Next Article in Journal
Improved Design and Economic Estimation of Cold-End Systems for Inland Nuclear Power Plants
Previous Article in Journal
Research on Quantitative Diagnosis of Dendrites Based on Titration Gas Chromatography Technology
Previous Article in Special Issue
Reliability Testing of Wind Farm Devices Based on the Mean Time to Failures
 
 
Font Type:
Arial Georgia Verdana
Font Size:
Aa Aa Aa
Line Spacing:
Column Width:
Background:
Article

Infrastructure Diagnosed by Solar Power Supply in an Intelligent Diagnostic System in Five-Valued Logic

1
Department of Energy, Faculty of Mechanical Engineering and Power Engineering, Technical University of Koszalin, 15-17 Raclawicka St., 75-620 Koszalin, Poland
2
Doctoral School, Technical University of Koszalin, 2 Sniadeckich St., 75-620 Koszalin, Poland
3
Faculty of Electronic, Military University of Technology of Warsaw, 2 Urbanowicza St., 00-908 Warsaw, Poland
4
Department of Transport Telecommunication, Faculty of Transport, Warsaw University of Technology, Koszykowa St. 75, 00-662 Warsaw, Poland
5
Faculty of Electronic and Informatics, Technical University of Koszalin, 2 Sniadeckich St., 75-620 Koszalin, Poland
6
Independent Researcher, 75-620 Koszalin, Poland
7
School of Mechanical Engineering, Hangzhou City University, Hangzhou 310015, China
*
Author to whom correspondence should be addressed.
Energies 2024, 17(10), 2408; https://doi.org/10.3390/en17102408
Submission received: 4 March 2024 / Revised: 17 April 2024 / Accepted: 15 May 2024 / Published: 17 May 2024

Abstract

This article discusses the issue of diagnosing low-power solar power plants using the five-valued (5VL) state evaluation {4, 3, 2, 1, 0}. We address in depth how the 5VL diagnostics built upon 2VL, 3VL, and 4VL—two-valued diagnostics, three-valued logistics, and four-valued diagnostics. Logic (5VL) assigns five state values to the range of signal value changes, and these states are completely operational ({4}), incomplete ({3}), critical efficiency ({2}), and pre-fault efficiency ({1}). For the identical ranges of diagnostic signal values, all three of the applied state valence logics interpret failure as changes outside of their permitted ranges. Diagnostic procedures made use of an AI-based DIAG 2 system. This article’s goal is to provide a comprehensive overview of the DIAG 2 intelligent diagnostic system, including its architecture, algorithm, and inference rules. Diagnosis with the DIAG 2 system is based on a well-established technique for comparing diagnostic signal vectors with reference signal vectors. A differential vector metric is born out of this examination of vectors. The input cells of the neural network implement the challenge of signal analysis and comparison. It is then possible to classify the object components’ states in the neural network’s output cells. Based on the condition of the object’s constituent parts, this approach can signal whether those parts are working, broken, or urgently require replacement.

