High-Temperature-Resistant Epoxy Resin Gel Behavior and Profile Control in Heavy Oil Steam Drive
Abstract
1. Introduction
2. Materials and Methods
2.1. Materials
2.2. Preparation of EHRB
2.3. Determination of Gel Time and Gel Strength
2.4. Effect of BGE Addition on Viscosity and Curing Strength
2.5. Core Plugging Experiment
- (1)
- Connect the appropriate pipelines and check the airtightness of the setup.
- (2)
- Adjust the six-way valves 2 and 5 to connect the middle container 6 with the sand packing tube entrance. Control the ISCO pump in constant flow mode to inject water at a flow rate of 0.5 mL/min. The pressure acquisition system 4 records the injection pressure at the sand packing tube entrance, and the stabilized pressure is noted as P1. Use the following formula to calculate the sand packing tube’s permeability.
- (3)
- Adjust the six-way valves 2 and 5 to connect the middle container 7 with the sand packing tube entrance. Inject the epoxy resin gel into the sand packing tube at the same flow rate for 1 pore volume (1 PV), maintaining the oven temperature at 130 °C for 6 h to allow gelation. Subsequently, increase the temperature to 260 °C for aging over 3 h to ensure complete curing of the resin gel.
- (4)
- Adjust the six-way valves 2 and 5 to connect the middle container 6 with the sand packing tube entrance. Continue to displace with water at a flow rate of 0.5 mL/min, recording the breakthrough pressure at the time of stable pressure and the permeability at the point of breakthrough. Calculate the plugging efficiency and breakthrough pressure gradient.
2.6. EHRB Erosion Experiment
2.7. Oil Displacement Experiment
2.8. Research on Heat Resistance Mechanism
3. Results and Discussion
3.1. Preparation of EHRB
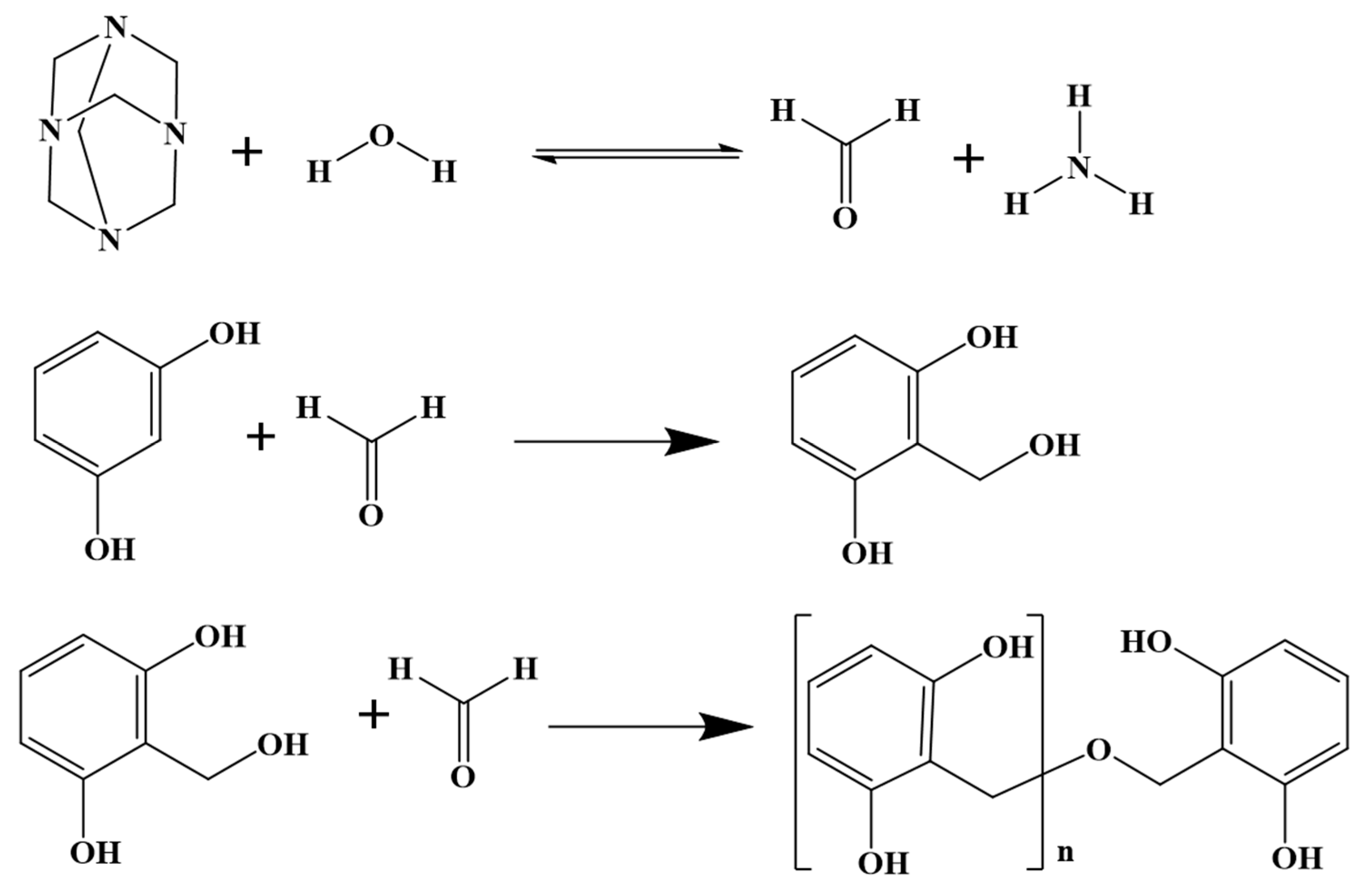
3.1.1. Cross-Linking Process
3.1.2. EHRB Shape
3.2. Effect of Additive Concentration on EHRB Gel Performance
3.2.1. Effect of ER Concentration on Gel Properties
3.2.2. Effect of HMTA Concentration on Gel Properties
3.2.3. Effect of RO Concentration on Gel Properties
3.2.4. Effect of BGE Concentration on Gel Properties
3.3. Effect of BGE Addition on Viscosity and Curing Strength
3.4. EHRB Sealing Performance
3.5. EHRB Erosion Resistance
3.6. EOR Performance of EHRB
3.7. Research on Heat Resistance Mechanism
4. Conclusions
- (1)
- EHRB can form high-strength and stable gels at 130 °C. The optimal concentrations of different additives are as follows: ER ≥ 45 wt%, HMTA ≥ 2.5 wt%, RO ≥ 3.0 wt%, and BGE ≤ 20%. The gel strength can reach the “H” level with gelation times ranging from 4.6 to 8 h, and dehydration rates between 12% and 6.2%.
- (2)
- Adding 20 wt% of BGE to EHRB can effectively reduce the system’s viscosity to meet on-site injection requirements while maintaining the system’s compressive strength.
- (3)
- EHRB exhibits a sealing efficiency of over 90% at 260 °C and demonstrates excellent resistance to steam flushing and enhanced oil recovery (EOR) performance. It is well suited for controlling dominant pathways in heavy oil steam flooding applications.
- (4)
