Evaluation of Ethylene-Vinyl Acetate, Methyl Methacrylate, and Polyvinylidene Fluoride as Encapsulating Materials for Perovskite-Based Solar Cells, Using the Low-Temperature Encapsulation Method in a Cleanroom Environment
Abstract
:1. Introduction
1.1. Degradation Mechanisms
1.2. Aim and Scope
2. Materials and Methods
2.1. Sample Preparation
2.2. Synthesis and Sample Fabrication
2.3. Encapsulation of the Samples
- The EVA sheet (Encapsolar PC-135A, Stevens Urethane, Easthampton, MA, USA), measuring 30 mm × 30 mm, was directly placed onto the perovskite layer;
- The PMMA sheet was formed by depositing a solution of 200 µL statically, directly onto the perovskite layer. The solution was prepared with a concentration of 10:90 by weight (wt%), by mixing 0.874 g of PMMA (Alfa Aesar, Thermo Fisher Kandel GmbH) in 7 mL of chlorobenzene (284513, 99.8%, Sigma Aldrich);
- The sheet composed of EVA (Encapsolar PC-135A, Stevens Urethane, Easthampton, MA, USA) and PVDF (X 3M 8590M Deutschland GmbH), measuring 30 mm × 30 mm, was directly placed onto the perovskite layer.
2.4. Characterization
2.4.1. Optical Characterization
2.4.2. Electrical Characterization
2.5. Degradation of the Samples
2.5.1. Thermal Cycles
2.5.2. UV Irradiation
3. Experimental Results
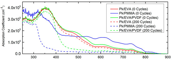
3.1. Test against Humidity and Temperature (ISOS-T)
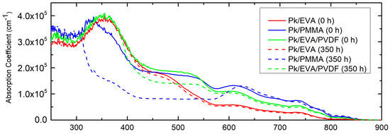
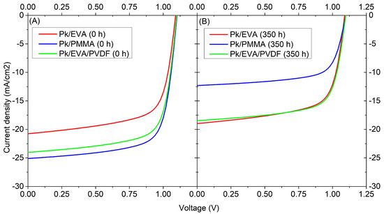
3.2. Test against UV Irradiation
4. Conclusions
Author Contributions
Funding
Data Availability Statement
Acknowledgments
Conflicts of Interest
References
- Laboratory National Renewable Energy, (NREL). Best Research-Cell Efficiency Chart. Available online: https://www.nrel.gov/pv/cell-efficiency.html (accessed on 1 November 2023).
- Kundu, S.; Kelly, T.L. In Situ Studies of the Degradation Mechanisms of Perovskite Solar Cells. EcoMat 2020, 2, e12025. [Google Scholar] [CrossRef]
- Wang, R.; Mujahid, M.; Duan, Y.; Wang, Z.K.; Xue, J.; Yang, Y. A Review of Perovskites Solar Cell Stability. Adv. Funct. Mater. 2019, 29, 1808843. [Google Scholar] [CrossRef]
- Duijnstee, E.A.; Gallant, B.M.; Holzhey, P.; Kubicki, D.J.; Collavini, S.; Sturdza, B.K.; Sansom, H.C.; Smith, J.; Gutmann, M.J.; Saha, S.; et al. Understanding the Degradation of Methylenediammonium and Its Role in Phase-Stabilizing Formamidinium Lead Triiodide. J. Am. Chem. Soc. 2023, 145, 10275–10284. [Google Scholar] [CrossRef] [PubMed]
- National Renewable Energy Laboratory, (NREL). Champion Photovoltaic Module Efficiency Chart. Available online: https://www.nrel.gov/pv/module-efficiency.html (accessed on 1 November 2023).