1. Introduction

The use of five-valued logic (5VL) to work out diagnoses about the investigated state in the diagnosis of complex technical objects is new and has not yet been presented in publications. The implementation of object diagnosis in 5VL diagnostics required the additional training of the SSN precisely to teach the network to recognise state “1”—the state of pre-damage fitness. The theoretical principles developed by the research team for diagnosing and distinguishing the ‘1’ state are new to the literature, which we are already effectively implementing. The diagnostic condition labelled “1” is new to diagnostic research. The condition ‘1’ is already recognised and described is called the ‘pre-injury condition’. This condition is the team’s original idea. It is also an important and significant scientific achievement of ours. This new “1” state has already been fully developed theoretically, is also trained by the SSN, and is put into practice in the intelligent diagnostic system DIAG 2. The technical ability to recognise the pre-damage state in an object is particularly important for reliability reasons for sensitive objects. This is particularly true of such objects, where their efficiency and continuity of use is decisive, such as passenger aircraft, medical systems, energy systems, etc. If a pre-damage condition is recognised in a technical facility, it means that technical refurbishment must be initiated, resulting in the facility being restored to a serviceable condition. Therefore, the knowledge of the time of occurrence of the “1”—pre-damage state in the object is the basic diagnostic information due to the possible use in the developed strategy of restoration of the object in the literature called the “state by state strategy”. This fact underlines the novelty and innovation of this article in relation to other studies on the diagnosis of complex technical objects. The term “object renewal strategy by condition” was already known in the literature. What was lacking, however, was a diagnostic tool such as the DIAG 2 system that would effectively recognise the “1” state—the pre-damage state. Such a capability was not provided by diagnostics in logic: 2VL; 3VL; and 4VL diagnostics—four-valued due to the state of critical fitness. The above-mentioned diagnostics ensure, with some approximation, the realisation of the renewal of an object with a “strategy by state”. Thus, as presented in the article, the diagnostics of each object allow the recognition of current states in the object. Especially states that are related to non-critical damage.
Our research confirms the thesis, and it can be concluded with high probability that technical diagnostics (5VL) is an effective tool to identify the occurrence of a pre-damage state. The ‘1’ condition information produced indicates that the technical facility will experience a state of unfitness (sudden and critical damage) in the near future, as a result of which, the facility will cease to be used.
Studies [1,2,3,4,5,6,7] in particular offer a plethora of material regarding AI systems, neural networks included. All things considered, the findings from these studies lay a firm groundwork for comprehending the inner workings of artificial neural networks. In addition, they contain the scientific and mathematical foundations for understanding the brain and its networks. The authors laid out the theoretical foundations of static neural network training, instruction, and design in great depth. Research into radial basis function artificial neural networks may shed light on their development, training, and deployment. Efforts were also made by the authors to incorporate sections on dynamic neural networks, covering topics such as training methods, teaching methodologies, and construction concepts. Artificial neural network operation has been the focus of multiple investigations into sets and fuzzy knowledge [8,9,10,11]. The references begin with the publications [12,13,14,15,16,17,18].
The text covers the fundamentals of how technological devices function. It includes equations that spell out how a technological object’s model works and how reliable it is. An approach to structuring the operation process according to the object models is also part of the study. The authors have substantial experience in this field, and their prior work describes the outcomes of diagnostic tests on technological devices. Recent years have seen a dramatic acceleration in the development of technical diagnostics thanks to the utilization of AI systems, particularly artificial neural networks. Many variables have been considered in earlier research on technical and technological process control and diagnosis, such as the difficulty of controlling different kinds of industrial robots and the necessity to modify technological systems [19,20,21].
Investigations conducted might significantly affect the design of a diagnostic system that makes use of artificial neural networks. Based on the results of the technical diagnostics, these studies outlined a method for constructing an operating system for technological objects. A theory on how the status of a technological item evolves was suggested in the study. This causes it to undergo a transformation or lose some of its useful properties. As a result, you need a solid diagnostic for this item’s following state. Preventative procedures, including regenerating the object, are the way to go when the recognized state is partially operable or non-operable. The author of the aforementioned study outlined an ANN’s architecture and explained how it functions, down to the theoretical dependencies that determine the ANN’s operation by the approach given. The trivalent logic also laid the theoretical groundwork for identifying technological goods using an artificial neural network. The results were supported by a case study of the diagnostic information base setup of the device that was evaluated [22,23].
The focus of the diagnostic procedure is the technical component. The method of diagnosis is determined by its structure, function, and target application. This document explains a diagnostic problem with a complex technical item. Specifically, the paper describes the construction and operation of this solar power plant equipment. One particularly innovative aspect of this work is the method it presents for creating diagnostic knowledge bases for solar low-power plant devices (L-PPD). Analysing distance measurements produced by comparing diagnostic signal vector images with their patterns, the authors of this article painstakingly improved the object’s condition testing technique, which improved the reliability of condition testing of technical devices. We completed this task by utilizing AI and solutions based on expert systems.
The result of this work is the DIAG 2 diagnostic program [24,25,26,27,28]. Discover the results of tests and research on solar low-power plant devices in the following articles [29,30,31,32]. A study by Hwang et al. [33] detailed the application of multilayer neural networks (MNN) in the diagnosis of solar streetlamps. Adaptive Responsiveness Theory 2 was the basis for the selected network type. The duty cycle voltage applied to unloaded panels was inputted into two neural networks. In their study, Ganeshprabu et al. [34] utilized a distributed online monitoring system based on an XBee wireless sensor network to track crucial performance indicators of solar panels. Module insolation, temperature, voltage, output current, and ambient insolation are some of these indicators. Jing et al. [35,36,37,38,39,40] describe a method for PV system fault detection and diagnosis that can operate independently. It uses a combination of an ANN and a more conventional analytical method to identify and fix errors. An ANN with two layers was used for electricity forecasting. By analysing the power differential, the difference between predicted and actual power, the open-circuit voltage and short-circuit current of a string of PV modules, and other similar variables, the authors were able to identify as many as six distinct failure types. In their papers, Duera et al. [41] explain the diagnostic system (DIAG 2) for devices used in low-power power substations and discuss research topics related to logical diagnoses with two, three, or four values. The article not only details the testing but also gives a quick rundown of the intelligent diagnostic system (DIAG 2) that was used.
The diagnostic system (DIAG 2) functions by comparing a set of actual diagnostic output vectors with their respective primary vectors. The comparison produces the diagnostic output vectors’ elementary divergence metrics that were determined by the neural network. Using difference-trial distance measurements, elementary divergence metrics determine the condition of the test object’s basic components as input (DIAG 2). Projecting future output power from various solar cell types was the principal goal of the ANN model. The process was carried out on all three types of cells: monocrystalline, multicrystalline, and amorphous. According to the findings, multi-, mono-, and high-crystalline cells are the most effective. Most of the essay was devoted to explaining how to identify damaged photovoltaic (PV) panels. The suggested method examines the ideal features of the fault by analysing current–voltage (I-V) curves from various fault types, including hybrid faults. To standardize the fault features, we also proposed a metaheuristic approach to particle swarm optimization (PSO) and a deterministic technique for the reflective confidence region. In addition, we used AdaBoost, an adaptive multi-class method that models stage-wise with the multi-class exponential loss function (SAMME) and depends on the classification and regression tree (CART).

