A Comprehensive Review of Physical Models and Performance Evaluations for Pavement Photovoltaic Modules
Abstract
1. Introduction
2. The Current Situation of PV Technology on the Road
2.1. PV Module
2.2. Pavement PV
2.3. Pavement PV Module
3. Influencing Factors on PV Pavement
3.1. Shadow Occlusion
3.2. Heat Island Effect
3.3. Materials for Pavement Energy Harvesting
3.3.1. Pavement PV Module Materials
3.3.2. Pavement PV Materials
- (1)
- The surface–transparent layer
- (2)
- The middle–functional layer
- (3)
- The bottom–protective layer
3.4. Energy Harvesting
4. Performance Evaluation
- (1)
- Pavement PV are primarily composed of three layers: the top–transparent layer, the middle PV layer, and the bottom–protective layer. These three layers need to work in coordination to ensure the proper functioning of pavement PV. The commonly used structures for pavement PV are solid panel and hollow panel structures. The former boasts good load-bearing capacity and stability but its flat surface is not suitable for efficient monocrystalline silicon solar cells as they may break. The latter, however, does not face the risk of solar panel fracture and allows for adjustable placement angles. Yet, hollow panels demand higher packaging and waterproof drainage performance;
- (2)
- Pavement PV offers sustainable power solutions for smart roads, enabling the decentralized expansion of renewable energy sources. This approach minimizes the need for extensive power lines and associated energy losses, thereby promoting smart transportation systems and the development of electric vehicles. Furthermore, it effectively addresses issues such as road ice and snow melting, reduces greenhouse gas emissions, and mitigates urban heat island effects. Additionally, pavement PV creates job opportunities while simultaneously reducing fuel/energy consumption for projects or nearby buildings, thus contributing to a more sustainable and environmentally friendly urban infrastructure. However, various factors including traffic loads, material performance degradation, as well as environmental conditions such as temperature, humidity, and dust, have resulted in the failure or reduced durability of test projects, falling short of initial expectations. Presently, it appears that a suitable technology for constructing pavement PV that can withstand the impact of traffic loads while efficiently generating power remains elusive. The challenges persist in ensuring the durability and safety of the structure, materials, and collection circuits;
- (3)
- Research on the environmental impacts, costs, and efficiency indicates that another obstacle to the widespread application of pavement PV is their high cost; however, current costs cannot represent the installation cost at an industry scale. With the development of materials, technology, and economies of scale, future costs are expected to decrease. Hollow panel pavement PV have the lowest net present value (NPV) and levelized cost of energy (LCOE) among the other types of pavement PV, owing to lower material and production costs. In terms of current costs, the benefits of pavement PV are insufficient to cover the 20-year lifecycle costs. Nonetheless, if the LCOE drops below USD 0.2 per kWh, pavement PV would become economically attractive. This is not hard to achieve for hollow panel pavement PV.
5. Challenges and Prospects
- (1)
- The electricity generation capacity of pavement PV is not solely determined by geographical location and climatic conditions but is also influenced by unpredictable factors such as the environment and traffic flow, causing instability. Consequently, to adapt to the constantly changing operational conditions, further research is necessary to optimize the circuit design of pavement PV, taking into account the unique characteristics of the road environment. Furthermore, targeted waterproof measures need to be designed to address the issue of permeability in the bottom–protective layer of pavement photovoltaics. Simultaneously, the development of corresponding energy storage technologies is essential to ensure that the electricity generation of pavement PV can meet load demands, thereby enhancing load management flexibility;
- (2)
- Currently, pavement PV faces a dearth of suitable detection methods and standardized evaluation criteria. Therefore, it is imperative to devise innovative testing methodologies and establish uniform evaluation standards to assess the load-carrying capacity, durability, sustained performance, and reliability of electricity generation output for pavement PV. At the same time, as pavement photovoltaics is a relatively novel technology, it is necessary to regularly update its standards during the initial stage of standard development. The wide coverage and distinct working environment of pavement PV render conventional road management and maintenance models obsolete. Research and exploration are imperative for maintaining and repairing damaged pavement PV during operation, encompassing surface cleaning, load-bearing structures, and electricity generation systems;
- (3)
- While pavement PV present a promising road energy production approach, they are currently not applicable to all road types. Heavy traffic increases the likelihood of structural damage, elevating costs and reducing durability. Therefore, it is also necessary to strengthen the structural design of pavement modules to optimize long-term stability and effectiveness; in addition, this also adds to the shading area and duration of pavement PV. When replacing traditional road surfaces with photovoltaic pavement modules, it is also necessary to consider whether they will have a negative impact on the movement of vehicles. To prevent uncontrollable factors and mitigate significant economic losses, it is crucial to undertake a thorough feasibility assessment of the pavement site prior to embarking on test projects. This comprehensive evaluation encompasses various aspects, including but not limited to, an on site solar resource assessment, traffic environment screening, and a detailed cost–benefit analysis. Furthermore, to enhance the system’s electricity generation efficiency, relying solely on a single energy collection method for pavement PV might not suffice for their developmental needs. Consequently, future research should focus on integrating pavement PV with other forms of energy collection technologies.
