Investigation of Proton Exchange Membrane Fuel Cell Performance by Exploring the Synergistic Effects of Reaction Parameters via Power Curve and Impedance Spectroscopy Analysis
Abstract
1. Introduction
2. Materials and Methods
2.1. Electrochemical Impedance Measurements
2.2. Equivalent Circuit Modeling
3. Results and Discussion
3.1. Electrochemical Impedance Spectrometry
3.2. Equivalent Circuit Modeling Analysis
3.3. Effect of Cell Temperature
3.4. Effect of Relative Humidity of Reactant Gases
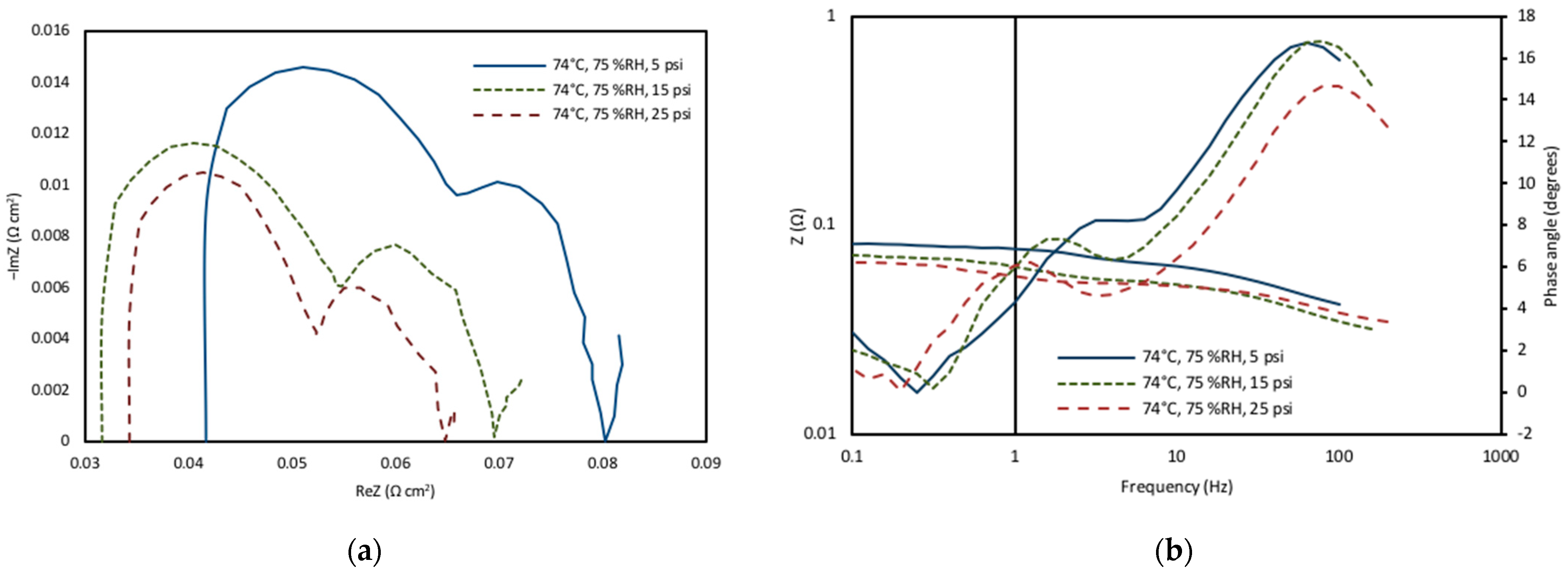
3.5. Effect of Back Pressure of Reactant Gases
4. Conclusions
Author Contributions
Funding
Data Availability Statement
Acknowledgments
Conflicts of Interest
References
- Jacobson, M.Z.; Delucchi, M.A.; Bauer, Z.A.F.; Goodman, S.C.; Chapman, W.E.; Cameron, M.A.; Bozonnat, C.; Chobadi, L.; Clonts, H.A.; Enevoldsen, P.; et al. 100% Clean and Renewable Wind, Water, and Sunlight All-Sector Energy Roadmaps for 139 Countries of the World. Joule 2017, 1, 108–121. [Google Scholar] [CrossRef]
- Armaroli, N.; Balzani, V. The Future of Energy Supply: Challenges and Opportunities. Angew. Chem. Int. Ed. 2006, 46, 52–66. [Google Scholar] [CrossRef] [PubMed]
- Gaurav, N.; Sivasankari, S.; Kiran, G.; Ninawe, A.; Selvin, J. Utilization of bioresources for sustainable biofuels: A Review. Renew. Sustain. Energy Rev. 2017, 73, 205–214. [Google Scholar] [CrossRef]
- Abbas, Q.; Mirzaeian, M.; Hunt, M.; Hall, P.; Raza, R. Current State and Future Prospects for Electrochemical Energy Storage and Conversion Systems. Energies 2020, 13, 5847. [Google Scholar] [CrossRef]
- Cheng, X.; Shi, Z.; Glass, N.; Zhang, L.; Zhang, J.; Song, D.; Liu, Z.-S.; Wang, H.; Shen, J. A review of PEM hydrogen fuel cell contamination: Impacts, mechanisms, and mitigation. J. Power Sources 2007, 165, 739–756. [Google Scholar] [CrossRef]
- Mo, S.; Du, L.; Huang, Z.; Chen, J.; Zhou, Y.; Wu, P.; Meng, L.; Wang, N.; Xing, L.; Zhao, M.; et al. Recent Advances on PEM Fuel Cells: From Key Materials to Membrane Electrode Assembly. Electrochem. Energy Rev. 2023, 6, 28. [Google Scholar] [CrossRef]
- Endoh, E.; Terazono, S.; Widjaja, H.; Takimoto, Y. Degradation study of MEA for PEMFCs under low humidity conditions. Electrochem. Solid-State Lett. 2004, 7, A209. [Google Scholar] [CrossRef]
- Wang, Y.; Chen, K.; Mishler, J.; Cho, S.; Adroher, X. A review of polymer electrolyte membrane fuel cells: Technology, applications, and needs on fundamental research. Appl. Energy 2011, 88, 981–1007. [Google Scholar] [CrossRef]
- St-Pierre, J.; Wilkinson, D.P.; Knights, S.; Bos, M. Relationships between water management, contamination and lifetime degradation in PEFC. J. New Mater. Electrochem. Syst. 2000, 3, 99–106. [Google Scholar]