2. Ranges of Changes in Object’s Conditions in Five-Valued Logic Used in the DIAG 2 Diagnostic System

The technical features of each complicated technical entity are determined by the values of the physical quantities that define it (Figure 1). These quantities are referred to as features that indicate the specific conditions which the object can be located in. The output signals of the object are contingent upon the input signals and the state of its fundamental components. Let us establish the definition in the subsequent manner:
Yi = f(X1, X2, …, Xm: p1, p2, …, pn)
where p1, p2, …, pn are parameters that describe the object’s status and Yi is the output diagnostic signal of the ith functional element and X1, X2, …, Xm are the input signals given to the mth inputs of the object’s elements.
The technique of comparing diagnostic signals with their corresponding model signals is frequently employed in the diagnostics of technical objects (see Figure 2). The diagnostic approach is described in the literature by the following equation:
e i , j E i X e i , j X X e i , j e i , j E i X w e i , j X w X w e i , j W ε e i , j
where the abbreviations below represent the following: variables W(ε(ei,j)) and W(ε(ei,j)) represent the value of state assessment logics for the jth element in the ith module, the diagnostic signal in the jth element of the ith assembly of the object, the model signal for the X(ei,j) → signal, and the symbols a and Ei, which denote diagnostic activities and comparison, respectively.
A determination is made by the network regarding which of the three distinct states {4, 3, 2, 1, 0} a particular element of the object that computed the signal should be classified into, as a result of this activity (comparison of signals).
Assuming that the nominal values of the input signals’ characteristics are provided, we may determine the signal’s value at the object’s output, which represents its current state. The process of analysing the output signal Yi involves measuring its kth features and comparing the measurement result with the feature of the ith modular signal Y(w),i. It is much easier to determine whether the values of diagnostic signals fall within their range of allowable changes rather than comparing the output signal with the model. Figure 3 displays the ranges of the value variations of the ith diagnostic signal feature for five-valued logic.
Figure 2 identifies five distinct categories of changes, namely:
  • variety of inconsequential signal alterations (Yi4′, Yi4); this specifies the state of the characteristic of the entity at level “4”;
  • extent of the pertinent signal alteration (Yi3′, Yi4′) ∪ (Yi4, Yi3); this refers to the state or status of a specific characteristic of the object at a particular level “3”;
  • range of the crucial signal variation (Yi2′, Yi3′) ∪ (Yi3, Yi2), which describes the state of the characteristic of the item at level “2”;
  • extent of signal alteration in the pre-damaged compartment (Yi1′, Yi2′) ∪ (Yi2, Yi1); describes the state of the characteristic of the item at level “1”;
  • range of unacceptable signal variations (−∞, Yi1′) ∪ (Yi1, +∞) to determine the state of the feature of the object at level “0”, if there is a requirement to analyse multiple features of the output signal Y, one must check if each of these characteristics falls within an acceptable range of change.
The establishment of ranges for variations in the diagnostic signals relative to the reference signal facilitated the formulation of diagnostic guidelines for the functioning of the RBF artificial neural network as follows:
R w 1 : I Y k Y Y k Y i 4 , Y i 4 ε i = ε i 4 = 4
where Rw1 is the first guideline for diagnostic inference, ( Y i 4 , Y i 4 ) is the range of changes that are of no significance to the signal features’ values, ⇒ is a comparison symbol, and {4} is the operable condition.
R w 2 : I Y k Y Y k Y i 3 , Y i 4 Y i 4 , Y i 3 ε i = ε i 3 = 3
where the second rule of diagnostic inference is denoted as Rw2, the range of changes for the relevant values of the signal characteristics is (Yi3′, Yi4′) ∪ (Yi4, Yi3), ⇒ is a comparison symbol, and {3} represents the state of imperfect operability.
R w 3 : I Y k Y Y k Y i 2 , Y i 3 Y i 3 , Y i 2 ε i = ε i 2 = 2
where Rw3 represents the third rule of diagnostic inference. (Yi2′, Yi3′) ∪ (Yi3, Yi2) represents the range of changes for the critical values of the features of the signal. The symbol ⇒ denotes a comparison, and {2} represents the critical operable condition.
R w 4 : I Y k Y Y k Y i 1 , Y i 2 Y i 2 , Y i 1 ε i = ε i 1 = 1
where Rw4 is the diagnostic inference rule, which states that the range of modifications for the pre-damage compartment values of signal characteristics is (Yi1′, Yi2′) ∪ (Yi2, Yi1), with ⇒ as a comparison symbol and {1} as the critical operable condition.
R w 5 : I Y k Y Y k , Y i 1 Y i 1 , + ε i = ε i 0 = 0
where the fourth rule of diagnostic inference is known as Rw5, the allowable range for the values of the signal’s features is (−∞, Yi1′) ∪ (Yi1, +∞), ⇒ is a comparison symbol, and {0} denotes the inoperability condition.
The four-valued evaluation of conditions in technical diagnostics allows us to determine the genuine condition of the object’s states during the diagnosing process. We assign one condition from a collection of conditions to represent the actual condition of the object.
  • {4}: the object is said to be in an operable condition when it has the whole capability to carry out the duties it was specifically built for;
  • {3}: an item is said to be in an incomplete operable condition when it can only fulfil its functions to a limited extent. In such cases, it is necessary to initiate preventive operations in order to restore the object’s full functionality;
  • {2}: a critical operable condition refers to a state when an object is capable of performing its functions, but only within a very limited scope. This condition occurs before any harm occurs and it necessitates taking pre-emptive measures to restore the object;
  • {1}: the term “pre-damage compartment operable condition” refers to a state in which the object is able to execute its tasks, but only to a very limited extent. This condition occurs before any damage ensues and necessitates adopting preventive measures to restore the object;
  • {0}: an inoperable condition refers to a state when the object has lost its ability to function and is unable to accomplish the tasks it was built for.

3. Diagnostic Model of Devices in the Solar Power Plant System

The low-power solar plant devices were diagnosed using the DIAG 2 system, which is a patented intelligent system that operates based on an artificial neural network of the RBF type. The descriptive section of the article outlines the algorithm used in the DIAG 2 intelligent diagnostic system for implementing the diagnostic approach. The diagnostic approach employed in the DIAG 2 system employs a methodology described in the literature. This methodology involves comparing diagnostic signals with their corresponding standard diagnostic signal vector, as indicated in Equation (1). The DIAG 2 system utilizes a diagnostic information format that is represented by a five-valued state evaluation {4, 3, 2, 1, 0}. The diagnostic information obtained from the DIAG 2 program is presented in a tabular format, specifically referred to as the “Table states of objects”. To conduct the approved experiments in a small solar power plant system, an experimental setup was created, as depicted in Figure 3 and Figure 4.
Prior to conducting diagnostic tests using the DIAG 2 diagnostic system, it is necessary first to perform a diagnostic analysis of the object being inspected. The reader will discover illustrations and the approach to implementing this diagnostic objective in the subsequent sections: the following text is a functional and diagnostic study of devices in low-power solar plant devices which was conducted for research purposes. The outcome of this analysis is a specified collection of ith functional units {Ei}. During the subsequent stage of the research, the collection of jth fundamental components was identified within each ith group {ei,j}. The DIAG 2 diagnostic system displays the functional units of the item, which are labelled as “units”, and the basic elements are labelled as jth “elements”. The subassemblies within the ith assemblies of the facility are regarded as third-level components, referred to as “Modules” which function as intermediate elements. The modules facilitate the conversion of an object’s hierarchical form into an internal matrix structure, as depicted in Figure 4 and Figure 5. This conversion can be performed in both directions.
To initiate the DIAG 2 diagnostic system, it is necessary to connect and store the diagnostic measurement knowledge base created in the program memory. The measurement base comprises diagnostic signals {X(ei,j)} obtained from the output of the jth object elements, along with the corresponding diagnostic standard signals {Xw(ei,j)}. The measurement base set produced for the DIAG 2 program is depicted in Figure 6.
The DIAG 2 system determines the diagnostic status of the object by examining and analysing the set of output diagnostic signals and comparing them with the reference signal (nominal) (Figure 7).