6. Conclusions
Funding
Conflicts of Interest
Abbreviations
| PV | Photovoltaic |
| STC | Standard test conditions |
| MPP | Maximum power point |
| PMMA | Polymethyl methacrylate |
| PV/T | PV/thermal |
| BIPVT | Building-integrated photovoltaic/thermal |
| DSSC | Dye-sensitized solar cells |
| OSC | Organic solar cells |
| PSC | Perovskite solar cells |
| APVB | Acoustic photovoltaic barriers |
| PVSV | Photovoltaic sound barriers |
| PVNB | Photovoltaic noise barriers |
| NPV | Net present value |
| LCOE | Levelized cost of energy |
| DH | Damp-heat |
| PIPVT | Pavement-integrated photovoltaic thermal |
| PIPV | Pavement-integrated photovoltaic |
| PIST | Pavement-integrated solar thermal |
| CP | Conventional pavement |
| HIE | Heat island effect |
References
- Martins, F.; Felgueiras, C.; Smitkova, M.; Caetano, N. Analysis of fossil fuel energy consumption and environmental impacts in european countries. Energies 2019, 12, 964. [Google Scholar] [CrossRef]
- Abas, N.; Kalair, A.; Khan, N. Review of fossil fuels and future energy technologies. Futures 2015, 69, 31–49. [Google Scholar] [CrossRef]
- National Development and Reform Commission (NDRC) of the People’s Republic of China. China Focus: China Maps Path to Carbon Peak, Neutrality under New Development Philosophy. 2021. Available online: https://en.ndrc.gov.cn/news/mediarusources/202110/t20211027_1301263.html (accessed on 27 October 2021).
- Chen, S.; Lu, X.; Miao, Y.; Logan, K.G.; Michael, B.; Chen, S.; Lu, X.; Miao, Y.; Deng, Y.; Nielsen, C.P.; et al. The potential of photovoltaics to power the belt and road initiative. Joule 2019, 3, 1895–1912. [Google Scholar] [CrossRef]
- Comello, S.; Reichelstein, S.; Sahoo, A. The road ahead for solar PV power. Renew. Sustain. Energy Rev. 2018, 92, 744–756. [Google Scholar] [CrossRef]
- Zhang, Y.; Ma, T.; Yang, H. Grid-connected photovoltaic battery systems: A comprehensive review and perspectives. Appl. Energy 2022, 328, 120182. [Google Scholar] [CrossRef]
- Papadimitriou, C.N.; Psomopoulos, C.S.; Kehagia, F. A review on the latest trend of Solar Pavements in Urban Environment. Energy Procedia 2019, 157, 945–952. [Google Scholar] [CrossRef]
- Kehagia, F.; Mirabella, S.; Psomopoulos, C.S. Solar pavement: A new source of energy. In Bituminous Mixtures and Pavements VII: Proceedings of the 7th International Conference ‘Bituminous Mixtures and Pavements’ (7ICONFBMP), June 12–14, 2019, Thessaloniki, Greece; CRC Press: Boca Raton, FL, USA, 2019; p. 441. [Google Scholar]
- Li, J.; Xiao, F.; Zhang, L.; Amirkhanian, S.N. Life cycle assessment and life cycle cost analysis of recycled solid waste materials in highway pavement: A review. J. Clean. Prod. 2019, 233, 1182–1206. [Google Scholar] [CrossRef]
- Silva, R.V.; de Brito, J.; Lynn, C.J.; Dhi, R.K. Environmental impacts of the use of bottom ashes from municipal solid waste incineration: A review. Resour. Conserv. Recycl. 2019, 140, 23–35. [Google Scholar] [CrossRef]
- Hong Kong ’s CLIMATE ACTION PLAN 2050; Hong Kong SAR: Hong Kong, China, 2021.
- Ministry of Transport of the People’s Republic of China. China Transport Industry Development. Statistical Bulletin; Ministry of Transport of the People’s Republic of China: Beijing, China, 2022.