- The high-temperature resistance of EHRB is attributed to the enhanced network structure resulting from the cross-linking reactions between phenolic–aldehyde resin and epoxy groups as well as self-polymerization of epoxy groups. EHRB features a narrow curing temperature window, allowing for rapid solidification to reduce steam erosion. EHRB is a promising solution for consistent control in heavy oil steam flooding with broad application prospects.
Author Contributions
Funding
Data Availability Statement
Conflicts of Interest
References
- Ding, M.; Liu, P.; Wang, Y.; Zhang, Z.; Dong, J.; Duan, Y. Adaptability to Enhance Heavy Oil Recovery by Combination and Foam Systems with Fine-Emulsification Properties. Energies 2023, 16, 7303. [Google Scholar] [CrossRef]
- Luo, C.; Wu, Y.; He, W.; Gao, Y.; Liu, J. Mechanisms and Operational Strategies of Multi-Lateral Steam-Assisted Gravity Drainage (SAGD) for Heterogeneous Reservoirs. Energies 2023, 16, 7351. [Google Scholar] [CrossRef]
- Lv, B.; Sun, P.; Wu, Y.; Yang, Z.; Liu, P.; Wang, C.; Liu, Q. Study and Application of Oily Sludge Profile Control Technology in Heavy Oil Reservoir. Energies 2023, 16, 5064. [Google Scholar] [CrossRef]
- Minakov, A.V.; Meshkova, V.D.; Guzey, D.V.; Pryazhnikov, M.I. Recent Advances in the Study of In Situ Combustion for Enhanced Oil Recovery. Energies 2023, 16, 4266. [Google Scholar] [CrossRef]
- Xie, Q.; Liang, G.; Liu, S.; Wang, R.; Feng, M.; Liao, C. Physical and Numerical Simulations of Steam Drive and Gravity Drainage Using the Confined Bottom Oil–Water Transition Zone to Develop Super Heavy Oil. Energies 2023, 16, 6302. [Google Scholar] [CrossRef]
- Fathy, D.; El-Balkiemy, A.F.; Makled, W.A.; Hosny, A.M. Organic geochemical signals of Paleozoic rocks in the southern Tethys, Siwa basin, Egypt: Implications for source rock characterization and petroleum system. Phys. Chem. Earth Parts A/B/C 2023, 130, 103393. [Google Scholar] [CrossRef]
- Willman, B.; Valleroy, V.; Runberg, G.; Cornelius, A.; Powers, L. Laboratory studies of oil recovery by steam injection. J. Pet. Technol. 1961, 13, 681–690. [Google Scholar] [CrossRef]
- Volek, C.; Pryor, J. Steam Distillation Drive-Brea Field, California. J. Pet. Technol. 1972, 24, 899–906. [Google Scholar] [CrossRef]
- Belghache, A.; Holyoak, S.; Alwazeer, A.; Choudhury, S.; Shibli, A.; Mahrazy, K.; Amri, Z.; Yazidi, R.; D’Amours, K. Designing a Cross Top Down Steam Drive Pilot to Unlock a Complex Ultra Heavy Oil Field in the Sultanate of Oman. In Proceedings of the SPE EOR Conference at Oil and Gas West Asia, Muscat, Oman, 26–28 March 2018; p. D022S005R002. [Google Scholar]
- Fan, J.; Yang, J.; Fan, X.; Wu, L. Experimental study on the mechanism of enhanced oil recovery by non-condensable gas-assisted steam flooding process in extra-heavy oil reservoir. Energy Sources Part A Recovery Util. Environ. Eff. 2021, 43, 444–460. [Google Scholar] [CrossRef]
- Liu, C.; Liao, X.; Zhang, Y.; Chang, M.-M.; Mu, C.; Li, T.; Qin, R.; Fu, R.; Bie, X.; Zheng, J. Field application of polymer microspheres flooding: A pilot test in offshore heavy oil reservoir. In Proceedings of the SPE Annual Technical Conference and Exhibition, San Antonio, TX, USA, 8–10 October 2012; p. SPE-158293-MS. [Google Scholar]