- Berg, P.; Promislow, K.; Pierre, J.; Stumper, J.; Wetton, B. Water management in PEM fuel cells. J. Electrochem. Soc. 2004, 151, 341–353. [Google Scholar] [CrossRef]
- Freire, T.J.P.; Gonzalez, E.R. Effect of membrane characteristics and humidification conditions on the impedance response of polymer electrolyte fuel cells. J. Electroanal. Chem. 2001, 503, 57–68. [Google Scholar] [CrossRef]
- Picot, D.; MMetkemeljer, R.R.; Bezian, J.; Rouveyr, L. Impact of the water symmetry factor on humidification and cooling strategies for PEM fuel cell stacks. J. Power Sources 1998, 75, 251–260. [Google Scholar] [CrossRef]
- Bao, C.; Ouyang, M.; Yi, B. Analysis of water management in proton exchange membrane fuel cells. Tsinghua Sci. Technol. 2006, 11, 54–64. [Google Scholar] [CrossRef]
- Sridhar, P.; Perumal, R.; Rajalakshmi, N.; Raja, M. Dhathathreyan. Humidification studies on polymer electrolyte membrane fuel cell. J. Power Sources 2001, 101, 72–78. [Google Scholar] [CrossRef]
- Choi, K.H.; Park, D.; Rho, Y.; Kho, Y.T.; Lee, T.H. A study of the internal humidification of an integrated PEMFC stack. J. Power Sources 1998, 74, 146–150. [Google Scholar] [CrossRef]
- Staschewski, D. Internal humidifying of PEM fuel cells. Int. J. Hydrogen Energy 1996, 21, 381–385. [Google Scholar] [CrossRef]
- Majsztrik, P.; Bocarsly, A.; Benziger, J. Water permeation through nafion membranes: The role of water activity. J. Phys. Chem. B 2008, 112, 16280–16289. [Google Scholar] [CrossRef]
- Yan, S.; Yang, M.; Sun, C.; Xu, S. Liquid Water Characteristics in the Compressed Gradient Porosity Gas Diffusion Layer of Proton Exchange Membrane Fuel Cells Using the Lattice Boltzmann Method. Energies 2023, 16, 6010. [Google Scholar] [CrossRef]
- Pourrahmani, H.; Van Herle, J. Water management of the proton exchange membrane fuel cells: Optimizing the effect of microstructural properties on the gas diffusion layer liquid removal. Energy 2022, 256, 124712. [Google Scholar] [CrossRef]
- Ijaodola, O.; El, Z.; Ogungbemi, E.; Khatib, F.; Wilberforce, T.; Thompson, J.; Olabi, A. Energy efficiency improvements by investigating the water flooding management on proton exchange membrane fuel cell (PEMFC). Energy 2019, 179, 246–267. [Google Scholar] [CrossRef]
- Yi, J.; Yang, J.D.; King, C. Water management along the flow channels of PEM fuel cells. AIChE J. 2004, 50, 2594–2603. [Google Scholar] [CrossRef]
- Wilkinson, D.; Voss, H.; Prater, K. Water management and stack design for solid polymer fuel cells. J. Power Sources 1994, 19, 117. [Google Scholar] [CrossRef]
- Carmo, M.; Fritz, D.L.; Mergel, J.; Stolten, D. A comprehensive review on PEM water electrolysis. Int. J. Hydrogen Energy 2013, 38, 4901–4934. [Google Scholar] [CrossRef]