- Duman, A.C.; Güler, Ö. Techno-economic analysis of off-grid photovoltaic LED road lighting systems: A case study for northern, central and southern regions of Turkey. Build. Environ. 2019, 156, 89–98. [Google Scholar] [CrossRef]
- Babatunde, M.O.; Akinbulire, T.O.; Oluseyi, P.O.; Emezirinwune, M.U. Techno-economic viability of off-grid standalone PV-powered LED street lighting system in Lagos, Nigeria. Afr. J. Sci. Technol. Innov. Dev. 2019, 11, 807–819. [Google Scholar] [CrossRef]
- Ferri, C.; Ziar, H.; Nguyen, T.T.; Hv, L.; Zeman, M.; Isabella, O. Mapping the photovoltaic potential of the roads including the effect of traffic. Renew. Energy 2022, 182, 427–442. [Google Scholar] [CrossRef]
- Del Serrone, G.; Peluso, P.; Moretti, L. Photovoltaic road pavements as a strategy for low-carbon urban infrastructures. Heliyon 2023, 9, 9. [Google Scholar] [CrossRef] [PubMed]
- Zhou, B.; Pei, J.; Calautit, J.K.; Zhang, J.; Guo, F. Solar self-powered wireless charging pavement—A review on photovoltaic pavement and wireless charging for electric vehicles. Sustain. Energy Fuels 2021, 5, 5139–5159. [Google Scholar] [CrossRef]
- Chu, L.; Zhai, S.; Ahmad, W.; Zhang, J.; Zang, Y.; Yan, W.; Li, Y. High-performance largearea perovskite photovoltaic modules. Nano Res. Energy 2022, 1, 9120024. [Google Scholar] [CrossRef]
- Zeng, J.; Bi, L.; Cheng, Y.; Xu, B.; Jen, A.K.-Y. Self-assembled monolayer enabling improved buried interfaces in blade-coated perovskite solar cells for high efficiency and stability. Nano Res. Energy 2022, 1, e9120004. [Google Scholar] [CrossRef]
- Hamakareem, M.I. Solar Roadways: Purpose, Construction, and Applications. The Constructor. Available online: https://theconstructor.org/transportation/solar-roadways-construction-applications/506048/#google_vignette (accessed on 25 April 2021).
- Wei, J.; Xiao, J.; Yuan, D.; Lu, H.; Xu, S.; Huang, Y. Design and experiment of thermoelectric asphalt pavements with power-generation and temperaturereduction functions. Energy Build. 2018, 169, 39–47. [Google Scholar]
- Xie, P.; Wang, H. Potential benefit of photovoltaic pavement for mitigation of urban heat island effect. Appl. Therm. Eng. 2021, 191, 116883. [Google Scholar] [CrossRef]
- Sun, W.; Lu, G.; Ye, C.; Chen, S.; Hou, Y.; Wang, D.; Wang, L.; Oeser, M. The state of the art: Application of green technology in sustainable pavement. Adv. Mater. Sci. Eng. 2018, 2018, 9760464. [Google Scholar] [CrossRef]
- Wama, M.; Yoshinaka, T.; Nishioka, S.; Murakami, H. Reflectivity and Durability Assessment of Solar Heat-Blocking Pavement. In Proceedings of the 5th International Symposium on Asphalt Pavements & Environment (APE); Springer: Cham, Switzerland, 2020. [Google Scholar] [CrossRef]
- Mohajerani, A.; Bakaric, J.; Jeffrey-Bailey, T. The urban heat island effect, its causes, and mitigation, with reference to the thermal properties of asphalt concrete. J. Environ. Manag. 2017, 197, 522–538. [Google Scholar] [CrossRef]
- Efthymiou, C.; Santamouris, M.; Kolokotsa, D.; Koras, A. Development and testing of photovoltaic pavement for heat island mitigation. Sol. Energy 2016, 130, 148–160. [Google Scholar] [CrossRef]
- Javed, M.S.; Zhong, D.; Ma, T.; Song, A.; Ahmed, S. Hybrid pumped hydro and battery storage for renewable energy based power supply system. Appl. Energy 2020, 257, 114026. [Google Scholar] [CrossRef]
- Javed, M.S.; Ma, T.; Jurasz, J.; Canales, F.A.; Lin, S.; Ahmed, S.; Zhang, Y. Economic analysis and optimization of a renewable energy based power supply system with different energy storages for a remote island. Renew. Energy 2021, 164, 1376–1394. [Google Scholar] [CrossRef]