4. Investigations and Outcomes of an Artificial Neural Network-Based Determination of Diagnostic Information for Low-Power Solar Plant Devices (L-PSPD)

The DIAG 2 diagnostic system utilizes two-, three-, four- or five-valued logic to generate the conclusive diagnostic information regarding the condition of the object. The conclusive compilation of diagnostic information regarding the states of the object studied is shown in the state table for 2VL—a two-valued state assessment. The states determined are established based on the values from the {1, 0} set (Figure 8).
The diagnostic outcome of the bivalent evaluation of 2VL conditions in low-power solar power plant equipment is depicted in Figure 8. The diagram illustrates that the j fundamental components in the subset {e1,1; e1,2; e1,3; e1,4; e2,1; e2,2; e2,3; e3,1; e3,2; e3,3; e4,1; e4,2; e4,3; e5,1; e5,2} all have the state of “1”, i.e., the state of fitness.
The diagnostic information regarding the states of the object examined is consolidated in the state table for 3VL: three-valued state assessment. The calculated states are based on values from the {2, 1, 0} set (Figure 9).
The diagnostic results of the low-power solar plant equipment in the three-valued 3VL state assessment are depicted in Figure 9. Figure 9 illustrates that the fundamental components of the subset {e1,1; e1,2; e1,3; e2,1; e3,1; e4,1; e4,2} exhibit the state of “2”: the condition of fitness. Nevertheless, the fundamental components of the item belonging to the collection {e2,2; e2,3; e3,2; e3,3; e4,3; e5,1; e5,2} exhibit the “1” state, indicating an unfinished state.
The examination of Figure 9 demonstrates that the DIAG 2 system, developed in three-valued logic (3VL), exhibits enhanced informativeness in terms of reasoning and informationally. This is due to the fact that the DIAG 2 system not only acknowledges the {1} condition but also recognizes it as the state of incomplete compliance. Thus, it is evident, as already established in the literature, that in three-valued logic, the presence of the determined state “1”—representing an incomplete condition—renders this 3VL logic more informative than 2VL two-valued logic.
Figure 10 and Figure 11 display diagnostic information for four-valued and five-valued logic. The ultimate form of diagnostic information on the states of the item investigated, in which the 15 jth basic elements (modules) found in the ith functional units, are identified by their internal structure. Figure 10 demonstrates that the basic components in the subset {e1,1; e1,2; e1,3; e2,1; e3,1; e4,1; e4,2} possess state “3”: fitness. The basic components of the element belonging to the collection {e1,4; e2,2; e2,3; e3,2; e5,1; e5,2} show the state of ‘2’, indicating a state of partial fitness. The remaining components of the collection {e3,3; e4,3} element show the status of ‘1’, indicating a critical performance condition.
In the case of five-valued logic, tests showed that only one basic element {e3,3} has state ‘1’: pre-fault, which is 3%. The basic elements {e1,1; e1,2; e1,3; e2,1; e3,1; e4,1; e4,2} have state ‘4’: fitness. Other core components assessed from the subset {e1,4; e2,2; e2,3; e3,2; e5,1; e5,2} have state ‘3’: partial fitness. The remaining subset of core components from the set {e4,3} have state ‘2’, which indicates critical fitness. The percentage of these jth components with the state of critical condition in the structure of the object assessed is 3%. The information gain from five-valued logic to four-valued logic is 16%, relative to three-valued logic at 26%, and relative to basic logic at 58%. Tests have shown that the use of five-valued logic is an optimal solution for the diagnosis of technical objects, providing a lot of information about the state of the object.
Here you may obtain the final version of the diagnostic data pertaining to the object’s condition. With these data, we can pinpoint exactly where in the object’s internal structure each of the fifteen fundamental components (modules) located in the functional units sit. Figure 8 shows the DIAG 2 program’s output form, the “Object states table” for 2VL: the bivalent state evaluation. In terms of the technical condition of the item under investigation, this is the pinnacle of diagnostic information. Each functional unit had fifteen separate fundamental pieces, or modules, that together formed the object’s underlying structure. The basic components from the subset {e1,1; e1,2; e1,3; e1,4; e2,1; e2,2; e2,3; e3,1; e3,2; e3,3; e4,1; e4,2; e4,3; e5,1; e5,2} (Figure 8) using three-, four-, or five-valued logic tend to have a decreasing fitness condition for the basic element, leading to more accurate object diagnosis, as shown in Figure 12 and Figure 13.
We reach the meat of the matter with low-power solar plant devices in Section 3. Any technological item’s diagnostic procedure is an intricate organizational and technical activity. Included in that operation are the following elements: The first step is to test the item’s functionality and diagnose any problems. The second is to create a diagnostic system, which is essentially a computer program. The third is to establish a measurement database. Conducting a functional and diagnostic investigation of the examined object is necessary before making a diagnosis. This investigation is based on a generally recognized technique for segmenting the object’s internal structure, such as a three- or four-level division. This leads to the identification of the object’s structural elements, which in turn define the object’s diagnostic state, which in turn indicates the states of the object’s separate units, or functional systems. The object’s functional systems identify its state, which in turn determines the object’s state under investigation.
For things assessed as low-power solar plant equipment in particular, the DIAG 2 diagnostic system’s usage of an artificial neural network is a powerful research and analysis tool. An efficient measuring system that builds a measurement knowledge base is the bedrock for diagnostics implementation. Along with this specific database of measurement information, which includes a subset of diagnostic signal values, it is necessary to include a subset of standard diagnostic signal values (Figure 7).
The authors of this research provide a technique for assessing comparable photos that they used to troubleshoot equipment in low-power solar plants. The DIAG 2 software and an algorithm for artificial neural networks were both built on top of that approach. The article lays forth a comprehensive method for identifying technological items and systems. The diagnostician’s work model is crucial for establishing the object’s condition. That is why we used this three-tiered technique to partition the object’s internal structure. Object System Function: The object’s fundamental component or module. Graphs depicting these diagnostic signals and a collection of fundamental components are the end product of this process.

