Emission Reduction Effects of China’s National Carbon Market: Evidence Based on the Power Sector
Abstract
1. Introduction
2. Literature Review
3. Data and Methodology
3.1. Independent Variables
3.2. Carbon Emissions from the Power Sector
3.3. Methodology
4. Empirical Results
4.1. The Impact of China’s National Carbon Market Policy on Carbon Emissions of Power Sector
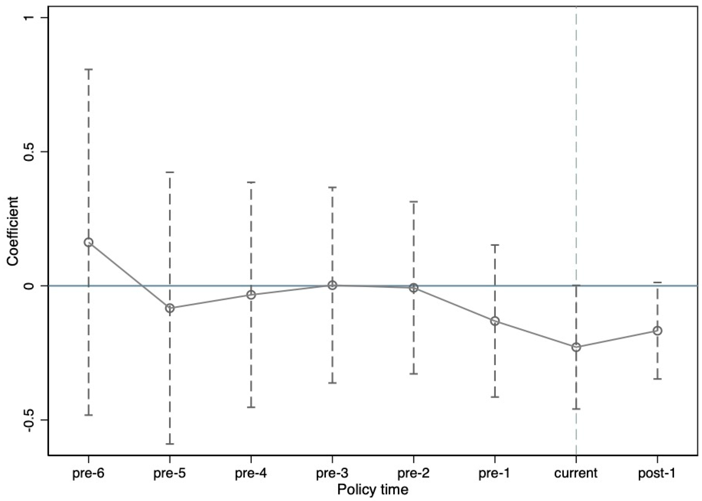
4.2. Robustness Test
5. Heterogeneity Analysis and Discussions
5.1. Heteregeneity Analysis
5.2. Discussions
6. Conclusions
Author Contributions
Funding
Data Availability Statement
Conflicts of Interest
References
- Nejat, P.; Jomehzadeh, F.; Taheri, M.M.; Gohari, M.; Majid, M.Z.A. A global review of energy consumption, CO2 emissions and policy in the residential sector (with an overview of the top ten CO2 emitting countries). Renew. Sustain. Energy Rev. 2015, 43, 843–862. [Google Scholar] [CrossRef]
- Xu, Y.; Xu, Z.; Zhou, Y.; Su, C.; Guo, L. Interactions between carbon prices and the construction industry in China: Evidence based on Network-SVAR. Build. Environ. 2022, 215, 108936. [Google Scholar] [CrossRef]
- Lederer, M. Market making via regulation: The role of the state in carbon markets. Regul. Gov. 2012, 6, 524–544. [Google Scholar] [CrossRef]
- Xu, Y.; Salem, S. Explosive behaviors in Chinese carbon markets: Are there price bubbles in eight pilots? Renew. Sustain. Energy Rev. 2021, 145, 111089. [Google Scholar] [CrossRef]
- Cui, J.; Wang, C.; Zhang, J.; Zheng, Y. The effectiveness of China’s regional carbon market pilots in reducing firm emissions. Proc. Natl. Acad. Sci. USA 2021, 118, e2109912118. [Google Scholar] [CrossRef]
- Perdan, S.; Azapagic, A. Carbon trading: Current schemes and future developments. Energy Policy 2011, 39, 6040–6054. [Google Scholar] [CrossRef]
- Teixidó, J.; Verde, S.F.; Nicolli, F. The impact of the EU Emissions Trading System on low-carbon technological change: The empirical evidence. Ecol. Econ. 2019, 164, 106347. [Google Scholar] [CrossRef]
- Bayer, P.; Aklin, M. The European Union emissions trading system reduced CO2 emissions despite low prices. Proc. Natl. Acad. Sci. USA 2020, 117, 8804–8812. [Google Scholar] [CrossRef]
- Bai, J.; Ru, H. Carbon emissions trading and environmental protection: International evidence. Manag. Sci. 2024. [Google Scholar] [CrossRef]
- Dechezleprêtre, A.; Nachtigall, D.; Venmans, F. The joint impact of the European Union emissions trading system on carbon emissions and economic performance. J. Environ. Econ. Manag. 2023, 118, 102758. [Google Scholar] [CrossRef]
- Qi, S.; Cheng, S.; Cui, J. Environmental and economic effects of China’s carbon market pilots: Empirical evidence based on a DID model. J. Clean. Prod. 2021, 279, 123720. [Google Scholar] [CrossRef]
- Yi, L.; Bai, N.; Yang, L.; Li, Z.; Wang, F. Evaluation on the effectiveness of China’s pilot carbon market policy. J. Clean. Prod. 2020, 246, 119039. [Google Scholar] [CrossRef]
- Zhang, W.; Li, J.; Li, G.; Guo, S. Emission reduction effect and carbon market efficiency of carbon emissions trading policy in China. Energy 2020, 196, 117117. [Google Scholar] [CrossRef]
- Shi, B.; Li, N.; Gao, Q.; Li, G. Market incentives, carbon quota allocation and carbon emission reduction: Evidence from China’s carbon trading pilot policy. J. Environ. Manag. 2022, 319, 115650. [Google Scholar] [CrossRef]
- Zhang, C.; Lin, B. Impact of introducing Chinese certified emission reduction scheme to the carbon market: Promoting renewable energy. Renew. Energy 2024, 222, 119887. [Google Scholar] [CrossRef]
