Developing Expert Systems for Improving Energy Efficiency in Manufacturing: A Case Study on Parts Cleaning
Abstract
1. Introduction
2. Expert Systems
- Knowledge base: Stores expert knowledge and can be divided into short-term and long-term memory. Long-term memory stores rules representing the heuristic knowledge of human experts. Whereas short-term memory corresponds to a database in which the facts used by the rules are stored or removed.
- Inference engine: Emulates the reasoning of human experts by utilizing the knowledge stored in the knowledge base. It matches the facts from short-term memory with the rules from long-term memory to draw conclusions or solve problems.
- User interface: Serves as the communication environment between the user and the ES.
- Explanation module: Clarifies the reasoning performed by the inference engine to make it comprehensible for the user and thus increase its credibility and acceptance.
- Knowledge acquisition module: Enables updating the knowledge base with new content while the ES is already deployed.
3. Methodology
3.1. Personas and Description
3.2. Methodological Framework
3.3. Decision Support Process
4. Case Study: Throughput Cleaning Machine
4.1. Relevant Consumers and Controllable Parameters
4.2. Data Acquisition and Development of Data-Driven Models
4.3. Development of the Simulation Model
4.4. Energy Performance Indicators and Rule Base
4.5. Integration
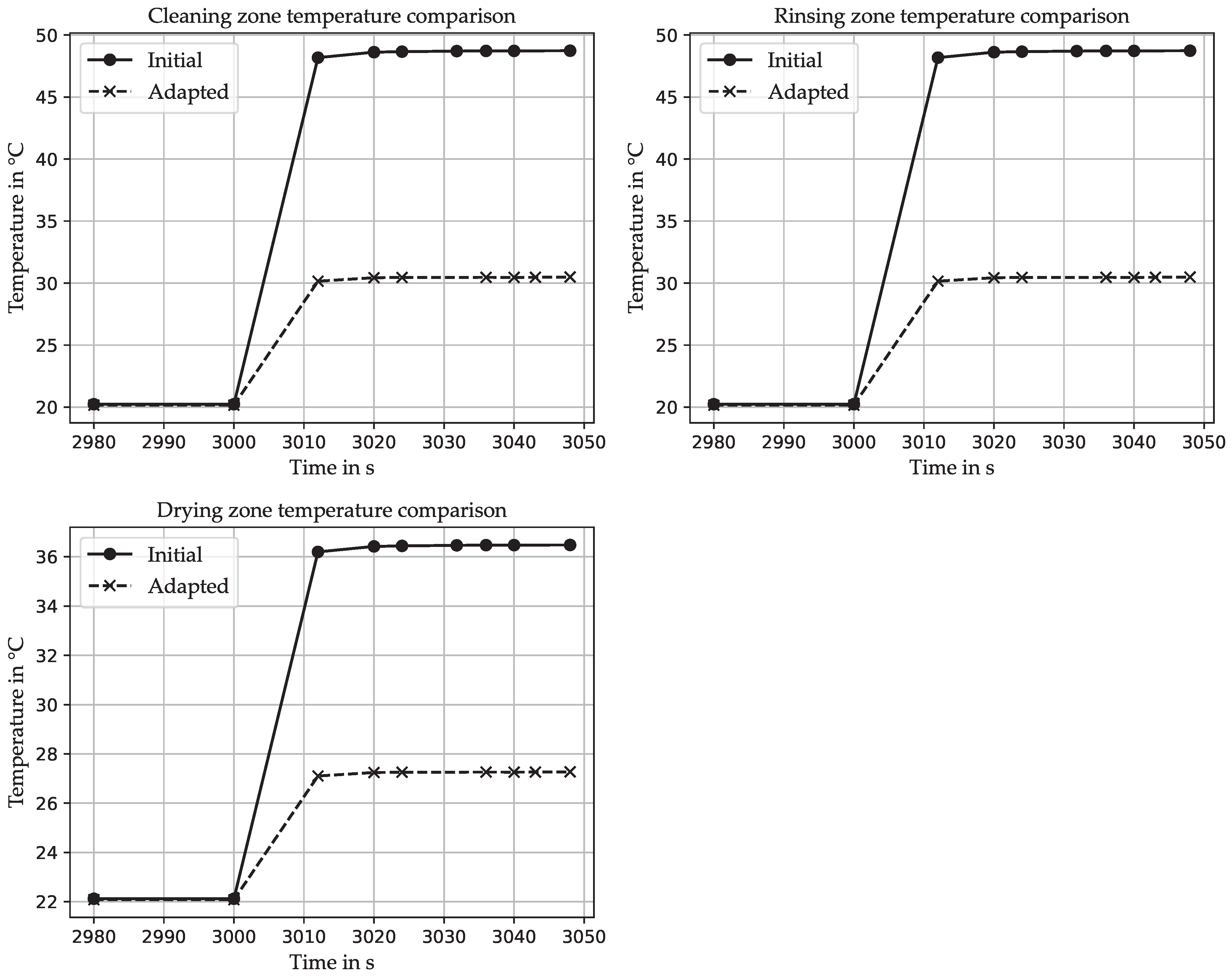
4.6. Application and Validation
5. Discussion and Conclusions
Author Contributions
Funding
Data Availability Statement
Acknowledgments
Conflicts of Interest
Abbreviations
| CPP | Controllable Process Parameter |
