Abstract
The advent of low-field nuclear magnetic resonance (LF-NMR) has revolutionized the petroleum industry by providing a swift and straightforward method for the spectroscopic characterization of crude oil. This review paper delves into the significant strides made in LF-NMR technology since its inception by Felix Bloch and Edward Purcell in 1946, particularly its application in determining the composition, viscosity, and water content of crude oil, alongside SARA (Saturates, Aromatics, Resins, and Asphaltenes) analysis. LF-NMR’s ability to noninvasively quantify the total water and oil content, differentiate between bound and mobile phases, and measure the SARA fractions underscores its superiority over traditional analysis methods, which often suffer from interference and lack of precision. This manuscript not only highlights LF-NMR’s pivotal role in enhancing crude-oil characterization but also reviews recent developments that solidify its position as an indispensable tool in the petroleum industry. The convergence of empirical studies and technological advancements points toward a pressing need for further research to fully exploit LF-NMR’s potential and refine its application, ensuring its continued contribution to the efficient and accurate analysis of petroleum products.
1. Introduction
Over the last several decades, NMR spectroscopy has solidified its role as an indispensable tool for characterizing a wide range of substances within the petroleum industry, from crude oils and refined products to drilling fluids. This technological evolution has been marked by the widespread adoption of both high-field NMR (HF-NMR) instruments, traditionally confined to chemistry laboratories, and LF-NMR devices, which are specifically designed for well-logging and other industrial applications.
NMR’s analytical capabilities are divided into three primary branches: time-domain NMR (TD-NMR), magnetic resonance imaging (MRI), and NMR spectroscopy, also known as NMR relaxometry. Presently, the use of low-field (LF) instruments spans all three domains, employing magnetic fields to ascertain relaxation time (T2) measurements [1,2,3]. Magnetic fields of strengths of relaxation time (T2) are used by low-field devices [2]. The increasing industrial preference for LF-NMR technologies is in response to the inherent limitations of HF MRI and NMR equipment, such as the necessity for cryogens, compliance with safety standards, the presence of open magnetic fields, and the prohibitive cost of commercial instruments [4].
The practical benefits of LF-NMR devices for industrial applications are manifold. They are distinguished by their compact size, affordability, robustness, and the ability to deliver rapid measurements [2,4,5]. TD-NMR devices, in particular, are prized for their versatility and ease of use, capable of measuring both liquid and solid samples of any size. This category includes devices with single-sided, two-poled, and Halbach magnet configurations, each offering unique advantages [4,5,6]. The single-sided NMR system is notable for its enhanced magnetic field gradient, which significantly aids in the relaxation process in liquids [7].
TD-NMR focuses on temporal measurements, primarily through the examination of relaxation processes; this method facilitates the assessment of critical parameters, including spin–spin relaxation times (true T2 and effective T2*), spin–lattice relaxation times (T1) or their corresponding rates (R2, R2*, R1), relaxation signal intensities, and pulse field gradient (PFG) diffusion coefficients. In low-field NMR spectroscopy, signal analysis often takes place in the frequency domain, with peak intensities correlating to the quantities of different molecular groups.
The application of NMR in the analysis of liquid fuels is well-established, with NMR spectroscopy routinely employed for the chemical characterization of liquid fuels and oils [8,9,10,11,12]. Additionally, NMR’s utility extends to well logging and the analysis of crude oil in rock cores, facilitating the assessment of various properties, including pore-size distribution, porosity and permeability of core samples, wettability, viscosity, and droplet size distribution [4,13,14]. Beyond its use in borehole data acquisition, NMR also plays a critical role in subsurface oil detection, utilizing the Earth’s magnetic field for geological exploration [15,16].
Our study introduces a new perspective on LF-NMR, characterized by its minimal hardware requirements and ease of application, which stands out for its reliability and straightforward implementation, thereby highlighting its significant potential for process and quality control within industrial settings. This review is dedicated to examining the industrial applications of TD-NMR in the analysis of liquid fuels, with the aim of providing a thorough overview of NMR’s contributions to the oil and gas sector, encompassing both laboratory and field measurements. Through its expansive range of applications, this article aspires to serve as a foundational guide for future research investigations and field operations in the oil and gas industry.
2. Principles of Low-Field NMR
Due to substantial stray magnetic high-fields outside the real spectrometer, strong magnetic field spectrometers are expensive to acquire, operate, and maintain; they are also huge in size and require dedicated NMR laboratories [1]. Recent advances in magnet design have opened up low magnetic field (NMR) spectrometers for applications requiring mobility, ruggedness in severe environments, or low operating costs [2]. The concept of low-field can be chosen at will within the context of the work given here by Mitchell et al. [3]; the term “low field” is defined within the magnetic field strengths corresponding to B0 = 10 mT to 1 T. This range corresponds to Larmor frequencies of m0 = 425 kHz to 42.5 MHz, typical of bench-top and portable NMR devices based on permanent magnet technology. For low-field spectrometers, permanent magnets are employed instead of cryoprobes, which require constant cooling to keep the magnetic field they generate. The highest field strength that a tabletop spectrometer with a permanent magnet can reach is 1.5 to 2 T [4]. These spectrometers have sparked increased attention in recent years, and their applications are continually expanding. The Halbach array, first developed in 1980 by Klaus Halbach [5], is the most widely used design for creating a closed magnet with a magnetic field as uniform as feasible on the inside.
The comparative advantage of LF-NMR over HF-NMR in practical applications lies in its simplicity, robustness, and applicability in various industrial settings. LF-NMR instruments offer reliability and flexibility, especially with the integration of permanent magnets, showcasing improvements in resolution, sensitivity, and operational efficiency. The ability of LF-NMR to detect chemical changes in oils, such as the degradation of additives and aging products, with lower signal-to-noise ratios and wider peak overlaps, highlights its practical advantage in monitoring oil quality. Furthermore, the use of LF-NMR for viscosity measurements, droplet-size distributions, and monitoring oil compositions emphasizes its significance in various applications beyond the petroleum sector. References to recent studies utilizing LF-NMR in innovative ways could further underline the expanding applications and advancements in this technology [6,7].
In a cylindrical Halbach array, a typical permanent magnet configuration exists where each magnet block has a slightly different polarization than its immediate neighbor. The B0 field is created inside all along the z-axis. (Dark gray) Shim and gradient coils are typical equipment for a tabletop low-field spectrometer and can be included. The specimen is placed in a light grey solenoid rf coil, which produces a B1 field all along the y-axis. Tiny magnet blocks are stacked in a cylindrical arrangement, each with a slightly different polarization than its near neighbors. The stray field to the outside can be reduced while the magnetic field inside can be made more homogeneous. The application of 2 parallel magnetic plates mounted in an iron yoke, where the magnetic field is produced between the two pole pieces, is a different way to build a low magnetic field NMR spectrometer [3]. The addition of gradient coils may allow for more advanced measurements, such as imaging or diffusion.
3. Historical Overview of Traditional Analysis Methods
Traditional methods for analyzing crude-oil properties, including viscosity, group composition, and core analysis, have significantly evolved. Early viscosity measurements utilized simple viscometers, which required precise manual operation and temperature control. Advances led to the development of rotational and high-pressure viscometers, improving accuracy under varied conditions. Group composition was initially determined through gravimetric separation and precipitation techniques, but the introduction of gas chromatography and high-performance liquid chromatography revolutionized the field, allowing detailed and accurate hydrocarbon analysis. Core analysis began with basic physical measurements and visual inspections but evolved with the advent of mercury intrusion porosimetry and capillary pressure techniques. The integration of NMR and X-ray computed tomography provided non-destructive methods, enabling detailed 3D visualizations and precise measurements of porosity, permeability, and fluid saturation (Table 1).
Table 1.
Top scientific organizations committed to the subject of saturation estimation in oil shale based on the findings of the literature review (In the context of publication productivity).
Focusing on the importance of water determination sets the stage for understanding the significance of Karl Fischer titration (KF) and the Dean–Stark method (DS). Water determination is crucial in petroleum analysis due to its impact on various properties of crude oil. The DS method developed in the early 20th century, revolutionized water determination by providing a reliable and efficient way to separate and quantify water content in oil samples. This method involves distilling the sample to separate water from the oil, making it a fundamental technique in the industry.
Similarly, KF, introduced in the mid-20th century, further advanced water determination by offering a more precise and accurate method to quantify water content in oil. This titration method relies on a chemical reaction between iodine and water, providing a quantitative analysis of water content.
Technological advancements have transformed traditional methods for determining water content in crude oil. The DS distillation method now features automated systems, improved condensers, eco-friendly solvents, and efficient heating, enhancing precision and safety. KF has evolved with coulometric techniques and automation, enabling smaller sample sizes and faster, more accurate results. These innovations have significantly improved the efficiency, accuracy, and safety of both methods, which differ in approach and efficiency. The DS relies on distillation, which, while robust and straightforward, is time-consuming and requires extensive sample preparation. KF involving a chemical reaction with iodine, offers higher accuracy and faster results, especially with modern coulometric techniques, though it is more complex and reagent-intensive. Technological advancements have improved both methods, but KF is often preferred for its precision and speed, while DS remains valued for its simplicity and reliability.
Understanding the historical evolution of these techniques sheds light on the continuous efforts to enhance the accuracy and efficiency of water determination in petroleum analysis, ultimately improving the overall quality control and characterization of crude oil. (ASTM D1744). Water determination is accomplished through a redox reaction in which sulfur is oxidized by iodine, resulting in detectable water consumption. However, these methods may be affected by the presence of various compounds such as aldehydes, ketones, amines, and specific organic acids that could potentially interact. In the literature, the DS extraction and Zaks approach were described in publications dating back to 1920 and 1956, respectively [8,9]. Although the papers explain strategies for determining liquid saturation in organic-rich sources, they do so in a broad sense. The early papers, published in the 1960s, focus on a specific problem of determining liquid saturation in organic-rich reservoirs. Several scientific publications were published in the 1960s to 2010. In 2011, academic and industrial sources in the public domain began to discuss the area’s investigations. Since 2011, there has been a significant increase in the quantity of publications available on the subject (Figure 1).
Figure 1.
The years of publication activity on water and oil saturation estimation in organic-rich unconventional reservoirs.
The literature review indicated two distinct phases of investigation [10]: a long-running early period (1960–2010) with few publications and a rapidly growing current period (from 2011 to this time). Since 2010, the number of articles on the subject has steadily grown, peaking in 2013. The low number of papers in 2014 is most likely due to the drop in oil prices, which impacted the global oil market. Since 2015, the number of publications has been consistent at around 8–12 each year. A literature search was conducted using the terms “source rock”, “kerogen”, “fluid saturation”, “oil saturation”, “oil shale”, “gas shale”, and “water saturation” in the Web of Science and Scopus abstract/citation databases, as well as OnePetro and Society of Core Analysts papers and conference papers, for the years 1960 to 2018. A total of 8 publications were linked to the early period, while 67 to the modern period.
4. Application in the Petroleum Industry
Specific case studies and examples can offer valuable insights into how LF-NMR has significantly improved outcomes. These applications play a crucial role in process control, quality assurance, and exploration efforts by providing detailed information on reservoir properties. Furthermore, delving deeper into each application, such as porosity estimation, permeability assessment, and fluid analysis, can illuminate how LF-NMR uniquely contributes compared to traditional methods [11]. Recent technological innovations in LF-NMR have enhanced its applicability with advancements in sensitivity, resolution, and the development of portable devices for field use. Moreover, discussing the integration of LF-NMR with other technologies, like hyperpolarization, showcases how synergies between different analytical techniques lead to improved efficiency and new insights in the petroleum industry.
Several designs have been utilized to make NMR spectrometers for tabletop laboratory applications that are well-known in the food sector for process control and quality [12]. Low-field MRI [13], measuring asphaltenes [14], reaction monitoring [15], emulsions [16], two-phase mixtures [17], or hydrates [18] are some of the other uses. In addition to closed spectrometers of NMR, open NMR spectrometers are available, which have a dedicated chamber outside of the magnet and measure the stray magnetic field. Well-logging tools within the petroleum sector have been around since the 1950s [18], with Schlumberger introducing their first line of well-logging equipment in the 1970s.
T2-relaxation measures are the industry standard in well logging for obtaining info about rock formation, such as water content and porosity. Portable, hand-held systems that can perform surface investigations on big samples are another application for stray-field NMR instruments. The NMR-Mouse [19], which has been used to analyze cultural heritage pieces [19], characterize polymer surfaces [20], and research food systems, such as oil-in-water emulsions [21], is well-known in this context. For commercial applications utilizing low-field NMR, a range of experimental approaches are available, the most popular of which is relaxation time measurements (Figure 2), which are less demanding in terms of magnetic field quality [22]. Low-field spectrometers could now be employed for spectroscopic applications (albeit with lower chemical-shift ranges) and to produce more complicated 2D-spectra [23], thanks to recent advancements in field homogeneity and attainable sensitivity and resolution. In addition, by utilizing hyperpolarization techniques in conjunction with low-field NMR is being investigated to improve sensitivity and hence increase the spectrum of applications [24].
Figure 2.
The Proton 20 M NMR oil analyzer principle.
4.1. Group Composition
Al-Muntaser A. A. et al. conducted a comparison study of 22 oil samples from various oil fields around the world with a wide variety of API (American Petroleum Institute) gravity levels that were analyzed [25]. LF-NMR observations by a Proton 20 M NMR analyzer were used as well as a conventional SARA analysis procedure. The following settings were utilized in this experiment (the NMR receiver’s dead time was less than 10 μs). On the four channels, 00, 900, 1800, and 2700, the phase of the high-frequency pulses is independently controlled. In phase-sensitive mode, the echo in the modified Carr–Purcell–Meiboom–Gill (CPMG) series and signals of free induction decay (FID) were obtained. Following quadrature detection, the signal-to-noise ratio was increased by a factor of √2, and the result was independent of probable high-frequency phase drift. The findings indicate a significant association between the SARA values obtained through the conventional approach and those determined by LF-NMR. The correlation is particularly evident for the heavy fractions of asphaltenes and resins, with correlation coefficients of 0.98 and 0.91, respectively (Table 2).
Additionally, a strong correlation was observed for the total of light fractions that include saturates and aromatics, with an R2 value of 0.96. Individual correlations for saturated and aromatic substances, on the other hand, yielded modest correlation values (R2 0.61 and 0.27, respectively) and a relatively high standard deviation for saturates and aromatics (8.18 and 9.20). Resin molecules are smaller and have more mobility than asphaltenes, as well as longer relaxation times (T2R) than asphaltenes. Furthermore, resin relaxation times are substantially shorter (more than 10 times) than aromatic and saturated hydrocarbons, allowing resins to be easily separated from the general signal. The problem was that, in the LF-NMR relaxation curve, saturates and aromatics have similar mobility and T2, making it difficult to divide them into two components.