- Gu, G.; Zheng, H.; Tong, L.; Dai, Y. Does carbon financial market as an environmental regulation policy tool promote regional energy conservation and emission reduction? Empirical evidence from China. Energy Policy 2022, 163, 112826. [Google Scholar] [CrossRef]
- Ma, G.; Qin, J.; Zhang, Y. Does the carbon emissions trading system reduce carbon emissions by promoting two-way FDI in developing countries? Evidence from Chinese listed companies and cities. Energy Econ. 2023, 120, 106581. [Google Scholar] [CrossRef]
- Wu, J.; Nie, X.; Wang, H. Curse to blessing: The carbon emissions trading system and resource-based cities’ carbon mitigation. Energy Policy 2023, 183, 113796. [Google Scholar] [CrossRef]
- Lin, B.; Huang, C. Analysis of emission reduction effects of carbon trading: Market mechanism or government intervention? Sustain. Prod. Consum. 2022, 33, 28–37. [Google Scholar] [CrossRef]
- Li, M.; Gao, H.; Abdulla, A.; Shan, R.; Gao, S. Combined effects of carbon pricing and power market reform on CO2 emissions reduction in China’s electricity sector. Energy 2022, 257, 124739. [Google Scholar] [CrossRef]
- Wu, R.; Tan, Z.; Lin, B. Does carbon emission trading scheme really improve the CO2 emission efficiency? Evidence from China’s iron and steel industry. Energy 2023, 277, 127743. [Google Scholar] [CrossRef]
- Wang, Y.; Liu, J.; Zhao, Z.; Ren, J.; Chen, X. Research on carbon emission reduction effect of China’s regional digital trade under the “double carbon” target––combination of the regulatory role of industrial agglomeration and carbon emissions trading mechanism. J. Clean. Prod. 2023, 405, 137049. [Google Scholar] [CrossRef]
- Li, Y.; Zhang, Y.; Pan, A.; Han, M.; Veglianti, E. Carbon emission reduction effects of industrial robot applications: Heterogeneity characteristics and influencing mechanisms. Technol. Soc. 2022, 70, 102034. [Google Scholar] [CrossRef]
- Zhang, Y.; Li, S.; Luo, T.; Gao, J. The effect of emission trading policy on carbon emission reduction: Evidence from an integrated study of pilot regions in China. J. Clean. Prod. 2020, 265, 121843. [Google Scholar] [CrossRef]
- Chen, S.; Shi, A.; Wang, X. Carbon emission curbing effects and influencing mechanisms of China’s Emission Trading Scheme: The mediating roles of technique effect, composition effect and allocation effect. J. Clean. Prod. 2020, 264, 121700. [Google Scholar] [CrossRef]
- Yang, X.; Jiang, P.; Pan, Y. Does China’s carbon emission trading policy have an employment double dividend and a Porter effect? Energy Policy 2020, 142, 111492. [Google Scholar] [CrossRef]
- Lv, M.; Bai, M. Evaluation of China’s carbon emission trading policy from corporate innovation. Financ. Res. Lett. 2021, 39, 101565. [Google Scholar] [CrossRef]
- Wang, X.; Wang, S. Effect of carbon trading pilot policy on carbon emission reduction in electricity. Distrib. Energy 2023, 8, 10–16. (In Chinese) [Google Scholar]
- Feng, X.; Zhao, Y.; Yan, R. Does carbon emission trading policy has emission reduction effect? An empirical study based on quasi-natural experiment method. J. Environ. Manag. 2024, 351, 119791. [Google Scholar] [CrossRef]
- Zhang, Y.; Zhang, J. Estimating the impacts of emissions trading scheme on low-carbon development. J. Clean. Prod. 2019, 238, 117913. [Google Scholar] [CrossRef]
