Performance Analysis of a New Cogeneration System with Efficient Utilization of Waste Heat Resources and Energy Conversion Capabilities
Abstract
1. Introduction
2. System Introduction and Model Establishment
2.1. System Description
2.2. Physical Properties of Working Fluid
2.3. Model Assumptions
- (1)
- The system is in steady state;
- (2)
- When the working fluid flows in the heat exchanger and connecting pipe, the pressure drop and heat loss are not considered;
- (3)
- The compression process is adiabatic but not isentropic;
- (4)
- State points 7, 8, 10, 13, 15, 18 are saturated;
- (5)
- The refrigerant does not contain lubricating oil;
- (6)
- The pressure of condenser2 and generator is the same, the pressure of the absorber and evaporator3 is the same;
- (7)
- The power consumption, concentration, temperature, enthalpy, and entropy before and after throttle valve3 and working fluid pump2 are not considered;
2.4. Energy Thermodynamic Model
- CHP cycle system:
- (i)
- Work input to compressor:
- (ii)
- Heating effect of gas cooler:
- (iii)
- Refrigerating effect of evaporator2:
- (iv)
- Refrigerating effect of gas heat exchanger:
- (v)
- Mass flow of CO2:
- (vi)
- (vii)
- COP of CO2 heat pump cycle:
- ORC system:
- (i)
- Work output of expander:
- (ii)
- Power consumption of pump:
- (iii)
- Refrigerating effect of evaporator1:
- (v)
- Heating effect of condenser1:
- (vi)
- Mass flow of R245fa (ORC cycle):
- (vii)
- Thermal efficiency of ORC cycle:where ηpump is the isentropic efficiency of the working fluid pump, ηt is the isentropic efficiency, ηgen is the power generation efficiency (ηpump = 0.8, ηt = 0.85, ηgen = 1) [41].
- AHP cycle system:
- (i)
- Refrigerating effect of generator:
- (ii)
- Heating effect of absorber:
- (iii)
- Heating effect of condenser2:
- (iv)
- Refrigerating effect of evaporator3:
- (v)
- Effect of heat exchanger:
- (vi)
- Bleeding range:
- (vii)
- Circulation ratio:
- (viii)
- Mass flow of refrigerant (water):
- (ix)
- Mass flow of strong solution:
- (x)
- Mass flow of weak solution:
- (xi)