Barbosa, L.L. et al. carried out the use of the transverse relaxation time (T2) in the range of 73.43 to 1810.74 ms to identify the physical and chemical parameters of distillates [26]. The LF-NMR method was used in this study since it is a quick and non-destructive analytical method. The molar mass, correlation index, API gravity, characterization factor, relative hydrogen index (RHI), and number of hydrogens in distillates collected up to 350 °C could all be estimated using LF-NMR data. T2, as well as the properties measured by conventional techniques (ASTM D-1218. D-445-06. D-664-06, D-2892, and D-4052) [27], were evaluated.
The results were acquired through an Oxford Instruments Maran 2 Ultra NMR spectrometer with a 30-cm bore, 51-mm probe diameter, and a frequency of 2.2 MHz for 1H. For NMR analysis, the petroleum fractions were placed in a glass tube at a stable temperature of 27.5 °C for around 10 min. The T2 of each sample was then measured using a CPMG pulse sequence. The results indicate that the application of low-field NMR offers a viable substitute to ASTM techniques for analyzing petroleum distillates obtained through atmospheric distillation of different crude oils. Through the use of T2 ranging from 73.43 to 1810.74 ms, the RHI, number of hydrogens per molecule, molecular weight, molecular formula, characterization factor (K), correlation index (CI), and API gravity were determined. Furthermore, LF-NMR can identify the chemical composition of petroleum distillates, such as the presence of paraffin or a combination of naphthene + paraffin. The categorization of distillates into four classifications, kerosene, gasoline, light, and heavy gas oil, was possible through LF-NMR.
Rakhmatullin I. Z. et al.’s focus of research was to use high-resolution (NMR) spectroscopy and Fourier transform infrared (FTIR) spectroscopy to characterize light and heavy crude oils [28]. The authors’ goal was to investigate the potential of these techniques in providing information about the molecular structure and composition of crude oils, which could be useful for oil exploration, refining, and quality control [29,30,31,32]. The experiments involved collecting light and heavy crude-oil samples from different geological formations and regions in Iran. The samples were analyzed using high-resolution NMR spectroscopy and FTIR spectroscopy. The NMR experiments included one-dimensional (1D) and two-dimensional (2D) NMR techniques, such as correlation spectroscopy (COSY) and heteronuclear multiple bond correlation (HMBC) spectroscopy [33,34,35]. The FTIR experiments were conducted in both transmission and attenuated total reflection (ATR) modes.
The paper addresses the challenges associated with predicting the physicochemical properties of crude oil, which is a complex mixture of hydrocarbons that varies in composition depending on its origin [35]. Obtaining accurate measurements of crude-oil properties can be challenging and time-consuming, making it necessary to develop alternative methods to predict these properties. The suggestion put forth by the writers involves utilizing chemometric models that rely on NMR and infrared (IR) spectroscopy as a means of forecasting the properties of crude oil. The authors provide a comprehensive overview of the chemometric models developed for the prediction of crude-oil properties using NMR and IR spectroscopy data [36,37]. The article discusses the different types of NMR and IR spectra used for chemometric analysis and highlights the advantages and limitations of each technique. The authors also review the different chemometric techniques used for the development of predictive models, for example, artificial neural networks (ANN), partial least squares regression (PLSR), and principal component analysis (PCA). One of the strengths of this article is that it provides a detailed and informative discussion of the advantages and limitations of the different chemometric techniques used in this field. For example, PCA is a powerful technique for data reduction and visualization, while PLSR is more suitable for modeling complex and nonlinear relationships between variables. ANN, on the other hand, is a machine learning technique that can model highly nonlinear relationships between variables and has been shown to outperform other techniques in certain cases [36,38,39]. The article also discusses the future perspectives of chemometric models for the prediction of crude-oil properties and the challenges that need to be addressed for the widespread application of these models in the petroleum industry. For example, the authors note that the accuracy of predictive models can be affected by factors such as sample preparation, instrument calibration, and data preprocessing, and more work is needed to standardize these procedures. The authors also suggest that future research should focus on the development of hybrid models that combine different chemometric techniques to improve the accuracy of predictive models.
In conclusion, this article provides a valuable contribution to the literature on chemometrics models for the prediction of crude-oil properties using NMR and IR spectroscopy data. The authors provide a thorough and informative discussion of the different chemometric techniques used in this field, their advantages and limitations, and the future perspectives and challenges of this research area [40,41,42]. Overall, this article is a must-read for anyone interested in the development of chemometric models for the prediction of crude-oil properties.
Table 2.
The leading scientific groups dedicated to the subject of NMR Group composition.
Table 2.
The leading scientific groups dedicated to the subject of NMR Group composition.
| Research Group/ Organization | Survey | Investigation | Reference |
|---|---|---|---|
| Kazan Federal University | 22 oil samples from various oil fields. | SARA composition. | [25] |
| The institution is based in Vitória, ES, Brazil, at the Federal University of Espírito Santo. | Three varieties of dehydrated Brazilian crude oil. | The physical and chemical properties. | [26] |
| Kazan Federal University, Butlerov Institute of Chemistry, Russian Federation | The Russian samples were provided by Tatneft, Zarubezhneft, and RITEK oil. | Using high-resolution (NMR) and FTIR spectroscopy for the characterization of light and heavy crude oils. | [28] |
| National Polytechnic Institute, Mexican Petroleum Institute, Mexico | Crude oils of five different API gravities were used. | The identification of the chemical properties and SARA was carried out utilizing 1H NMR and 13 C NMR. | [35] |
| Turkey’s Middle East Technical University and Russia’s Kazan Federal University | Four distinct crude oils, spanning from light to heavy gravity, sourced from Tatarstan oil fields, were utilized. | Determinations of hydrogen and carbon aromaticity factors, employing the findings from proton NMR and carbon NMR spectroscopy. | [43] |
| Kazan Federal University, Butlerov Institute of Chemistry, Russian Federation | Samples from the oil- and gas-rich Ashalchinsky field in the Volga–Ural basin. | Provide an in-depth understanding of the methodological features of CPMG. | [44] |
| Department of Chemical Engineering, University of Rome “Tor Vergata”, Italy | Over 170 crude-oil samples from various places, companies, and refineries. | Develop a novel benchtop NMR application. | [45] |
4.2. Viscosity and Oil Properties
Barbosa, L.L. et al. demonstrated how low-field 1H NMR can be used to quantify viscosity (v), API gravity (g), acid number (TAN), and refractive index (n) of three different petroleum fractions, including light, medium, and heavy [46]. The findings were compared to trial data retrieved through standard methods (D-2892, D 445-06, D-664-06, ASTM D-1218, and D-4052) [47]. The following settings were used in this research: The low-field 1H NMR tests were conducted using an Oxford Instruments Maran 2 Ultra NMR spectrometer operating at 2.2 MHz for 1H with a 51 mm diameter probe. A CPMG pulse sequence was used to determine the T2. The samples were stabilized at 27.5 °C before each CPMG experiment. Evaluation of the LF-NMR data and findings obtained using conventional ASTM techniques revealed that there are significant correlations among the transverse relaxation time’s mean values (T2LM) of protons in the hydrocarbons and the measurements made for the fractions’ values of the chemical and physical properties. As a result, the NMR approach is inexpensive for analyzing intact materials because there is no need for the addition of toluene or any other solvent to dilute it, which prevents decomposition and changes in the chemical composition of the fractions being examined. It is proposed that the LF-NMR technology be used for routine examination of petroleum fractions as a guidance in distilled product quality control.
Rudszuck T. et al. did a follow-up study based on the first [6]. The subject of how low-field NMR can help with oil characterization was addressed in this article, mainly with respect to quality control. Prior to creating a quality control program, it is essential to possess comprehensive knowledge about the oils and the measuring techniques. When traditional methods are unable to meet the desired criteria, such as robustness, sensitivity, specificity, and reliability, the creation of new analytics in quality control becomes more and more crucial. Because LF-NMR devices are usually made of permanent magnets, they don’t need cryogenic liquid cooling.
The cheaper expenses of inquiry and repairs, as well as the resilience of LF-NMR, make it a better choice than HF-NMR. In determining the quality of oils, factors such as saturation degree and molecular weight play a crucial role. These factors are directly correlated with the quantity of 1H present in a specific mass or volume. To estimate the number of 1H present in oils, a calibration process can be carried out using chemically similar known substances., such as alkanes. By measuring the FID, the NMR signal intensity can be commensurate to the number of contributing spins, thus allowing for an estimation of the number of 1H in oils. This NMR application has been standardized and is widely used in industrial processes. LF-NMR has been shown to be a useful method for determining the composition of oils (Table 2). In the stages of raw oils, manufacturing, and refining as well as during usage, technical as well as edible oils were measured. On the analytical side, the variety of LF-NMR approaches complements the complexity of this material class, making the topic both exciting and multifaceted. Various relaxation properties, including but not limited to transverse relaxation, diffusion, and spectroscopy, have been employed in the examination of chemical composition (for example, aging and saturation degree), physical conditions like dispersion (e.g., determination of droplet size), and molecular mobility (e.g., crystallinity). To cater to specific applications, adjustments to pulse sequences and data processing have been made. For example, to offer 2D relaxation distributions or to measure moist food. More research into LF spectroscopy, relaxation, and diffusion is predicted, particularly in terms of aging and adulteration characterization, but also during oil manufacturing.
The write-up aims to propose an alternative method for the determination of some physicochemical properties of crude oil [48]. The study is based on the use of 1H NMR spectroscopy associated with partial least squares regression (PLSR) [38,49,50].
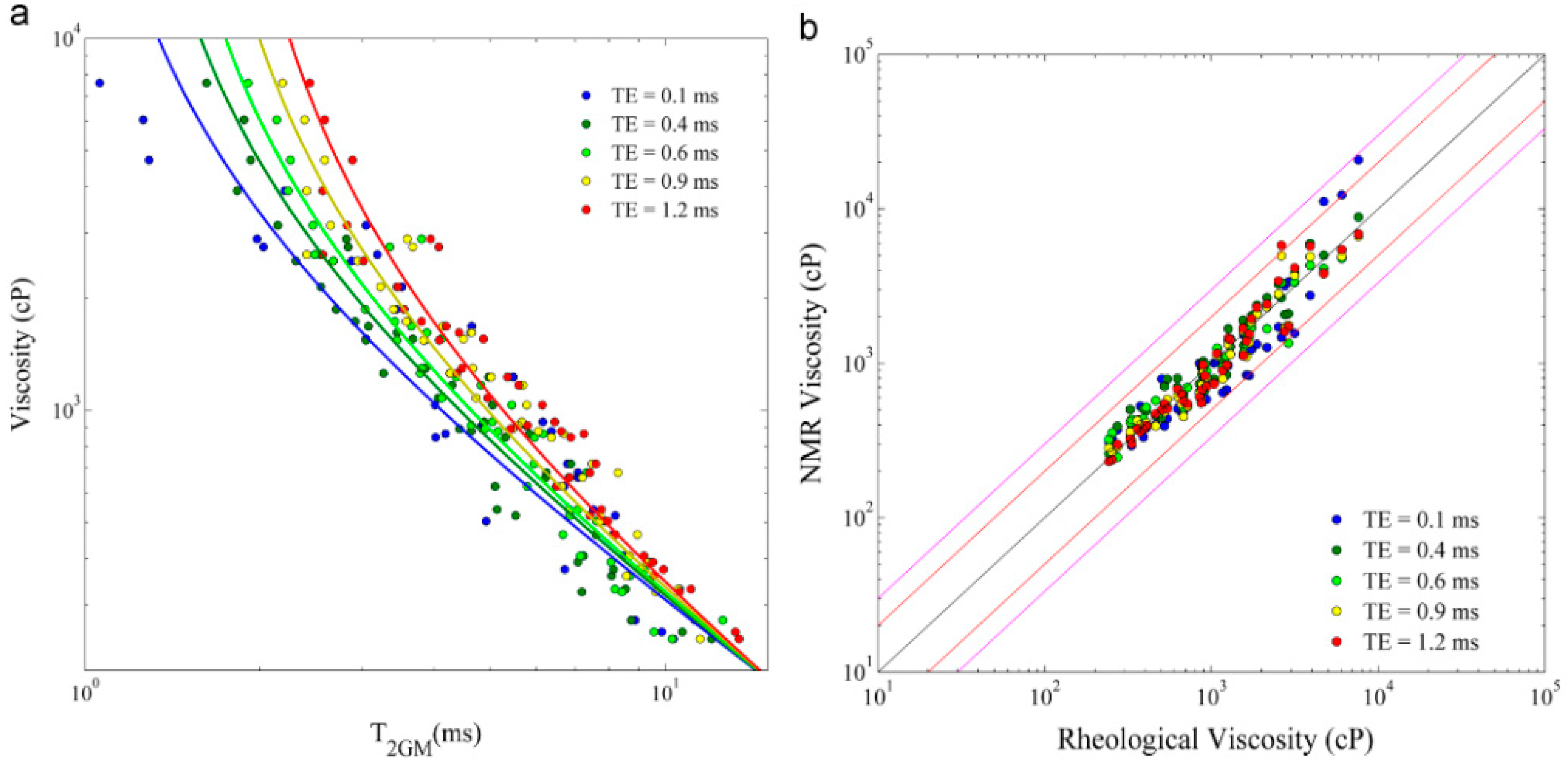
The research aimed to analyze crude-oil samples by measuring various properties, including but not limited to API gravity, wax appearance temperature (WAT), carbon residue (CR), and basic organic nitrogen (BON). These properties are crucial in determining the quality and suitability of crude oil for different industrial applications. The experiment involved the collection of crude-oil samples from different locations in Brazil. The samples were then analyzed using 1H NMR spectroscopy, and the spectral data obtained were subjected to PLSR analysis [51,52]. The results obtained from the PLSR analysis were used to develop predictive models for the determination of the four properties. The study showed that the proposed method using 1H NMR spectroscopy and PLSR was able to accurately determine the four properties of the crude-oil samples. The coefficients of determination for prediction (R2p) and the root mean square error for prediction (RMSEP) were found to be 0.945 and 0.8% for API gravity, 0.802 and 0.598% w/w for CR, 0.857 and 3.8 °C for WAT, and 0.789 and 0.009% w/w for BON, respectively. The residuals resulting from the fitting of each model were assessed, and the results were considered acceptable [50,53]. Overall, the study demonstrated that 1H NMR spectroscopy associated with PLSR is a reliable and effective technique for determining the physicochemical properties of crude oil. This method could potentially be used in the petroleum industry to improve the quality control of crude oil and its products. Figure 3a shows a plot of viscosity against T2GM for nine heavy-oil samples within the 21–41 °C temperature range, with varying inter-echo spacings (TE = 0.1, 0.4, 0.6, 0.9, and 1.2 ms). Figure 3b provides a summary comparing the NMR-predicted viscosities to rheological viscosities, with a standard deviation of 0.22 on a logarithmic scale [54].