- Ehrlich, P.R.; Holdren, J.P. Impact of Population Growth: Complacency concerning this component of man’s predicament is unjustified and counterproductive. Science 1971, 171, 1212–1217. [Google Scholar] [CrossRef]
- Joos, F.; Prentice, I.C.; Sitch, S.; Meyer, R.; Hooss, G.; Plattner, G.K.; Hasselmann, K. Global warming feedbacks on terrestrial carbon uptake under the Intergovernmental Panel on Climate Change (IPCC) emission scenarios. Glob. Biogeochem. Cycles 2001, 15, 891–907. [Google Scholar] [CrossRef]
- Kroll, C.N.; Song, P. Impact of multicollinearity on small sample hydrologic regression models. Water Resour. Res. 2013, 49, 3756–3769. [Google Scholar] [CrossRef]
- Mansfield, E.R.; Helms, B.P. Detecting multicollinearity. Am. Stat. 1982, 36, 158–160. [Google Scholar]
- O’brien, R.M. A caution regarding rules of thumb for variance inflation factors. Qual. Quant. 2007, 41, 673–690. [Google Scholar] [CrossRef]
- Zhang, G.; Bi, S. Inhibition or promotion: The impact of carbon emission trading on market structure: Evidence from China. Front. Energy Res. 2023, 11, 1238416. [Google Scholar] [CrossRef]
- Feng, R.; Lin, P.; Hou, C.; Jia, S. Study of the effect of China’s emissions trading scheme on promoting regional industrial carbon emission reduction. Front. Environ. Sci. 2022, 10, 947925. [Google Scholar] [CrossRef]
- Liu, L.L.; Feng, T.T.; Kong, J.J. Can carbon trading policy and local public expenditures synergize to promote carbon emission reduction in the power industry? Resour. Conserv. Recycl. 2023, 188, 106659. [Google Scholar] [CrossRef]
- Chappin, E.J.L.; Dijkema, G.P.J. On the impact of CO2 emission-trading on power generation emissions. Technol. Forecast. Soc. Chang. 2009, 76, 358–370. [Google Scholar] [CrossRef]
- Madlener, R.; Sunak, Y. Impacts of urbanization on urban structures and energy demand: What can we learn for urban energy planning and urbanization management? Sustain. Cities Soc. 2011, 1, 45–53. [Google Scholar] [CrossRef]
- Gu, C. Urbanization: Processes and driving forces. Sci. China Earth Sci. 2019, 62, 1351–1360. [Google Scholar] [CrossRef]
- Démurger, S. Infrastructure development and economic growth: An explanation for regional disparities in China? J. Comp. Econ. 2001, 29, 95–117. [Google Scholar] [CrossRef]
- Cui, J.; Zhang, J.; Zheng, Y. Carbon pricing induces innovation: Evidence from China’s regional carbon market pilots. In AEA Papers and Proceedings; American Economic Association: Nashville, TN, USA, 2018; Volume 108, pp. 453–457. [Google Scholar]
- Guo, S. Exploring low-carbon pilot city policy implementation: Evidence from China. Clim. Policy 2023, 23, 1045–1057. [Google Scholar] [CrossRef]
- Xu, Y.; Shao, X.; Tanasescu, C. How are artificial intelligence, carbon market, and energy sector connected? A systematic analysis of time-frequency spillovers. Energy Econ. 2024, 132, 107477. [Google Scholar] [CrossRef]
- Shen, B.; Yang, X.; Xu, Y.; Ge, W.; Liu, G.; Su, X.; Ran, Q. Can carbon emission trading pilot policy drive industrial structure low-carbon restructuring: New evidence from China. Environ. Sci. Pollut. Res. 2023, 30, 41553–41569. [Google Scholar] [CrossRef]




| Variable | N | Mean | S.D. | p25 | p50 | p75 |
|---|---|---|---|---|---|---|
| lnCE | 240 | 10.330 | 0.758 | 9.866 | 10.370 | 10.840 |
| PI | 240 | 0.085 | 0.130 | 0.010 | 0.040 | 0.080 |
| lnPG | 240 | 7.539 | 0.744 | 6.986 | 7.668 | 8.083 |
| lnGDP | 240 | 11.030 | 0.440 | 10.740 | 10.960 | 11.280 |
| lnRD | 240 | 9.500 | 1.428 | 8.478 | 9.601 | 10.500 |
| lnUR | 240 | 4.124 | 0.164 | 4.015 | 4.111 | 4.223 |