- Energy earnings coefficient of AHP system:where, ΔX is the discharge range of the absorption heat pump, %; xw is the concentration of LiBr weak solution, %; xs is the concentration of LiBr strong solution, %. To maintain the safe and stable operation of the absorption heat pump, the discharge range is generally between 3% and 5%.
- OACCHP system:
- (i)
- Heating COP of system:
- (ii)
- Thermal efficiency of flue gas waste heat [42]:
- (iii)
- Energy earnings coefficient of system:
2.5. Research Steps
2.6. Simulated Conditions
3. Results and Discussion
3.1. Effect of Different Factors on the System Parameters
3.1.1. Effect of Flue Gas Temperature at evaporator1 Outlet on System Parameters
3.1.2. Effect of Condensing Temperature of ORC on System Parameters
3.1.3. Effect of Concentration of LiBr Strong Solution on System Parameters
3.1.4. Effect of Bleeding Range on System Parameters
3.1.5. Effect of Condensing Temperature of AHP on System Parameters
3.1.6. Effect of Evaporation Temperature of AHP on System Parameters
3.1.7. Effect of Evaporation Temperature of CHP on System Parameters
3.1.8. Effect of Outlet Temperature of Gas Cooler on System Parameters
3.2. Effect of Different Factors on System Performance Indexes
3.2.1. Effect of Flue Gas Temperature at evaporator1 Outlet on System Performance Indexes
3.2.2. Effect of Condensing Temperature of ORC on System Performance Indexes
3.2.3. Effect of Concentration of LiBr Strong Solution on System Performance Indexes
3.2.4. Effect of Bleeding Range on System Performance Indexes
3.2.5. Effect of Condensing Temperature of AHP on System Performance Indexes
3.2.6. Effect of Evaporation Temperature of AHP on System Performance Indexes
3.2.7. Effect of Evaporation Temperature of CHP on System Performance Indexes
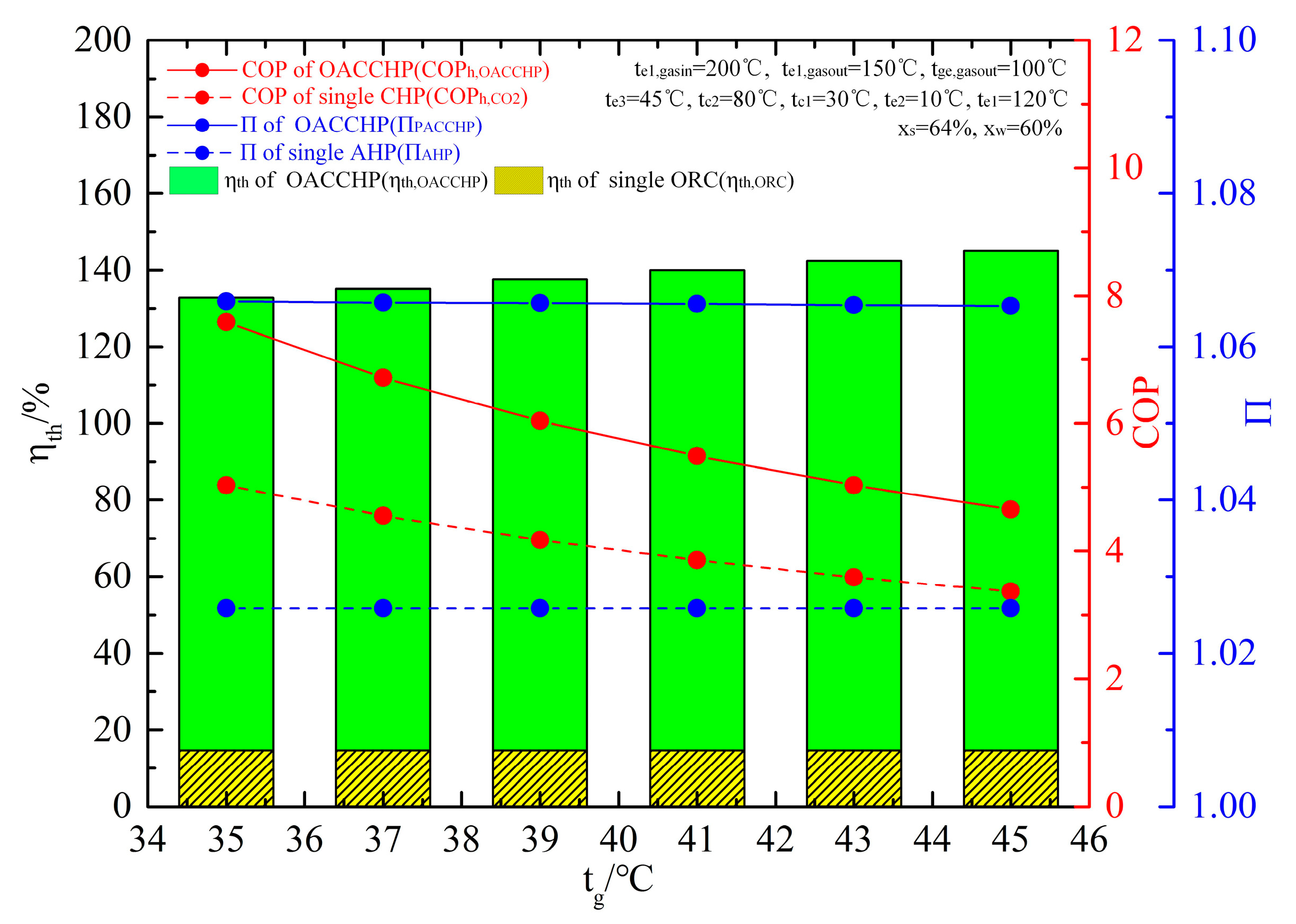
3.2.8. Effect of Outlet Temperature of Gas Cooler on System Performance Indexes
4. Conclusions
- (1)
- The factors of flue gas temperature at evaporator1 outlet and CHP have the greatest effect on the parameters and performance indexes of the OACCHP system.