Figure 3.
(a) shows a plot of viscosity against T2GM for nine heavy-oil samples within the 21–41 °C temperature range, with varying inter-echo spacings (TE = 0.1, 0.4, 0.6, 0.9, and 1.2 ms). (b) provides a summary comparing the NMR-predicted viscosities to rheological viscosities, with a standard deviation of 0.22 on a logarithmic scale. For easier comparison, the red and magenta lines represent NMR predicted viscosities that are either double or triple the values, whether higher or lower. Reproduced with permission from ref [54]. Copyright 2016 Elsevier.
Paulo E. H. et al.’s piece explores the use of NMR spectral information to predict eight physicochemical properties of nearly 150 Brazilian crude-oil samples [41]. The authors utilized partial least squares (PLS) regression in conjunction with variable selection techniques, namely particle swarm optimization (PSO) and ordered predictors selection (OPS), to construct more precise and informative models [55]. The findings of the study revealed that the hybrid PSO-PLS and OPS-PLS models outperformed the PLS regression models in forecasting various crude-oil properties. The authors also succeeded in identifying the most significant signal regions of the NMR spectra for each property and constructing accurate models to estimate parameters such as API gravity, total acid number, heat combustion value, and standardized kinematic viscosity at 50 °C SARA content [55]. The best results were obtained with the PSO-PLS 13 C NMR dataset, with a root mean squared error of prediction (RMSEP) of 4.54, 2.85, and 4.08 (wt%) for saturates, aromatics, and resins content, respectively. When it comes to predicting properties such as API gravity, kinematic viscosity, and total acid number, the OPS-PLS 1H and PSO-PLS 1H models have demonstrated higher accuracy compared to PLS.
On the other hand, for properties like saturates, aromatics, and resins, PSO-PLS 13 C has shown better estimation performance [56]. However, the heat combustion value and asphaltene content are not easily predictable, as these properties exhibit low regression coefficients. The article highlights the potential of the PSO and OPS variable selection techniques in improving crude-oil property prediction for many properties and other instrumental techniques. The study illustrates the successful utilization of NMR and multivariate data analysis in identifying petroleum characteristics and their correlation with reference methods. The applied methodologies have proven useful in estimating various properties, facilitating the management of the numerous variables produced by the NMR spectra and allowing for the selection of the most relevant ones for each property.
In a recent publication by Bryan J. et al. [57], NMR viscosity correlation is introduced that enables the estimation of oil viscosity for a broader range of samples with an order-of-magnitude accuracy (Table 3). The correlation was developed based on empirical observations linking NMR spectra with viscosity. The present study offers a theoretical rationale for the proposed correlation and outlines a technique for adjusting the empirical parameters to calculate individual oil viscosities based on temperature. This tuning process facilitates the use of NMR for monitoring the viscosity of fluid streams produced during cooling or to observe thermal enhanced oil recovery (EOR) projects in observation wells. The correlation form discussed in the article is applicable to any oil and various NMR machines that function in the frequency range of 1–2 MHz. However, the authors caution that the NMR bulk relaxation expression, which is commonly cited in NMR literature, is theoretically flawed, and any correlation established based on this expression would not be able to accurately measure changes in oil viscosity with temperature. The article conducts a comprehensive investigation into the relationship between oil viscosity and NMR, presenting a theoretical rationale for the proposed correlation and outlining a method for fine-tuning the empirical parameters. The potential of NMR in monitoring enhanced oil recovery (EOR) projects and the viscosity of produced-fluid streams is significant, and the creation of a general NMR viscosity correlation that can estimate oil viscosity within an order of magnitude for a broader range of samples is a noteworthy contribution to the field. However, the issue with the NMR bulk relaxation expression raises some concerns about the accuracy of correlations based on this expression. Further research is needed to address this issue and to continue exploring the potential applications of NMR in the oil industry. Figure 4A Comparative Study of LF-NMR Predicted Viscosities Versus Rheological Viscosity Measurements for Aged and Emulsified Heavy Oil Samples, the red and magenta lines show NMR predicted viscosities that are two or three times higher or lower [54].
Table 3.
The major science organizations dedicated specifically to the topic of viscosity and density measurements using the NMR approach.
Figure 4.
Comparative Analysis of LF-NMR Predicted Viscosities and Rheological Viscosity Measurements for Aged and Emulsified Heavy Oil Samples. Reproduced with permission from ref [54]. Copyright 2016 Elsevier.
4.3. Water Content
The Allsopp K. et al. paper investigated specimens from two separate heavy-oil reservoirs located in the west of Canada that were used to illustrate the potential of the low-field NMR instrument [60]. Two procedures were put to the test. A variety of samples were prepared in the laboratory for reservoir 1. The water content of the samples covers the entire range. The samples were given a “blind” treatment. For all samples, NMR testing was performed, and the water content was estimated. The water content of the samples was then determined using the DS equipment. In the case of the second reservoir, samples were obtained from the wellhead and transported to the laboratory for analysis of oil and water content. The NMR test was administered initially, with subsequent verification of the NMR results being carried out through DS measurements. As a result, with an accuracy of more than 96 percent, the technique was tested with both manufactured and innately occurring emulsified streams. Because oil and water contents are calculated from distinct spectra components, a set of observations is available that is independent of the presence of gases or solids.
Since neither gas nor solids (such as entrained sand) contribute to the observed spectra, this feature distinguishes NMR technology from other types of measurement devices in this field. In a wide variety of compositions, low-field NMR relaxometry proved successful in precisely measuring oil and water contents in heavy-oil and bitumen samples. Both field and laboratory samples from two Western Canadian reservoirs were equally successful. The technology has now been entrusted to the private sector for commercialization.
Smets K. et al.’s research displays the water content of numerous pyrolysis-oil samples with a wide range of water content coming from a variety of biomass [61]. A comparison is made between the outcomes of conventional techniques and a recently proposed novel methodology that relies on 1H NMR spectroscopy. The study aimed to determine the water content of various pyrolysis-oil samples using two standard analytical procedures, namely KF titration and AD. A diverse array of biomass sources was utilized to select the samples, with a wide range of water content being covered. By using GC/MS data, the AD findings are adjusted for influence from water-soluble volatile organic chemicals (if necessary). The potential of 1H NMR spectroscopy as a novel analytical approach for pyrolysis-oil water estimation is studied and compared to traditional methods. The water content of the pyrolysis-oil samples is determined using a Varian Inova 300 spectrometer and 1H NMR spectroscopy. In a 5 mm 4-nucleus PFG probe, experiments were conducted utilizing a spectral width of 4.2 kHz, a 90-s pulse, a 4-s acquisition time, and a preparation delay of either 60 or 90 s. Water concentrations are within the KF titration’s 99 percent confidence interval when AD is combined with quantitative GC/MS correction. The recently introduced 1H NMR method yields findings that correspond well with KF titration and GC/MS-corrected AD for pyrolysis-oil samples that exhibit low to moderate levels of water content. As water is present in both ‘bounded’ and ‘unbounded’ states, 1H NMR spectroscopy tends to underestimate water content solely in instances where the water content is extremely high.
Jin Y. and colleagues conducted a study that focused on utilizing low-field 1H NMR to measure the water and oil contents of oil sludge [62]. This was achieved by exploiting the distinct relaxation behavior of 1H nuclei in both oil and water, given that both substances are rich in hydrogen. To differentiate the signals from the water and oil present in the oil sludge, MnCl2•4H2O was added to the sample. The oil sludge used in the experiment was sourced from Hangzhou Petroleum Refinery in China. After adding toluene to the isotropic distillation, the amount of water was measured using the DS method.
On the other hand, the “Analyzed via LF-NMR” measurements were carried out using an NMI 20 spectrometer operating at 21.960 MHz and equipped with a permanent magnet as well as a 15 mm diameter probe. The Carr–Purcell–Meiboom–Gill (CPMG) tests were then carried out, with each transient receiving 5500 echoes, a 200-s inter-echo interval, a 1500-s recycle period, and a total of 16 additional transients. For the 90° and 180° pulses, the pulse durations were 13.5 and 27.00 s, respectively. Overall, T2 distribution curves were calculated using Win-MRIXP 3.0 software and the iterating optimum approach with echo decay data in this research. The following are good relationships with traditional procedures, notably isotropic distillation. With a calibration curve, the correlation coefficients were determined to be 0.997 and 0.999 for oil and water, respectively, after correcting for their respective amplitude indices, with R2 values of 0.998 observed for both. The standard deviations for both methods were below 3%. Meanwhile, low-field NMR took a shorter time to produce the information [63].
In the study carried out by Yuqi J. et al., [62] 10 samples were prepared with varying water content levels, categorized as high and low (<10.0 wt%) and normal (10.0–90.0 wt%). The LF-NMR CPMG experiment was utilized, which assesses two parameters: the signal intensity and the characteristic relaxation time. The amount of hydrogen protons present in the sample, which serves as an indicator of fluid volume, is directly proportional to the magnetic signal’s strength. The time interval until the signal reappears aligned with the external field lines (longitudinal relaxation time) or disappears in the transverse plane (T2) is referred to as the characteristic relaxation time. The NMI20-analyst NMR imaging analyzer was used to conduct LF-NMR CPMG tests after the sample bottle was put into the NMR probe and the system was allowed to achieve its equilibrium temperature of 32.0 ± 0.01 °C, which took about 20 min. The research shows the relative inaccuracy for each water-content interval. It demonstrates that when the water content exceeds 20.0 wt%, the relative error is less than 3.0%, whereas when the water content is between 0 and 10.0 wt%, the relative error is greater than 60%. As a result, this approach is capable of reliably handling emulsions with a water content greater than 20.0 wt%. The T2 distribution was then investigated to identify another method of determining water content, particularly for emulsions with low water content. Water content is calculated using the peak-area ratio.
The signal intensity at each inversion point is used to collect the area ratio of the peak corresponding to water in T2 spectra. This area ratio may serve as an indicator of the number of hydrogen nuclei, enabling the determination of the volume ratio of water in W/O emulsions. As the water content may vary between 20.0 and 60.0 wt percent, comparing the prepared water content to the actual water content can resolve the issue of relative inaccuracy, which can exceed 5.0 percent and consistently result in negative values. After optimizing the development of the T24 peak, the relative error is always less than 3.0%, indicating that this optimization is reasonable. The ability of the LF-NMR CPMG sequence to determine the water content in crude-oil emulsions has been established in this work. The fastest approach for determining water content is to use the natural logarithm connection between T2S and water content, which has a relative error of less than 3.0% when the water content is more than 20.0 wt%.
In Silva R. C. et al.’s study [64], low-field 1H NMR was employed to analyze mixtures containing crude oils and water. The experiments were performed using a Maran-2 Ultra NMR spectrometer manufactured by Oxford Instruments (Abingdon, UK), operating at 52 mT (2.2 MHz for 1H), with a 51-mm-diameter probe. A total of 22 biphasic mixtures were prepared, and the T2 distribution curves were obtained through CPMG experiments. The determination of these curves involved the application of the inverse Laplace transform to the echo decay data.
The capacity of the equipment to quantify water and petroleum in biphasic mixtures using various approaches was investigated. Another method of analyzing these data is to directly quantify the relative area associated with oil and water without the use of a calibration curve. In this scenario, a correction factor is termed RHI. It is being used due to variances in hydrogen content in these fluids. An RHI value of 1.13 was discovered in the crude oil utilized in this study (value validated by elemental analysis of the oil), suggesting that each mass unit of oil contains 13% higher hydrogen than the same mass unit of water. According to the equation, this divergence is taken into consideration when quantifying biphasic mixtures. Without the use of a previous calibration curve, the relative area of each component in the T2 distribution curves can be directly converted into water content using this equation.
Actual water contents are compared to those determined using this technology, and a good correlation of (R2 = 0.999) is obtained. The methodology for determining the water content in water–oil combinations, which uses LF 1H NMR relaxometry data paired by multivariate analysis, can also be compared to other routine laboratory analyses such as the DS and KF methods. However, these approaches are focused here on water content within emulsions, whereas the proposed plan was created to contend with biphasic mixtures and is best likened to gravity-separation procedures. When compared to the KF method, for example, the proposed approach’s accuracy levels are clearly worse. Low-field NMR approaches, on the other hand, provide evident advantages in terms of time scale (about 5 min per sample), non-destructiveness, and reagent-free character. When the relaxation behaviors of fluids are quite different, this work indicates that quantifying water and crude oil in biphasic mixes is a reasonably simple process. Estimated errors are less than 1%. The durability of multivariate approaches is once again proved, emphasizing the need for smart mathematical procedure selection for analyzing low-field NMR information, which itself is particularly interesting for online applications.
The objective of the authors was to examine oil sludges obtained from diverse sources in their untreated state, with the purpose of exploring the potential of HF-NMR as a means of identifying the levels of oil and water present within these sludges [65]. The authors argued that oil sludges represent a significant environmental hazard due to their high content of hydrocarbons, heavy metals, and other toxic compounds [66,67,68]. Thus, their characterization before treatment is crucial for ensuring proper disposal or recycling. To achieve their objective, the authors collected oil sludges from various sources, including the petrochemical, naval, and food industries, and subjected them to several physicochemical analyses [69,70]. The examination encompassed an evaluation of various factors, such as total organic carbon (TOC) content, elemental composition, thermogravimetric analysis (TGA), and FTIR spectroscopy.
Additionally, the authors leveraged HF-NMR to ascertain the quantities of oil and water present in the sludges. The results of the study showed that the oil sludges had high TOC content, indicating their high hydrocarbon content. The elemental analysis revealed the presence of heavy metals such as lead, mercury, and cadmium in some of the sludges, indicating their potential toxicity. TGA analysis showed that the sludges had a high ash content, which is an indicator of inorganic compounds. FTIR spectroscopy revealed the presence of functional groups such as carbonyl, alkanes, and alkenes, which are typical of hydrocarbon compounds. The authors also found that HF-NMR was a useful technique for determining the oil and water content in the sludges. They reported that the T2 relaxation time of the sludges was strongly correlated with the oil and water content. The authors used a calibration curve to determine the oil and water content in the sludges based on the T2 relaxation time. The results showed that HF-NMR was able to accurately determine the oil and water content in the sludges. Overall, the study by Zamboni et al. provides important insights into the characterization of oil sludges from various sources prior to treatment. The authors showed that a combination of physicochemical analyses and HF-NMR can be used to accurately determine the oil and water content in the sludges [71,72]. The study also highlights the potential environmental hazards associated with oil sludges and the importance of proper characterization and disposal of these materials.
