speed, decreasing the voltage difference between the two contact wires of zone I and zone II, and adjusting the mechanical structure of the articulated split-zone insulator.
Author Contributions
Funding
Data Availability Statement
Conflicts of Interest
Nomenclature
| PC | pantograph–catenary |
| EMUs | electric multiple units |
| MHD | magnetohydrodynamic |
| CZC | current zero-crossing |
| List of Symbols | |
| Symbols | Meaning |
| ΔU | voltage difference |
| d | the gap between contact surfaces |
| e | arc voltage per unit length |
| τ | arc time constant |
| P0 | arc dissipation power |
| i | arc current |
| g | arc conductivity |
| k1 | proportionality coefficient |
| k2 | arc dissipation power coefficient |
| Larc | arc length |
| V | train’s operating speed |
| t | duration of the arc |
| tarc | arcing time |
| σij | standardized data |
| n | the number of evaluation indicators |
| Pij | the proportion |
| Ej | information entropy |
| Wj | impact weight |
References
- Liu, Z.; Zhou, H.; Huang, K.; Song, Y.; Zheng, Z.; Cheng, Y. Extended Black-Box Model of Pantograph-Catenary Detachment Arc Considering Pantograph-Catenary Dynamics in Electrified Railway. IEEE Trans. Ind. Appl. 2019, 55, 776–785. [Google Scholar] [CrossRef]
- Li, Z.; Li, Z. Study on Electric Spark Caused by Voltage Difference at Section Insulator of Overhead Contact System. Railw. Constr. Technol. 2012, 06, 100–102. (In Chinese) [Google Scholar]
- Liu, Z.; Song, Y.; Gao, S.; Wang, H. Review of Perspectives on Pantograph-Catenary Interaction Research for High-Speed Railways Operating at 400 km/h and Above. IEEE Trans. Transp. Electrif. 2023, early access. [Google Scholar] [CrossRef]
- Song, Y.; Liu, Z.; Rønnquist, A.; Nåvik, P.; Liu, Z. Contact Wire Irregularity Stochastics and Effect on High-Speed Railway Pantograph–Catenary Interactions. IEEE Trans. Instrum. Meas. 2020, 69, 8196–8206. [Google Scholar] [CrossRef]
- Wang, H. Causes and Solutions of Pantograph Carbon Strip Abnormal Wear on Beijing Metro Line 6 West Extension. Urban Mass Transit 2023, 26, 44–49. (In Chinese) [Google Scholar]
- Song, Y.; Wang, Z.; Liu, Z.; Wang, R. A spatial coupling model to study dynamic performance of pantograph-catenary with vehicle-track excitation. Mech. Syst. Signal Process. 2021, 151, 107336. [Google Scholar] [CrossRef]
- Li, Z.; Wang, C.; Cao, H. Analysis on Automatic Pantograph Lowering of EMU’s on Line B of West Tianjin. Electr. Railw. 2017, 28, 49–52. (In Chinese) [Google Scholar]
- Cheng, Y.; Liu, Z.; Huang, K. Transient Analysis of Electric Arc Burning at Insulated Rail Joints in High-Speed Railway Stations Based on State-Space Modeling. IEEE Trans. Transp. Electrif. 2017, 3, 750–761. [Google Scholar] [CrossRef]
- Huang, K.; Su, D. Extended Pantograph-Catenary Arc Modeling and an Analysis of the Vehicular-Grounding Electromagnetic Transients of Electric Multiple Units. Energies 2024, 17, 1416. [Google Scholar] [CrossRef]
- Yan, X.; Chen, W.; Wang, C.; Li, Z. Computation of Secondary Arc Self-extinction Behavior With the Influence of Wind. Proc. CSEE 2009, 29, 1–6. (In Chinese) [Google Scholar]
- Wang, Y.; Liu, Z.; Mu, X.; Huang, K.; Wang, H.; Gao, S. An extended habedank’s equation-based EMTP model of pantograph arcing considering pantograph-catenary interactions and train speeds. IEEE Trans. Power Deliv. 2015, 31, 1186–1194. [Google Scholar] [CrossRef]