- Yang, J.; Siempelkamp, B.D.; Liu, D.; Kelly, T.L. Investigation of CH3NH3PbI3 degradation Rates and Mechanisms in Controlled Humidity Environments Using in Situ Techniques. ACS Nano 2015, 9, 1955–1963. [Google Scholar] [CrossRef] [PubMed]
- Al Mamun, A.; Mohammed, Y.; Ava, T.T.; Namkoong, G.; Elmustafa, A.A. Influence of Air Degradation on Morphology, Crystal Size and Mechanical Hardness of Perovskite Film. Mater. Lett. 2018, 229, 167–170. [Google Scholar] [CrossRef]
- Wang, Q.; Chen, B.; Liu, Y.; Deng, Y.; Bai, Y.; Dong, Q.; Huang, J. Scaling Behavior of Moisture-Induced Grain Degradation in Polycrystalline Hybrid Perovskite Thin Films. Energy Environ. Sci. 2017, 10, 516–522. [Google Scholar] [CrossRef]
- Leguy, A.; Hu, Y.; Campoy-Quiles, M.; Isabel Alonso, M.; Weber, O.J.; Azarhoosh, P.; van Schilfgaarde, M.; Weller, M.T.; Bein, T.; Nelson, J.; et al. The Reversible Hydration of CH3NH3PbI3 in Films, Single Crystals and Solar Cells. Chem. Mater. 2015, 27, 3397–3407. [Google Scholar] [CrossRef]
- Li, D.; Bretschneider, S.A.; Bergmann, V.W.; Hermes, I.M.; Mars, J.; Klasen, A.; Lu, H.; Tremel, W.; Mezger, M.; Butt, H.-J.; et al. Humidity-Induced Grain Boundaries in MAPbI3 Perovskite Films. J. Phys. Chem. C 2016, 120, 6363–6368. [Google Scholar] [CrossRef]
- Fransishyn, K.M.; Kundu, S.; Kelly, T.L. Elucidating the Failure Mechanisms of Perovskite Solar Cells in Humid Environments Using In Situ Grazing-Incidence Wide-Angle X-ray Scattering. ACS Energy Lett. 2018, 3, 2127–2133. [Google Scholar] [CrossRef]
- Zhou, Y.; Hu, J.; Wu, Y.; Qing, R.; Zhang, C.; Xu, X.; Jiang, M. Review on Methods for Improving the Thermal and Ambient Stability of Perovskite Solar Cells. J. Photonics Energy 2019, 9, 040901. [Google Scholar] [CrossRef]
- Byranvand, M.M.; Kharat, A.N.; Taghavinia, N. Moisture Stability in Nanostructured Perovskite Solar Cells. Mater. Lett. 2019, 237, 356–360. [Google Scholar] [CrossRef]
- Nie, W.; Blancon, J.-C.; Neukirch, A.J.; Appavoo, K.; Tsai, H.; Chhowalla, M.; Alam, M.A.; Sfeir, M.Y.; Katan, C.; Even, J.; et al. Light-Activated Photocurrent Degradation and Self-Healing in Perovskite Solar Cells. Nat. Commun. 2016, 7, 11574. [Google Scholar] [CrossRef] [PubMed]
- Yoon, S.J.; Draguta, S.; Manser, J.S.; Sharia, O.; Schneider, W.F.; Kuno, M.; Kamat, P. V Tracking Iodide and Bromide Ion Segregation in Mixed Halide Lead Perovskites during Photoirradiation. ACS Energy Lett. 2016, 1, 290–296. [Google Scholar] [CrossRef]
- DeQuilettes, D.W.; Zhang, W.; Burlakov, V.M.; Graham, D.J.; Leijtens, T.; Osherov, A.; Bulović, V.; Snaith, H.J.; Ginger, D.S.; Stranks, S.D. Photo-Induced Halide Redistribution in Organic–Inorganic Perovskite Films. Nat. Commun. 2016, 7, 11683. [Google Scholar] [CrossRef] [PubMed]
- Hoke, E.T.; Slotcavage, D.J.; Dohner, E.R.; Bowring, A.R.; Karunadasa, H.I.; McGehee, M.D. Reversible Photo-Induced Trap Formation in Mixed-Halide Hybrid Perovskites for Photovoltaics. Chem. Sci. 2015, 6, 613–617. [Google Scholar] [CrossRef]
- Abdelmageed, G.; Mackeen, C.; Hellier, K.; Jewell, L.; Seymour, L.; Tingwald, M.; Bridges, F.; Zhang, J.Z.; Carter, S. Effect of Temperature on Light Induced Degradation in Methylammonium Lead Iodide Perovskite Thin Films and Solar Cells. Sol. Energy Mater. Sol. Cells 2018, 174, 566–571. [Google Scholar] [CrossRef]