5. Discussion

The DIAG 2 diagnostic program, created by the author and shown in this paper, works as a result of using an artificial neural network with an RBF-like architecture. The effectiveness of the artificial neural network’s operation and training determines how well the DIAG 2 system performs. For the SSN’s training process to work, training signal vectors had to be made for each of the recognized states.
The SSN was initially trained to identify (classify) the fundamental states of 2VL logic. The recognized states in 2VL logic are “1” states, which denote the state of fitness, and “0” states, which denote unfitness. In contrast, the SSN has been trained to detect the additional states present in five-valued 5VL logic, such as the “3” state, which stands for the state of incomplete fitness; the “2” state, which stands for the state of crucial fitness; and the “1” state, which stands for the pre-damage state. The EHPSS diagnosis findings in the 2VL and 5VL logics, which are shown in Figure 14 clearly demonstrate that the DIAG 2 system detects the “0” unfitness state in both diagnosis logics applied. Both logics tested share the unfitness condition, sometimes known as the “0” condition. The DIAG 2 system detected an unsuitable state in one element, e1,6 when used in 2VL and 5VL logics. This leads to the conclusion that the DIAG 2 diagnostic system is quite powerful and that the SSN in the system is well-trained. Additionally, it may be inferred that the training vectors developed for instructing and training the SSN to identify an unfit state were ready. All the diagnoses in the investigation were made using the same DBW diagnostic knowledge base. The size of the DBW matrix was initially anticipated to be small during the system testing stage due to the speed of the research being undertaken. After performing test runs and looking at how well the developed diagnosis worked, it was possible to state that the initial limits on the size of the DBW were not very significant.
The same DBW diagnostic knowledge base is used by the 2VL and 5VL implementations of the EHPSS diagnostic tests that are based on the DIAG 2 system at logic. As a result, diagnostic tests are applied to the same test object and the same test conditions. When we wish to compare how accurate and useful the diagnoses we performed in the 2VL and 5VL logics are, it is important that the same conditions in the diagnostic test plan are met.
A study that describes the diagnostics of a technical object in four-valued logic is included the papers cited in the article. This article is unique in comparison to other works, such as the study, because it presents a diagnosis utilising 5VL five-valued logic for the first time.
Technical objects sustain damage while in use due to internal and external forces acting on them as well as aging processes. Any damage to a technical object may have little or a lot of effect on how it can be used in the future.
In accordance with:
Definition 1. 
The damage is a state in which a technological object is unable to carry out its intended functions (the object ceases to carry out its functions). The two types of damage include critical and non-critical based on their nature.
Definition 2. 
Critical (sudden) damage is any harm that causes the technical item to be in the “0” condition, which denotes the state of unfitness. The object’s capacity to carry out its necessary functions is suddenly completely lost in this state. Critical damage can be caused by huge material losses or other issues that could bring harm to both to the facility and the people who use it.
Definition 3. 
Non-critical (parametric) damage is the kind of damage that occurs slowly over time to a technical object while it is being used. It can be caused by aging, the effects of internal factors (like pressure, temperature, etc.) on the object’s structural parts, and other things.
When a technological facility is in use, there is a circumstance that causes the level of operational characteristics to gradually (parametrically) decline. The object’s capacity to carry out its necessary functions in a parametric manner also gradually declines. Non-critical damage does not always mean property loss or other risky situations for the facility and the staff that work there.
Technological diagnostics, when used in a technical facility, have the responsibility of continuously observing (diagnosing) and monitoring any state inside (Figure 14).
When analysing the figure, it can be observed that non-critical (parametric) damage is continuously recognised, regardless of the diagnosis rationale applied during the diagnosis procedure. The DIAG 2 system continuously recognises variations in the level of exploitation characteristics that occur in the technical object as it is being used. The DIAG 2 system detects negative changes in the object’s level of exploitation characteristics when they deteriorate over time in the form of interpreted states that are appropriate to the inference logic applied, such as “3” for incomplete serviceability, “2” for critical serviceability, and “1” for pre-damage. It needs to be noted that only fit objects possess the state of “4”, which is the state of fitness. A new item possesses a state that it is present after it is put into use.
It has not yet been documented in publications how 5VL logic can be used to diagnose intricate technical objects. The SSN needs more training to implement object diagnosis in 5VL diagnostics. The “1” state, or the pre-damage state, is used to train the network to recognise a new state for this diagnosis. My research team is already using principles that are novel in the literature as well as developed theoretical rules for diagnosing and separating the “1” condition. The concept of the diagnostic condition, which my team developed, is known as the “pre-rupture state” in diagnostic research. It represents our significant scientific accomplishments. This new condition “1” has already been created in theory, taught by SSN, and put to use by the DIAG 2 intelligent diagnostic system. Due to their operability and continuous usage, sensitive objects such as passenger aircraft, medical systems, energy systems, etc., require the technical ability to identify a pre-damage condition in the object. If the pre-damage status of the technical facility is acknowledged, technical renewal should be commenced, leading to the facility’s return to the state of fitness. The primary diagnostic information is the knowledge of the object’s time of occurrence in the “1”—pre-damage state, owing to the potential restoration plan for the object described in the literature as “strategy by condition”. This finding highlights how unique this article is in comparison to other studies on the diagnostics of complex technical objects. In the literature, the idea of the “object’s renewal strategy by condition” is already well known. However, there is no diagnostic device like the DIAG 2 system that could accurately identify the “1” state or the pre-damage state. The logic diagnostics do not point to such a possibility: due to the condition of critical fitness, 2-VL, 3-VL, and, to a certain extent, 4-VL diagnostics are given with some approximation so that the “strategy by state” renewal of the object can be performed.
When compared to four-, three-, and two-valued diagnostics, and five-valued diagnostics are new because they can more accurately identify the pre-damage condition. Before the occurrence of an inoperable condition in the object, the “0” condition: the pre-damage condition in the object under study occurs in the process of its use. Experience with the application of 5VL logic to the diagnosis of EHPSS equipment shows how crucial it is for a facility’s operational procedures to be able to identify the facility’s pre-damaged state. If the technological facility exhibits a pre-damage condition, it means that there is a possibility that a failure (unfitness) may happen there soon.
The structuration of technical object restoration utilizing a “strategy by state” approach will be the main topic of our upcoming research.

6. Conclusions

Based on the results obtained, it appears that the diagnoses occurring in five-valued logic in terms of informativeness are greater (richer) than those occurring in two-value, three-value, and four-valued logic. On this basis, the percentage information efficiency of five-valued logic (5VL) diagnoses was calculated, which is 16%, four-valued logic (4VL) to two-valued logic (26%), and three-valued logic (3VL) diagnoses, which is 58% higher than two-valued logic (2VL) diagnoses (Table 1).
The DIAG 2 diagnostic system is based on an artificial neural network, which is a powerful tool for research and analysis, particularly when dealing with test objects like equipment for low-power solar power plants. An efficient measuring system that builds a measurement knowledge base is the foundation for diagnostics implementation. We will build the measurement knowledge base from these values of the diagnostic signals. The establishment of a consistent set of diagnostic signal values is an additional requirement for this body of information (Figure 7).
The necessity to employ the data generated by the DIAG 2 system in the course of arranging maintenance (repair and renewal procedures) increases the diagnostic utility of technical objects in five-valued logic. In order to use an appropriate strategy for arranging the technical maintenance (renewal) in the item under consideration, it is necessary to interpret (recognize) the incomplete state of the object and the reliability status of its components. In complicated technological items, the diagnostic process using a five-value condition evaluation is predictive. Because of the frequent and brief outages experienced by such sophisticated technological facilities, this issue is of paramount importance when it comes to their usage and operation.