- Liu, Z.; Yang, Y.; Zhou, H.; Huang, K. Study on the Modeling and Suppression of Arcing Generated by Articulated Split-Zone Insulator in Electrified Railways. IEEE Trans. Transp. Electrif. 2022, 8, 542–552. [Google Scholar] [CrossRef]
- Wang, X.; Guo, F.; Li, F.; Liu, Z.; Kou, J. Influence of Surface Roughness of Sliding Friction Pairs on Pantograph-Catenary Contact Resistance. IEEE Trans. Transp. Electrif. 2024, early access. [Google Scholar] [CrossRef]
- Yang, Z.; Xu, P.; Wei, W.; Gao, G.; Zhou, N.; Wu, G. Influence of the Crosswind on the Pantograph Arcing Dynamics. IEEE Trans. Plasma Sci. 2020, 48, 2822–2830. [Google Scholar] [CrossRef]
- Gao, G.; Yan, X.; Yang, Z.; Wei, W.; Hu, Y.; Wu, G. Pantograph-Catenary Arcing Detection Based on Electromagnetic Radiation. IEEE Trans. Electromagn. Compat. 2018, 61, 983–989. [Google Scholar] [CrossRef]
- Gao, G.; Hao, J.; Wei, W.; Hu, H.; Zhu, G.; Wu, G. Dynamics of Pantograph–Catenary Arc During the Pantograph Lowering Process. IEEE Trans. Plasma Sci. 2016, 44, 2715–2723. [Google Scholar] [CrossRef]
- Khakpour, A.; Uhrlandt, D.; Methling, R.P.; Gortschakow, S.; Franke, S.; Imani, M.T.; Weltmann, K.D. Impact of temperature changing on voltage and power of an electric arc. Electr. Power Syst. Res. 2017, 143, 73–78. [Google Scholar] [CrossRef]
- Xu, Z.; Gao, G.; Wei, W. Characteristics of pantograph-catenary arc under low air pressure and strong airflow. High Volt. 2022, 7, 369–381. [Google Scholar] [CrossRef]
- Duan, F.; Song, Y.; Gao, S.; Liu, Y.; Zhu, W.; Lu, X.; Liu, Z. Study on Aerodynamic Instability and Galloping Response of Rail Overhead Contact Line Based on Wind Tunnel Tests. IEEE Trans. Veh. Technol. 2023, 72, 7211–7220. [Google Scholar] [CrossRef]
- Song, Y.; Liu, Z.; Gao, S. Current Collection Quality of High-speed Rail Pantograph-catenary Considering Geometry Deviation at 400 km/h and Above. IEEE Trans. Veh. Technol. 2024, early access. [Google Scholar] [CrossRef]
- Hu, Z.; Song, Y.; Chen, L.; Duan, F.; Liu, Z.; Feng, X. Experimental and Numerical Exploration of Support Stiffness Influence on the Current Collection Quality of Pantograph and Overhead Conductor Rail System. IEEE Trans. Transp. Electrif. 2023, early access. [Google Scholar] [CrossRef]
- Song, Y.; Lu, X.; Yin, Y.; Liu, Y.; Liu, Z. Optimization of Railway Pantograph-Catenary Systems for Over 350 km/h Based on an Experimentally Validated Model. IEEE Trans. Ind. Inform. 2024, 20, 7654–7664. [Google Scholar] [CrossRef]
- Zhang, R.; Jiang, F.; Xue, L. Experimental Study on Wire Melting Control Ability of Twin-Body Plasma Arc. Chin. J. Mech. Eng. 2024, 37, 30. [Google Scholar] [CrossRef]
- Chen, T.; Liu, J.; Liu, G.; Xiao, H.; Li, C.; Liu, X. Experimental Study on Titanium Alloy Cutting Property and Wear Mechanism with Circular-arc Milling Cutters. Chin. J. Mech. Eng. 2023, 36, 57. [Google Scholar] [CrossRef]
- Yang, Y.; Gao, H.; Zhang, M.; Su, Z.; Hu, M.; Jin, M.; Liu, S. Research on the Influence of Pantograph Catenary Contact Loss Arcs and Zero-Crossing Stage on Electromagnetic Disturbance in High-Speed Railway. Energies 2024, 17, 138. [Google Scholar] [CrossRef]