- Steele, B.C.; Heinzel, A. Materials for fuel-cell technologies. Nature 2001, 414, 345–352. [Google Scholar] [CrossRef] [PubMed]
- Le, A.D.; Zhou, B. A general model of proton exchange membrane fuel cell. J. Power Sources 2008, 182, 197–222. [Google Scholar] [CrossRef]
- Mann, R.; Amphlett, J.; Peppley, B.; Thurgood, C. Application of Butler–Volmer equations in the modelling of activation polarization for PEM fuel cells. J. Power Sources 2006, 161, 775–781. [Google Scholar] [CrossRef]
- Cong, Z.; Li, X. A new one dimensional steady state model for PEM fuel cell. World Electr. Veh. J. 2010, 4, 437–444. [Google Scholar] [CrossRef]
- Lee, J.; Joo, J.; Lee, J. Effect of hydrogen partial pressure on a polymer electrolyte fuel cell performance. Korean J. Chem. Eng. 2010, 27, 843–847. [Google Scholar] [CrossRef]
- Bi, W.; Deng, Y.; Sun, Q.; Fuller, T.F. The effect of humidity and oxygen partial pressure on degradation of Pt/C catalyst in PEM fuel cell. Electrochim. Acta 2009, 54, 1826–1833. [Google Scholar] [CrossRef]
- Wu, J.; Yuan, X.; Wang, H.; Blanco, M.; Martin, J.; Zhang, J. Diagnostic tools in PEM fuel cell research: Part I electrochemical techniques. Int. J. Hydrogen Energy 2008, 33, 1735–1746. [Google Scholar] [CrossRef]
- Brunetto, C.; Tina, G.; Squadrito, G.; Moschetto, G. PEMFC diagnostics and modeling by electrochemical impedance spectroscopy. In Proceedings of the 12th IEEE Mediterranean Electrochemical Conference, Dubrovnik, Croatia, 12–15 May 2004; Volume 3, pp. 1045–1050. [Google Scholar]
- Springer, T.; Zawodzinski, T.; Wilson, M.; Gottesfeld, S. Characterization of polymer electrolyte fuel cells using AC impedance spectroscopy. J. Electrochem. Soc. 1996, 143, 587–599. [Google Scholar] [CrossRef]
- Andreaus, B.; McEvoy, A.; Scherer, G. Analysis of performance losses in polymer electrolyte fuel cells at high current densities by impedance spectroscopy. Electrochim. Acta 2002, 47, 2223–2229. [Google Scholar] [CrossRef]
- Tang, X.; Zhang, Y.; Xu, S. Temperature sensitivity characteristics of PEM fuel cell and output performance improvement based on optimal active temperature control. Int. J. Heat Mass Transf. 2023, 206, 123966. [Google Scholar] [CrossRef]
- Choi, J.; Sim, J.; Oh, H.; Min, K. Resistance Separation of Polymer Electrolyte Membrane Fuel Cell by Polarization Curve and Electrochemical Impedance Spectroscopy. Energies 2021, 14, 1491. [Google Scholar] [CrossRef]
- Lee, S.; Mukerjee, S.; McBreen, J.; Rho, Y.; Kho, Y.; Lee, T. Effects of Nafion impregnation on performances of PEMFC electrodes. Electrochim. Acta 1998, 43, 3693. [Google Scholar] [CrossRef]