- Cao, W.; Xie, K.; Lu, X.; Liu, Y.; Zhang, Y. Effect of profile-control oil-displacement agent on increasing oil recovery and its mechanism. Fuel 2019, 237, 1151–1160. [Google Scholar] [CrossRef]
- Caili, D.; Qing, Y.; Fulin, Z. In-depth profile control technologies in China—A review of the state of the art. Pet. Sci. Technol. 2010, 28, 1307–1315. [Google Scholar] [CrossRef]
- Yanbin, C.; Dongqing, L.; Zhang, Z.; Shantang, W.; Quan, W.; Daohong, X. Steam channeling control in the steam flooding of super heavy oil reservoirs, Shengli Oilfield. Pet. Explor. Dev. 2012, 39, 785–790. [Google Scholar]
- Wang, C.; Liu, H.; Zheng, Q.; Liu, Y.; Dong, X.; Hong, C. A new high-temperature gel for profile control in heavy oil reservoirs. J. Energy Resour. Technol. 2016, 138, 022901. [Google Scholar] [CrossRef]
- Lu, C.; Liu, H.; Pang, Z.; Dong, X.; Xiu, W. A new profile control design based on quantitative identification of steam breakthrough channel in heavy oil reservoirs. J. Pet. Explor. Prod. Technol. 2014, 4, 17–35. [Google Scholar] [CrossRef][Green Version]
- Zhu, D.; Bai, B.; Hou, J. Polymer gel systems for water management in high-temperature petroleum reservoirs: A chemical review. Energy Fuels 2017, 31, 13063–13087. [Google Scholar] [CrossRef]
- Wang, Y.; Liu, H.; Pang, Z.; Gao, M. Visualization study on plugging characteristics of temperature-resistant gel during steam flooding. Energy Fuels 2016, 30, 6968–6976. [Google Scholar] [CrossRef]
- Wei, B.; Li, Q.; Jin, F.; Li, H.; Wang, C. The potential of a novel nanofluid in enhancing oil recovery. Energy Fuels 2016, 30, 2882–2891. [Google Scholar] [CrossRef]
- Liu, D.; Shi, X.; Zhong, X.; Zhao, H.; Pei, C.; Zhu, T.; Zhang, F.; Shao, M.; Huo, G. Properties and plugging behaviors of smectite-superfine cement dispersion using as water shutoff in heavy oil reservoir. Appl. Clay Sci. 2017, 147, 160–167. [Google Scholar] [CrossRef]
- Li, S.; Li, Z.; Li, B. Experimental study and application of tannin foam for profile modification in cyclic steam stimulated well. J. Pet. Sci. Eng. 2014, 118, 88–98. [Google Scholar] [CrossRef]
- Baojun, B.; Ming, H.; Yuxiang, L. Influence factor analysis on the plugging performance of gel plugging agent. Oil Gas Recovery Technol. 1997, 4, 22–29. [Google Scholar]
- Dai, C.; Gu, C.; Liu, B.; Lyu, Y.; Yao, X.; He, H.; Fang, J.; Zhao, G. Preparation of low-temperature expandable graphite as a novel steam plugging agent in heavy oil reservoirs. J. Mol. Liq. 2019, 293, 111535. [Google Scholar] [CrossRef]
- Jie, W.; Meilong, F.; Ruokun, X.; Zhiyuan, Z.; Lifeng, C. Study and Application of High-temperature Channeling Blocking System Based on Multi-group Cross Linked Gel for Heavy Oil Reservoirs. Spec. Oil Gas Reserv. 2021, 28, 151–157. [Google Scholar]
- Liu, P.; Zhang, X.; Wu, Y.; Li, X. Enhanced oil recovery by air-foam flooding system in tight oil reservoirs: Study on the profile-controlling mechanisms. J. Pet. Sci. Eng. 2017, 150, 208–216. [Google Scholar] [CrossRef]
- Dong, X.; Liu, H.; Chen, Z.; Wu, K.; Lu, N.; Zhang, Q. Enhanced oil recovery techniques for heavy oil and oilsands reservoirs after steam injection. Appl. Energy 2019, 239, 1190–1211. [Google Scholar] [CrossRef]
