Coordinated Frequency Modulation Control Strategy of Wind Power and Energy Storage Considering Mechanical Load Optimization
Abstract
1. Introduction
2. Comprehensive Control Strategy for Virtual Inertia of Wind Turbine Units
2.1. Operational Characteristics of Wind Turbines
2.2. Comprehensive Control Principle of Virtual Inertia
2.2.1. Virtual Inertia Control
2.2.2. Droop Control
2.2.3. Virtual Inertia Comprehensive Control
3. Coordinated Frequency Modulation Control Strategy of Wind Power and Energy Storage Based on Fuzzy Control
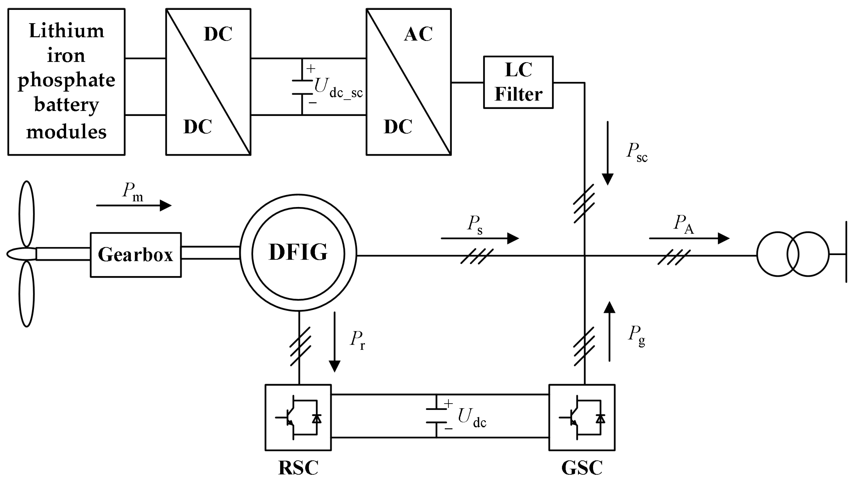
3.1. Principle of Coordinated Frequency Modulation Control of Wind Power and Energy Storage
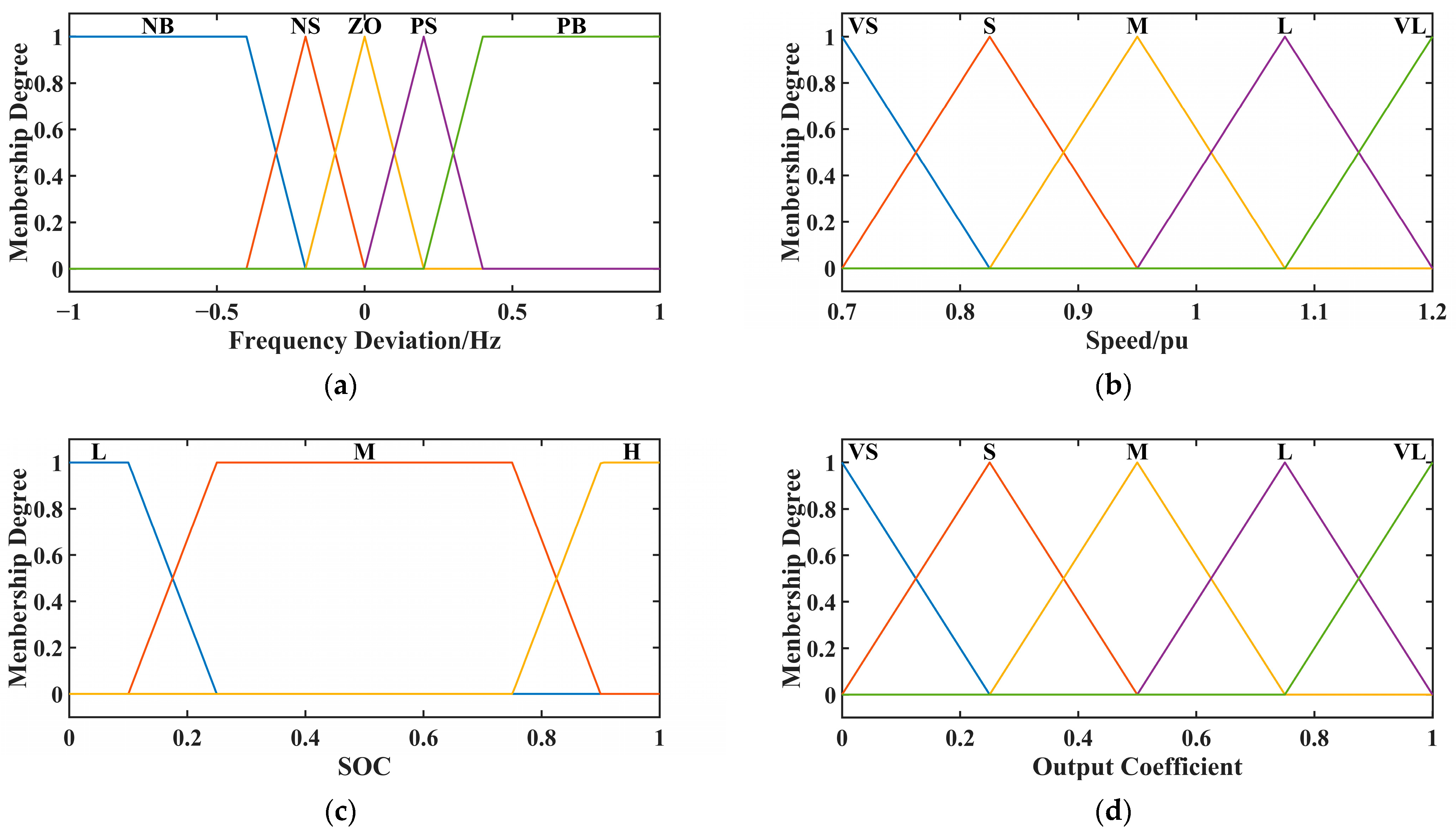
3.2. Design of Fuzzy Controllers
4. Simulation Example
4.1. Constant Wind Speed
4.2. Turbulent Wind Speed
5. Conclusions
Author Contributions
Funding
Data Availability Statement
Acknowledgments
Conflicts of Interest
References
- Zhang, X.; Chen, Y.; Yue, S.; Zha, X.; Zhang, D.; Xue, L. Retrospect and prospect of research on frequency modulation technology of power system by wind power. Power Syst. Technol. 2018, 42, 1793–1803. [Google Scholar]
 - Liu, J.; Yao, W.; Wen, J.; Huang, Y.; Liu, Y.; Ma, R. Prospect of technology for large-Scale wind farm participating into power grid frequency modulation. Power Syst. Technol. 2014, 38, 638–646. [Google Scholar]
 - Li, S.; Qin, S.; Wang, R.; Chen, C.; Yang, J. Control strategy of virtual inertia frequency modulation for large capacity DFIG-based wind turbine. Power Autom. Equip. 2018, 38, 145–150+156. [Google Scholar]
 - Peng, X.; Jia, J.; Zhou, J.; Huang, S.; Wei, S. Speed Modulation Strategy Based on Variable Proportion Coefficient for Optimizing Inertial Response of Wind Generator. Proc. CSEE 2018, 38, 5625–5635+5920. [Google Scholar]
 - Hwang, M.; Muljadi, E.; Park, J.W.; Sørensen, P.; Kang, Y.C. Dynamic Droop–Based Inertial Control of a Doubly-Fed Induction Generator. IEEE Trans. Sustain. Energy 2016, 7, 924–933. [Google Scholar] [CrossRef]
 - Morren, J.; De Haan, S.W.; Kling, W.L.; Ferreira, J.A. Wind Turbines Emulating Inertia and Supporting Primary Frequency Control. IEEE Trans. Power Syst. 2006, 21, 433–434. [Google Scholar] [CrossRef]
 - Zhang, X.; He, W.; Hu, J. Impact of Inertia Control of DFIG-based WT on Torsional Vibration in Drivetrain. IEEE Trans. Sustain. Energy 2020, 11, 2525–2534. [Google Scholar] [CrossRef]
 - Xi, X.Z.; Geng, H.; Yang, G. Inertia Control of the grid connected doubly fed induction generator based wind farm with drive-train torsion active damping. Trans. China Electrotech. Soc. 2017, 32, 136–144. [Google Scholar]