- (2)
- The effect of AHP on the parameters and performance indexes of the OACCHP system can be ignored.
- (3)
- In the given range of flue gas temperature at evaporator1 outlet, the heat production of total and net work is reduced by 1.17% and 33.33%, respectively. In a given range of CHP evaporation temperature, the heat production of the total is reduced by 5.74%. In the given range of the outlet temperature of the gas cooler, the heat production of the total is increased by 10.58%.
- (4)
- In a given working condition, compared with the single ORC system, the single CHP system, and the single AHP system, the thermal efficiency, COP, and energy earning rate of the OACCHP system are increased by up to 755.49%, 59.8%, and 5.8%, respectively.
- (5)
- For the power generation scenarios, the flue gas temperature at the evaporator1 outlet and the condensation temperature of ORC should be appropriately reduced.
- (6)
- For the heating scenarios, the flue gas temperature at the evaporator1 outlet, the LiBr strong solution concentration, the condensation temperature of AHP should be appropriately reduced, and the condensation temperature of ORC, the bleeding range, the evaporation temperature of AHP, the evaporation temperature of CHP, and the outlet temperature of gas cooler should be appropriately increased.
- (7)
- When increasing COP of the OACCHP system is the main purpose, the flue gas temperature at evaporator1 outlet and the evaporation temperature of CHP should be increased, and the outlet temperature of the gas cooler should be reduced.
- (8)
- When increasing the thermal efficiency of the OACCHP system is the main purpose, the evaporation temperature of CHP should be decreased.
- (9)
- When increasing the energy earning rate of the OACCHP system is the main purpose, the condensation temperature of AHP should be increased, and the evaporation temperature of AHP should be reduced.
Author Contributions
Funding
Data Availability Statement
Conflicts of Interest
Nomenclature
| E | energy |
| f | circulation ratio |
| h | specific enthalpy of state point, kJ/kg |
| m | mass flow, kg/s |
| P | pressure, MPa |
| Q | refrigerating capacity, kW |
| s | specific entropy of state point, kJ/(kg·K) |
| t | temperature, °C |
| W | work input to compressor, kW |
| x | concentration, % |
| Greek symbols | |
| efficiency of compressor | |
| efficiency | |
| ΔX | bleeding range |
| Π | energy earnings coefficient |
| Subscripts | |
| number | state point |
| a | absorber |
| c1 | condenser of ORC |
| c2 | condenser of AHP |
| com | compressor |
| dis | discharge |
| e1 | evaporation of ORC |
| e2 | evaporation of CHP |
| e3 | evaporation of AHP |
| ex | heat echanger of AHP |
| g | gas cooler |
| gas | waste heat flue gas |
| gex | gas heat exchanger |
| gain | output of system |
| ge | generator |
| gen | power generation |
| h | heating |
| in | inlet |
| n | net |
| out | outlet |
| opt | optimal |
| pump | working fluid pump of orc |
| pay | input of system |
| s | strong solution |
| sys | ORC-AHP-CHP system |
| t | turbine or expander |
| th | thermal |
| wa | water |
| w | weak solution |
| Acronyms | |
| AHP | absorption heat pump |
| COP | coefficient of performance |
| CHP | compression heat pump |
| GWP | global warming potential |
| ODP | ozone depleting potential |
| ORC | organic Rankine cycle |
| OACCHP | ORC-AHP-CHP coupled system |
References