In this experimental method, LF-NMR is utilized for the quantification of the oil and water contents in samples of bitumen ores and froth [73]. Bitumen ore and froth samples were obtained from an oil sands processing plant. The samples were collected and stored at room temperature until analysis [74,75,76]. Prior to analysis, the samples were thawed and homogenized to ensure a representative sample. LF-NMR relaxometry was used to measure the oil and water contents in the bitumen ore and froth samples. The analysis was performed using a Maran Ultra 23 LF-NMR analyzer with a permanent magnet operating at 23 MHz. The samples were placed in glass tubes and analyzed using a CPMG pulse sequence (Table 4). The relaxation times were measured for both oil and water, and calibration curves were established for each sample using known oil and water content [77,78]. The results obtained from LF-NMR were compared with those obtained from conventional methods for determining oil and water content. The conventional methods involve the use of solvents to extract the oil and water from the samples and then measure their mass [79,80]. The results of the LF-NMR analysis were compared with the results obtained using these methods to validate the accuracy and precision of the LF-NMR method. Statistical analysis was performed on the data obtained from LF-NMR and conventional methods to evaluate the accuracy and precision of the LF-NMR method [80,81]. Overall, the experimental method used in the article involved non-destructive analysis of bitumen ore and froth samples using LF-NMR relaxometry, calibration of the method using known samples, and validation of the results using conventional methods. The method is a fast and convenient alternative to conventional methods for determining oil and water content in bitumen ores and emulsion samples. The study demonstrates the potential of LF-NMR relaxometry as a valuable tool for process control and optimization in the oil sands industry.
Yi L. et al.’s study recommended a new method for intelligent measurement of crude-oil moisture content using an LF-NMR sensor and a deep-learning-based object-detection algorithm [82]. The experiments involved preparing crude-oil samples with known moisture content in the laboratory and using the proposed method to measure their moisture content. The NMR signal obtained from the samples was analyzed to determine the T2 relaxation time of the oil and water components. A deep-learning-based object-detection algorithm was used to identify the position and size of the oil–water interface in the crude-oil samples, and the moisture content was calculated based on the oil and water content and the position and size of the oil–water interface. The proposed method was validated using a series of experiments with crude-oil samples of known moisture content [28,83,84]. The study aimed to devise a novel method for intelligent measurement of moisture content in crude oil that could be used for online monitoring and automatic control of crude-oil moisture content in the oil and gas industry. The study aimed to achieve this goal by using an LF-NMR sensor and a deep-learning-based object-detection algorithm to accurately measure the oil and water content of crude oil and identify the position and size of the oil–water interface, which is a key factor in determining moisture content. The results of the study showed that the proposed method could achieve accurate and reliable measurement of crude-oil moisture content. The authors reported that the proposed method had an average error of less than 0.5% in measuring moisture content, which is significantly better than conventional methods. The study also demonstrated that the proposed method could be used for online monitoring and automatic control of crude-oil moisture content in the oil and gas industry, which could lead to significant improvements in the efficiency and quality of oil and gas production [38,85,86]. In summary, the study successfully achieved its goals and objectives by developing a new method for intelligent measurement of crude-oil moisture content using a low-field NMR sensor and a deep-learning-based object-detection algorithm. The results showed that the proposed method was accurate and reliable and had the potential to be used for online monitoring and automatic control of crude-oil moisture content in the oil and gas industry.
The study aimed to develop a simple and reliable method for determining the water content in organic solvents using 1H NMR spectroscopy [87]. The experiments involved preparing different organic solvent samples with known water content and acquiring their 1H NMR spectra. In order to establish a straightforward and dependable approach for quantifying the water content in organic solvents, the researchers focused on measuring and analyzing the chemical-shift disparities between the solvent protons and the water [88,89,90,91]. The overarching aim of the investigation was to employ 1H NMR spectroscopy to develop a viable and uncomplicated method for gauging the water content in organic solvents. The specific objectives were to (1) measure the chemical-shift differences between the water and solvent protons, (2) develop a calibration curve for determining water content in the solvent based on the chemical-shift differences, and (3) validate the method using different organic solvents and water concentrations. The results of the study showed that the proposed method could accurately determine the water content in organic solvents using 1H NMR spectroscopy. The authors reported that the technique exhibited a detection limit of 0.1% (w/w) and a quantification limit of 0.3% (w/w) [92,93,94]. The method was also found to be reliable and accurate for different organic solvents and water concentrations [95,96].
LaTorraca G. A. et al.’s study investigates the use of LF-NMR for determining the physicochemical properties of crude oil, specifically viscosity and API gravity [67]. The models were created for viscosity and API gravity of post-salt crude oil using T2 and RHI in a research study conducted in Espirito Santo, Brazil [97,98]. The models were evaluated using 50 samples with a viscosity range of 23.75 to 1801.09 mPa·s and API gravity ranging from 16.8 to 30.6 and showed high reliability. Additionally, the study put forth a novel approach to oil classification based on T2 and RHI, which enables quick and dependable estimation of the mentioned physicochemical properties through a single measurement. The article presents valuable qualitative and quantitative data on the physicochemical characteristics of crude oil, encompassing factors such as the presence or absence of water, the mass of individual phases, and viscosity. The pronounced decrease in T2 values within the oils signifies the existence of heavy fractions, such as resins and asphaltenes, which are characterized by extended chains, high molecular weight, high viscosity, and low API gravity. The T2 is contingent upon the mobility of the medium, which is related to the hydrogen amount referred to as the RHI. The study establishes a strong association between RHI and ln T2, ranging from 0.94 to 1.16. The LF-NMR method exhibited exceptional versatility and reliability in concurrently determining vital physicochemical properties such as viscosity, API gravity, and RHI. The proposed correlations demonstrated significant outcomes, confirmed by high correlation coefficients (R2 > 0.96). The models presented in this research could be utilized in examining crude oil from other regions with analogous properties and composition. By creating models, it became possible to classify oils and ascertain their quality. Medium oils were characterized by T2 values greater than 45 ms and hydrogen content exceeding 11.66% (indicated by RHI values greater than 1.05). This investigation offers valuable insights for engineers seeking to enhance the production efficiency of crude oils, regardless of whether their viscosity is high or low. The viscosity model that was established in this study can aid in the determination of the precise pressure needed to pump oil from reservoirs to the surface, thus optimizing the refining of crude oil.
Table 4.
The respected scientific organizations dedicated to the topic of water content determination through NMR analysis.
Table 4.
The respected scientific organizations dedicated to the topic of water content determination through NMR analysis.
| Research Group/ Organization | Survey | Investigation | Reference |
|---|---|---|---|
| The Tomographic Imaging and Porous Media Laboratory at the University of Calgary | Samples were sourced from two discrete heavy-oil reservoirs located in Western Canada. | Determining the oil and water content in streams with and without the presence of emulsions in the samples. | [60] |
| The Laboratory of Applied and Analytical Chemistry, CMK, at Hasselt University, located at Agoralaan Gebouw D, 3590 Diepenbeek, Belgium | Pyrolysis oil from different sources. | Water determination of pyrolysis oil. | [61] |
| The State Key Laboratory of Clean Energy Utilization, Institute for Thermal Power Engineering, Zhejiang University, located in Hangzhou 310027, China | The oil-sludge samples were collected from the Hangzhou Petroleum Refinery Plant and Zhoushan Nahai Solid Waste Central Disposal Co., Ltd., Zhoushan, China. | Quantify the water and oil content within the oil sludge. | [62] |
| The College of Science, China University of Petroleum (East China), located in Qingdao, Shandong, China | Stabilized emulsions of crude oil from the oil field of Shengli and distilled water. | Determine the water content. | [63] |
| The Department of Physics, Federal University of Espírito Santo, located at Av. Fernando Ferrari, 514, 29075-910, Vitória, Espírito Santo, Brazil | Twenty-two biphasic mixtures were formulated using crude oil as the starting material. | Crude-oil mixtures analysis and determining water content. | [64] |
| Colombian Administrative Department of Science, Technology and Innovation, Colciencias | Five oil sludges were used. | Determine the oil and water content using HF-NMR. | [65] |
| Shell Canada and Albian Sands Energy | Bitumen ore and froth samples were gathered from an oil sands mine in Alberta, Canada. | Measuring the oil and water content in bitumen ore and froth samples using low-field NMR. | [73] |
| State Key Laboratory of Synthetical Automation for Process Industries, Northeastern University, located in Shenyang, China. | The crude-oil samples were sourced from an oil field located in China. | NMR-based measurement system for determining the moisture content of crude-oil samples. | [82] |
| Chung-Ang University, Research Institute of Standards and Science in South Korea | A mixture of various solvents and deionized water was prepared using the ELGA LabWater System (Purelab Ultra, High Wycombe, UK). The sample solutions were prepared by gravimetric mixing. | Determining water content in organic solvents via the 1H NMR chemical-shift differences between water and the solvent. | [87] |
| National Institute of Metrology (NIM) in Beijing, China. | Samples consisting of known water contents mixed with one or more organic solvents, including 1-butanol, o-xylene, anisole, and propylene carbonate. | Eliminating the influences of environmental humidity and background water in the determination of trace water content in organic solutions using NMR. | [99] |
| The Cultural Relics Conservation Institute of Tibet Autonomous Region, located in Lhasa, China | Common building materials. | Calibrating water content in building materials using a single-sided NMR instrument. | [100] |
4.4. Core Analysis
4.4.1. Porosity
Measuring the porosity of a core using (LF-NMR) is significant because it provides valuable insights into the pore structures of the core sample. LF-NMR can characterize different pore sizes, distributions, and connectivity within the porous material by analyzing the relaxation behavior of protons in changing magnetic fields. The SDR (Schlumberger–Doll research) and Timur–Coates equations are essential for correlating LF-NMR measurements with petrophysical parameters in the core analysis.
The SDR Equation (1) uses porosity and the logarithmic mean of the transverse relaxation time to estimate permeability, with calibrated constants from core samples. The Timur–Coates Equation (2) estimates permeability based on the free fluid index (FFI) and bulk volume irreducible (BVI), with constants, also calibrated empirically. To apply these equations, LF-NMR measurements yield T2 distributions from which T2LM, FFI, and BVI are derived. These parameters are then plugged into the respective equations using calibrated constants to estimate permeability and offer insights into porosity, thereby establishing critical correlations between NMR data and petrophysical properties.
This method enables the estimation of critical parameters, including pore-size distribution, irreducible and movable liquid saturation, surface area-to-volume ratios, and hydraulic conductivity in saturated conditions. The information obtained from LF-NMR porosity measurements is crucial for understanding the transport of fluids, such as water and contaminants, within the core sample and can aid in various geoscientific applications related to hydrogeology, environmental studies, and resource exploration.
In scenarios with pore-coupling effects, where there is significant magnetization exchange between different pore environments, LF-NMR can provide distorted relaxation time distributions, leading to an average representation of the entire pore network instead of identifying individual pore environments. The understanding of pore-coupling effects is crucial for accurately interpreting NMR data in complex materials with dual or multimode pore systems. Experimental and numerical modeling approaches have been employed to investigate pore-coupling effects in fully saturated environments, offering insights into how the connectivity between pore environments and the surface geochemistry of the pore walls influence the degree of coupling. By investigating factors such as surface relaxivity values related to the mineralogy of the rock, network connectivity, and diffusion properties, LF-NMR can provide valuable information on the pore sizes, distributions, and connectivity within the porous media.
The main focus of the conference paper by Hugh et al. “Porosity Evaluation of Shales Using NMR Secular Relaxation” is to analyze the porosity related to the organic and inorganic components of shales, with a specific emphasis on utilizing NMR measurements to differentiate between various types of porosity [101]. The experiment involved performing laboratory measurements on preserved samples of Bakken and Eagle Ford shales, as well as a shallow marine mudstone for comparison, utilizing a 2.2 MHz NMR core analysis system. The challenges encountered during the study revolved around the complex pore structures within shales, requiring a thorough differentiation of various porosity types based on theoretical considerations of relaxation times due to paramagnetic and dipole interactions. The novelty of the paper lies in the method developed to determine volumes of different fluids and porosities in shales from simultaneous T1–T2 measurements, allowing for the separation of water and hydrocarbons in large pores, water associated with clay, hydrocarbons in small pores, and high-viscosity hydrocarbons. This innovative approach provides valuable insights into fluid distribution and porosity in shale formations, offering a promising tool for quantifying these properties from NMR data. In conclusion, the study demonstrated the effectiveness of the developed method for porosity evaluation in shales and emphasized the need for further refinement and exploration to enhance fluid quantification and reservoir evaluation in unconventional resources.
Based on Ding, Shun, et al.’s article, the use of NMR technology to investigate pore structure characteristics and their evolution under repeated freeze–thaw cycles in tight sandstone aimed to unravel the intricate mechanisms of frost damage in low-porosity rocks [102]. The primary focus was to investigate the deterioration in mechanical properties, changes in P-wave velocity, and pore-structure evolution during freeze–thaw cycles in tight sandstone. The experiment involved subjecting cylindrical samples drilled from tight sandstone blocks to 75 freeze–thaw cycles while utilizing NMR technology to analyze pore structure variations. The study encountered challenges in accurately quantifying frost damage solely based on P-wave velocity fluctuations and in differentiating between evolving pore types. The novelty of this research lies in challenging the conventional belief of the frost resistance of tight sandstone and highlighting the significant impact of freeze–thaw cycles on pore-structure evolution. In conclusion, the study emphasized the importance of considering nanopores and micropores in understanding frost damage accumulation in tight sandstone, concluding that changes in P-wave velocity are not indicative of frost-damage severity, and highlighting the critical role of freezing temperature in determining the level of frost damage.
The main focus and goal of Flinchum, Brady A., et al.’s approach is to characterize the critical zone boundary, particularly in complex geological settings like weathered and fractured granite formations [103]. The experiment involves leveraging NMR measurements to capture the T2 relaxation times, which are indicative of pore-scale properties. However, this technique faces challenges, such as the influence of magnetic gradients on signal accuracy and the limitations posed by surface NMR signals in low water content environments, like unweathered crystalline rock. Despite these challenges, the novelty of applying NMR in fractured rock systems lies in its potential to provide valuable insights into hydrologic properties that can aid in better understanding groundwater dynamics. In conclusion, while the application of NMR in characterizing the critical zone presents challenges, its ability to quantify porosity and pore-scale properties can offer valuable information for groundwater investigations and aid in developing a more comprehensive understanding of the critical-zone architecture.