 - Qin, S.; Dai, L.; Wang, R.; Bi, R.; Xu, T.; Zhao, J. Virtual inertia control method considering wind turbine power drop and mechanical load optimization. Power Syst. Technol. 2021, 45, 1665–1672. [Google Scholar]
 - Yan, X.; Sun, X.; Cui, S.; Li, X.; Li, T. Improved control strategy for inertia and primary frequency modulation of doubly fed induction generator based on rotor kinetic energy and supercapacitor Energy Storage. Trans. China Electrotech. Soc. 2021, 36, 179–190. [Google Scholar]
 - Yan, X.; Song, Z.; Cui, S.; Sun, Y.; Li, T. Primary frequency modulation strategy of doubly-fed wind turbine based on variable power point tracking and supercapacitor energy storage. Trans. China Electrotech. Soc. 2019, 35, 530–541. [Google Scholar]
 - Li, X.; Cui, X.; Huang, J.; Li, S.; Meng, Y. The self-adaption control strategy of energy storage batteries participating in the primary frequency modulation. Trans. China Electrotech. Soc. 2019, 34, 3897–3908. [Google Scholar]
 - Ma, D.; Li, W.; Wen, C.; Chai, R. Wind/Storage coordinated primary frequency modulation control strategy based on participation level of DFIG units. Power Syst. Technol. 2023, 47, 968–979. [Google Scholar]
 - Shang, Q.; Li, F.; Wang, S.; Li, Y.; Yin, C. Primary frequency modulation strategy for wind-storage combined system based on multivariable fuzzy logic control. Power Syst. Technol. 2023, 47, 2344–2360. [Google Scholar]
 - Zhang, X.; Qin, S.; Chen, C.; Zhang, Y.; Hao, S.; Wu, Q. Wind turbine storage joint frequency modulation control strategy considering the balance of energy storage charge and discharge. Power Syst. Technol. 2024, 48, 1938–1946. [Google Scholar]
 - Zhang, G.F.; Yang, J.Y.; Wang, H.X.; Xie, C.J.; Fu, Y. Coordinated Frequency Modulation Control Strategy of Wind FarmStorage System Based on Virtual Synchronous Generator Technology. Trans. China Electrotech. Soc. 2022, 37, 83–92. [Google Scholar]
 - Liang, K.; Peng, X.T.; Qin, S.; Wang, J.R.; Zhang, Z.; Chen, R.J. Study on synergetic control strategy for optimizing frequency response of wind farm augmented with energy storage system. Proc. CSEE 2021, 41, 2628–2641. [Google Scholar]
 










| Output Coefficient (SOC = L)  | Rotor Speed | |||||
|---|---|---|---|---|---|---|
| VS | S | M | L | VL | ||
| Frequency Deviation  | NB | VS | S | M | L | VL | 
| NS | VS | M | L | VL | VL | |
| ZO | VS | L | VL | VL | VS | |
| PS | VS | VS | VS | VS | VS | |
| PB | VS | VS | VS | VS | VS | |
| Output Coefficient (SOC = M)  | Rotor Speed | |||||
|---|---|---|---|---|---|---|
| VS | S | M | L | VL | ||
| Frequency Deviation  | NB | VS | S | M | M | M | 
| NS | VS | S | S | M | M | |