- Ma, T.; Yang, H.; Lu, L. Development of hybrid battery–supercapacitor energy storage for remote area renewable energy systems. Appl. Energy 2015, 153, 56–62. [Google Scholar] [CrossRef]
- Javed, M.S.; Song, A.; Ma, T. Techno-economic assessment of a stand-alone hybrid solar-wind-battery system for a remote island using genetic algorithm. Energy 2019, 176, 704–717. [Google Scholar] [CrossRef]
- van Bijsterveld, W.T.; Houben, L.J.M.; Scarpas, A.; Molenaar, A.A.A. Using pavement as solar collector: Effect on pavement temperature and structural response. Transp. Res. Rec. 2001, 1778, 140–148. [Google Scholar] [CrossRef]
- Suh, I.; Kim, J. Electric vehicle on-road dynamic charging system with wireless power transfer technology. In Proceedings of the 2013 International Electric Machines & Drives Conference, Chicago, IL, USA, 12–15 May 2013. [Google Scholar] [CrossRef]
- Lipson, H.; Kurman, M. Driverless: Intelligent Cars and the Road Ahead; The Mit Press: Cambridge, MA, USA, 2016. [Google Scholar]
- Green, M.A. Photovoltaic technology and visions for the future. Prog. Energy 2019, 1, 013001. [Google Scholar] [CrossRef]
- Gan, P.Y.; Li, Z. Quantitative study on long term global solar photovoltaic market. Renew. Sustain. Energy Rev. 2015, 46, 88–99. [Google Scholar] [CrossRef]
- Shannan, N.M.A.A.; Yahaya, N.Z.; Singh, B. Single-diode model and two-diode model of PV modules: A comparison. In Proceedings of the 2013 IEEE International Conference on Control System, Computing and Engineering, Penang, Malaysia, 29 November–1 December 2013; pp. 210–214. [Google Scholar]
- Zhou, B.; Pei, J.; Xue, B.; Guo, F.; Wen, Y.; Zhang, Z.; Li, R. Solar/road from ‘forced coexistence’ to ‘harmonious symbiosis’. Appl. Energy 2019, 255, 113808. [Google Scholar] [CrossRef]
- Ferwani, R.; Gupta, S. Solar Roadways: A Road Toward Betterment. In Proceedings of Second International Conference on Smart Energy and Communication; Springer: Singapore, 2021; pp. 433–437. [Google Scholar]
- Coutu, R.A., Jr.; Newman, D.; Munna, M.; Tschida, J.H.; Tschida, S. Engineering Tests to Evaluate the Feasibility of an Emerging Solar Pavement Technology for Public Roads and Highways. Technologies 2020, 8, 9. [Google Scholar] [CrossRef]
- Northmore, A.; Tighe, S. Developing innovative roads using solar technologies. In Proceedings of the International Transportation Specialty Conference of the Canadian Society of Civil Engineers Conference, Edmonton, AB, Canada, 6–9 June 2012. [Google Scholar]
- Northmore, A.B. Canadian Solar Road Panel Design: A Structural and Environmental Analysis; University of Waterloo: Waterloo, ON, Canada, 2014. [Google Scholar]
- Northmore, A.B.; Tighe, S.L. Performance modelling of a solar road panel prototype using finite element analysis. Int. J. Pavement Eng. 2016, 17, 449–457. [Google Scholar] [CrossRef]
- Zha, X.; Zhang, C.; Wu, Z.; Zhang, Q. Mechanical analysis and model preparation for hollow slab element of solar pavement. Acta Energiae Solaris Sin. 2016, 37, 136–141. [Google Scholar]
- Dezfooli, A.S.; Nejad, F.M.; Zakeri, H.; Kazemifard, S. Solar pavement: A new emerging technology. Sol. Energy 2017, 149, 272–284. [Google Scholar] [CrossRef]
- Ma, T.; Yang, H.; Gu, W.; Li, Z.; Yan, S. Development of walkable photovoltaic floor tiles used for pavement. Energy Convers. Manag. 2019, 183, 764–771. [Google Scholar] [CrossRef]
- Li, Z. Research on Preparation and Performance of Material and Model for Solar Pavement Based on Transparent Resin Concrete. Master’s Thesis, Changsha University of Science and Technology, Changsha, China, 2018. [Google Scholar]