- Lakew, A.A.; Bolland, O. Working fluids for low-temperature heat source. Appl. Therm. Eng. 2010, 30, 1262–1268. [Google Scholar] [CrossRef]
- Zhang, S.J.; Wang, H.X.; Tao, G. Performance comparison and parametric optimization of subcritical Organic Rankine Cycle (ORC) and transcritical power cycle system for low-temperature geothermal power generation. Appl. Energy 2011, 88, 2740–2754. [Google Scholar]
- Wang, H.L.; Peterson, R.; Herron, T. Design study of configurations on system COP for a combined ORC (organic Rankine cycle) and VCC (vapor compression cycle). Energy 2011, 36, 4809–4820. [Google Scholar]
- Sprouse, I.C.; Depcik, C. Review of organic Rankine cycles for internal combustion engine exhaust waste heat recovery. Appl. Therm. Eng. 2013, 51, 711–722. [Google Scholar] [CrossRef]
- Maraver, D.; Sin, A.; Royo, J.; Sebastián, F. Assessment of CCHP systems based on biomass combustion for small-scale applications through a review of the technology and analysis of energy efficiency parameters. Appl. Energy 2013, 102, 1303–1313. [Google Scholar] [CrossRef]
- Mohammadi, A.; Ahmadi, M.H.; Bidi, M.; Joda, F.; Valero, A.; Uson, S. Exergy analysis of a combined cooling, heating and power system integrated with wind turbine and compressed air energy storage system. Energy Convers. Manag. 2017, 131, 69–78. [Google Scholar] [CrossRef]
- Brueckner, S.; Miro, L.; Cabeza, L.F.; Pehnt, M.; Laevemann, E. Methods to estimate the industrial waste heat potential of regions-A categorization and literature review. Renew. Sustain. Energy Rev. 2014, 38, 164–171. [Google Scholar] [CrossRef]
- Song, J.; Song, Y.; Gu, C.W. Thermodynamic analysis and performance optimization of an Organic Rankine Cycle (ORC) waste heat recovery system for marine diesel engines. Energy Convers. Manag. 2015, 82, 976–985. [Google Scholar] [CrossRef]
- Mikielewicz, D.; Wajs, J.; Ziółkowski, P.; Mikielewicz, J. Utilisation of waste heat from the power plant by use of the ORC aided with bleed steam and extra source of heat. Energy 2016, 97, 11–19. [Google Scholar] [CrossRef]
- Loni, R.; Najafi, G.; Bellos, E.; Rajaee, F.; Said, Z.; Mazlan, M. A review of industrial waste heat recovery system for power generation with Organic Rankine Cycle: Recent challenges and future outlook. J. Clean. Prod. 2021, 287, 125070. [Google Scholar]
- Sun, D.H.; Liu, Z.Y.; Zhang, H.; Zhang, X. Performance analysis of a new mechanical superheat coupled-orc refrigeration system with thermoelectric conversion. Appl. Therm. Eng. 2023, 229, 120627. [Google Scholar] [CrossRef]
- Nondy, J.; Gogoi, T.K. Exergoeconomic investigation and multi-objective optimization of different ORC configurations for waste heat recovery: A comparative study. Energy Convers. Manag. 2021, 245, 114593. [Google Scholar] [CrossRef]
- Soltani, M.; Nabat, M.H.; Razmi, A.R.; Dusseault, M.B.; Nathwani, J. A comparative study between ORC and Kalina based waste heat recovery cycles applied to a green compressed air energy storage (CAES) system. Energy Convers. Manag. 2020, 222, 113203. [Google Scholar] [CrossRef]
- Wang, F.; Wang, L.; Zhang, H.C.; Xia, L.; Miao, H.; Yuan, J.L. Design and optimization of hydrogen production by solid oxide electrolyzer with marine engine waste heat recovery and ORC cycle. Energy Convers. Manag. 2021, 229, 113775. [Google Scholar] [CrossRef]