Author Contributions

Conceptualization, resources, methodology, software, validation, S.D. and M.W.; formal analysis, investigation, data curation, A.I. and D.B.; writing—original draft preparation, writing—review and editing, visualization, J.P., R.D. and M.S.; supervision, project administration, funding acquisition, K.R. and R.D. All authors have read and agreed to the published version of the manuscript.

Funding

This research received no external funding.

Data Availability Statement

The data presented in this article are available upon request from the corresponding author.

Conflicts of Interest

The authors declare no conflicts of interest.

Abbreviations

E1photovoltaic system
E2voltage regulator (driver) system
E3electric energy storage system
E4DC/AC converter
E5receiving system
X(ei,j)diagnostic signal in jth element of ith set
X(w)(ei,j)model signal for X(ei,j) signal
FC maxmax. value of the function of the use of the object
ΔX(n)istandardized vector of the distance metric of jth signal
DMistandard deviation of ith vector of signal metric
W(ε(ei,j))valued of state assessment logics for jth element within ith module (from the set of the accepted three-valued logic of states’ assessment)
{ME(ei,j)}specialist knowledge base (a set of maintenance information of the object)
DM(Xi, X(w)i α)standard deviation of the vector signal metric, (α = 2)
Xnnth diagnostic signal in jth element of ith set
wi,nweight coefficient
σi,jcoefficients of weights
w(ε(0)(ei,j))i,jcompliance coefficient of the similarity of the input signal vector to its standard vector for the diagnostic signal in jth element of ith set
(4VL)four-valued state rating
DIAG 2invented name of the Intelligent Diagnostic System
ANNartificial neural network
RBFradial basis function (type of ANN)
SBMsimilarity-based method (type of ANN)
(5VL)five-valued state assessment
{4}set of performance states
{3}set of incomplete states
{2}set of critical condition states
{1}set of pre-damage states
{0}set of unfitness states
(4VL)four-valued state assessment
{3}set of fitness states
{2}set of incomplete states
{1}set of critical fitness states
{0}set of states of unfitness
(3VL)three-valued state assessment
{2}set of states of fitness
{1}set of incomplete states
{0}set of states of unfitness
(2VL)two-valued state assessment
{1}set of states of fitness
{0}set of states of unfitness