| CRISP-ML(Q) | CRoss-Industry Standard Process model for the development of Machine Learning applications with Quality assurance methodology |
| DSM | Design science method |
| EnPIs | Energy performance indicators |
| ES | Expert System |
| OPC UA | Open Platform Communications Unified Architecture |
| PLC | Programmable logic controller |
| TPCM | Throughput cleaning machine |
References
- Rögner, F.H. (Ed.) Markt-und Trendanalyse in der Industriellen Teilereinigung 2020; Fraunhofer-Institut für Organische Elektronik, Elektronenstrahl-und Plasmatechnik: Dresden, Germany, 2021. [Google Scholar]
- McLaughlin, M.C.; Zisman, A.S. The Aqueous Cleaning Handbook: A Guide to Critical-Cleaning Procedures, Techniques, and Validation, 4th ed.; AI Technical Communications: White Plains, NY, USA, 2007. [Google Scholar]
- Bayerisches Landesamt für Umwelt. Energieeinsparung in Lackierbetrieben—Langfassung: Klima schützen—Kosten Senken; Bayerisches Landesamt für Umwelt: Augsburg, Germany, 2006. [Google Scholar]
- Blesl, M.; Kessler, A. Energy Efficiency in Industry; Springer: Berlin/Heidelberg, Germany, 2021. [Google Scholar] [CrossRef]
- Abele, E.; Beck, M.; Flum, D.; Schraml, P.; Panten, N.; Junge, F.; Bauerdick, C.; Helfert, M.; Sielaff, T.; Daume, C.; et al. Gemeinsamer Schlussbericht zum Projekt ETA-Fabrik: Energieeffiziente Fabrik für Interdisziplinäre Technologie- und Anwendungsforschung. 2019. Available online: https://www.tib.eu/en/search/id/TIBKAT:1667471384/ (accessed on 13 June 2024).
- Weigold, M. LoTuS—Leistungsoptimierte Trocknung und Sauberkeit: Gemeinsamer Schlussbericht: Fachbereich: Energieeffizienz für Industrie und Gewerbe (ESN 2): Projektlaufzeit: 01.12.2019-31.05.2023 (42 Monate). 2023. Available online: https://www.tib.eu/en/search/id/TIBKAT:1887862145 (accessed on 13 June 2024).