- Liu, R.; Liu, H.; Li, X.; Fan, Z. The reservoir suitability studies of nitrogen foam flooding in Shengli Oilfield. In Proceedings of the SPE Asia Pacific Oil and Gas Conference and Exhibition, Perth, Australia, 20–22 October 2008; p. SPE-114800-MS. [Google Scholar]
- HUANG, X. High Temperature Foam Profile Control System for Heavy Oil Reservoir in Lab Experiment. J. Southwest Pet. Univ. (Sci. Technol. Ed.) 2007, 29, 116. [Google Scholar]
- Sun, C.; Hou, J.; Pan, G.; Xia, Z. Optimized polymer enhanced foam flooding for ordinary heavy oil reservoir after cross-linked polymer flooding. J. Pet. Explor. Prod. Technol. 2016, 6, 777–785. [Google Scholar] [CrossRef] [PubMed]
- Pang, Z.; Liu, H.; Zhu, L. A laboratory study of enhancing heavy oil recovery with steam flooding by adding nitrogen foams. J. Pet. Sci. Eng. 2015, 128, 184–193. [Google Scholar] [CrossRef]
- Pang, Z.; Wu, Y.; Zhao, M. Novel evaluation method of foam agents for thermal recovery in heavy oil reservoirs. Energy Fuels 2016, 30, 2948–2957. [Google Scholar] [CrossRef]
- Sun, L.; Li, D.; Pu, W.; Li, L.; Bai, B.; Han, Q.; Zhang, Y.; Tang, X. Combining preformed particle gel and curable resin-coated particles to control water production from high-temperature and high-salinity fractured producers. SPE J. 2020, 25, 938–950. [Google Scholar] [CrossRef]
- Liu, Q.; Mu, H.; Wang, J.; Fan, Z. The synthesize and property evaluation of high temperature resistant phenolic resin-type profile control agent. Open J. Compos. Mater. 2014, 4, 173–176. [Google Scholar] [CrossRef]
- Li, W.; Lee, L.J. Shrinkage control of low-profile unsaturated polyester resins cured at low temperature. Polymer 1998, 39, 5677–5687. [Google Scholar] [CrossRef]
- Tokar, E.; Tutov, M.; Kozlov, P.; Slobodyuk, A.; Egorin, A. Effect of the resorcinol/formaldehyde ratio and the temperature of the Resorcinol–Formaldehyde gel solidification on the chemical stability and sorption characteristics of ion-exchange resins. Gels 2021, 7, 239. [Google Scholar] [CrossRef] [PubMed]
- Jia, H.; Pu, W.-F.; Zhao, J.-Z.; Liao, R. Experimental investigation of the novel phenol− formaldehyde cross-linking HPAM gel system: Based on the secondary cross-linking method of organic cross-linkers and its gelation performance study after flowing through porous media. Energy Fuels 2011, 25, 727–736. [Google Scholar] [CrossRef]
- Xu, B.; Zhao, G.; Gu, C.; Dai, C.; Zhao, W.; Ma, T. Research and Application Progress of Wet-Phase Modified Expandable Graphite as a Steam Plugging Agent in Heavy Oil Reservoirs. Energy Fuels 2022, 37, 1081–1091. [Google Scholar] [CrossRef]
- Zhao, G.; Dai, C.; Gu, C.; You, Q.; Sun, Y. Expandable graphite particles as a novel in-depth steam channeling control agent in heavy oil reservoirs. Chem. Eng. J. 2019, 368, 668–677. [Google Scholar] [CrossRef]
- Sydansk, R.D. Delayed in situ crosslinking of acrylamide polymers for oil recovery applications in high-temperature formations. US Patent No 4844168, 4 July 1989. [Google Scholar]