- Hakenjos, A.; Zobel, M.; Clausnitzer, J.; Hebling, C. Simultaneous electrochemical impedance spectroscopy of single cells in a PEM fuel cell stack. J. Power Sources 2006, 154, 360. [Google Scholar] [CrossRef]
- Giner-Sanz, J.; Pérez-Herranz, V.; Ortega, E.M. Mechanistic equivalent circuit modelling of a commercial polymer electrolyte membrane fuel cell. J. Power Sources 2018, 379, 328–337. [Google Scholar] [CrossRef]
- del Real, A.; Arce, A.; Carlos, B. Development and experimental validation of a PEM fuel cell dynamic model. J. Power Sources 2007, 173, 310–324. [Google Scholar] [CrossRef]
- Zhao, L.; Dai, H.; Pei, F.; Ming, P.; Wei, X.; Zhao, J. A Comparative Study of Equivalent Circuit Models for Electro-Chemical Impedance Spectroscopy Analysis of Proton Exchange Membrane Fuel Cells. Energies 2022, 15, 386. [Google Scholar] [CrossRef]
- Seo, S.-J.; Woo, J.-J.; Yun, S.-H.; Lee, H.-J.; Park, J.-S.; Xu, T.; Yang, T.-H.; Lee, J.; Moon, S.-H. Analyses of interfacial resistances in a membrane-electrode assembly for a proton exchange membrane fuel cell using symmetrical impedance spectroscopy. Phys. Chem. Chem. Phys. 2010, 12, 15291–15300. [Google Scholar] [CrossRef]
- Kurz, T.; Hakenjos, A.; Kramer, J.; Zedda, M.; Agert, C. An impedance-based predictive control strategy for the state-of-health of PEM fuel cell stacks. J. Power Sources 2008, 180, 742–747. [Google Scholar] [CrossRef]
- Kadyk, T.; Hanke-Rauschenbach, R.; Sundmacher, K. Nonlinear frequency response analysis of PEM fuel cells for diagnosis of dehydration, flooding and CO-poisoning. J. Electroanal. Chem. 2009, 630, 19–27. [Google Scholar] [CrossRef]
- Wang, M.; Zeng, Z.; Ma, Z.; Dong, C. A comprehensive review of equivalent circuit models for proton exchange membrane fuel cells. Int. J. Hydrogen Energy 2020, 45, 20368–20383. [Google Scholar]
- Jiang, C.; Shi, L.; Wang, X.; Sun, T. Electrochemical Impedance Spectroscopy Analysis of a Proton Exchange Membrane Fuel Cell Using a Modified Equivalent Circuit Model. J. Power Sources 2016, 308, 163–1692016. [Google Scholar]
- Askaripour, H. Effect of operating conditions on the performance of a PEM fuel cell. Int. J. Heat Mass Transf. 2019, 144, 118705. [Google Scholar] [CrossRef]
- Chavan, S.; Talange, D. Electrical Equivalent Circuit Modeling and Parameter Estimation for PEM Fuel Cell. In Proceedings of the International Conference on Innovations in Power and Advanced Computing Technologies, Vellore, India, 21–22 April 2017. [Google Scholar]
- Dhirde, A.; Dale, N.; Salehfar, H.; Mann, M.; Han, T. Equivalent Electric Circuit Modeling and Performance Analysis of a PEM Fuel Cell Stack Using Impedance Spectroscopy. IEEE Trans. Energy Convers. 2010, 25, 778–786. [Google Scholar] [CrossRef]