- Chen, B.; Song, J.; Dai, X.; Liu, Y.; Rudd, P.N.; Hong, X.; Huang, J. Synergistic Effect of Elevated Device Temperature and Excess Charge Carriers on the Rapid Light-Induced Degradation of Perovskite Solar Cells. Adv. Mater. 2019, 31, 1902413. [Google Scholar] [CrossRef]
- Akbulatov, A.F.; Frolova, L.A.; Griffin, M.P.; Gearba, I.R.; Dolocan, A.; Vanden Bout, D.A.; Tsarev, S.; Katz, E.A.; Shestakov, A.F.; Stevenson, K.J.; et al. Effect of Electron-Transport Material on Light-Induced Degradation of Inverted Planar Junction Perovskite Solar Cells. Adv. Energy Mater. 2017, 7, 1700476. [Google Scholar] [CrossRef]
- Yang, J.; Hong, Q.; Yuan, Z.; Xu, R.; Guo, X.; Xiong, S.; Liu, X.; Braun, S.; Li, Y.; Tang, J.; et al. Unraveling Photostability of Mixed Cation Perovskite Films in Extreme Environment. Adv. Opt. Mater. 2018, 6, 1800262. [Google Scholar] [CrossRef]
- Xu, R.-P.; Li, Y.-Q.; Jin, T.-Y.; Liu, Y.-Q.; Bao, Q.-Y.; O’Carroll, C.; Tang, J.-X. In Situ Observation of Light Illumination-Induced Degradation in Organometal Mixed-Halide Perovskite Films. ACS Appl. Mater. Interfaces 2018, 10, 6737–6746. [Google Scholar] [CrossRef]
- Li, Y.; Xu, X.; Wang, C.; Ecker, B.; Yang, J.; Huang, J.; Gao, Y. Light-Induced Degradation of CH3NH3PbI3 Hybrid Perovskite Thin Film. J. Phys. Chem. C 2017, 121, 3904–3910. [Google Scholar] [CrossRef]
- Das, C.; Wussler, M.; Hellmann, T.; Mayer, T.; Jaegermann, W. In Situ XPS Study of the Surface Chemistry of MAPI Solar Cells under Operating Conditions in Vacuum. Phys. Chem. Chem. Phys. 2018, 20, 17180–17187. [Google Scholar] [CrossRef] [PubMed]
- Tang, X.; Brandl, M.; May, B.; Levchuk, I.; Hou, Y.; Richter, M.; Chen, H.; Chen, S.; Kahmann, S.; Osvet, A.; et al. Photoinduced Degradation of Methylammonium Lead Triiodide Perovskite Semiconductors. J. Mater. Chem. A 2016, 4, 15896–15903. [Google Scholar] [CrossRef]
- Stoumpos, C.C.; Malliakas, C.D.; Kanatzidis, M.G. Semiconducting Tin and Lead Iodide Perovskites with Organic Cations: Phase Transitions, High Mobilities, and Near-Infrared Photoluminescent Properties. Inorg. Chem. 2013, 52, 9019–9038. [Google Scholar] [CrossRef] [PubMed]
- Baikie, T.; Fang, Y.; Kadro, J.M.; Schreyer, M.; Wei, F.; Mhaisalkar, S.G.; Graetzel, M.; White, T.J. Synthesis and Crystal Chemistry of the Hybrid Perovskite (CH3NH3)PbI3 for Solid-State Sensitised Solar Cell Applications. J. Mater. Chem. A 2013, 1, 5628–5641. [Google Scholar] [CrossRef]
- Conings, B.; Drijkoningen, J.; Gauquelin, N.; Babayigit, A.; D’Haen, J.; D’Olieslaeger, L.; Ethirajan, A.; Verbeeck, J.; Manca, J.; Mosconi, E.; et al. Intrinsic Thermal Instability of Methylammonium Lead Trihalide Perovskite. Adv. Energy Mater. 2015, 5, 1500477. [Google Scholar] [CrossRef]
- Kim, N.-K.; Min, Y.H.; Noh, S.; Cho, E.; Jeong, G.; Joo, M.; Ahn, S.-W.; Lee, J.S.; Kim, S.; Ihm, K.; et al. Investigation of Thermally Induced Degradation in CH3NH3PbI3 Perovskite Solar Cells Using In-Situ Synchrotron Radiation Analysis. Sci. Rep. 2017, 7, 4645. [Google Scholar] [CrossRef]