- Li, Y.; Zhang, J.; Cao, Y.; Hu, Q.; Guo, X. Design and evaluation of light-transmitting concrete (LTC) using waste tempered glass: A novel concrete for future photovoltaic road. Constr. Build. Mater. 2021, 280, 122551. [Google Scholar] [CrossRef]
- Vizzari, D.; Puntorieri, P.; Pratico, F.; Fiamma, V.; Barbaro, G. Energy harvesting from solar and permeable pavements: A feasibility study. Ann. Chim. Sci. Des. Mater. 2018, 42, 517–534. [Google Scholar] [CrossRef]
- Vizzari, D.; Puntorieri, P.; Pratico, F.; Fiamma, V.; Barbaro, G. Solar and permeable road: A prototypical study. In Proceedings of the RILEM International Symposium on Bituminous Materials; RILEM Bookseries; Springer: Cham, Switzeland, 2021; Volume 27. [Google Scholar] [CrossRef]
- Vizzari, D.; Chailleux, E.; Gennesseaux, E.; Lavaud, S.; Vignard, N. Viscoelastic characterisation of transparent binders for application on solar roads. Road Mater. Pavement Des. 2019, 20 (Suppl. S1), S112–S126. [Google Scholar] [CrossRef]
- Vizzari, D.; Chailleux, E.; Lavaud, S.; Gennesseaux, E.; Bouron, S. Fraction factorial design of a novel semi-transparent layer for applications on solar roads. Infrastructure 2020, 5, 5. [Google Scholar] [CrossRef]
- Demir, E.; Uçar, S. Effect of traffic flow on electricity generation with photovoltaic panels on roads. Kent Akad. 2021, 14, 335–346. [Google Scholar] [CrossRef]
- Selvaraju, R.K. Characterization of Solar Roadways via Computational and Experimental Investigations. Master’s Thesis, The University of Western Ontario, London, ON, Canada, 2012; p. 906. Available online: https://ir.lib.uwo.ca/etd/906 (accessed on 23 October 2012).
- Wu, L.; Yuan, Y.; Wu, H. Solar road power generation assessment based on coupled transportation and power distribution systems. J. Phys. Conf. 2020, 1659, 12041. [Google Scholar] [CrossRef]
- Liu, Z.; Yang, A.; Gao, M.; Jiang, H.; Kang, Y.; Zhang, F.; Fei, T. Towards feasibility of photovoltaic road for urban traffic-solar energy estimation using street view image. J. Clean. Prod. 2019, 228, 303–318. [Google Scholar] [CrossRef]
- Radziemska, E. The effect of temperature on the power drop in crystalline silicon solar cells. Renew. Energy 2003, 28, 1–12. [Google Scholar] [CrossRef]
- Singh, P.; Ravindra, N.M. Temperature dependence of solar cell performancedan analysis. Sol. Energy Mater. Sol. Cells 2012, 101, 36–45. [Google Scholar] [CrossRef]
- Maka, A.O.; O’Donovan, T.S. Modelling of the thermal behaviour of solar high concentrating photovoltaic receiver. Therm. Sci. Eng. Prog. 2019, 9, 281–288. [Google Scholar] [CrossRef]
- Zhang, Y.; Ma, T.; Yang, H.; Cao, S.; Wang, Y. Solar Energy Harvesting from the Photovoltaic/Thermal (PV/T) Pavement: Energy Performance Analyses and Comparison Considering Ground Influence. Sustain. Cities Soc. 2023, 99, 104895. [Google Scholar] [CrossRef]
- Klimenta, D.; Jevtić, M.; Andriukaitis, D.; Mijailović, V. Increasing the Transmission Performance of a Conventional 110 KV Cable Line by Combining a Hydronic Concrete Pavement System with Photovoltaic Floor Tiles. Electr. Eng. 2021, 103, 1401–1415. [Google Scholar] [CrossRef]
- Debbarma, M.; Sudhakar, K.; Baredar, P. Thermal modeling, exergy analysis, performance of BIPV and BIPVT: A review, Renew. Sustain. Energy Rev. 2017, 73, 1276–1288. [Google Scholar] [CrossRef]
- Buonomano, A.; Calise, F.; Palombo, A.; Vicidomini, M. BIPVT systems for residential applications: An energy and economic analysis for European climates. Appl. Energy 2016, 184, 1411–1431. [Google Scholar] [CrossRef]
- Mishra, G.K.; Tiwari, G.N. Performance evaluation of 7.2kWp standalone building integrated semi-transparent photovoltaic thermal system. Renew. Energy 2020, 146, 205–222. [Google Scholar] [CrossRef]