- Martín, I.; Ursúa, A.; Sanchis, P. Modelling of PEM Fuel Cell Performance: Steady-State and Dynamic Experimental Validation. Energies 2014, 7, 670–700. [Google Scholar] [CrossRef]
- Jin, Z. A Novel Method for Parameter Identification of Fuel Cell Equivalent Circuit Model. J. Phys. Conf. Ser. 2021, 1754, 012004. [Google Scholar] [CrossRef]
- Li, H.; Zhang, J.; Fatih, K.; Wang, Z.; Tang, Y.; Shi, Z. Polymer electrolyte membrane fuel cell contamination: Testing and diagnosis of toluene-induced cathode degradation. J. Power Sources 2008, 185, 272–279. [Google Scholar] [CrossRef]
- Brunetto, C.; Moschetto, A.; Tina, G. PEM fuel cell testing by electrochemical impedance spectroscopy. Electr. Power Syst. Res. 2009, 79, 17–26. [Google Scholar] [CrossRef]
- Reshetenko, T.; Kulikovsky, A. On the Origin of High Frequency Impedance Feature in a PEM Fuel Cell. J. Electrochem. Soc. 2019, 166, F1253–F1257. [Google Scholar] [CrossRef]
- Easton, E.; Astill, T.; Holdcroft, S. Properties of gas diffusion electrodes containing sulfonated poly. J. Electrochem. Soc. 2005, 152, 752. [Google Scholar] [CrossRef]
- Ciureanu, M.; Roberge, R. Electrochemical impedance study of PEM fuel cells. Experimental diagnostics and modeling of air cathodes. J. Phys. Chem. B 2001, 105, 3531–3539. [Google Scholar] [CrossRef]
- Siracusano, S.; Trocino, S.; Briguglio, N.; Baglio, V.; Aricò, A.S. Electrochemical Impedance Spectroscopy as a Diagnostic Tool in Polymer Electrolyte Membrane Electrolysis. Materials 2018, 11, 1368. [Google Scholar] [CrossRef]
- Elsøe, K.; Grahl-Madsen, L.; Scherer, G.; Hjelm, J.; Mogensen, M. Electrochemical Characterization of a PEMEC Using Impedance Spectroscopy. J. Electrochem. Soc. 2017, 164, 1419–1426. [Google Scholar] [CrossRef]
- Romero-Castanon, T.; Arriaga, L.; Cano-Castillo, U. Impedance spectroscopy as a tool in the evaluation of MEAs. J. Power Sources 2003, 118, 179–182. [Google Scholar] [CrossRef]
- Fischer, A.; Jindra, J.; Wendt, H. Porosity and catalyst utilization of thin layer cathodes in air operated PEM-fuel cells. J. Appl. Electrochem. 1998, 28, 277–282. [Google Scholar] [CrossRef]
- Wagner, N. Characterization of membrane electrode assemblies in poly-mer electrolyte fuel cells using ac impedance spectroscopy. J. Appl. Electrochem. 2002, 32, 859–863. [Google Scholar] [CrossRef]
- Parthasarathy, A. An Electrochemical Impedance Spectroscopic Analysis of Oxygen Reduction Kinetics and Nafion Characteristics. J. Electrochem. Soc. 1992, 139, 1634. [Google Scholar] [CrossRef]
- Kurzweil, P.; Fischle, H. A new monitoring method for electrochemical aggregates by impedance spectroscopy. J. Power Sources 2004, 127, 331–340. [Google Scholar] [CrossRef]