References

  1. Hojjat, A.; Hung, S.-L. Machine Learning, Neural Networks, Genetic Algorithms and Fuzzy Systems; John Wiley & Sons, Inc.: Hoboken, NJ, USA, 1995; p. 398. [Google Scholar]
  2. Madan, M.; Gupta, M.; Liang, J.; Homma, N. Static and Dynamic Neural Networks, from Fundamentals to Advanced Theory; John Wiley & Sons, Inc.: Hoboken, NJ, USA, 2003; p. 718. [Google Scholar]
  3. Zurada, I.M. Introduction to Artificial Neural Systems; West: Eagan, MB, USA, 2007. [Google Scholar]
  4. Tang, L.; Liu, J.; Rong, A.; Yang, Z. Modeling and genetic algorithm solution for the slab stack shuffling problem when implementing steel rolling schedules. Int. J. Prod. Res. 2002, 40, 272–276. [Google Scholar] [CrossRef]
  5. Wiliams, J.M.; Zipser, D. A learning Algorithm for Continually Running Fully Recurrent Neural Networks. Neural Comput. Appl. 1989, 1, 270–280. [Google Scholar] [CrossRef]
  6. Linz, P.; Wang, R. Exploring Numerical Methods: An Introduction to Scientific Computing Using Matlab; University of California: Davis, CA, USA, 2003. [Google Scholar]
  7. Linz, P. An Introduction to Formal Languages and Automata; University of California: Davis, CA, USA, 2002. [Google Scholar]
  8. Buchannan, B.; Shortliffe, E. Rule—Based Expert Systems; Addison-Wesley Publishing Company: Boston, MA, USA, 1985; p. 387. [Google Scholar]
  9. Waterman, D. A Guide to Export Systems; Addison-Wesley Publishing Company: Boston, MA, USA, 1986; p. 545. [Google Scholar]
  10. Duer, S. Artificial neural network in the control process of object’s states basis for organization of a servicing system of a technical objects. Neural Comput. Appl. 2012, 21, 153–160. [Google Scholar] [CrossRef]
  11. Duer, S. Applications of an artificial intelligence for servicing of a technical object. Neural Comput. Appl. 2012, 22, 955–968. [Google Scholar] [CrossRef]
  12. Birolini, A. Reliability Engineering Theory and Practice; Springer: New York, NY, USA, 1999; p. 221. [Google Scholar]
  13. Ushakov, I.A. Handbook of Reliability Engineering; J. Wiley & Sons: New York, NY, USA, 1994. [Google Scholar]
  14. Barlow, R.E.; Proschan, F. Mathematical Theory of Reliability; J. Wiley & Sons: New York, NY, USA, 1995; p. 335. [Google Scholar]
  15. Dhillon, B.S. Applied Reliability and Quality, Fundamentals, Methods and Procedures; Springer: New York, NY, USA, 2006; p. 186. [Google Scholar]
  16. Kacalak, W.; Majewski, M. New Intelligent Interactive Automated Systems for Design of Machine Elements and Assemblies; Lecture Notes in Computer Science; Springer: Berlin/Heidelberg, Germany, 2012; Volume 7666, Part IV, pp. 115–122. [Google Scholar]
  17. Kacalak, W.; Majewski, M. Effective Handwriting Recognition System Using Geometrical Character Analysis Algorithms; Lecture Notes in Computer Science; Springer: Berlin/Heidelberg, Germany, 2012; Volume 7666, Part IV, pp. 248–255. [Google Scholar]
  18. Lipinski, D.; Majewski, M. System for Monitoring and Optimization of Micro- and Nano-Machining Processes Using Intelligent Voice and Visual Communication; Lecture Notes in Computer Science; Springer: Berlin/Heidelberg, Germany, 2013; Volume 8206, pp. 16–23. [Google Scholar]
  19. Nakagawa, T. Maintenance Theory of Reliability; Springer: London, UK, 2005; p. 264. [Google Scholar]
  20. Nakagawa, T.; Ito, K. Optimal inspection policies for a storage system with degradation at periodic tests. Math. Comput. Model. 2000, 31, 191–195. [Google Scholar]
  21. Rosiński, A. Design of the electronic protection systems with utilization of the method of analysis of reliability structures. In Proceedings of the Nineteenth International Conference on Systems Engineering (ICSEng 2008), Las Vegas, NV, USA, 19–21 August 2008. [Google Scholar]
  22. Rosiński, A. Reliability analysis of the electronic protection systems with mixed—Three branches reliability structure. In Reliability, Risk and Safety. Theory and Applications; CRC Press: London, UK, 2019; Volume 3. [Google Scholar]
  23. Palkova, Z.; Okenka, I. Programming; Slovak University of Agriculture in Nitra: Nitra-Chrenová, Slovakia, 2007; p. 203. [Google Scholar]
  24. Pokoradi, L. Logical Tree of Mathematical Modeling. Theory Appl. Math. Comput. Sci. 2015, 5, 20–28. [Google Scholar]
  25. Pokoradi, L. Failure Probability Analysis of Bridge Structure Systems. In Proceedings of the 10th Jubilee IEEE International Symposium on Applied Computational Intelligence and Informatics, Timişoara, Romania, 21–23 May 2015. [Google Scholar]
  26. Zajkowski, K. The method of solution of equations with coefficients that contain measurement errors, using artificial neural network. Neural Comput. Appl. 2014, 24, 431–439. [Google Scholar] [CrossRef] [PubMed]
  27. Kobayashi, S.; Nakamura, K. Knowledge compilation and refinement for fault diagnosis. IEEE Expert 2011, 6, 39–46. [Google Scholar] [CrossRef]
  28. Teramoto, T.; Nakagawa, T.; Motoori, M. Optimal inspection policy for a parallel redundant system. Microelectron. Reliab. 1990, 30, 151–155. [Google Scholar] [CrossRef]
  29. Duer, S. Assessment of the Operation Process of Wind Power Plant’s Equipment with the Use of an Artificial Neural Network. Energies 2020, 13, 2437. [Google Scholar] [CrossRef]
  30. Duer, S.; Zajkowski, K.; Harničárová, M.; Charun, H.; Bernatowicz, D. Examination of Multivalent Diagnoses Developed by a Diagnostic Program with an Artificial Neural Network for Devices in the Electric Hybrid Power Supply System “House on Water”. Energies 2021, 14, 2153. [Google Scholar] [CrossRef]
  31. Duer, S. Expert knowledge base to support the maintenance of a radar system. Def. Sci. J. 2010, 60, 531–540. [Google Scholar] [CrossRef][Green Version]
  32. Hwang, H.R.; Kim, B.S.; Cho, T.H.; Lee, I.S. Implementation of a Fault Diagnosis System Using Neural Networks for Solar Panel. Int. J. Control Autom. Syst. 2019, 17, 1050–1058. [Google Scholar] [CrossRef]
  33. Ganeshprabu, B.; Geethanjali, M. Dynamic Monitoring and Optimization of Fault Diagnosis of Photo Voltaic Solar Power System Using ANN and Memetic Algorithm. Circuits Syst. 2016, 7, 3531–3540. [Google Scholar] [CrossRef][Green Version]
  34. Jiang, L.L.; Maskell, D.L. Automatic fault detection and diagnosis for photovoltaic systems using combined artificial neural network and analytical based methods. In Proceedings of the 2015 International Joint Conference on Neural Networks (IJCNN), Killarney, Ireland, 12–17 July 2015; pp. 1–8. [Google Scholar] [CrossRef]
  35. Xiao, W.; Nazario, G.; Wu, H.; Zhang, H.; Cheng, F. A neural network based computational model to predict the output power of different types of photovoltaic cells. PLoS ONE 2017, 12, e0184561. [Google Scholar] [CrossRef] [PubMed]
  36. Huang, J.; Wai, R.; Gao, W. Newly-Designed Fault Diagnostic Method for Solar Photovoltaic Generation System Based on IV-Curve Measurement. IEEE Access 2019, 7, 70919–70932. [Google Scholar] [CrossRef]
  37. Stawowy, M.; Duer, S.; Paś, J.; Wawrzyński, W. Determining information quality in ICT systems. Energies 2021, 14, 5549. [Google Scholar] [CrossRef]
  38. Paś, J.; Rosiński, A.; Chrzan, M.; Białek, K. Reliability-Operational Analysis of the LED Lighting Module Including Electromagnetic Interference. IEEE Trans. Electromagn. Compact. 2020, 62, 2747–2758. [Google Scholar] [CrossRef]
  39. Paś, J.; Siergiejczyk, M. Interference impact on the electronic safety system with a parallel structure. Diagnostyka 2016, 17, 1. [Google Scholar]
  40. Paś, J.; Rosiński, A. Selected issues regarding the reliability-operational assessment of electronic transport systems with regard to electromagnetic interference. Eksploat. Niezawodn.—Maint. Reliab. 2017, 19, 3. [Google Scholar] [CrossRef]
  41. Duer, S.; Bernatowicz, D.; Wrzesień, P.; Duer, R. The diagnostic system with an artificial neural network for identifying states in multi-valued logic of a device wind power. In Communications in Computer and Information Science; Springer: Poznan, Poland, 2018; Volume 928, pp. 442–454. [Google Scholar]
Figure 1. Schematic representation of a sophisticated diagnostic system for a technical device, where X(ei,j) is the diagnostic signal is present; jth is an element of ith set; X(w)(ei,j) is an exemplary signal for X(ei,j) signal; FC max is the max. worth of the purpose for which the object is used; W(ε(ei,j)) is the importance of state assessment reasoning for the jth element within ith module, which is a part of the recognised five-valued logic of state evaluation; and {ME(ei,j)} is a specialist knowledge base that refers to a collection of maintenance information specific to an object.
Figure 1. Schematic representation of a sophisticated diagnostic system for a technical device, where X(ei,j) is the diagnostic signal is present; jth is an element of ith set; X(w)(ei,j) is an exemplary signal for X(ei,j) signal; FC max is the max. worth of the purpose for which the object is used; W(ε(ei,j)) is the importance of state assessment reasoning for the jth element within ith module, which is a part of the recognised five-valued logic of state evaluation; and {ME(ei,j)} is a specialist knowledge base that refers to a collection of maintenance information specific to an object.
Energies 17 02408 g001
Figure 2. Changes within the feature value range of the ith diagnostic signal. “4”—the state of full operation; “3”—the state of an incomplete usability; “2”—a critical operable condition; “1”—pre-damage condition; “0”—the state of non-operation (defect).
Figure 2. Changes within the feature value range of the ith diagnostic signal. “4”—the state of full operation; “3”—the state of an incomplete usability; “2”—a critical operable condition; “1”—pre-damage condition; “0”—the state of non-operation (defect).
Energies 17 02408 g002
Figure 3. View of the solar power plant system experimental research and measurement stand.
Figure 3. View of the solar power plant system experimental research and measurement stand.
Energies 17 02408 g003
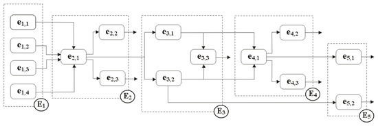
Figure 4. Diagram of functional and diagnostic structure of low-power solar plant devices: E1—photovoltaic system, E2—voltage regulator (controller) system), E3—electrical energy storage system, E4—DC/AC converter, E5—receiving system.
Figure 4. Diagram of functional and diagnostic structure of low-power solar plant devices: E1—photovoltaic system, E2—voltage regulator (controller) system), E3—electrical energy storage system, E4—DC/AC converter, E5—receiving system.
Energies 17 02408 g004
Figure 5. DIAG 2 program results for the “Structure” module.
Figure 5. DIAG 2 program results for the “Structure” module.
Energies 17 02408 g005
Figure 6. Panel for classifying technical objects in the “Signal values” module.
Figure 6. Panel for classifying technical objects in the “Signal values” module.
Energies 17 02408 g006
Figure 7. “Diagnostic signals table” format on DIAG 2 programme screen.
Figure 7. “Diagnostic signals table” format on DIAG 2 programme screen.
Energies 17 02408 g007
Figure 8. The output format of the DIAG 2 program, specifically the “Table of states of L-PSPD”, for a two-valued logic system.
Figure 8. The output format of the DIAG 2 program, specifically the “Table of states of L-PSPD”, for a two-valued logic system.
Energies 17 02408 g008
Figure 9. The output of the “Table of states of L-PSPD” DIAG 2 software for 3VL.
Figure 9. The output of the “Table of states of L-PSPD” DIAG 2 software for 3VL.
Energies 17 02408 g009
Figure 10. The resulting form of the DIAG 2 programme “Table of states of L-PSPD” for 4VL.
Figure 10. The resulting form of the DIAG 2 programme “Table of states of L-PSPD” for 4VL.
Energies 17 02408 g010
Figure 11. The output format of the DIAG 2 program, namely the “Table of states of the EHPSS”, is designed for assessing states using a five-valued system known as 5V: “4”—the state of full operation; “3”—the state of an incomplete usability; “2”—a critical operable condition; “1”—pre-damage condition; “0”—the state of non-operation (defect).
Figure 11. The output format of the DIAG 2 program, namely the “Table of states of the EHPSS”, is designed for assessing states using a five-valued system known as 5V: “4”—the state of full operation; “3”—the state of an incomplete usability; “2”—a critical operable condition; “1”—pre-damage condition; “0”—the state of non-operation (defect).
Energies 17 02408 g011
Figure 12. Display of the “map of the states of elements in EHPSS” on DIAG 2 software.
Figure 12. Display of the “map of the states of elements in EHPSS” on DIAG 2 software.
Energies 17 02408 g012
Figure 13. Screen of “State-by-state diagram of elements within EHPSS”.
Figure 13. Screen of “State-by-state diagram of elements within EHPSS”.
Energies 17 02408 g013
Figure 14. An artificial neural network (SBM) in the program of the DIAG 2 intelligent diagnosis system: “4”—the state of full operation; “3”—the state of an incomplete usability; “2”—the critical operable condition; “1”—pre-damage condition; “0”—the state of non-operation (defect).
Figure 14. An artificial neural network (SBM) in the program of the DIAG 2 intelligent diagnosis system: “4”—the state of full operation; “3”—the state of an incomplete usability; “2”—the critical operable condition; “1”—pre-damage condition; “0”—the state of non-operation (defect).
Energies 17 02408 g014
Table 1. Amount of additional information that can be obtained when introducing the k-th condition into the diagnostic evaluation of the object.
Table 1. Amount of additional information that can be obtained when introducing the k-th condition into the diagnostic evaluation of the object.
kP(A)Ik(A)Ik(A) [%]
20.5--
30.331.584958.5
40.251.261826.2
50.21.160916.1
Where: k—number of states; P(A)—probability of the occurrence of state A; Ik(A)—amount of possible additional information for the k-th number of states.
Disclaimer/Publisher’s Note: The statements, opinions and data contained in all publications are solely those of the individual author(s) and contributor(s) and not of MDPI and/or the editor(s). MDPI and/or the editor(s) disclaim responsibility for any injury to people or property resulting from any ideas, methods, instructions or products referred to in the content.