- Jaffe, A.B.; Stavins, R.N. The energy-efficiency gap What does it mean? Energy Policy 1994, 22, 804–810. [Google Scholar] [CrossRef]
- Ioshchikhes, B.; Elserafi, G.; Weigold, M. An Expert System-Based Approach For Improving Energy Efficiency of Chamber Cleaning Machines. In Proceedings of the Conference on Production Systems and Logistics (CPSL 2023), Querétaro, Mexico, 28 February–2 March 2023; publish-Ing.: Offenburg, Germany, 2023. [Google Scholar]
- Iqbal, A.; Zhang, H.C.; Kong, L.L.; Hussain, G. A rule-based system for trade-off among energy consumption, tool life, and productivity in machining process. J. Intell. Manuf. 2015, 26, 1217–1232. [Google Scholar] [CrossRef]
- Deng, Z.; Zhang, H.; Yahui, F.; Wan, L.; Lv, L. Research on intelligent expert system of green cutting process and its application. J. Clean. Prod. 2018, 185, 904–911. [Google Scholar] [CrossRef]
- Petruschke, L.; Elserafi, G.; Ioshchikhes, B.; Weigold, M. Machine learning based identification of energy efficiency measures for machine tools using load profiles and machine specific meta data. MM Sci. J. 2021, 2021, 5061–5068. [Google Scholar] [CrossRef]
- Choudhury, B.; Chandrasekaran, M. Electron Beam Welding Investigation of Inconel 825 and Optimize Energy Consumption Using Integrated Fuzzy Logic-Particle Swarm Optimization Approach. Int. J. Fuzzy Syst. 2023, 25, 1377–1399. [Google Scholar] [CrossRef]
- Development of grinding intelligent monitoring and big data-driven decision making expert system towards high efficiency and low energy consumption: Experimental approach. J. Intell. Manuf. 2023, 35, 1013–1035. [CrossRef]
- Ioshchikhes, B.; Borst, F.; Weigold, M. Assessing Energy Efficiency Measures for Hydraulic Systems using a Digital Twin. Procedia CIRP 2022, 107, 1232–1237. [Google Scholar] [CrossRef]
- Ioshchikhes, B.; Weigold, M. Development of Stationary Expert Systems for Improving Energy Efficiency in Manufacturing. In Proceedings of the 17th CIRP Conference on Intelligent Computation in Manufacturing Engineering—CIRP ICME ’23, Ischia, Italy, 12–14 July 2023. [Google Scholar]
- Buccieri, G.P.; Balestieri, J.A.P.; Matelli, J.A. Energy efficiency in Brazilian industrial plants: Knowledge management and applications through an expert system. J. Braz. Soc. Mech. Sci. Eng. 2020, 42, 577. [Google Scholar] [CrossRef]
- Li, P.; Lu, Y.; Qian, Y.; Wang, Y.; Liang, W. An explanatory parametric model to predict comprehensive post-commissioning building performances. Build. Environ. 2022, 213, 108897. [Google Scholar] [CrossRef]
- DeTore, A.W. An introduction to expert systems. J. Insur. Med. 1989, 21, 233–236. [Google Scholar]
- Jackson, P. Introduction to Expert Systems, 3rd ed.; Addison-Wesley Longman Publishing Co., Inc.: North York, ON, USA, 1998. [Google Scholar]
- Hevner, A.R.; March, S.T.; Park, J.; Ram, S. Design Science in Information Systems Research. MIS Q 2004, 28, 75–105. [Google Scholar] [CrossRef]
- ISO 50006:2014; Energy Management Systems—Measuring Energy Performance Using Energy Baselines (EnB) and Energy Performance Indicators (EnPI)—General Principles and Guidance. Deutsches Institut für Normung e.V.: Berlin, Germany, 2014.
- EN ISO 50001:2018; Energy Management Systems—Requirements with Guidance for Use (ISO 50001:2018): German Version. Deutsches Institut für Normung e.V.: Berlin, Germany, 2018.