- Tan, K.W.; Moore, D.T.; Saliba, M.; Sai, H.; Estroff, L.A.; Hanrath, T.; Snaith, H.J.; Wiesner, U. Thermally Induced Structural Evolution and Performance of Mesoporous Block Copolymer-Directed Alumina Perovskite Solar Cells. ACS Nano 2014, 8, 4730–4739. [Google Scholar] [CrossRef]
- Dualeh, A.; Tétreault, N.; Moehl, T.; Gao, P.; Nazeeruddin, M.K.; Grätzel, M. Effect of Annealing Temperature on Film Morphology of Organic–Inorganic Hybrid Pervoskite Solid-State Solar Cells. Adv. Funct. Mater. 2014, 24, 3250–3258. [Google Scholar] [CrossRef]
- Chang, C.-Y.; Huang, Y.-C.; Tsao, C.-S.; Su, W.-F. Formation Mechanism and Control of Perovskite Films from Solution to Crystalline Phase Studied by in Situ Synchrotron Scattering. ACS Appl. Mater. Interfaces 2016, 8, 26712–26721. [Google Scholar] [CrossRef]
- Eperon, G.E.; Stranks, S.D.; Menelaou, C.; Johnston, M.B.; Herz, L.M.; Snaith, H.J. Formamidinium Lead Trihalide: A Broadly Tunable Perovskite for Efficient Planar Heterojunction Solar Cells. Energy Environ. Sci. 2014, 7, 982–988. [Google Scholar] [CrossRef]
- Beal, R.E.; Slotcavage, D.J.; Leijtens, T.; Bowring, A.R.; Belisle, R.A.; Nguyen, W.H.; Burkhard, G.F.; Hoke, E.T.; McGehee, M.D. Cesium Lead Halide Perovskites with Improved Stability for Tandem Solar Cells. J. Phys. Chem. Lett. 2016, 7, 746–751. [Google Scholar] [CrossRef] [PubMed]
- Ocaña, L.; Montes, C.; González-Pérez, S.; González-Díaz, B.; Llarena, E. Characterization of a New Low Temperature Encapsulation Method with Ethylene-Vinyl Acetate under UV Irradiation for Perovskite Solar Cells. Appl. Sci. 2022, 12, 5228. [Google Scholar] [CrossRef]
- Collavini, S.; Cabrera-Espinoza, A.; Delgado, J.L. Organic Polymers as Additives in Perovskite Solar Cells. Macromolecules 2021, 54, 5451–5463. [Google Scholar] [CrossRef]
- Boyd, C.C.; Cheacharoen, R.; Leijtens, T.; McGehee, M.D. Understanding Degradation Mechanisms and Improving Stability of Perovskite Photovoltaics. Chem. Rev. 2019, 119, 3418–3451. [Google Scholar] [CrossRef] [PubMed]
- Bush, K.A.; Palmstrom, A.F.; Yu, Z.J.; Boccard, M.; Cheacharoen, R.; Mailoa, J.P.; McMeekin, D.P.; Hoye, R.L.Z.; Bailie, C.D.; Leijtens, T.; et al. 23.6%-Efficient Monolithic Perovskite/Silicon Tandem Solar Cells with Improved Stability. Nat. Energy 2017, 2, 17009. [Google Scholar] [CrossRef]
- Chowdhury, M.S.; Shahahmadi, S.A.; Chelvanathan, P.; Tiong, S.K.; Amin, N.; Techato, K.; Nuthammachot, N.; Chowdhury, T.; Suklueng, M. Effect of Deep-Level Defect Density of the Absorber Layer and n/i Interface in Perovskite Solar Cells by SCAPS-1D. Results Phys. 2020, 16, 102839. [Google Scholar] [CrossRef]
- Slami, A.; Belkaid, A.B. Numerical Study of Based Perovskite Solar Cells by SCAPS-1D. Int. J. Energy Environ. 2019, 3, 17–21. [Google Scholar]
- Mandadapu, U.; Vedanayakam, S.V.; Thyagarajan, K. Simulation and Analysis of Lead Based Perovskite Solar Cell Using I confirSCAPS-1D. Indian J. Sci. Technol. 2017, 10, 65–72. [Google Scholar] [CrossRef]
- Lin, L.; Jiang, L.; Li, P.; Fan, B.; Qiu, Y.; Yan, F. Simulation of Optimum Band Structure of HTM-Free Perovskite Solar Cells Based on ZnO Electron Transporting Layer. Mater. Sci. Semicond. Process. 2019, 90, 1–6. [Google Scholar] [CrossRef]