- Santarelli, M.G.; Torchio, M.F. Experimental analysis of the effects of the operating variables on the performance of a single PEMFC. Energy Convers. Manag. 2007, 48, 40–51. [Google Scholar] [CrossRef]
- Andreaus, B.; Scherer, G. Effects of Nafion dehydration in PEM fuel cells. Solid State Ion. 2004, 168, 311–320. [Google Scholar] [CrossRef]
- Santana, J.; Espinoza-Andaluz, M.; Li, T.; Andersson, M. A Detailed Analysis of Internal Resistance of a PEFC Comparing High and Low Humidification of the Reactant Gases. Front. Energy Res. 2020, 8, 217. [Google Scholar] [CrossRef]
- Tavakoli, R. The effect of fuel cell operational conditions on the water content distribution in the polymer electrolyte membrane. Renew. Energy 2011, 30, 13. [Google Scholar] [CrossRef]
- Zhang, J.; Tang, Y.; Song, C.; Xia, Z.; Li, H.; Wang, H.; Zhang, J. PEM fuel cell relative humidity (RH) and its effect on performance at high temperatures. Electrochim. Acta 2008, 53, 5315–5321. [Google Scholar] [CrossRef]
- Debenjak, A.; Gašperin, M.; Pregelj, B.; Atanasijević-Kunc, M.; Petrovčič, J.; Jovan, V. Detection of Flooding and Drying inside a PEM Fuel Cell Stack. Stroj. Vestn. J. Mech. Eng. 2013, 59, 56–64. [Google Scholar] [CrossRef]
- Li, H.; Tang, Y.; Wang, Z.; Shi, Z.; Wu, S.; Song, D.; Zhang, J.; Fatih, K.; Zhang, J.; Wang, H.; et al. A review of water flooding issues in the proton exchange membrane fuel cell. J. Power Sources 2008, 178, 103–117. [Google Scholar] [CrossRef]
- Mulyazmi, M.; Daud, W.R.W.; Octavia, S.; Ulfah, M. The Relative Humidity Effect Of The Reactants Flows Into The Cell To Increase PEM Fuel Cell Performance. ATEC Web Conf. 2018, 156, 03033. [Google Scholar] [CrossRef]
- Ciureanu, M.; Mikhailenko, S.; Kaliaguine, S. PEM fuel cells as membrane reactors: Kinetic analysis by impedance spectroscopy. Catal. Today 2003, 82, 195–206. [Google Scholar] [CrossRef]
- Yanzhou, Q.; Qing, D.; Mingzhe, F.; Chang, Y.; Yin, Y. Study on the operating pressure effect on the performance of a proton exchange membrane fuel cell power system. Energy Convers. Manag. 2017, 142, 357–365. [Google Scholar]
- Baschuk, J.; Li, X. Modelling of polymer electrolyte membrane fuel cells with variable degree of water flooding. J. Power Sources 2000, 86, 181–196. [Google Scholar] [CrossRef]
- Misran, E.; Hassan, N.S.M.; Daud, W.R.W.; Majlan, E.H.; Rosli, M.I. Water transport characteristics of a PEM fuel cell at various operating pressures and temperatures. Int. J. Hydrogen Energy 2013, 38, 9401–9408. [Google Scholar] [CrossRef]








| Operating Conditions | Cell Temperature: 50 °C, 62 °C, 74 °C | Back Pressure: 5 psig, 15 psig, 25 psig | Relative Humidity: 25%, 55%, 75% | 
|---|---|---|---|