- Zhou, B.; Pei, J.; Calautit, J.K.; Zhang, J.; Yong, L.X.; Pantua, C.A.J. Analysis of mechanical response and energy efficiency of a pavement integrated photovoltaic/thermal system (PIPVT). Renew. Energy 2022, 194, 1–12. [Google Scholar] [CrossRef]
- Zhou, B.; Pei, J.; Hughes, B.R.; Nasir, D.S.; Zhang, J. Analysis of mechanical properties for two different structures of photovoltaic pavement unit block. Constr. Build. Mater. 2020, 239, 117864. [Google Scholar] [CrossRef]
- Zhou, B.; Pei, J.; Nasir, D.M.; Zhang, J. A review on solar pavement and photovoltaic/thermal (PV/T) system. Transp. Res. D 2021, 93, 102753. [Google Scholar] [CrossRef]
- López-Escalante, M.C.; Fernández-Rodríguez, M.; Caballero, L.J.; Martín, F.; Gabás, M.; Ramos-Barrado, J.R. Novel encapsulant architecture on the road to photovoltaic module power output increase. Appl. Energy 2018, 228, 1901–1910. [Google Scholar] [CrossRef]
- Zha, X.; Qiu, M.; Hu, H.; Hu, J.; Lv, R.; Pan, Q. Simulation of structure and power generation for self-compacting concrete hollow slab solar pavement with micro photovoltaic array. Sustain. Energy Technol. Assess. 2022, 53, 102798. [Google Scholar] [CrossRef]
- Patila, A.R.; Khairnara, V.Y.; Kokatea, D.A.V.; Narkhede, D.R.S. A novel route for construction of smart highways by using photovoltaic solar panels. Int. J. Res. Anal. Rev. 2018, 5, 491–496. [Google Scholar]
- Li, S.; Ma, T.; Wang, D. Photovoltaic Pavement and Solar Road: A Review and Perspectives. Sustain. Energy Technol. Assess. 2023, 55, 102933. [Google Scholar] [CrossRef]
- Lee, K.; Correia, A.J. A Pilot Study for Investigation of Novel Methods to Harvest Solar Energy from Asphalt Pavements; Korea Institute of Construction Technology (KICT): Goyang City, Republic of Korea, 2010. [Google Scholar]
- GW Debuts Solar Walk on the Virginia Science and Technology Campus. GWTODAY 2013. 2013. Available online: https://gwtoday.gwu.edu/gw-debuts-solar-walk-virginia-science-and-technology-campus (accessed on 14 July 2021).
- Coutu, R.A., Jr.; Newman, D.; Crovetti, J.; Mishra, A.K.; Munna, M.; Delbridge-Ramos, A.; Brusaw, J.; Brusaw, S. Testing Photovoltaic Pavers for Roadway Applications. Sustain. Environ. 2019, 4, 86. [Google Scholar] [CrossRef]
- Yang, H.; Tao, M. Research and Development of Solar PV Pavement Panels for Application on the Green Deck (Final Report); The Hong Kong Polytechnic University (PolyU): Hongkong, China, 2016. [Google Scholar]
- Yuan, H.; Guan, Y.; Zhang, X.; Sun, R.; Ge, Z.; Li, W.; Feng, Y. Numerical Investigation of the Mechanical Response of Solar Pavement Based on Cement Concrete Under Vehicle and Temperature Loading. Arab. J. Sci. Eng. 2023, 48, 5305–5319. [Google Scholar] [CrossRef]
- Northmore, A.; Tighe, S. Innovative pavement design: Are solar roads feasible? In Proceedings of the Conference of the Transportation Association of Canada-Transportation: Innovations and Opportunities, Fredericton, NB, Canada, 14–17 October 2012. [Google Scholar]
- Munshi, A.H.; Sasidharan, N.; Pinkayan, S.; Barth, K.L.; Sampath, W.S.; Ongsakul, W. Thinfilm CdTe photovoltaics—The technology for utility scale sustainable energy generation. Sol. Energy 2018, 173, 511–516. [Google Scholar] [CrossRef]
- Tan, S.; Das, N.; Helwig, A.; Islam, S. Nano-structured gaas solar cell design, simulation and analysis for conversion efficiency improvement. In Proceedings of the 2018 Australasian Universities Power Engineering Conference, AUPEC 2018, Auckland, New Zealand, 27–30 November 2018. [Google Scholar] [CrossRef]