- Blesl, M.; Kessler, A. Energieeffizienz in der Industrie; Springer: Berlin/Heidelberg, Germany, 2013. [Google Scholar]
- Thiede, S. Energy Efficiency in Manufacturing Systems; Springer: Berlin/Heidelberg, Germany, 2012. [Google Scholar]
- Studer, S.; Bui, T.B.; Drescher, C.; Hanuschkin, A.; Winkler, L.; Peters, S.; Müller, K.R. Towards CRISP-ML(Q): A Machine Learning Process Model with Quality Assurance Methodology. Mach. Learn. Knowl. Extr. 2021, 3, 392–413. [Google Scholar] [CrossRef]
- Posselt, G. Towards Energy Transparent Factories; Springer International Publishing: Cham, Switzerland, 2016. [Google Scholar] [CrossRef]
- Pelz, P.F.; Groche, P.; Pfetsch, M.E.; Schaeffner, M. (Eds.) Mastering Uncertainty in Mechanical Engineering, 1st ed.; Springer Tracts in Mechanical Engineering; Springer International Publishing and Imprint Springer: Cham, Switzerland, 2021. [Google Scholar] [CrossRef]
- Fritzson, P. Principles of Object-Oriented Modeling and Simulation with Modelica 3.3: A Cyber-Physical Approach, 2nd ed.; IEEE Press: Piscataway, NJ, USA, 2015. [Google Scholar]
- Liao, S.H. Expert system methodologies and applications—A decade review from 1995 to 2004. Expert Syst. Appl. 2005, 28, 93–103. [Google Scholar] [CrossRef]
- Power Analyzer UMG 604-PRO. 2024. Available online: https://www.janitza.com/us/umg-604-pro.html (accessed on 13 June 2024).
- 20 Channel Branch Circuit Monitoring Device with RCM. 2024. Available online: https://www.janitza.com/products/umg-20cm.html (accessed on 13 June 2024).
- Ozer, D.J. Correlation and the coefficient of determination. Psychol. Bull. 1985, 97, 307–315. [Google Scholar] [CrossRef]
- Hodson, T.O. Root-mean-square error (RMSE) or mean absolute error (MAE): When to use them or not. Geosci. Model Dev. 2022, 15, 5481–5487. [Google Scholar] [CrossRef]
- Pedregosa, F.; Varoquaux, G.; Gramfort, A.; Michel, V.; Thirion, B. Scikit-learn: Machine Learning in Python. J. Mach. Learn. Res. 2011, 12, 2825–2830. [Google Scholar]
- Modelica Association. Modelica Language Specification 3.5. 2000. Available online: https://specification.modelica.org/maint/3.5/MLS.html (accessed on 13 June 2024).
- Modelica Association. Modelica Standard Library: Free Library to Model Mechanical (1D/3D), Electrical (Analog, Digital, Machines), Magnetic, Thermal, Fluid, Control Systems and Hierarchical State Machines. 2020. Available online: https://github.com/modelica/ModelicaStandardLibrary?tab=readme-ov-file (accessed on 13 June 2024).
- Ioshchikhes, B.; Frank, M.; Elserafi, G.; Magin, J. Developing Expert Systems for Improving Energy Efficiency in Manufacturing: A Case Study on Parts Cleaning. Available online: https://github.com/MichaelGeFr/MDPI_Energies_2024_Expert_System (accessed on 10 June 2024).
- Frank, M.; Magin, J.; TU Darmstadt. Throughput Cleaning Machine YUKON DAD-2 BL. Available online: https://tudatalib.ulb.tu-darmstadt.de/handle/tudatalib/4225 (accessed on 10 June 2024).