| Low | 5 psig, 25% RH | 15 psig, 55% RH | 25 psig, 75% RH | 
| Medium | 50 °C, 25% RH | 62 °C, 55% RH | 74 °C, 75% RH | 
| High | 50 °C, 5 psig | 62 °C,15 psig | 74 °C, 5 psig | 
| Element | Dry Conditions (50 °C, 25% RH) | Partially Wetted Conditions (74 °C, 25% RH) | Partially Wetted Conditions (62 °C, 25% RH) | Insufficiently Wetted Conditions (80 °C, 25% RH) | Sufficiently Wetted Conditions (80 °C, 75% RH) | 
|---|---|---|---|---|---|
| Rs | 0.14284 | 0.11312 | 0.07828 | 0.14956 | 0.03310 | 
| C1 | 0.05275 | 0.55893 | 0.20917 | 0.40033 | 0.23030 | 
| Rct | 0.18483 | 0.65535 | 0.04079 | 0.16318 | 0.04748 | 
| Rtm | 0.19114 | 0.05509 | 0.04350 | 0.08816 | 0.03673 | 
| C2 | 0.08283 | 0.29844 | 0.12703 | 1.40510 | 1.12710 | 
| Temperature (°C) | Ohmic Resistance (Ω cm2) | 
|---|---|
| 50 (25% RH) | 0.14284 | 
| 62 (25% RH) | 0.11312 | 
| 74 (25% RH) | 0.07828 | 
| 80 (25% RH) | 0.14956 | 
| 80 (75% RH) | 0.03310 | 
| Disclaimer/Publisher’s Note: The statements, opinions and data contained in all publications are solely those of the individual author(s) and contributor(s) and not of MDPI and/or the editor(s). MDPI and/or the editor(s) disclaim responsibility for any injury to people or property resulting from any ideas, methods, instructions or products referred to in the content. | 
© 2024 by the authors. Licensee MDPI, Basel, Switzerland. This article is an open access article distributed under the terms and conditions of the Creative Commons Attribution (CC BY) license (https://creativecommons.org/licenses/by/4.0/).
Share and Cite
Ustuner, G.; Hung, Y.; Mahajan, D. Investigation of Proton Exchange Membrane Fuel Cell Performance by Exploring the Synergistic Effects of Reaction Parameters via Power Curve and Impedance Spectroscopy Analysis. Energies 2024, 17, 2530. https://doi.org/10.3390/en17112530
Ustuner G, Hung Y, Mahajan D. Investigation of Proton Exchange Membrane Fuel Cell Performance by Exploring the Synergistic Effects of Reaction Parameters via Power Curve and Impedance Spectroscopy Analysis. Energies. 2024; 17(11):2530. https://doi.org/10.3390/en17112530
Chicago/Turabian StyleUstuner, Gozde, Yue Hung, and Devinder Mahajan. 2024. "Investigation of Proton Exchange Membrane Fuel Cell Performance by Exploring the Synergistic Effects of Reaction Parameters via Power Curve and Impedance Spectroscopy Analysis" Energies 17, no. 11: 2530. https://doi.org/10.3390/en17112530
APA StyleUstuner, G., Hung, Y., & Mahajan, D. (2024). Investigation of Proton Exchange Membrane Fuel Cell Performance by Exploring the Synergistic Effects of Reaction Parameters via Power Curve and Impedance Spectroscopy Analysis. Energies, 17(11), 2530. https://doi.org/10.3390/en17112530
 
        


 
       