- Shekhar, A.; Kumaravel, V.K.; Klerks, S.; de Wit, S.; Venugopal, P.; Narayan, N.; Bauer, P.; Isabella, O.; Zeman, M. Harvesting roadway solar energy—Performance of the installed infrastructure integrated PV bike path. IEEE J. Photovolt. 2018, 8, 1066–1073. [Google Scholar] [CrossRef]
- Wanninayake, W.M.N.M.B.; Premaratne, K.; Kumara, G.R.A.; Rajapakse, R.M.G. Use of lithium iodide and tetrapropylammonium iodide in gel electrolytes for improved performance of quasi-solid-state dye-sensitized solar cells: Recording an efficiency of 6.40%. Electrochim. Acta 2016, 191, 1037–1043. [Google Scholar] [CrossRef]
- Duan, L.; Elumalai, N.K.; Zhang, Y.; Uddin, A. Progress in non-fullerene acceptor based organic solar cells. Sol. Energy Mater. Sol. Cells 2019, 193, 22–65. [Google Scholar] [CrossRef]
- Yang, R.; Li, R.; Cao, Y.; Wei, Y.; Miao, Y.; Tan, W.L.; Jiao, X.; Chen, H.; Zhang, L.; Chen, Q.; et al. Oriented Quasi-2D perovskites for high performance optoelectronic devices. Adv. Mater. 2018, 30, e1804771. [Google Scholar] [CrossRef] [PubMed]
- Bowen, C.R.; Taylor, J.; LeBoulbar, E.; Zabek, D.; Chauhan, A.; Vaish, R. Pyroelectric materials and devices for energy harvesting applications. Energy Environ. Sci. 2014, 7, 3836–3856. [Google Scholar] [CrossRef]
- Lee, K.W.; Correia, A.J.; Lee, K.-H.; Neilan, B.D.J.; Gregor, S. Solar energy harvesting from roadways. In Proceedings of the 93rd Annual Meeting of Transportation Research Board, Washington, DC, USA, 12–16 January 2014; pp. 4380-1–4380-18. [Google Scholar]
- Li, S.; Chen, Z.; Liu, X.; Zhang, X.; Zhou, Y.; Gu, W.; Ma, T. Numerical Simulation of a Novel Pavement Integrated Photovoltaic Thermal (PIPVT) Module. Appl. Energy 2021, 283, 116287. [Google Scholar] [CrossRef]
- Li, S.; Gu, W.; Liu, X.; Zhou, Y.; Chen, Z.; Zhang, X.; Ma, T. Pavement Integrated Photovoltaic Thermal (PIPVT) System: A Temporal and Spatial Analysis of Energy and Exergy Performance. J. Clean. Prod. 2022, 340, 130782. [Google Scholar] [CrossRef]
- Grasselli, U.; Schirone, L.; Bellucci, P. Infrastructures integration of photovoltaic power. In Proceedings of the International Conference on Clean Electrical Power, ICCEP’07, Capri, Itlay, 21–23 May 2007; pp. 397–400. [Google Scholar]
- Trials of Renewable Energy in Highways. The Tech Journal. 2011. Available online: https://thetechjournal.com/green-tech/trials-of-renewable-energy-in-highways.xhtml (accessed on 8 March 2024).
- Bobes-Jesus, V.; Pascual-Muñoz, P.; Castro-Fresno, D.; Rodriguez-Hernandez, J. Asphalt solar collectors: A literature review. Appl. Energy 2013, 102, 962–970. [Google Scholar] [CrossRef]
- Wang, H.; Jasim, A.; Chen, X. Energy Harvesting Technologies in Roadway and Bridge for Different Applications—A Comprehensive Review. Appl. Energy 2018, 212, 1083–1094. [Google Scholar] [CrossRef]
- Ahmad, S.; Abdul Mujeebu, M.; Farooqi, M.A. Energy harvesting from pavements and roadways: A comprehensive review of technologies, materials, and challenges. Int. J. Energy Res. 2019, 43, 1974–2015. [Google Scholar] [CrossRef]
- Gholikhani, M.; Roshani, H.; Dessouky, S.; Papagiannakis, A.T. A critical review of roadway energy harvesting technologies. Appl. Energy 2020, 261, 114388. [Google Scholar] [CrossRef]
- Sharma, P.; Harinarayana, T. Solar energy generation potential along national highways. Int. J. Energy Environ. Eng. 2013, 4, 16. [Google Scholar] [CrossRef]
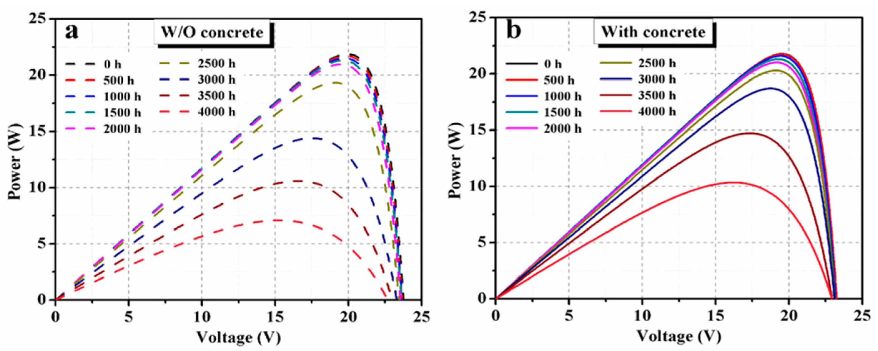
- Khan, F.; Kim, J.H. Performance Degradation Analysis of C-Si PV Modules Mounted on a Concrete Slab under Hot-Humid Conditions Using Electroluminescence Scanning Technique for Potential Utilization in Future Solar Roadways. Materials 2019, 12, 4047. [Google Scholar] [CrossRef]