- Ding, F.; Dai, C.; Sun, Y.; Zhao, G.; You, Q.; Liu, Y. Gelling behavior of PAM/phenolic crosslinked gel and its profile control in a low-temperature and high-salinity reservoir. Gels 2022, 8, 433. [Google Scholar] [CrossRef]










| Ionic Type | Cl− | HCO3− | Mg2+ | Ca2+ | Na+/K+ |
|---|---|---|---|---|---|
| Ionic content (mg/L) | 2765.1 | 972 | 58 | 86.83 | 1951.0 |
| Gel Strength Code | Gel Category | Gel Description |
|---|---|---|
| A | No detectable gel | The same viscosity as the original polymer solution. |
| B | Highly flowing gel | Only slightly more viscous than the initial polymer solution. |
| C | Flowing gel | Most of the gel flows to the bottle cap by gravity upon inversion. |
| D | Moderately flowing gel | Only a small portion (5.0–10.0%) of the gel does not readily flow to the bottle cap by gravity upon inversion |
| E | Barely flowing gel | Significant portion (>15.0%) of the gel does not flow by gravity upon inversion. |
| F | Highly deformable non-flowing gel | The gel does not flow to the bottle cap by gravity upon inversion. |
| G | Moderately deformable non-flowing gel | The gel deforms about halfway down the bottle by gravity upon inversion. |
| H | Slightly deformable non-flowing gel | Only the gel surface slightly deforms by gravity upon inversion. |
| I | Rigid gel | There is no gel surface deformation by gravity upon inversion. |
| Number | Initial Permeability (mD) | Permeability after Plugging (mD) | Blocking Rate % | Breakthrough Pressure Gradient (MPa/m) |
|---|---|---|---|---|
| 1 | 893 | 35.7 | 96 | 9 |
| 2 | 908 | 45 | 94.1 | 8.2 |
| 3 | 1572 | 108 | 93.1 | 7.8 |
| 4 | 1863 | 111.7 | 94.0 | 8.1 |
| 5 | 2207 | 223 | 91.3 | 6.7 |
Disclaimer/Publisher’s Note: The statements, opinions and data contained in all publications are solely those of the individual author(s) and contributor(s) and not of MDPI and/or the editor(s). MDPI and/or the editor(s) disclaim responsibility for any injury to people or property resulting from any ideas, methods, instructions or products referred to in the content. |
© 2023 by the authors. Licensee MDPI, Basel, Switzerland. This article is an open access article distributed under the terms and conditions of the Creative Commons Attribution (CC BY) license (https://creativecommons.org/licenses/by/4.0/).
Share and Cite
Shi, Y.; He, H.; Li, Y.; Ding, F.; Zhou, Z.; Xiong, N. High-Temperature-Resistant Epoxy Resin Gel Behavior and Profile Control in Heavy Oil Steam Drive. Energies 2024, 17, 50. https://doi.org/10.3390/en17010050
Shi Y, He H, Li Y, Ding F, Zhou Z, Xiong N. High-Temperature-Resistant Epoxy Resin Gel Behavior and Profile Control in Heavy Oil Steam Drive. Energies. 2024; 17(1):50. https://doi.org/10.3390/en17010050
Chicago/Turabian StyleShi, Ying, Hong He, Yu Li, Fei Ding, Zhuo Zhou, and Nuolin Xiong. 2024. "High-Temperature-Resistant Epoxy Resin Gel Behavior and Profile Control in Heavy Oil Steam Drive" Energies 17, no. 1: 50. https://doi.org/10.3390/en17010050
APA StyleShi, Y., He, H., Li, Y., Ding, F., Zhou, Z., & Xiong, N. (2024). High-Temperature-Resistant Epoxy Resin Gel Behavior and Profile Control in Heavy Oil Steam Drive. Energies, 17(1), 50. https://doi.org/10.3390/en17010050