| IS | 240 | 0.289 | 1.012 | 0.0900 | 0.171 | 0.278 |
| Variable | VIF | 1/VIF |
|---|---|---|
| lnUR | 4.110 | 0.243 |
| lnGDP | 4.000 | 0.250 |
| lnRD | 2.020 | 0.496 |
| lnPG | 1.660 | 0.603 |
| DID | 1.150 | 0.869 |
| IS | 1.040 | 0.964 |
| (1) | (2) | |
|---|---|---|
| lnCE | lnCE | |
| DID | −0.132 * | −0.166 ** |
| (0.072) | (0.064) | |
| lnPG | 0.661 *** | |
| (0.196) | ||
| lnGDP | 0.012 | |
| (0.033) | ||
| lnRD | −0.006 | |
| (0.061) | ||
| lnUR | −0.033 | |
| (0.381) | ||
| IS | −0.004 *** | |
| (0.001) | ||
| constant | 10.330 *** | 5.416 *** |
| (0.003) | (1.818) | |
| 0.132 | 0.338 | |
| N | 240 | 240 |
| (3) 2017 as the Policy Shock Time | (4) 2018 as the Policy Shock Time | |
|---|---|---|
| lnCE | lnCE | |
| DID | −0.167 | −0.153 |
| (0.106) | (0.105) | |
| lnPG | 0.638 *** | 0.639 *** |
| (0.198) | (0.199) | |
| lnGDP | 0.0153 | 0.016 |
| (0.035) | (0.036) | |
| lnRD | 0.007 | 0.007 |
| (0.062) | (0.062) | |
| lnUR | −0.098 | −0.092 |
| (0.449) | (0.443) | |
| IS | −0.004 *** | −0.004 *** |
| (0.001) | (0.001) | |
| constant | 5.772 *** | 5.752 *** |
| (1.770) | (1.759) | |
| 0.332 | 0.332 | |
| N | 240 | 240 |
| (5) Pilot Regions | (6) Non-Pilot Regions | (7) Weak Policy Supervision Regions | (8) Strong Policy Supervision Regions | |
|---|---|---|---|---|
| lnCE | lnCE | lnCE | lnCE | |
| DID | −0.159 ** | 0.208 | 2.597 | −0.210 *** |
| (0.054) | (0.300) | (2.308) | (0.075) | |
| lnPG | 0.723 ** | 0.594 ** | 0.441 | 0.766 *** |
| (0.262) | (0.215) | (0.347) | (0.170) | |
| lnGDP | 0.025 | 0.212 | 0.276 ** | −0.030 ** |
| (0.118) | (0.141) | (0.130) | (0.014) | |
| lnRD | 0.055 | −0.005 | −0.036 | 0.060 |
| (0.077) | (0.078) | (0.101) | (0.056) | |
| lnUR | −0.258 | −0.975 | −1.473 | −0.078 |
| (0.784) | (0.790) | (0.977) | (0.617) | |
| IS | 0.039 | −0.004 *** | 1.968 | −0.005 *** |
| (0.118) | (0.001) | (1.242) | (0.001) | |
| constant | 5.131 * | 7.639 ** | 9.930 ** | 4.745 *** |
| (2.367) | (3.380) | (4.424) | (1.313) | |
| 0.563 | 0.369 | 0.392 | 0.504 | |
| N | 56 | 184 | 117 | 123 |
Disclaimer/Publisher’s Note: The statements, opinions and data contained in all publications are solely those of the individual author(s) and contributor(s) and not of MDPI and/or the editor(s). MDPI and/or the editor(s) disclaim responsibility for any injury to people or property resulting from any ideas, methods, instructions or products referred to in the content. |
© 2024 by the authors. Licensee MDPI, Basel, Switzerland. This article is an open access article distributed under the terms and conditions of the Creative Commons Attribution (CC BY) license (https://creativecommons.org/licenses/by/4.0/).
Share and Cite
Xu, Y.; Zhao, S.; Chu, B.; Zhu, Y. Emission Reduction Effects of China’s National Carbon Market: Evidence Based on the Power Sector. Energies 2024, 17, 2859. https://doi.org/10.3390/en17122859
Xu Y, Zhao S, Chu B, Zhu Y. Emission Reduction Effects of China’s National Carbon Market: Evidence Based on the Power Sector. Energies. 2024; 17(12):2859. https://doi.org/10.3390/en17122859
Chicago/Turabian StyleXu, Yingying, Shan Zhao, Boxiao Chu, and Yinglun Zhu. 2024. "Emission Reduction Effects of China’s National Carbon Market: Evidence Based on the Power Sector" Energies 17, no. 12: 2859. https://doi.org/10.3390/en17122859
APA StyleXu, Y., Zhao, S., Chu, B., & Zhu, Y. (2024). Emission Reduction Effects of China’s National Carbon Market: Evidence Based on the Power Sector. Energies, 17(12), 2859. https://doi.org/10.3390/en17122859