| Surface Layer | Pros | Cons |
|---|---|---|
| Tempered glass | With excellent compressive strength, high light transmittance, and long lifecycle, it can be modified on the surface and has the functions of self-cleaning and anti-skid enhancement | High cost, heavy weight, the skid resistance is relatively poor |
| Reinforced resins (Such as PMMA) | Affordable, lightweight | Prone to yellowing and aging, resulting in degradation of mechanical and optical properties |
| Glass aggregates bonded by resins | Performs well in anti-skid, and the performance can be adjusted according to the requirements | Comparatively poor transmittance and brief lifespan |
| Type | Example Ground Pressure Values |
|---|---|
| Human | 5–50 kPa |
| Road-racing bicycle | 620 kPa |
| Mountain bicycle | 245 kPa |
| Passenger car | 205 kPa |
| Middle Layer | Pros | Cons |
|---|---|---|
| Solid structure | Uniform surface compression force to maintain the stability of the overall structure | Solar cells are directly responsible for transmitting the load |
| Hollow structure | Solar cells are free from stress, and the placement angle can be flexibly adjusted | The causes of surface damage include uneven compression, complex manufacturing processes, moisture penetration, and so on |
| Silicon cells | High operating efficiency, cost-reduction | Easily damaged |
| Film cells | flexibility, low temperature coefficient, and degradation rate (CdTe) [77], high efficiency (GaAs) [78], and can work in low-light environment | Most types of efficiency are relatively low |
| Bottom Layer | Pros | Cons |
|---|---|---|
| Tempered glass | Excellent stability | Higher cost |
| Concrete floor | Large heat capacity, excellent cooling effect and compressive strength | Heavy and expensive, and requires large equipment to assist in installation |
| Resin and polymer substrate | Affordable, and some of them use waste and recycled materials, which have ecological benefits | Vulnerable to aging |
| Porous layer with working fluid | Cooling effect and external thermal benefit | Due to the influence of porous structure, the bearing capacity is low |
Disclaimer/Publisher’s Note: The statements, opinions and data contained in all publications are solely those of the individual author(s) and contributor(s) and not of MDPI and/or the editor(s). MDPI and/or the editor(s) disclaim responsibility for any injury to people or property resulting from any ideas, methods, instructions or products referred to in the content. |
© 2024 by the authors. Licensee MDPI, Basel, Switzerland. This article is an open access article distributed under the terms and conditions of the Creative Commons Attribution (CC BY) license (https://creativecommons.org/licenses/by/4.0/).
Share and Cite
Mao, M.; Ni, X. A Comprehensive Review of Physical Models and Performance Evaluations for Pavement Photovoltaic Modules. Energies 2024, 17, 2561. https://doi.org/10.3390/en17112561
Mao M, Ni X. A Comprehensive Review of Physical Models and Performance Evaluations for Pavement Photovoltaic Modules. Energies. 2024; 17(11):2561. https://doi.org/10.3390/en17112561
Chicago/Turabian StyleMao, Mingxuan, and Xiaoyu Ni. 2024. "A Comprehensive Review of Physical Models and Performance Evaluations for Pavement Photovoltaic Modules" Energies 17, no. 11: 2561. https://doi.org/10.3390/en17112561
APA StyleMao, M., & Ni, X. (2024). A Comprehensive Review of Physical Models and Performance Evaluations for Pavement Photovoltaic Modules. Energies, 17(11), 2561. https://doi.org/10.3390/en17112561