- Bansal, S.; Aryal, P. Evaluation of New Materials for Electron and Hole Transport Layers in Perovskite-Based Solar Cells through SCAPS-1D Simulations. In Proceedings of the Conference Record of the IEEE Photovoltaic Specialists Conference, Portland, OR, USA, 5–10 June 2016; Institute of Electrical and Electronics Engineers Inc.: New York, NY, USA; Volume 2016, pp. 747–750. [Google Scholar]
- Chakraborty, K.; Choudhury, M.G.; Paul, S. Numerical Study of Cs2TiX6 (X = Br−, I−, F− and Cl−) Based Perovskite Solar Cell Using SCAPS-1D Device Simulation. Sol. Energy 2019, 194, 886–892. [Google Scholar] [CrossRef]
- Wang, Z.; Fang, J.; Mi, Y.; Zhu, X.; Ren, H.; Liu, X.; Yan, Y. Enhanced Performance of Perovskite Solar Cells by Ultraviolet-Ozone Treatment of Mesoporous TiO2. Appl. Surf. Sci. 2018, 436, 596–602. [Google Scholar] [CrossRef]
- Lo, M.F.; Ng, T.W.; Mo, H.W.; Lee, C.S. Direct Threat of a UV-Ozone Treated Indium-Tin-Oxide Substrate to the Stabilities of Common Organic Semiconductors. Adv. Funct. Mater. 2013, 23, 1718–1723. [Google Scholar] [CrossRef]
- Montes, C.; Ocaña, L.; González-Pérez, S.; González-Díaz, B.; Friend, M.; Cendagorta, M. Developing an Agglomerate of Graphite and Black Carbon in an Ethylene-Vinyl Acetate in Toluene Solution for Producing Electrodes for HTM-Free Perovskite Solar Cells. In Proceedings of the 37th European Photovoltaic Solar Energy Conference and Exhibition, Virtual, 7–11 September 2020; pp. 667–672. [Google Scholar]
- Montes, C.; Ocaña, L.; De Sousa-Vieira, L.; González-Pérez, S.; González-Díaz, B.; Moreno-Ramírez, J.S.; Hernández-Rodríguez, C.; Friend, M.; Cendagorta, M. Fabrication of Smooth, Mirror-like and Pbi 2-Free Thin Film Perovskite Layers in Ambient Conditions. In Proceedings of the 36th European Photovoltaic Solar Energy Conference and Exhibition, Marseilles, France, 9–13 September 2019; pp. 717–720. [Google Scholar]
- Troughton, J.; Hooper, K.; Watson, T.M. Humidity Resistant Fabrication of CH3NH3PbI3 Perovskite Solar Cells and Modules. Nano Energy 2017, 39, 60–68. [Google Scholar] [CrossRef]
- Ocaña, L.; Montes, C.; González-Pérez, S.; González-Díaz, B.; Friend, M.; Cendagorta, M. Improvements on the Stability of MAPbI3 Thin Films against UV Radiation by a Low Temperature Encapsulation Method That Uses Commercial Ethylene-Vinyl Acetate Sheets. In Proceedings of the 37th European Photovoltaic Solar Energy Conference and Exhibition, Virtual, 7–11 September 2020; EU PVSEC, Ed.; pp. 659–662. [Google Scholar]
- Jayant Dharma, A.P. Simple Method of Measuring the Band Gap Energy Value of TiO2 in the Powder form Using a UV/Vis/NIR Spectrometer; PerkinElmer Inc.: Shelton, CT, USA, 2009. [Google Scholar]
- Löper, P.; Moon, S.-J.; de Nicolas, S.; Niesen, B.; Ledinsky, M.; Nicolay, S.; Bailat, J.; Yum, J.-H.; De Wolf, S.; Ballif, C. Organic–Inorganic Halide Perovskite/Crystalline Silicon Four-Terminal Tandem Solar Cells. Phys. Chem. Chem. Phys. 2015, 17, 1619–1629. [Google Scholar] [CrossRef]