Share and Cite

MDPI and ACS Style

Duer, S.; Woźniak, M.; Paś, J.; Stawowy, M.; Rokosz, K.; Bernatowicz, D.; Duer, R.; Iqbal, A. Infrastructure Diagnosed by Solar Power Supply in an Intelligent Diagnostic System in Five-Valued Logic. Energies 2024, 17, 2408. https://doi.org/10.3390/en17102408

AMA Style

Duer S, Woźniak M, Paś J, Stawowy M, Rokosz K, Bernatowicz D, Duer R, Iqbal A. Infrastructure Diagnosed by Solar Power Supply in an Intelligent Diagnostic System in Five-Valued Logic. Energies. 2024; 17(10):2408. https://doi.org/10.3390/en17102408

Chicago/Turabian Style

Duer, Stanisław, Marek Woźniak, Jacek Paś, Marek Stawowy, Krzysztof Rokosz, Dariusz Bernatowicz, Radosław Duer, and Atif Iqbal. 2024. "Infrastructure Diagnosed by Solar Power Supply in an Intelligent Diagnostic System in Five-Valued Logic" Energies 17, no. 10: 2408. https://doi.org/10.3390/en17102408

APA Style

Duer, S., Woźniak, M., Paś, J., Stawowy, M., Rokosz, K., Bernatowicz, D., Duer, R., & Iqbal, A. (2024). Infrastructure Diagnosed by Solar Power Supply in an Intelligent Diagnostic System in Five-Valued Logic. Energies, 17(10), 2408. https://doi.org/10.3390/en17102408

Note that from the first issue of 2016, this journal uses article numbers instead of page numbers. See further details here.

Article Metrics

Back to TopTop