Walsh, David O., et al.’s article focuses on using surface NMR instrumentation to detect and characterize water in the vadose zone [104]. One of the primary goals of the research was to ascertain if surface NMR could detect thin lenses of perched water within the vadose zone. The experiment involved collecting soil core samples from the investigation site and using NMR to determine the porosity (water content) of the samples. The researchers faced several challenges, including the tendency of water in the vadose zone to occupy the smallest available pore spaces and the relatively low signal amplitude and fast relaxation of water in this zone. However, the use of enhanced surface NMR instrumentation, with faster-switching electronics and higher output power, enabled the detection and imaging of certain forms of water held in unconsolidated vadose zone formations at depths of up to 30 m. The novelty of the research lies in surface NMR’s ability to quantify temporal and spatial changes in subsurface water content within the vadose zone. The research findings suggest that NMR can significantly contribute to the characterization of vadose-zone hydrology.
The main goal of using NMR in the Benavides Francisco, et al. study is to estimate surface relaxivity as a function of pore size [105]. This information is critical for improving the accuracy of NMR measurements of porosity, which is one of the most important petrophysical deliverables in reservoir rock properties assessment. The experiment involves measuring the T2 distribution of protons in fluid molecules filling the pore space of rock samples as well as micro-tomographic images of the sample under investigation. The surface-relaxivity function is then simulated using a random-walk method to determine the corresponding simulated T2 distribution that best matches the measured T2 distribution. The main challenge in this experiment is accounting for the many sources of variability associated with the rock samples, such as mineralogy, pore-size distribution, and saturation levels. In addition, it requires a precise calibration of the NMR instrument and software as well as accurate measurements of the relevant physical properties of the rock samples. The novelty of using NMR to determine porosity lies in its ability to provide a comprehensive picture of the subsurface by providing non-invasive measurements of pore size and saturation levels in real time. This makes NMR a valuable tool in both laboratory and field settings for reservoir evaluation and development. In conclusion, using NMR to determine porosity is a powerful tool for improving the accuracy of petrophysical deliverables in reservoir rock properties assessment. While there are challenges associated with NMR measurements, its ability to provide detailed information about the subsurface and non-invasive measurements of pore size and saturation levels in real time makes it a valuable technique in both the laboratory and the field.
Bryar et al. article’s goal is to understand the effects of paramagnetic Fe(III) species on the NMR of saturated porous materials [106]. In geophysical studies, NMR has become widely used in recent years to estimate petrophysical properties such as porosity, pore-size distribution, permeability, clay-bound water fraction, and wettability of the solid. The study aims to develop a unified model to quantify relaxation parameters for quartz sand, considering varying quantities of Fe(III) in four distinct states. The research utilized different model systems, including pure quartz sand, silica gel, aqueous Fe(III) solutions, and mixtures of silica gel and pseudobrookite. Its objective was to investigate and quantify the influence of Fe(III) on the NMR response of geological materials, considering both the concentration and chemical form of iron and its distribution within the rock-water system. The researchers encountered a major challenge due to the presence of paramagnetic particles, which can introduce significant errors in pore-size calculations and complicate comparisons between materials with varying paramagnetic content. The novelty of this research lies in demonstrating that NMR relaxation measurements are sensitive to the presence of a paramagnetic solid phase. The study’s results are expected to offer a more precise and meaningful interpretation of NMR data for characterizing porous materials in both laboratory and field studies. In conclusion, the use of NMR to determine the porosity of porous materials is a vital tool in geophysical studies; however, the effects of paramagnetic impurities must be taken into account.
The use of NMR measurements in Chi et al.’s research to assess the porosity and pore-size distribution in various formations, specifically multiple-porosity systems, represents a crucial advancement in petrophysical studies [107]. The main focus is to accurately estimate formation porosity using NMR relaxation time measurements, which have traditionally been considered insensitive to microfractures. By conducting NMR pore-scale simulations using a random-walk algorithm, researchers aim to assess the influence of microfractures or channels on NMR measurements (Table 5). They also propose a novel concept of fracture-pore diffusional coupling in heterogeneous systems. The experiment involves randomly distributing and orienting microfractures or channels within 3D pore-scale images of various rock matrices to examine the sensitivity of NMR T2 distributions to their presence. One of the primary challenges is the potential underestimation of intergranular pore sizes by up to 29% and the volume fraction of intergranular pores by more than 10% when diffusional coupling effects are not considered in the interpretation of NMR measurements. The novelty of this research lies in developing a simplified 1D analytical model for fracture-pore diffusional coupling. The analytical solutions align with simulation results, demonstrating the existence of such coupling in multi-porosity systems.
Table 5.
The scientific institutions that are recognized for their expertise in NMR analysis for core porosity evaluation.
4.4.2. Permeability
The main focus and goal of the paper study “Determination Of Flow And Volumetric Properties Of Core Samples Using Laboratory NMR Relaxometry” revolved around utilizing NMR technology to assess the flow and volumetric properties of core samples within the petroleum industry [108]. The primary aim was to provide a non-destructive method to evaluate reservoir rocks’ properties, specifically focusing on porosity and permeability information critical for formation evaluation. The experiment involved studying 107 water-saturated core samples of predominantly silt–sandstone rocks using NMR relaxometry on an MCT-05 NMR relaxometer. Through NMR porosity and Coates equation-based permeability determinations, the study established correlations between petrophysical parameters and NMR characteristics, showcasing a close relationship between porosity, permeability coefficients, and T2. Challenges included the necessity of additional data from particle size and mineralogical petrographic analyses to enhance the correlation between NMR parameters effectively. The novelty of the study lies in showcasing the capabilities of NMR technology to determine key volumetric-flow properties of reservoir rocks non-invasively, providing valuable insights into the distribution of permeability–porosity properties in core samples. In conclusion, the study demonstrated the potential of NMR relaxometry to offer detailed information on petrophysical properties while overcoming traditional challenges associated with destructive core studies, thus highlighting the method’s utility in enhancing reservoir characterization within the petroleum industry.
Furthermore, Liu, Huabing, et al.’s study focuses on evaluating permeability profiles of rock cores using an innovative spatially-resolved NMR relaxometry technique combined with LF-NMR techniques [109]. The main objective of the research is to create a quick, non-destructive method for estimating rock permeability and visualizing rock heterogeneity through obtained permeability profiles. The experiment involved applying a new relaxation technique to rock cores alongside MRI schemes to capture interior structures along a selected sample axis. Through analysis of local porosity, spatially-resolved relaxation time distribution, and connectivity factors derived from adjacent relaxation time distributions, researchers estimated permeability profiles. Challenges in the study likely included optimizing experimental conditions, such as the critical low-tip angle pulse required for low-field NMR conditions, to improve the signal-to-noise ratio. The novelty of the research lies in introducing the connectivity factor for the first time, which enhances the accuracy of evaluating local permeability values between neighboring layers. Experimental results indicated that the proposed method provides a viable way to track rock sample heterogeneity and accurately estimate permeability profiles. In summary, the developed technique shows potential in improving the assessment of permeability profiles of rock cores, offering a more thorough insight into rock heterogeneity and permeability variations.
Silva et al.’s study emphasized the prediction of permeability in reservoir core rocks using the spatial encoding of the magnetic field in NMR technology [110]. The primary goal was to develop a new methodology to improve the accuracy of permeability estimation across various lithologies. By utilizing magnetic field variations to generate multiple T2 spectra in core rock samples, researchers obtained representative data on porosity distribution, leading to the creation of a predictive model called KON. The experiment involved analyzing core rock samples from diverse locations and formations, including sandstones and carbonates from India, Tunisia, and Brazil. A significant challenge was aligning NMR data with permeability parameters, necessitating the formulation of a specific generatrix equation for each formation type. The novelty of the methodology lies in the innovative correlation of porosity distribution with T2 to predict permeability effectively. The study concluded that the KON model exhibited high accuracy compared to traditional permeability models, providing a dependable approach for determining permeability parameters in different lithologies. This underscores the potential of spatial encoding in NMR technology for reservoir characterization and hydrocarbon exploration.
The article titled “Core Effective and Relative Permeability Measurements for Conventional and Unconventional Reservoirs by Saturation Monitoring in High Frequency 3D Gradient NMR” addresses the critical challenge of developing representative reservoir deliverability models for tight conventional and unconventional rock systems [111]. The main goal of the study is to accurately measure effective and relative permeability values in these challenging reservoirs to improve reservoir simulation and production modeling. The experiment involves utilizing NMR measurements, specifically T2, T1T2, and D-T2 activation sequences, to monitor fluid saturations and fronts in both conventional and tight reservoirs under reservoir conditions. The material used includes core samples subjected to micro-CT scans, NMR scans for fluid-saturation determination, and a specialized core-flooding vessel for fluid injection and monitoring. The challenges highlighted include low porosities, ultra-low permeabilities, and the limitations of current core analysis techniques in accurately measuring relative permeability. The novelty of the study lies in the development of a novel process that combines advanced NMR technology with precise experimental procedures to overcome these challenges and provide accurate permeability measurements, enabling a better understanding of fluid flow in tight rock systems for improved reservoir management and production optimization.
Pape, H, et al.’s research centered on predicting permeability in low porosity rocks utilizing mobile NMR technology, aiming to provide accurate permeability estimates directly in the formation or on fresh cores post-drilling in a fast and non-destructive manner [112]. The experiment involved conducting a two-dimensional relaxation CPMG pulse sequence and was employed for T2 measurements, while the inversion recovery sequence was used for T1 measurements on Rhaetian sandstone samples with small pore radii and low porosity using a mobile NMR core scanner operating in a nearly uniform static magnetic field (Table 6). The samples were sourced from the Allermoehe borehole in Germany, specifically from a geothermal resource in the Rhaetian hot water aquifer. The key challenge encountered was the influence of high internal magnetic field gradients in small pore sizes, which impacted the standard NMR methods commonly used in the oil industry for accurate permeability prediction. The novelty of the study lay in the development of a new model theory to describe the relationship between pore-radius dependence of the surface relaxivity and permeability prediction, enabling accurate estimations using corrected surface-relaxivity values and a logarithmic mean of T2 distribution along with the Kozeny–Carman equation. In conclusion, the research demonstrated the potential of mobile NMR technology in enhancing permeability prediction in low porosity rocks by addressing the challenges posed by small pore sizes and high internal magnetic field gradients, offering a promising approach for efficient and reliable permeability estimation in such geological formations.
Table 6.
The scientific institutions that have established a reputation for their proficiency in NMR analysis for core permeability evaluation.
The article “Evaluating pore space connectivity by NMR diffusive coupling” focuses on this topic by introducing a methodology to evaluate pore space connectivity in reservoir rocks using NMR measurements and computational models [113]. The technique discussed in this article also involves using low-field NMR spectrometry to measure parameters such as longitudinal and transverse relaxation times and the time-dependent diffusion coefficient. The material used in the experiments was a micro-porous borosilicate glass-bead pack. A challenge encountered in the study was the diffusion coupling between the pores, which complicated the interpretation of the NMR measurements. The novelty of the study lay in the fact that it added new information to conventional one-dimensional studies by presenting clear evidence of inter-pore diffusion. Through image analysis of thin sections, geometrical parameters were obtained and used as inputs to the computational models. The article concludes that NMR measurements have proved useful in evaluating reservoir rocks, and the methodology presented in the study provides valuable insight into connectivity within the pore space. Figure 5. Mapping NMR T1/T2 relaxation times for different fluid types and conditions [112].
Figure 5.
NMR T1/T2 relaxation mapping for various fluid types and conditions, Figure adapted from ref [114] licensed under CC BY 4.0 (http://creativecommons.org/licenses/by/4.0/ accessed on 3 July 2024).
4.4.3. Wettability
The use of NMR technology to characterize wettability in low-permeability reservoirs is a vital area of study aiming to understand the intricate relationship between wettability and petrophysical responses [115]. The main focus of this research is to develop a practical and reliable model for assessing wettability alterations in low-permeable reservoirs by integrating experimental NMR studies with additional analyses like X-ray diffraction, Amott tests, and scanning electron microscope measurements. The experimentation involves utilizing NMR relaxation mechanisms to observe changes in wettability before and after aging procedures on core samples sourced from various low-permeability sandstone reservoirs from western basins in China. The challenges in this endeavor include interpreting complex pore structures and mineral compositions typical of low-permeability rocks. The novelty of this approach lies in providing a comprehensive understanding of wettability alterations in such reservoirs and the potential for NMR technology to serve as an effective solution for wettability evaluation.
In the conference paper “NMR Wettability of Carbonate Reservoir Cores: Best Practices,” authored by Bastian S, et al., the investigation of the wettability of carbonate reservoir cores under adverse conditions, specifically addressing the presence of strong oil–water emulsion serves as a critical focal point [116]. The primary goal of the study was to provide practical and experimental insights into performing wettability inversion of heterogeneous carbonate reservoir core plugs using NMR-T2 distributions (Table 7). The experiment utilized three restored limestone reservoir cores subjected to United States Bureau of Mines and NMR wettability measurements, alongside petrophysical properties and dielectric permittivity analysis. Challenges arose due to the unreliable NMR inversion results caused by the presence of oil–water emulsion within the core plugs, prompting the innovative approach of flushing the plugs with synthetic oil, Soltrol, to derive in situ wettability results. The novelty of this method lies in overcoming the challenges of complex fluid-fluid interactions and providing faster and more reliable wettability characterization compared to conventional methods.
Table 7.
Universities and research institutions that have demonstrated their expertise in NMR-based wettability evaluation of rock cores.
However. Saurabh T, et al.’s research paper delves into the innovative approach of quantifying wettability in mixed-wet rocks using NMR [117]. The primary focus of the study is to introduce a novel NMR-based wettability index that can effectively characterize wettability in reservoir rocks with mixed-wet properties. By utilizing numerical simulations and experimental measurements at both pore-scale and core-scale domains, the authors aim to validate the reliability and applicability of this new wettability index. The experiments involve analyzing synthetic partially saturated mixed-wet samples generated based on pore-scale microcomputed tomography images as well as conducting NMR measurements on Texas Cream (TC) rock samples obtained from the Edwards formation. The challenges in this study include calibrating the new wettability index, addressing the complexities of mixed-wet multimodal rocks, and ensuring the accuracy of fluid saturation measurements. The novelty lies in the development of a faster and more reliable method for wettability quantification that does not necessitate NMR measurements at irreducible water and residual hydrocarbon saturations, thereby offering an efficient alternative to existing techniques. To conclude, the research demonstrates the potential of the new NMR-based wettability index to enhance the speed and accuracy of wettability characterization in mixed-wet rocks across different saturation states, with promising implications for log-scale wettability assessments.