- Ocaña, L.; Montes, C.; González-Pérez, S.; González-Díaz, B.; Llarena, E. Testing Encapsulated Perovskite Solar Cells in a Climatic Chamber by Following the IEC 61215 and IEC 61646 Standards for the Thermal Cycling Test. In Proceedings of the 38th European Photovoltaic Solar Energy Conference and Exhibition, Virtual, 6–10 September 2021; pp. 406–410. [Google Scholar]
- Khenkin, M.V.; Katz, E.A.; Abate, A.; Bardizza, G.; Berry, J.J.; Brabec, C.; Brunetti, F.; Bulović, V.; Burlingame, Q.; Di Carlo, A.; et al. Consensus Statement for Stability Assessment and Reporting for Perovskite Photovoltaics Based on ISOS Procedures. Nat. Energy 2020, 5, 35–49. [Google Scholar] [CrossRef]
- Schwenzer, J.A.; Rakocevic, L.; Gehlhaar, R.; Abzieher, T.; Gharibzadeh, S.; Moghadamzadeh, S.; Quintilla, A.; Richards, B.S.; Lemmer, U.; Paetzold, U.W. Temperature Variation-Induced Performance Decline of Perovskite Solar Cells. ACS Appl. Mater. Interfaces 2018, 10, 16390–16399. [Google Scholar] [CrossRef]
- Ocaña, L.; Montes, C.; González-Díaz, B.; González-Pérez, S.; Llarena, E. Testing EVA, PMMA and PVDF Encapsulated Perovskite Solar Cells in a Climatic Chamber by Following the International Summit on Organic Photovoltaic Stability (ISOS-T) Protocols. In Proceedings of the 8th World Conference on Photovoltaic Energy Conversion, Milan, Italy, 26–30 September 2022; pp. 291–295. [Google Scholar]
- Ocaña, L.; Montes, C.; González-Díaz, B.; González-Pérez, S.; Llarena, E. Testing EVA, PMMA and PVDF under UV Irradiation for a New Low Temperature Encapsulation Method for Perovskite Solar Cells. In Proceedings of the EU PVSEC, Lisbon, Portugal, 18–22 September 2023; pp. 020103–001–020103-005. [Google Scholar]
- Aranda, C.; Cristobal, C.; Shooshtari, L.; Li, C.; Huettner, S.; Guerrero, A. Formation Criteria of High Efficiency Perovskite Solar Cells under Ambient Conditions. Sustain. Energy Fuels 2017, 1, 540–547. [Google Scholar] [CrossRef]
- Seethamraju, S.; Ramamurthy, P.C.; Madras, G. Ionomer Based Blend as Water Vapor Barrier Material for Organic Device Encapsulation. ACS Appl. Mater. Interfaces 2013, 5, 4409–4416. [Google Scholar] [CrossRef]
- Szostak, R.; Silva, J.C.; Turren-Cruz, S.-H.; Soares, M.M.; Freitas, R.O.; Hagfeldt, A.; Tolentino, H.C.N.; Nogueira, A.F. Nanoscale Mapping of Chemical Composition in Organic-Inorganic Hybrid Perovskite Films. Sci. Adv. 2019, 5, eaaw6619. [Google Scholar] [CrossRef]











| Phase | Reagent | Quantity | Unit | Purity |
|---|---|---|---|---|
| I | PbI2 | 0.7434 | g | 99.00% |
| DMF | 1.148 | µL | 99.80% | |
| DMSO | 127.6 | µL | 99.90% | |
| II | MAI | 0.2598 | g | 98.00% |
| ID | Description | Characterization |
|---|---|---|
| Pk/EVA | Glass-MAPbI3-EVA-Glass | Digital microscope, spectroscopic ellipsometry (absorption coefficient), FTIR |
| Pk/PMMA | Glass-MAPbI3-PMMA-Glass | |
| Pk/EVA/PVDF | Glass- MAPbI3-PVDF-Glass | |
| PSC/EVA | Glass-PSC-EVA-Glass | Simulation (Voc, Isc, Vmax, Imax, FF, η) |
| PSC/PMMA | Glass-PSC-PMMA-Glass | |
| PSC/EVA/PVDF | Glass-PSC-PVDF-Glass |
| ID | PSC/EVA | PSC/PMMA | PSC/EVA/PVDF | ||||||
|---|---|---|---|---|---|---|---|---|---|
| 0 Cycle | 200 Cycles | Reduction | 0 Cycle | 200 Cycles | Reduction | 0 Cycle | 200 Cycles | Reduction | |
| Voc (V) | 1.09 | 1.09 | 0.22% | 1.10 | 1.07 | 3.26% | 1.10 | 1.08 | 1.63% |