- Wei, D.H.; Lu, X.S.; Lu, Z.; Gu, J.M. Performance analysis and optimization of organic Rankine cycle (ORC) for waste heat recovery. Energy Convers. Manag. 2007, 48, 1113–1119. [Google Scholar] [CrossRef]
- Wang, E.H.; Zhang, H.G.; Fan, B.Y.; Ouyang, M.G.; Zhao, Y.; Mu, Q.H. Study of working fluid selection of organic Rankine cycle (ORC) for engine waste heat recovery. Energy 2011, 36, 3406–3418. [Google Scholar] [CrossRef]
- Alghamdi, M.; AI-Kharsan, I.; Shahab, S.; Albaker, A.; Alayi, R.; Kumar, L.; Assad ME, H. Investigation of Energy and Exergy of Geothermal Organic Rankine Cycle. Energies 2023, 16, 2222. [Google Scholar] [CrossRef]
- Cao, X.Q.; Yang, W.W.; Zhou, F.; He, Y.L. Performance analysis of different high-temperature heat pump systems for low-grade waste heat recovery. Appl. Therm. Eng. 2014, 71, 291–300. [Google Scholar] [CrossRef]
- Hu, B.; Liu, H.; Jiang, J.T.; Zhang, Z.P.; Li, H.B.; Wang, R.Z. Ten megawatt scale vapor compression heat pump for low temperature waste heat recovery: Onsite application research. Energy 2022, 238, 121699. [Google Scholar] [CrossRef]
- Mateu-Royo, C.; Arpagaus, C.; Mota-babiloni, A.; Navarro-Esbri, J.; Bertsch, S.S. Advanced high temperature heat pump configurations using low GWP refrigerants for industrial waste heat recovery: A comprehensive study. Energy Convers. Manag. 2021, 229, 113752. [Google Scholar] [CrossRef]
- Hou, J.; Che, D.; Liu, Y.; Jiang, Q.W. A new system of absorption heat pump vs boiler for recovering heat and water vapor in flue gas. Energy Procedia 2018, 152, 1266–1271. [Google Scholar] [CrossRef]
- Lars, W.; Roger, H.; Jonathan, F. Flue gas purification and heat recovery: A biomass fired boiler supplied with an open absorption system. Appl. Energy 2012, 96, 444–450. [Google Scholar]
- Xu, Z.Y.; Gao, J.T.; Mao, H.C. Double-section absorption heat pump for the deep recovery of low-grade waste heat. Energy Convers. Manag. 2020, 220, 113072. [Google Scholar] [CrossRef]
- Ma, Z.; Bao, H.; Roskilly, A.P. Numerical studyof ahybrid absorption-compression high temperature heat pump for industrial waste heat recovery. Front. Energy 2017, 11, 503–509. [Google Scholar] [CrossRef]
- Yang, S.; Deng, C.; Liu, Z. Optimal design and analysis of a cascade LiBr/H2O absorption refrigeration/transcritical CO2 process for low-grade waste heat recovery. Energy Convers. Manag. 2019, 192, 232–242. [Google Scholar] [CrossRef]
- Sun, J.; Ge, Z.H.; Fu, L. Investigation on LiBr-H2O double evaporation-absorption heat pump (DEAHP) for heat recovery under lower driving sources. Appl. Therm. Eng. 2017, 125, 978–985. [Google Scholar] [CrossRef]
- Assad, M.E.H.; Sadeghzadeh, M.; Ahmadi, M.H.; Al-Shabi, M.; Albawab, M.; Anvari-Moghaddam, A.; Hani, E.B. Space cooling using geothermal single-effect water/lithium bromide absorption chiller. Energy Sci. Eng. 2021, 9, 1747–1760. [Google Scholar] [CrossRef]
- Chang, H.W.; Wan, Z.M.; Zheng, Y.; Chen, X.; Shu, S.M.; Tu, Z.K.; Chan, S.H. Energy-and exergy-based working fluid selection and performance analysis of a high-temperature PEMFC-based micro combined cooling heating and power system. Appl. Energy 2017, 204, 446–458. [Google Scholar] [CrossRef]
- Pan, M.A.; Lu, F.L.; Zhu, Y.; Huang, G.C.; Yin, J.W.; Huang, F.C.; Chen, G.S. Thermodynamic, exergoeconomic and multi-objective optimization analysis of new ORC and heat pump system for waste heat recovery in waste-to-energy combined heat and power plant. Energy Convers. Manag. 2020, 222, 113200. [Google Scholar] [CrossRef]