The implementation of a two-dimensional NMR method using the PFG-STE-Bipolar-CPMG pulse sequence for wettability determination on core samples, as detailed by Can Liang et al., focuses on advancing the understanding and assessment of rock wettability in tight sand formations [118]. The primary goals of the study include improving the accuracy of wettability characterization, particularly in complex reservoir rocks, and enhancing the applicability of low-field NMR technology in such analyses. The experiment utilized core samples sourced from tight oil sands in western China and employed the innovative PFG-STE-Bipolar-CPMG pulse sequence to suppress internal magnetic field gradients and isolate wettability influences accurately. The challenges faced included the intricate pore structures and heterogeneous wettability of tight sand formations, which can introduce biases in traditional NMR techniques. The novelty of the study lies in the development of a method that effectively addresses the impact of internal gradients on wettability evaluation, providing a more comprehensive wettability characterization of tight sand formations. In conclusion, the study demonstrates the feasibility and significance of using the proposed method to improve wettability assessments in tight oil sands, showcasing the potential for broader applications in oil-field development and reserve estimations.
The journal article discusses the application of LF-NMR as an innovative technique for evaluating wettability in unconsolidated porous media. Authored by F. M. Hum and A. Kantzas from the University of Calgary/TIPM Laboratory, the study aims to determine wettability, monitor fluid uptake, and detect wettability alterations in coated and uncoated sands [119]. By utilizing the CoreSpec 1000 TM NMR equipment, the researchers conducted experiments using materials such as distilled water, kerosene, and sands sourced from various locations like Target Products Limited in Calgary and contaminated sites in Alberta. The challenges in the research revolved around factors like organic matter coating affecting water uptake rates and pore blocking. The novelty of the study lies in demonstrating that NMR can detect wettability changes and provide insights into fluid behavior in porous media. In essence, the study highlights the potential of low-field NMR as a rapid and reproducible method for assessing wettability alterations in unconsolidated porous media, offering a promising avenue for future research and application in soil studies and hydrocarbon recovery processes.
The main focus and goals of Looyestijn’s practical paper revolve around determining the wettability index through NMR measurements, aiming to provide valuable insights into the wetting properties of fluids within rock formations [120]. The device used in this methodology is typically an NMR spectrometer capable of analyzing the relaxation times of fluids in porous media. The experiment application method involves measuring T2 distributions of cleaned, water-saturated samples, bulk brine, and experimental condition samples, followed by T2 distribution measurements of the oil phase. These measurements are crucial for calculating the wettability index using specific formulas and parameters. The sample source for these experiments can vary from fresh core samples to preserved cores, each requiring distinct procedures for accurate results. Challenges in this process include ensuring low noise levels for accurate T2 measurements and addressing the complexities of multicomponent mixtures in real reservoir rocks. The uniqueness of using NMR technology lies in its ability to provide a non-invasive, cost-effective, and auditable method for wettability characterization in low-permeability reservoirs, offering a deeper understanding of fluid interactions within these challenging environments. In brief, leveraging NMR technology for wettability assessment in low-permeability reservoirs represents a significant step forward in reservoir characterization, enabling more informed decisions and enhanced reservoir-management strategies.
5. Challenges and Limitations
5.1. Technical Challenges
The technical challenges encountered when utilizing NMR and low-field NMR in petroleum applications present significant hurdles that impact the comprehensive characterization of crude-oil components. In group composition analysis, LF-NMR systems, in particular, face limitations in resolution and sensitivity compared to HF-NMR, hindering the detailed analysis of complex oil compositions. Maintaining a high signal-to-noise ratio proves challenging in low-field NMR setups, especially in samples with low concentrations, affecting measurement accuracy and reliability for viscosity and oil property measurements. Field inhomogeneity, a common issue in low-field NMR systems, introduces distortions in data acquisition, complicating result interpretation. Core analysis using LF-NMR faces difficulties such as sensitivity to paramagnetic impurities, which can distort relaxation-time measurements, and limitations in spatial resolution, affecting the accuracy of porosity and permeability determinations. Additionally, LF-NMR equipment is susceptible to environmental magnetic interference, necessitating careful calibration and shielding to ensure reliable data. Sample preparation for low-field NMR analysis is time-consuming and prone to introducing artifacts or errors, thereby influencing data quality. Additionally, ensuring the stability and calibration of low-field NMR instruments over extended periods poses a challenge, impacting result reproducibility and consistency. Addressing these technical challenges is crucial to advancing the effectiveness and reliability of NMR techniques in petroleum applications, ultimately enhancing the understanding and characterization of crude-oil properties.
5.2. Research Gaps
To enhance the applicability and efficiency of low-field NMR in the petroleum industry, further research is essential in several key areas. Firstly, developing advanced signal processing techniques tailored for low-field NMR data is crucial to enhance sensitivity, resolution, and accuracy in characterizing crude-oil components. Additionally, research focusing on optimizing the design of low-field NMR instruments is needed to address field inhomogeneity issues, improve signal-to-noise ratios, and enhance overall performance for petroleum applications. Standardization and calibration protocols play a vital role in ensuring consistency and comparability of results across different low-field NMR systems, emphasizing the need for established protocols in sample preparation, instrument calibration, and data interpretation. Exploring new applications of low-field NMR in petroleum analysis, such as real-time process monitoring, in situ measurements, and integration with other analytical techniques, can provide comprehensive insights into crude-oil properties. Furthermore, conducting extensive validation studies to assess the accuracy, precision, and reliability of low-field NMR measurements compared to traditional methods is essential to validate its potential as a robust tool in crude-oil characterization. By addressing these research gaps, the utilization of low-field NMR in petroleum applications can be optimized, leading to advancements in crude-oil characterization and increasing its value in the industry.
6. Future Directions
6.1. Emerging Trends
As the field of NMR and low-field NMR technology progresses, several emerging trends are set to shape future applications in the petroleum industry. The refinement of hyperpolarization techniques like dynamic nuclear polarization and spin-exchange optical pumping is expected to boost sensitivity and signal-to-noise ratios in NMR measurements, offering real-time insights into complex molecular activities. Advancements in signal processing algorithms tailored for low-field NMR data will likely enhance the precision and resolution of crude-oil component characterization. Furthermore, innovative instrument-design improvements aimed at addressing field inhomogeneity issues and enhancing overall performance hold promise for more efficient and reliable NMR measurements in petroleum applications. Exploring new applications of low-field NMR, such as real-time process monitoring and integration with other analytical techniques, is anticipated to broaden the utility of NMR technology in the industry. Continued validation studies and potential clinical translation of multi-NMR technology may validate its robustness in crude-oil characterization and open avenues for innovative diagnostic and treatment approaches in the petroleum sector. By embracing these emerging trends, the petroleum industry can harness cutting-edge molecular imaging techniques to advance crude-oil characterization, optimize production processes, and foster innovation in exploration and development practices.
6.2. Potential Research Areas
LF-NMR offers several advantages over other testing methods, primarily its non-destructive nature, allowing samples to remain intact for further testing post-analysis. The technique is relatively quick and simple, with measurements typically completed in just a few minutes. Additionally, LF-NMR can provide a comprehensive range of physical and chemical properties from a single measurement, as highlighted in numerous studies. However, LF-NMR also has limitations. It tends to be less precise than HF-NMR and other analytical techniques, and its relatively low signal-to-noise ratio can complicate data interpretation. Moreover, while LF-NMR can determine various parameters, it may be less effective in identifying complex molecular structures and chemical compositions in crude oils.
Exploring potential research areas for low-field NMR presents exciting opportunities to overcome current limitations and unlock new applications in various fields. By delving into enhanced signal-processing techniques tailored for low-field NMR data, researchers can significantly boost sensitivity, resolution, and accuracy in material characterization, addressing challenges in data interpretation and extracting more detailed insights from NMR measurements. Novel approaches to instrument design offer another avenue for advancement, with optimized hardware solutions capable of mitigating field inhomogeneity issues, improving signal-to-noise ratios, and enhancing overall performance. Standardization and calibration protocols play a pivotal role in ensuring result consistency and comparability across different low-field NMR systems, streamlining data acquisition processes, and enhancing measurement reproducibility. Exploring multidisciplinary applications of low-field NMR in fields like materials science, geology, and food science can lead to innovative uses and broaden the technology’s impact. Additionally, conducting validation studies and comparative analyses to assess the accuracy and reliability of low-field NMR measurements against HF-NMR or other techniques can validate its robustness and credibility in diverse research and industrial settings. By focusing on these research areas, the potential for low-field NMR to revolutionize material characterization and scientific exploration across various domains becomes increasingly promising.
7. Conclusions
By reviewing the literature as well as previous studies and applications of LF-NMR in the petroleum industry, we can draw the following major conclusions:
- LF-NMR applications: Demonstrates significant potential in the petroleum industry for applications including SARA composition analysis, viscosity measurements, hydrogen-index determination, and precise water-content quantification in crude-oil emulsions and core analyses.
- Innovative approach: LF-NMR introduces a noninvasive, groundbreaking method for analyzing crude oil, offering advantages over traditional techniques, which often suffer from interference and lack of precision.
- Challenges and limitations:
- -
- Requirement for field shielding.
- -
- High costs of NMR equipment despite its simplicity.
- -
- Need to expand the analysis temperature range.
- -
- Lower precision compared to high-field NMR.
- -
- Relatively low signal-to-noise ratio.
- Advantages: One of the primary benefits of LF-NMR is its non-destructive nature, which enables samples to be preserved intact for subsequent analysis. The technique is relatively rapid and straightforward, in addition to providing unparalleled insights for chemical analysis.
- Future outlook: The convergence of empirical studies and technological advancements indicates a pressing need for further research to fully exploit LF-NMR’s capabilities, particularly in overcoming its limitations and enhancing its precision and applicability.
- Impact on industry: The ceaseless development of LF-NMR technology is destined to profoundly impact the petroleum industry, enhancing our grasp of these products and revolutionizing the analytical approaches employed in their study.
Funding
The Ministry of Science and Higher Education of the Russian Federation under agreement No. 075-15-2022-299 within the framework of the development program for a world-class Research Center “Efficient development of the global liquid hydrocarbon reserves”. Researchers Supporting Project number (RSP2024R368), King Saud University, Riyadh, Saudi Arabia.
Acknowledgments
The authors would like to thank and appreciate the Ministry of Science and Higher Education of the Russian Federation within the framework of the development program for a world-class Research Center “Efficient development of the global liquid hydrocarbon reserves”. The authors would like to extend their sincere appreciation to Researchers Supporting Project number (RSP2024R368), King Saud University, Riyadh, Saudi Arabia.
Conflicts of Interest
The authors declare no conflicts of interest.
References
- Zalesskiy, S.S.; Danieli, E.; Blümich, B.; Ananikov, V.P. Miniaturization of NMR Systems: Desktop Spectrometers, Microcoil Spectroscopy, and “NMR on a Chip” for Chemistry, Biochemistry, and Industry. Chem. Rev. 2014, 114, 5641–5694. [Google Scholar] [CrossRef] [PubMed]
- Johns, M.L.; Fridjonsson, E.O.; Vogt, S.J.; Haber, A. Mobile NMR and MRI: Developments and Applications; Royal Society of Chemistry: London, UK, 2015. [Google Scholar]
- Mitchell, J.; Gladden, L.; Chandrasekera, T.; Fordham, E. Low-field permanent magnets for industrial process and quality control. Prog. Nucl. Magn. Reson. Spectrosc. 2014, 76, 1–60. [Google Scholar] [CrossRef] [PubMed]
- Wang, G.; Xie, H.; Hou, S.; Chen, W.; Yang, X. Development of High-Field Permanent Magnetic Circuits for NMRI/MRI and Imaging on Mice. BioMed Res. Int. 2016, 2016, 8659298. [Google Scholar] [CrossRef]
- Halbach, K. Design of permanent multipole magnets with oriented rare earth cobalt material. Nucl. Instrum. Methods 1980, 169, 3605–3608. [Google Scholar] [CrossRef]
- Rudszuck, T.; Förster, E.; Nirschl, H.; Guthausen, G. Low-field NMR for quality control on oils. Magn. Reson. Chem. 2019, 57, 777–793. [Google Scholar] [CrossRef]
- Guo, J.-C.; Zhou, H.-Y.; Zeng, J.; Wang, K.-J.; Lai, J.; Liu, Y.-X. Advances in low-field nuclear magnetic resonance (NMR) technologies applied for characterization of pore space inside rocks: A critical review. Pet. Sci. 2020, 17, 1281–1297. [Google Scholar] [CrossRef]
- Dean, E.W.; Stark, D.D. A Convenient Method for the Determination of Water in Petroleum and Other Organic Emulsions. J. Ind. Eng. Chem. 1920, 12, 486–490. [Google Scholar] [CrossRef]
- Kazak, E.S.; Kazak, A.V.; Spasennykh, M.; Voropaev, A. Quantity and composition of residual pore water extracted from samples of the bazhenov source rock of West Siberia, Russian Federation. In Proceedings of the 17th International Multidisciplinary Scientific GeoConference (SGEM 2017), Albena, Bulgaria, 27 June–6 July 2017; Volume 29, pp. 829–841. [Google Scholar]
- Nikolaev, M.; Kazak, A. Liquid saturation evaluation in organic-rich unconventional reservoirs: A comprehensive review. Earth-Sci. Rev. 2019, 194, 327–349. [Google Scholar] [CrossRef]
- Olaide, A.J.; Olugbenga, E.; Abimbola, D. A Review of the Application of Nuclear Magnetic Resonance in Petroleum Industry. Int. J. Geosci. 2020, 11, 145–169. [Google Scholar] [CrossRef]
- Li, M.; Li, B.; Zhang, W. Rapid and non-invasive detection and imaging of the hydrocolloid-injected prawns with low-field NMR and MRI. Food Chem. 2018, 242, 16–21. [Google Scholar] [CrossRef]
- Goetz, C.; Breton, E.; Choquet, P.; Israel-Jost, V.; Constantinesco, A. SPECT Low-Field MRI System for Small-Animal Imaging. J. Nucl. Med. 2008, 49, 88–93. [Google Scholar] [CrossRef] [PubMed][Green Version]
- Stapf, S.; Ordikhani-Seyedlar, A.; Mattea, C.; Kausik, R.; Freed, D.E.; Song, Y.-Q.; Hürlimann, M.D. Fluorine tracers for the identification of molecular interaction with porous asphaltene aggregates in crude oil. Microporous Mesoporous Mater. 2015, 205, 56–60. [Google Scholar] [CrossRef]
- Küster, S.K.; Danieli, E.; Blümich, B.; Casanova, F. High-resolution NMR spectroscopy under the fume hood. Phys. Chem. Chem. Phys. 2011, 13, 13172–13176. [Google Scholar] [CrossRef]
- Fridjonsson, E.O.; Graham, B.F.; Akhfash, M.; May, E.F.; Johns, M.L. Optimized Droplet Sizing of Water-in-Crude Oil Emulsions Using Nuclear Magnetic Resonance. Energy Fuels 2014, 28, 1756–1764. [Google Scholar] [CrossRef]
- Haber, A.; Akhfash, M.; Loh, C.K.; Aman, Z.M.; Fridjonsson, E.O.; May, E.F.; Johns, M.L. Hydrate Shell Growth Measured Using NMR. Langmuir 2015, 31, 8786–8794. [Google Scholar] [CrossRef] [PubMed]
- Kleinberg, R.L.; Jackson, J.A. An introduction to the history of NMR well logging. Concepts Magn. Reson. 2001, 13, 340–342. [Google Scholar] [CrossRef]
- Sharma, S.; Casanova, F.; Wache, W.; Segre, A.; Blümich, B. Analysis of historical porous building materials by the NMR-MOUSE®. Magn. Reson. Imaging 2003, 21, 249–255. [Google Scholar] [CrossRef]
- Guthausen, A.; Zimmer, G.; Blümler, P.; Blümich, B. Analysis of Polymer Materials by Surface NMR via the MOUSE. J. Magn. Reson. 1998, 130, 1–7. [Google Scholar] [CrossRef] [PubMed]
- Pedersen, H.; Ablett, S.; Martin, D.; Mallett, M.; Engelsen, S. Application of the NMR-MOUSE to food emulsions. J. Magn. Reson. 2003, 165, 49–58. [Google Scholar] [CrossRef]
- Blümich, B.; Casanova, F.; Appelt, S. NMR at low magnetic fields. Chem. Phys. Lett. 2009, 477, 231–240. [Google Scholar] [CrossRef]
- Blümich, B. Introduction to compact NMR: A review of methods. TrAC Trends Anal. Chem. 2016, 83, 2–11. [Google Scholar] [CrossRef]
- Halse, M.E. Perspectives for hyperpolarisation in compact NMR. TrAC Trends Anal. Chem. 2016, 83, 76–83. [Google Scholar] [CrossRef]
- Volkov, V.Y.; Al-Muntaser, A.A.; Varfolomeev, M.A.; Khasanova, N.M.; Sakharov, B.V.; Suwaid, M.A.; Djimasbe, R.; Galeev, R.I.; Nurgaliev, D.K. Low-field NMR-relaxometry as fast and simple technique for in-situ determination of SARA-composition of crude oils. J. Pet. Sci. Eng. 2021, 196, 107990. [Google Scholar] [CrossRef]
- Barbosa, L.L.; Kock, F.V.; Almeida, V.M.; Menezes, S.M.; Castro, E.V. Low-field nuclear magnetic resonance for petroleum distillate characterization. Fuel Process. Technol. 2015, 138, 202–209. [Google Scholar] [CrossRef]
- ASTM D1250-08(2013); Standard Guide for Use of the Petroleum Measurement Tables. ASTM International: West Conshohocken, PA, USA, 2013.