- He, D.; Zhou, H.; Lan, Z.; Wang, W.; Zeng, J.; Yu, X.; Shen, Z. Solid-state Circuit Breaker Based on Cascaded Normally-on SiC JFETs for Medium-voltage DC Distribution Networks. Prot. Control. Mod. Power Syst. 2024, 9, 32–46. [Google Scholar] [CrossRef]
- Xu, H.; Liu, W.; Yin, J.; Li, X.; Zhao, L.; Sun, C. Study on electrical characteristics of pantograph-catenary arc during contact loss. Railw. Stand. Des. 2021, 65, 147–153. [Google Scholar]
- Lu, B.; Liu, Z.; Wang, X.; Song, Y.; Zhang, Q.; Wu, S.; Tao, G. Influence of Electric Traction Drive System Harmonics and Interharmonics on the Vibration of Key Locomotive Components. IEEE Trans. Veh. Technol. 2023, 72, 12830–12844. [Google Scholar] [CrossRef]
- Zhou, H.; Liu, Z.; Deng, Y.; Yang, Y.; Gao, S. Study on the Suppression of Arcing Generated by Articulated Split-zone Insulator in Electrified Railways. Power Syst. Technol. 2023, 47, 2583–2593. [Google Scholar]
- Lin, X.; Pan, C.; Luo, D.; Sun, Y. Series DC Arc Simulation of Photovoltaic System Based on Habedank Model. Energies 2020, 13, 1416. [Google Scholar] [CrossRef]
- Yu, D.; Sun, H. Mechanism of Arcing in High Speed Train Based on Pantograph Arc Dynamic Model. Urban Mass Transit 2020, 23, 54–57. (In Chinese) [Google Scholar]
- Andrea, M. The Electrical Behaviour of Railway Pantograph Arcs. Energies 2023, 16, 1465. [Google Scholar] [CrossRef]
- Swierczynski, B.; Gonzalez1, J.; Teulet, P.; Freton, P.; Gleizes, A. Advances in low-voltage circuit breaker modeling. J. Phys. D Appl. Phys. 2004, 37, 595–609. [Google Scholar] [CrossRef]
- Wang, W.; Wu, G.; Zhao, Y.; Gao, G.; Wang, B. Experimental Study of Electrical Characteristics on Pantograph Arcing. Electr. Energy Manag. Technol. 2012, 6, 5–10+27. (In Chinese) [Google Scholar] [CrossRef]









Disclaimer/Publisher’s Note: The statements, opinions and data contained in all publications are solely those of the individual author(s) and contributor(s) and not of MDPI and/or the editor(s). MDPI and/or the editor(s) disclaim responsibility for any injury to people or property resulting from any ideas, methods, instructions or products referred to in the content. |
© 2024 by the authors. Licensee MDPI, Basel, Switzerland. This article is an open access article distributed under the terms and conditions of the Creative Commons Attribution (CC BY) license (https://creativecommons.org/licenses/by/4.0/).
Share and Cite
Pan, L.; Xie, B.; Chen, L.; Xing, T.; Zhang, H.; Lu, Y.; Song, Y. Study on the Influencing Factors of Electrical Characteristics of Articulated Split-Zone Insulator Arc. Energies 2024, 17, 3883. https://doi.org/10.3390/en17163883
Pan L, Xie B, Chen L, Xing T, Zhang H, Lu Y, Song Y. Study on the Influencing Factors of Electrical Characteristics of Articulated Split-Zone Insulator Arc. Energies. 2024; 17(16):3883. https://doi.org/10.3390/en17163883
Chicago/Turabian StylePan, Like, Biaohuan Xie, Liming Chen, Tong Xing, Haibo Zhang, Yanming Lu, and Yang Song. 2024. "Study on the Influencing Factors of Electrical Characteristics of Articulated Split-Zone Insulator Arc" Energies 17, no. 16: 3883. https://doi.org/10.3390/en17163883
APA StylePan, L., Xie, B., Chen, L., Xing, T., Zhang, H., Lu, Y., & Song, Y. (2024). Study on the Influencing Factors of Electrical Characteristics of Articulated Split-Zone Insulator Arc. Energies, 17(16), 3883. https://doi.org/10.3390/en17163883