- Ebrahimi-Moghadam, A.; Moghadam, A.J.; Farzaneh-Gord, M. Comprehensive techno-economic and environmental sensitivity analysis and multi-objective optimization of a novel heat and power system for natural gas city gate stations. J. Clean. Prod. 2020, 262, 121261. [Google Scholar]
- Xie, D.; Wang, Z.; Jin, L.; Zhang, Y. Energy and exergy analysis of a fuel cell based micro combined heat and power cogeneration system. Energy Build. 2012, 50, 266–272. [Google Scholar] [CrossRef]
- Obi, J.B. State of Art on ORC Applications for Waste Heat Recovery and Micro-cogeneration for Installations up to 100kW. Energy Procedia 2015, 82, 994–1001. [Google Scholar] [CrossRef]
- Holik, M.; Zivic, M.; Virag, Z.; Barac, A.; Vujanovic, M.; Avsec, J. Thermo-economic optimization of a Rankine cycle used for waste-heat recovery in biogas cogeneration plants. Energy Convers. Manag. 2021, 232, 113897. [Google Scholar] [CrossRef]
- Pantaleo, A.M.; Fordham, J.; Oyewunmi, O.A.; Palma, P.D.; Markides, C.N. Integrating cogeneration and intermittent waste-heat recovery in food processing: Microturbines vs. ORC systems in the coffee roasting industry. Appl. Energy 2018, 225, 782–796. [Google Scholar] [CrossRef]
- Su, Z.X.; Yang, L. A novel and efficient cogeneration system of waste heat recovery integrated carbon capture and dehumidification for coal-fired power plants. Energy Convers. Manag. 2022, 255, 115358. [Google Scholar] [CrossRef]
- Liu, L.C.; Wu, J.L.; Zhong, F.; Gao, N.P.; Cui, G.M. Development of a novel cogeneration system by combing organic rankine cycle and heat pump cycle for waste heat recovery. Energy 2021, 217, 119445. [Google Scholar] [CrossRef]
- Zhang, H.S.; Zhao, H.B.; Li, Z.L. Waste heat recovery and water-saving modification for a water-cooled gas-steam combined cycle cogeneration system with absorption heat pump. Energy Convers. Manag. 2019, 180, 1129–1138. [Google Scholar] [CrossRef]
- Li, Y.; An, H.L.; Li, W.T.; Zhang, S.Y.; Jia, X.Q.; Fu, L. Thermodynamic, energy consumption and economic analyses of the novel cogeneration heating system based on condensed waste heat recovery. Energy Convers. Manag. 2018, 117, 671–681. [Google Scholar] [CrossRef]
- Lemmon, E.; McLinden, M.; Huber, M. NIST Standard Reference Database 23. Reference Fluid Thermodynamic and Transport Properties Database (REFPROP), 9th ed.; National Institute of Standards and Technology (NIST): Gaithersburg, MD, USA, 2010. [Google Scholar]
- Sarkar, J.; Bhattacharyya, S.; Gopal, M.R. Optimization of a transcritical CO2 heat pump cycle for simultaneous cooler and heating applications. Int. J. Refrig. 2004, 27, 830–838. [Google Scholar] [CrossRef]
- Vaja, I.; Gambarotta, A. Internal Combustion Engine (ICE) bottoming with Organic Rankine Cycles (ORCs). Energy 2010, 35, 1084–1093. [Google Scholar] [CrossRef]
- Salim, M.S.; Kim, M.H. Multi-objective thermo-economic optimization of a combined organic Rankine cycle and vapour compression refrigeration cycle. Energy Convers. Manag. 2019, 199, 112054. [Google Scholar] [CrossRef]
- Wang, Y. Performance Study of Biomass Flue Gas Waste Heat Recovery System Based on Absorption-Compression Compound Heat Pumps. Master’s Thesis, Northeast Electric Power University, Jilin, China, 2022. [Google Scholar]





















| Parameter | CO2 | R245fa | Water |
|---|---|---|---|
| Critical pressure | 7.37 MPa | 3.65 MPa | 22.06 MPa |