- Rakhmatullin, I.; Efimov, S.; Tyurin, V.; Al-Muntaser, A.; Klimovitskii, A.; Varfolomeev, M.; Klochkov, V. Application of high resolution NMR (1H and 13C) and FTIR spectroscopy for characterization of light and heavy crude oils. J. Pet. Sci. Eng. 2018, 168, 256–262. [Google Scholar] [CrossRef]
- Rakhmatullin, I.; Efimov, S.; Margulis, B.; Klochkov, V. Qualitative and quantitative analysis of oil samples extracted from some Bashkortostan and Tatarstan oilfields based on NMR spectroscopy data. J. Pet. Sci. Eng. 2017, 156, 12–18. [Google Scholar] [CrossRef]
- Kalabin, G.A.; Kanitskaya, L.V.; Kushnarev, D.F. Quantitative NMR Spectroscopy of Natural Organic Feedstock and Its Processing Products; Khimiya: Moscow, Russia, 2000; p. 408. [Google Scholar]
- Makhiyanov, N.; Safin, D.K. An NMR study of the structure and molecular characteristics of polyether block copolymers based on propylene oxide and ethylene oxide. Polym. Sci. Ser. B 2006, 48, 37–45. [Google Scholar] [CrossRef]
- Stothers, J. Carbon-13 NMR Spectroscopy: Organic Chemistry; A Series of Monographs; Elsevier: Amsterdam, The Netherlands, 2012; Volume 24. [Google Scholar]
- Abdulkadir, I.; Uba, S.; Almustapha, M.N. A Rapid Method of Crude Oil Analysis Using FT-IR Spectroscopy. Niger. J. Basic Appl. Sci. 2016, 24, 47. [Google Scholar] [CrossRef]
- Borrego, A.G.; Blanco, C.G.; Prado, J.G.; Díaz, C.; Guillén, M.D. 1H NMR and FTIR Spectroscopic Studies of Bitumen and Shale Oil from Selected Spanish Oil Shales. Energy Fuels 1996, 10, 77–84. [Google Scholar] [CrossRef]
- Sanchez-Minero, F.; Ancheyta, J.; Silva-Oliver, G.; Flores-Valle, S. Predicting SARA composition of crude oil by means of NMR. Fuel 2013, 110, 318–321. [Google Scholar] [CrossRef]
- Urdal, K.; Vogt, N.; Sporstøl, S.; Lichtenthaler, R.; Mostad, H.; Kolset, K.; Nordenson, S.; Esbensen, K. Classification of weathered crude oils using multimethod chemical analysis, statistical methods and SIMCA pattern recognition. Mar. Pollut. Bull. 1986, 17, 366–373. [Google Scholar] [CrossRef]
- Lira, L.d.F.B.d.; de Vasconcelos, F.V.C.; Pereira, C.F.; Paim, A.P.S.; Stragevitch, L.; Pimentel, M.F. Prediction of properties of diesel/biodiesel blends by infrared spectroscopy and multivariate calibration. Fuel 2010, 89, 405–409. [Google Scholar] [CrossRef]
- Masili, A.; Puligheddu, S.; Sassu, L.; Scano, P.; Lai, A. Prediction of physical–chemical properties of crude oils by 1H NMR analysis of neat samples and chemometrics. Magn. Reson. Chem. 2012, 50, 729–738. [Google Scholar] [CrossRef] [PubMed]
- Muhammad, A.; de Vasconcellos Azeredo, R.B. 1H NMR spectroscopy and low-field relaxometry for predicting viscosity and API gravity of Brazilian crude oils—A comparative study. Fuel 2014, 130, 126–134. [Google Scholar] [CrossRef]
- Falla, F.; Larini, C.; Le Roux, G.; Quina, F.; Moro, L.; Nascimento, C. Characterization of crude petroleum by NIR. J. Pet. Sci. Eng. 2006, 51, 127–137. [Google Scholar] [CrossRef]
- De Paulo, E.H.; Folli, G.S.; Nascimento, M.H.C.; Moro, M.K.; da Cunha, P.H.P.; Castro, E.V.R.; Neto, A.C.; Filgueiras, P.R. Particle swarm optimization and ordered predictors selection applied in NMR to predict crude oil properties. Fuel 2020, 279, 118462. [Google Scholar] [CrossRef]
- Ali, L.H.; Al-Ghannam, K.A.; Al-Rawi, J.M. Chemical structure of asphaltenes in heavy crude oils investigated by n.m.r. Fuel 1990, 69, 519–521. [Google Scholar] [CrossRef]
- Kök, M.V.; Varfolomeev, M.A.; Nurgaliev, D.K. Determination of SARA fractions of crude oils by NMR technique. J. Pet. Sci. Eng. 2019, 179, 1–6. [Google Scholar]
- Volkov, V.Y.; Sakharov, B.V.; Khasanova, N.M.; Nurgaliev, D.K. Analysis of the composition and properties of heavy oils in situ by Low Field NMR relaxation method. Georesursy 2018, 20, 308–323. [Google Scholar] [CrossRef]
- Sassu, L.; Puligheddu, S.; Puligheddu, C.; Palomba, S.; Muru, E.; Mattia, C.; Allevi, C. Application of benchtop low-field NMR spectrometers in the refining industry: A multivariate calibration approach for rapid characterization of crude oils. Magn. Reson. Chem. 2020, 58, 1222–1233. [Google Scholar] [CrossRef]
- Barbosa, L.L.; Kock, F.V.C.; Silva, R.C.; Freitas, J.C.C.; Lacerda, V., Jr.; Castro, E.V.R. Application of low-field NMR for the determination of physical properties of petroleum fractions. Energy Fuels 2013, 27, 673–679. [Google Scholar] [CrossRef]
- ASTM D4052-11; Standard Test Method for Density, Relative Density, and API Gravity of Liquids by Digital Density Meter. ASTM International: West Conshohocken, PA, USA, 2011.
- Duarte, L.M.; Filgueiras, P.R.; Silva, S.R.; Dias, J.C.; Oliveira, L.M.; Castro, E.V.; de Oliveira, M.A. Determination of some physicochemical properties in Brazilian crude oil by 1H NMR spectroscopy associated to chemometric approach. Fuel 2016, 181, 660–669. [Google Scholar] [CrossRef]
- Filgueiras, P.R.; Alves, J.C.L.; Sad, C.M.; Castro, E.V.; Dias, J.C.; Poppi, R.J. Evaluation of trends in residuals of multivariate calibration models by permutation test. Chemom. Intell. Lab. Syst. 2014, 133, 33–41. [Google Scholar] [CrossRef]
- Molina, D.; Uribe, U.N.; Murgich, J. Correlations between SARA fractions and physicochemical properties with 1H NMR spectra of vacuum residues from Colombian crude oils. Fuel 2010, 89, 185–192. [Google Scholar] [CrossRef]
- Jingyan, L.; Xiaoli, C.; Songbai, T. Research on Determination of Total Acid Number of Petroleum Using Mid-infrared Attenuated Total Reflection Spectroscopy. Energy Fuels 2012, 26, 5633–5637. [Google Scholar] [CrossRef]
- Kennard, R.W.; Stone, L.A. Computer Aided Design of Experiments. Technometrics 1969, 11, 137. [Google Scholar] [CrossRef]
- Barnes, R.J.; Dhanoa, M.S.; Lister, S.J. Standard Normal Variate Transformation and De-Trending of Near-Infrared Diffuse Reflectance Spectra. Appl. Spectrosc. 1989, 43, 772–777. [Google Scholar] [CrossRef]
- Sandor, M.; Cheng, Y.; Chen, S. Improved Correlations for Heavy-Oil Viscosity Prediction with NMR. J. Pet. Sci. Eng. 2016, 147, 416–426. [Google Scholar] [CrossRef]
- Valderrama, P.; Braga, J.W.B.; Poppi, R.J. Variable Selection, Outlier Detection, and Figures of Merit Estimation in a Partial Least-Squares Regression Multivariate Calibration Model. A Case Study for the Determination of Quality Parameters in the Alcohol Industry by Near-Infrared Spectroscopy. J. Agric. Food Chem. 2007, 55, 8331–8338. [Google Scholar] [CrossRef]
- Filgueiras, P.R.; Portela, N.A.; Silva, S.R.C.; Castro, E.V.R.; Oliveira, L.M.S.L.; Dias, J.C.M.; Neto, A.C.; Romao, W.; Poppi, R.J. Determination of saturates, aromatics, and polars in crude oil by 13C NMR and support vector regression with variable selection by genetic algorithm. Energy Fuels 2016, 30, 1972–1978. [Google Scholar] [CrossRef]
- Bryan, J.; Kantzas, A.; Bellehmeur, B. Oil Viscosity Predictions from Low Field NMR Measurements. J. SPE Reserv. Eval. Eng. 2005, 8, 44–52. [Google Scholar] [CrossRef]
- Kashaev, R.S. Viscosity Correlations with Nuclear (Proton) Magnetic Resonance Relaxation in Oil Disperse Systems. Appl. Magn. Reson. 2018, 49, 309–325. [Google Scholar] [CrossRef]
- Poletaeva, O.Y.; Kolchina, G.Y.; Leontev, A.Y.; Babayev, E.R.; Movsumzade, E.M. Study of composition of high-viscous heavy oils by method of nuclear magnetic resonant spectroscopy. ChemChemTech 2021, 64, 52–58. [Google Scholar] [CrossRef]
- Allsopp, K.; Wright, I.; Lastockin, D.; Mirotchnik, K.; Kantzas, A. Determination of Oil and Water Compositions of Oil/Water Emulsions Using Low Field NMR Relaxometry. J. Can. Pet. Technol. 2001, 40, PETSOC-01-07-05. [Google Scholar] [CrossRef]
- Smets, K.; Adriaensens, P.; Vandewijngaarden, J.; Stals, M.; Cornelissen, T.; Schreurs, S.; Carleer, R.; Yperman, J. Water content of pyrolysis oil: Comparison between Karl Fischer titration, GC/MS-corrected azeotropic distillation and 1H NMR spectroscopy. J. Anal. Appl. Pyrolysis 2011, 90, 100–105. [Google Scholar] [CrossRef]
- Jin, Y.; Zheng, X.; Chi, Y.; Ni, M. Rapid, Accurate Measurement of the Oil and Water Contents of Oil Sludge Using Low-Field NMR. Ind. Eng. Chem. Res. 2013, 52, 2228–2233. [Google Scholar] [CrossRef]
- Liu, J.; Feng, X.-Y.; Wang, D.-S. Determination of water content in crude oil emulsion by LF-NMR CPMG sequence. Pet. Sci. Technol. 2019, 37, 1123–1135. [Google Scholar] [CrossRef]
- Silva, R.C.; Carneiro, G.F.; Barbosa, L.L.; Lacerda, V., Jr.; Freitas, J.C.C.; de Castro, E.V.R. Studies on crude oil-water biphasic mixtures by low-field NMR. Magn. Reson. Chem. 2012, 50, 85–88. [Google Scholar] [CrossRef]
- Ramirez, D.; Kowalczyk, R.M.; Collins, C.D. Characterisation of oil sludges from different sources before treatment: High-field nuclear magnetic resonance (NMR) in the determination of oil and water content. J. Pet. Sci. Eng. 2019, 174, 729–737. [Google Scholar] [CrossRef]
- Wunsch, A.; Mohr, M.; Pfeifer, P. Intensified LOHC-Dehydrogenation Using Multi-Stage Microstructures and Pd-Based Membranes. Membranes 2018, 8, 112. [Google Scholar] [CrossRef]
- LaTorraca, G.; Dunn, K.; Webber, P.; Carlson, R. Low-field NMR determinations of the properties of heavy oils and water-in-oil emulsions. Magn. Reson. Imaging 1998, 16, 659–662. [Google Scholar] [CrossRef]
- Ramaswamy, B.; Kar, D.; De, S. A study on recovery of oil from sludge containing oil using froth flotation. J. Environ. Manag. 2007, 85, 150–154. [Google Scholar] [CrossRef]
- Simpson, A.J.; McNally, D.J.; Simpson, M.J. NMR spectroscopy in environmental research: From molecular interactions to global processes. Prog. Nucl. Magn. Reson. Spectrosc. 2011, 58, 97–175. [Google Scholar] [CrossRef]
- Derome, A.E. Modern NMR Techniques for Chemistry Research; Elsevier: Amsterdam, The Netherlands, 2013. [Google Scholar]
- Nakada, R.; Waseda, A.; Okumura, F.; Takahashi, Y. Impact of the decarboxylation reaction on rare earth elements binding to organic matter: From humic substances to crude oil. Chem. Geol. 2016, 420, 231–239. [Google Scholar] [CrossRef]
- Zubaidy, E.A.; Abouelnasr, D.M. Fuel recovery from waste oily sludge using solvent extraction. Process. Saf. Environ. Prot. 2010, 88, 318–326. [Google Scholar] [CrossRef]
- Bryan, J.L.; Mai, A.T.; Hum, F.M.; Kantzas, A. Oil- and Water-Content Measurements in Bitumen Ore and Froth Samples Using Low-Field NMR. SPE Reserv. Eval. Eng. 2006, 9, 654–663. [Google Scholar] [CrossRef]
- Mirotchnik, K.D.; Allsopp, K.; Kantzas, A.; Curwen, D.; Badry, R. Low-Field NMR Method for Bitumen Sands Characterization: A New Approach. SPE Reserv. Eval. Eng. 2001, 4, 88–96. [Google Scholar] [CrossRef]
- Wright, I.; Lastockin, D.; Allsopp, K.; Evers-Dakers, M.; Kantzas, A. Low Field NMR Water Cut Metering. J. Can. Pet. Technol. 2004, 43, 17–21. [Google Scholar] [CrossRef]