- Mamdani, E.H.; Assilian, S. An experiment in linguistic synthesis with a fuzzy logic controller. Int. J. Man-Mach. Stud. 1975, 7, 1–13. [Google Scholar] [CrossRef]
- Loizides, F.; Schmidt, B.; Kluyver, T.; Ragan-Kelley, B.; Pérez, F.; Granger, B.; Bussonnier, M.; Frederic, J.; Kelley, K.; Hamrick, J.; et al. (Eds.) Jupyter Notebooks—A Publishing Format for Reproducible Computational Workflows. In Positioning and Power in Academic Publishing: Players, Agents and Agendas; 2016; pp. 87–90. Available online: https://ebooks.iospress.nl/publication/42900 (accessed on 10 June 2024).








| Persona | Description |
|---|---|
| Machine operator | Responsible for operating the machine and experienced in the manufacturing process |
| Energy manager | Evaluates processes from an energy perspective and assesses current energy utilization |
| Knowledge engineer | Acquires knowledge by experts and research to represent it in a computer system |
| Modeler | Acquires data and builds data-driven or physical models to represent the behavior of complex systems |
| Consumer | Parameter | Range |
|---|---|---|
| Fluid heater | Fluid temperature | (40–70) °C |
| Cleaning fluid pump | Cleaning pump pressure | (0.5–2.3) bar |
| Rinsing fluid pump | Rinsing pump pressure | (0.05–2.3) bar |
| Heating register | Drying air temperature | (45–120) °C |
| Drying fan | Drying fan speed | (860–3300) rpm |
| Premise (IF) | Consequent (THEN) |
|---|---|
| is high AND is low | is high |
| is medium AND is low | is medium |
| is low AND is low | is medium |
| is high AND is medium | is medium |
| is medium AND is medium | is medium |
| is low AND is medium | is medium |
| is high AND is high | is medium |
| is medium AND is high | is medium |
| is low AND is high | is low |
| CPP | ||||
|---|---|---|---|---|
| 4810.4 | 1.0 | 0.33 | 0.66 | |
| 1012.66 | 0.07 | 0.82 | 0.33 | |
| 748.37 | 0.0 | 0.69 | 0.38 | |
| 2853.59 | 0.52 | 0.64 | 0.44 | |
| 1509.11 | 0.19 | 0.64 | 0.60 |
Disclaimer/Publisher’s Note: The statements, opinions and data contained in all publications are solely those of the individual author(s) and contributor(s) and not of MDPI and/or the editor(s). MDPI and/or the editor(s) disclaim responsibility for any injury to people or property resulting from any ideas, methods, instructions or products referred to in the content. |
© 2024 by the authors. Licensee MDPI, Basel, Switzerland. This article is an open access article distributed under the terms and conditions of the Creative Commons Attribution (CC BY) license (https://creativecommons.org/licenses/by/4.0/).
Share and Cite
Ioshchikhes, B.; Frank, M.; Elserafi, G.; Magin, J.; Weigold, M. Developing Expert Systems for Improving Energy Efficiency in Manufacturing: A Case Study on Parts Cleaning. Energies 2024, 17, 3417. https://doi.org/10.3390/en17143417
Ioshchikhes B, Frank M, Elserafi G, Magin J, Weigold M. Developing Expert Systems for Improving Energy Efficiency in Manufacturing: A Case Study on Parts Cleaning. Energies. 2024; 17(14):3417. https://doi.org/10.3390/en17143417
Chicago/Turabian StyleIoshchikhes, Borys, Michael Frank, Ghada Elserafi, Jonathan Magin, and Matthias Weigold. 2024. "Developing Expert Systems for Improving Energy Efficiency in Manufacturing: A Case Study on Parts Cleaning" Energies 17, no. 14: 3417. https://doi.org/10.3390/en17143417
APA StyleIoshchikhes, B., Frank, M., Elserafi, G., Magin, J., & Weigold, M. (2024). Developing Expert Systems for Improving Energy Efficiency in Manufacturing: A Case Study on Parts Cleaning. Energies, 17(14), 3417. https://doi.org/10.3390/en17143417