| Critical temperature | 304.13 K | 427.16 K | 647.1 K |
| Molar mass | 44.01 kg/kmol | 134.05 kg/kmol | 18.01 kg/kmol |
| Normal Boiling Point | 194.69 K | 288.29 K | 373.12 K |
| Parameters | CO2 | Water | R245fa |
|---|---|---|---|
| ODP | 0 | 0 | 0 |
| GWP | 1 | 0 | 790 |
| Parameter | OACCHP System |
|---|---|
| Mass flow of flue gas (mgas)/m3/h | 1188 |
| Inlet temperature of flue gas (te1,gasin)/°C | 200 |
| Outlet temperature of flue gas (tgex,gasin)/°C | 30 |
| Temperature of flue gas at the outlet of evaporation1 (te1,gasout)/°C | 140–160 |
| Temperature of flue gas at the outlet of generator (tge,gasout)/°C | 100 |
| Evaporation temperature in ORC (te1)/°C | 120 |
| Condensation temperature in ORC (tc1)/°C | 30–40 |
| Concentration of strong solution (xs)/% | 64–52 |
| Concentration of weak solution (xw)/% | xs − Δx |
| Bleeding range Δx/% | 3–5 |
| Condensation temperature in AHP (tc2)/°C | 70–90 |
| Evaporation temperature in AHP (te3)/°C | 40–50 |
| Evaporation temperature in CHP (te2)/°C | 10–20 |
| Outlet temperature of gas cooler in CHP (tg)/°C | 30–40 |
| Objectives | te1,gasin/°C | tge,gasout/°C | te1/°C | te2/°C | te3/°C | te1,gasout/°C | tc1/°C | tc2/°C | tg/°C | xs/% | xw/% |
|---|---|---|---|---|---|---|---|---|---|---|---|
| Power | 200 | 100 | 120 | 20 | 50 | 140 | 30 | 70 | 35 | 52 | 48 |
| Heat | 200 | 100 | 120 | 10 | 40 | 140 | 40 | 90 | 35 | 64 | 60 |
| Objectives | te1,gasin/°C | tge,gasout/°C | te1/°C | te2/°C | te3/°C | te1,gasout/°C | tc1/°C | tc2/°C | tg/°C | xs/% | xw/% |
|---|---|---|---|---|---|---|---|---|---|---|---|
| ηth | 200 | 100 | 120 | 10 | 40 | 140 | 40 | 90 | 35 | 64 | 60 |
| COP | 200 | 100 | 120 | 20 | 40 | 160 | 30 | 70 | 35 | 52 | 48 |
| Π | 200 | 100 | 120 | 20 | 40 | 160 | 30 | 90 | 35 | 52 | 48 |
Disclaimer/Publisher’s Note: The statements, opinions and data contained in all publications are solely those of the individual author(s) and contributor(s) and not of MDPI and/or the editor(s). MDPI and/or the editor(s) disclaim responsibility for any injury to people or property resulting from any ideas, methods, instructions or products referred to in the content. |
© 2024 by the authors. Licensee MDPI, Basel, Switzerland. This article is an open access article distributed under the terms and conditions of the Creative Commons Attribution (CC BY) license (https://creativecommons.org/licenses/by/4.0/).
Share and Cite
Sun, D.; Liu, Z.; Zhang, H.; Zhang, X. Performance Analysis of a New Cogeneration System with Efficient Utilization of Waste Heat Resources and Energy Conversion Capabilities. Energies 2024, 17, 3347. https://doi.org/10.3390/en17133347
Sun D, Liu Z, Zhang H, Zhang X. Performance Analysis of a New Cogeneration System with Efficient Utilization of Waste Heat Resources and Energy Conversion Capabilities. Energies. 2024; 17(13):3347. https://doi.org/10.3390/en17133347
Chicago/Turabian StyleSun, Dahan, Zhongyan Liu, Hao Zhang, and Xin Zhang. 2024. "Performance Analysis of a New Cogeneration System with Efficient Utilization of Waste Heat Resources and Energy Conversion Capabilities" Energies 17, no. 13: 3347. https://doi.org/10.3390/en17133347
APA StyleSun, D., Liu, Z., Zhang, H., & Zhang, X. (2024). Performance Analysis of a New Cogeneration System with Efficient Utilization of Waste Heat Resources and Energy Conversion Capabilities. Energies, 17(13), 3347. https://doi.org/10.3390/en17133347