- Bryan, J.; Kantzas, A.; Mirotchnik, K. Viscosity Determination of Heavy Oil and Bitumen Using NMR Relaxometry. J. Can. Pet. Technol. 2003, 42, PETSOC-03-07-02. [Google Scholar] [CrossRef]
- BrBryan, J.; Moon, D.; Kantzas, A. In Situ Viscosity of Oil Sands Using Low Field NMR. J. Can. Pet. Technol. 2005, 44, PETSOC-05-09-02. [Google Scholar]
- Bryan, J.; Kantzas, A.; Badry, R.; Emmerson, J.; Hancsicsak, T. In Situ Viscosity of Heavy Oil: Core and Log Calibrations. J. Can. Pet. Technol. 2006, 46, PETSOC-07-11-04. [Google Scholar]
- Manalo, F.; Kantzas, A. Clarifying the contribution of clay bound water and heavy oil to NMR spectra of unconsolidated samples. In Proceedings of the Canadian International Petroleum Conference, Calgary, AB, Canada, 10–12 June 2003. [Google Scholar]
- Bryan, J.L.; Manalo, F.P.; Wen, Y.; Kantzas, A. Advances in heavy oil and water property measurements using low field nuclear magnetic resonance. In Proceedings of the SPE International Thermal Operations and Heavy Oil Symposium and International Horizontal Well Technology Conference, Calgary, AB, Canada, 20–23 October 2002. [Google Scholar]
- Manalo, F.; Ding, M.; Bryan, J.; Kantzas, A. Separating the signals from clay bound water and heavy oil in NMR spectra of unconsolidated samples. In Proceedings of the SPE Annual Technical Conference and Exhibition, Denver, CO, USA, 3–4 October 2003. [Google Scholar]
- Yi, L.; Ding, J. NMR principle analysis based object detection for intelligent measurement of crude oil moisture content. In Proceedings of the 2019 12th Asian Control Conference (ASCC), Kitakyushu, Japan, 9–12 June 2019; pp. 456–461. [Google Scholar]
- Rodrigues, E.V.; Silva, S.R.; Romão, W.; Castro, E.V.; Filgueiras, P.R. Determination of crude oil physicochemical properties by high-temperature gas chromatography associated with multivariate calibration. Fuel 2018, 220, 389–395. [Google Scholar] [CrossRef]
- Edwards, J.C. Applications of NMR spectroscopy in petroleum chemistry. In Spectroscopic Analysis of Petroleum Products and Lubricants; ASTM International: Conshohocken, PA, USA, 2010. [Google Scholar]
- Mejia-Miranda, C.; Laverde, D.; Molina, V.D. Correlation for Predicting Corrosivity of Crude Oils Using Proton Nuclear Magnetic Resonance and Chemometric Methods. Energy Fuels 2015, 29, 7595–7600. [Google Scholar] [CrossRef]
- Felzenszwalb, P.F.; Huttenlocher, D.P. Efficient Graph-Based Image Segmentation. Int. J. Comput. Vis. 2004, 59, 167–181. [Google Scholar] [CrossRef]
- Kang, E.; Park, H.R.; Yoon, J.; Yu, H.-Y.; Chang, S.-K.; Kim, B.; Choi, K.; Ahn, S. A simple method to determine the water content in organic solvents using the H-1 NMR chemical shifts differences between water and solvent. Microchem. J. 2018, 138, 395–400. [Google Scholar] [CrossRef]
- Lei, Y.; Li, H.; Pan, H.; Han, S. Structures and hydrogen bonding analysis of N, N-dimethylformamide and N, N-dimethylformamide–water mixtures by molecular dynamics simulations. J. Phys. Chem. A 2003, 107, 1574–1583. [Google Scholar] [CrossRef]
- Venables, D.S.; Schmuttenmaer, C.A. Spectroscopy and dynamics of mixtures of water with acetone, acetonitrile, and methanol. J. Chem. Phys. 2000, 113, 11222–11236. [Google Scholar] [CrossRef]
- Mizuno, K.; Ochi, T.; Shindo, Y. Hydrophobic hydration of acetone probed by nuclear magnetic resonance and infrared: Evidence for the interaction C–H⋯OH2. J. Chem. Phys. 1998, 109, 9502–9507. [Google Scholar] [CrossRef]
- Abraham, R.J.; Griffiths, L.; Perez, M. 1H NMR spectra part 31: 1H chemical shifts of amides in DMSO solvent. Magn. Reson. Chem. 2014, 52, 395–408. [Google Scholar] [CrossRef]
- Bayle, K.; Julien, M.; Remaud, G.S.; Akoka, S. Suppression of radiation damping for high precision quantitative NMR. J. Magn. Reson. 2015, 259, 121–125. [Google Scholar] [CrossRef]
- Krishnan, V.; Murali, N. Radiation damping in modern NMR experiments: Progress and challenges. Prog. Nucl. Magn. Reson. Spectrosc. 2013, 68, 41–57. [Google Scholar] [CrossRef]
- Jun, J.K.; Park, H.R.; Lee, Y.; Gil Choi, M.; Chang, S.-K.; Ahn, S. Determination of Water Content in THF Based on Chemical Shift Differences in Solution NMR. Bull. Korean Chem. Soc. 2016, 37, 411–414. [Google Scholar] [CrossRef]
- Dougherty, R.C. Temperature and pressure dependence of hydrogen bond strength: A perturbation molecular orbital approach. J. Chem. Phys. 1998, 109, 7372–7378. [Google Scholar] [CrossRef]
- Findeisen, M.; Brand, T.; Berger, S. A 1H-NMR thermometer suitable for cryoprobes. Magn. Reson. Chem. 2007, 45, 175–178. [Google Scholar] [CrossRef]
- Brown, R.J.S. Proton Relaxation in Crude Oils. Nature 1961, 189, 387–388. [Google Scholar] [CrossRef]
- Kleinberg, R.L.; Vinegar, H.J. NMR properties of reservoir fluids. Log Anal. 1996, 37, 20–32. [Google Scholar]
- Wan, K.; Li, M.; Huang, T.; Zhang, W.; Zhang, T.; Li, X.; Wang, H.; Lv, J. Accurate Determination of Trace Water in Organic Solution by Quantitative Nuclear Magnetic Resonance. Anal. Chem. 2023, 95, 15673–15680. [Google Scholar] [CrossRef]
- Zhaxi, Q.; Zhou, H.; Long, Z.; Guo, J.; Zhou, Y.; Zhang, Z. Nondestructive Measurement of the Water Content in Building Materials by Single-Sided NMR-MOUSE. Sustainability 2023, 15, 11096. [Google Scholar] [CrossRef]
- Daigle, H.; Johnson, A.; Gips, J.P.; Sharma, M. Porosity evaluation of shales using NMR secular relaxation. In Proceedings of the Unconventional Resources Technology Conference, Denver, CO, USA, 25–27 August 2014; pp. 1205–1216. [Google Scholar]
- Ding, S.; Jia, H.; Zi, F.; Dong, Y.; Yao, Y. Frost Damage in Tight Sandstone: Experimental Evaluation and Interpretation of Damage Mechanisms. Materials 2020, 13, 4617. [Google Scholar] [CrossRef]
- Flinchum, B.A.; Holbrook, W.S.; Parsekian, A.D.; Carr, B.J. Characterizing the Critical Zone Using Borehole and Surface Nuclear Magnetic Resonance. Vadose Zone J. 2019, 18, 1–18. [Google Scholar] [CrossRef]
- Walsh, D.O.; Grunewald, E.D.; Turner, P.; Hinnell, A.; Ferre, T.P. Surface NMR instrumentation and methods for detecting and characterizing water in the vadose zone. Near Surf. Geophys. 2014, 12, 271–284. [Google Scholar] [CrossRef]
- Benavides, F.; Leiderman, R.; Souza, A.; Carneiro, G.; Bagueira, R. Estimating the surface relaxivity as a function of pore size from NMR T2 distributions and micro-tomographic images. Comput. Geosci. 2017, 106, 200–208. [Google Scholar] [CrossRef]
- Bryar, T.R.; Daughney, C.J.; Knight, R.J. Paramagnetic Effects of Iron(III) Species on Nuclear Magnetic Relaxation of Fluid Protons in Porous Media. J. Magn. Reson. 2000, 142, 74–85. [Google Scholar] [CrossRef]
- Chi, L.; Heidari, Z. Diffusional coupling between microfractures and pore structure and its impact on nuclear magnetic resonance measurements in multiple-porosity systems. Geophysics 2015, 80, D31–D42. [Google Scholar] [CrossRef]
- Arnold, J.; Clauser, C.; Pechnig, R.; Anferova, C.; Anferov, V.; Blümich, B. Porosity and permeability from mobile NMR core-scanning. Petrophysics-SPWLA J. Form. Eval. Reserv. Descr. 2006, 47, SPWLA-2006-v47n4a2. [Google Scholar]
- Liu, H.; Xiao, L.; Zong, F.; D’Eurydice, M.N.; Galvosas, P. Permeability Profiling of Rock Cores Using a Novel Spatially Resolved NMR Relaxometry Method: Preliminary Results from Sandstone and Limestone. J. Geophys. Res. Solid Earth 2019, 124, 4601–4616. [Google Scholar] [CrossRef]
- Da Silva, J.C.X.; Stael, G.C.; Bermudez, S.L.B.; Aguilera, L.J.A.; de Vasconcellos Azeredo, R.B. Methodology for the Permeability Prediction using Spatial Encoding of the Magnetic Field in Nuclear Magnetic Resonance (NMR). Braz. J. Geophys. 2021, 39, 93–102. [Google Scholar] [CrossRef]
- Chin, B.; Ali, S.; Mathur, A.; Barnes, C.; Gonten, W.V. Core Effective and Relative Permeability Measurements for Conventional and Unconventional Reservoirs by Saturation Monitoring in High Frequency 3d Gradient NMR. In Proceedings of the SPE Middle East Oil and Gas Show and Conference 2021, Sanabis, Bahrain, 28 November–1 December 2021; p. D041S047R003. [Google Scholar]
- Pape, H.; Arnold, J.; Pechnig, R.; Clauser, C.; Talnishnikh, E.; Anferova, S.; Blümich, B. Permeability prediction for low porosity rocks by mobile NMR. Pure Appl. Geophys. 2009, 166, 1125–1163. [Google Scholar] [CrossRef]
- Carneiro, G.; Souza, A.; Boyd, A.; Schwartz, L.; Song, Y.-Q.; Azeredo, R.; Trevizan, W.; Santos, B.; Rios, E.; Machado, V. Evaluating pore space connectivity by NMR diffusive coupling. In Proceedings of the SPWLA Annual Logging Symposium, Abu Dhabi, United Arab Emirates, 18–22 May 2014; p. SPWLA-2014. [Google Scholar]
- Elsayed, M.; Isah, A.; Hiba, M.; Hassan, A.; Al-Garadi, K.; Mahmoud, M.; El-Husseiny, A.; Radwan, A.E. A review on the applications of nuclear magnetic resonance (NMR) in the oil and gas industry: Laboratory and field-scale measurements. J. Pet. Explor. Prod. Technol. 2022, 12, 2747–2784. [Google Scholar] [CrossRef]
- Liang, C.; Xiao, L.; Zhou, C.; Wang, H.; Hu, F.; Liao, G.; Jia, Z.; Liu, H. Wettability characterization of low-permeability reservoirs using nuclear magnetic resonance: An experimental study. J. Pet. Sci. Eng. 2019, 178, 121–132. [Google Scholar] [CrossRef]
- Sauerer, B.; Valori, A.; Krinis, D.; Abdallah, W. NMR wettability of carbonate reservoir cores: Best practices. In Proceedings of the SPE Middle East Oil and Gas Show and Conference, Manama, Bahrain, 18–21 March 2019; p. D031S020R004. [Google Scholar]
- Tandon, S.; Newgord, C.; Heidari, Z. Wettability Quantification in Mixed-Wet Rocks Using a New NMR-Based Method. SPE Reserv. Eval. Eng. 2020, 23, 0896–0916. [Google Scholar] [CrossRef]
- Liang, C.; Xiao, L.; Zhou, C.; Zhang, Y.; Liao, G.; Jia, Z. Two-dimensional nuclear magnetic resonance method for wettability determination of tight sand. Magn. Reson. Imaging 2019, 56, 144–150. [Google Scholar] [CrossRef] [PubMed]
- Hum, F.; Kantzas, A. Using Low-Field NMR to Determine Wettability of, and Monitor Fluid Uptake in, Coated and Uncoated Sands. J. Can. Pet. Technol. 2006, 45, PETSOC-06-07-01. [Google Scholar] [CrossRef]
- Looyestijn, W. Practical Approach to Derive Wettability Index by NMR in Core Analysis Experiments. Petrophysics 2019, 60, 507–513. [Google Scholar] [CrossRef]
Disclaimer/Publisher’s Note: The statements, opinions and data contained in all publications are solely those of the individual author(s) and contributor(s) and not of MDPI and/or the editor(s). MDPI and/or the editor(s) disclaim responsibility for any injury to people or property resulting from any ideas, methods, instructions or products referred to in the content. |
© 2024 by the authors. Licensee MDPI, Basel, Switzerland. This article is an open access article distributed under the terms and conditions of the Creative Commons Attribution (CC BY) license (https://creativecommons.org/licenses/by/4.0/).