| ZO | VS | VS | VS | VS | VS | |
| PS | M | M | S | S | VS | |
| PB | M | M | M | S | VS | |
| Output Coefficient (SOC = H)  | Rotor Speed | |||||
|---|---|---|---|---|---|---|
| VS | S | M | L | VL | ||
| Frequency Deviation  | NB | VS | VS | VS | VS | VS | 
| NS | VS | VS | VS | VS | VS | |
| ZO | VS | L | VL | L | VS | |
| PS | VL | VL | L | M | VS | |
| PB | VL | L | M | S | VS | |
| Scenario | Frequency Modulation Strategy | 
|---|---|
| Scenario 1 | None | 
| Scenario 2 | Virtual Inertia Comprehensive Control | 
| Scenario 3 | Virtual Inertia Comprehensive Control + Energy Storage | 
| DEL (/kNm) | Scenario 1 | Scenario 2 | Scenario 3 | 
|---|---|---|---|
| LSS-DEL | 3.172 | 51.992 | 10.205 | 
| HSS-DEL | 0.037 | 0.613 | 0.121 | 
| DEL (/kNm) | Scenario 1 | Scenario 2 | Scenario 3 | 
|---|---|---|---|
| LSS-DEL | 15.126 | 60.941 | 16.834 | 
| HSS-DEL | 0.180 | 0.729 | 0.201 | 
Disclaimer/Publisher’s Note: The statements, opinions and data contained in all publications are solely those of the individual author(s) and contributor(s) and not of MDPI and/or the editor(s). MDPI and/or the editor(s) disclaim responsibility for any injury to people or property resulting from any ideas, methods, instructions or products referred to in the content.  | 
© 2024 by the authors. Licensee MDPI, Basel, Switzerland. This article is an open access article distributed under the terms and conditions of the Creative Commons Attribution (CC BY) license (https://creativecommons.org/licenses/by/4.0/).
Share and Cite
Zhang, C.; Li, J.; Liu, S.; Hu, P.; Feng, J.; Ren, H.; Zhang, R.; Jia, J. Coordinated Frequency Modulation Control Strategy of Wind Power and Energy Storage Considering Mechanical Load Optimization. Energies 2024, 17, 3198. https://doi.org/10.3390/en17133198
Zhang C, Li J, Liu S, Hu P, Feng J, Ren H, Zhang R, Jia J. Coordinated Frequency Modulation Control Strategy of Wind Power and Energy Storage Considering Mechanical Load Optimization. Energies. 2024; 17(13):3198. https://doi.org/10.3390/en17133198
Chicago/Turabian StyleZhang, Chaoyu, Jiabin Li, Shiyi Liu, Peng Hu, Jiangzhe Feng, Haoyang Ren, Ruizhe Zhang, and Jiaoxin Jia. 2024. "Coordinated Frequency Modulation Control Strategy of Wind Power and Energy Storage Considering Mechanical Load Optimization" Energies 17, no. 13: 3198. https://doi.org/10.3390/en17133198
APA StyleZhang, C., Li, J., Liu, S., Hu, P., Feng, J., Ren, H., Zhang, R., & Jia, J. (2024). Coordinated Frequency Modulation Control Strategy of Wind Power and Energy Storage Considering Mechanical Load Optimization. Energies, 17(13), 3198. https://doi.org/10.3390/en17133198
        