| Isc (mA/cm2) | 21.40 | 20.54 | 4.03% | 25.55 | 13.49 | 47.21% | 22.58 | 16.72 | 25.93% |
| FF (%) | 68.24 | 67.25 | 1.45% | 71.73 | 57.58 | 19.72% | 69.34 | 61.58 | 11.19% |
| PCE (%) | 15.96 | 15.06 | 5.63% | 20.20 | 8.28 | 59.00% | 17.16 | 11.10 | 35.29% |
| Vmp (V) | 0.92 | 0.91 | 0.29% | 0.93 | 0.88 | 4.76% | 0.92 | 0.90 | 2.45% |
| Imp (mA/cm2) | 17.42 | 16.48 | 5.35% | 21.82 | 9.39 | 56.95% | 18.65 | 12.37 | 33.67% |
| ID | PSC/EVA | PSC/PMMA | PSC/EVA/PVDF | ||||||
|---|---|---|---|---|---|---|---|---|---|
| 0 h | 350 h | Reduction | 0 h | 350 h | Reduction | 0 h | 350 h | Reduction | |
| Voc (V) | 1.09 | 1.10 | −0.63% | 1.10 | 1.10 | 0.29% | 1.10 | 1.10 | 0.08% |
| Isc (mA/cm2) | 20.76 | 18.98 | 8.57% | 25.11 | 12.30 | 51.00% | 24.03 | 18.46 | 23.15% |
| FF (%) | 67.82 | 66.66 | 1.72% | 71.61 | 68.56 | 4.26% | 70.72 | 69.69 | 1.47% |
| PCE (%) | 15.37 | 13.90 | 9.58% | 19.81 | 9.26 | 53.22% | 18.68 | 14.13 | 24.34% |
| Vmp (V) | 0.92 | 0.92 | −0.53% | 0.93 | 0.92 | 0.76% | 0.92 | 0.92 | 0.36% |
| Imp (mA/cm2) | 16.79 | 15.11 | 10.05% | 21.40 | 20.18 | 5.73% | 20.23 | 15.36 | 24.07% |
Disclaimer/Publisher’s Note: The statements, opinions and data contained in all publications are solely those of the individual author(s) and contributor(s) and not of MDPI and/or the editor(s). MDPI and/or the editor(s) disclaim responsibility for any injury to people or property resulting from any ideas, methods, instructions or products referred to in the content. |
© 2023 by the authors. Licensee MDPI, Basel, Switzerland. This article is an open access article distributed under the terms and conditions of the Creative Commons Attribution (CC BY) license (https://creativecommons.org/licenses/by/4.0/).
Share and Cite
Ocaña, L.; Montes, C.; González-Díaz, B.; González-Pérez, S.; Llarena, E. Evaluation of Ethylene-Vinyl Acetate, Methyl Methacrylate, and Polyvinylidene Fluoride as Encapsulating Materials for Perovskite-Based Solar Cells, Using the Low-Temperature Encapsulation Method in a Cleanroom Environment. Energies 2024, 17, 60. https://doi.org/10.3390/en17010060
Ocaña L, Montes C, González-Díaz B, González-Pérez S, Llarena E. Evaluation of Ethylene-Vinyl Acetate, Methyl Methacrylate, and Polyvinylidene Fluoride as Encapsulating Materials for Perovskite-Based Solar Cells, Using the Low-Temperature Encapsulation Method in a Cleanroom Environment. Energies. 2024; 17(1):60. https://doi.org/10.3390/en17010060
Chicago/Turabian StyleOcaña, Luis, Carlos Montes, Benjamin González-Díaz, Sara González-Pérez, and Elena Llarena. 2024. "Evaluation of Ethylene-Vinyl Acetate, Methyl Methacrylate, and Polyvinylidene Fluoride as Encapsulating Materials for Perovskite-Based Solar Cells, Using the Low-Temperature Encapsulation Method in a Cleanroom Environment" Energies 17, no. 1: 60. https://doi.org/10.3390/en17010060
APA StyleOcaña, L., Montes, C., González-Díaz, B., González-Pérez, S., & Llarena, E. (2024). Evaluation of Ethylene-Vinyl Acetate, Methyl Methacrylate, and Polyvinylidene Fluoride as Encapsulating Materials for Perovskite-Based Solar Cells, Using the Low-Temperature Encapsulation Method in a Cleanroom Environment. Energies, 17(1), 60. https://doi.org/10.3390/en17010060

