Research on Wake Field Characteristics and Support Structure Interference of Horizontal Axis Tidal Stream Turbine
Abstract
1. Introduction
2. Experimental Setup and Measurement
3. Numerical Model
4. Results and Discussion
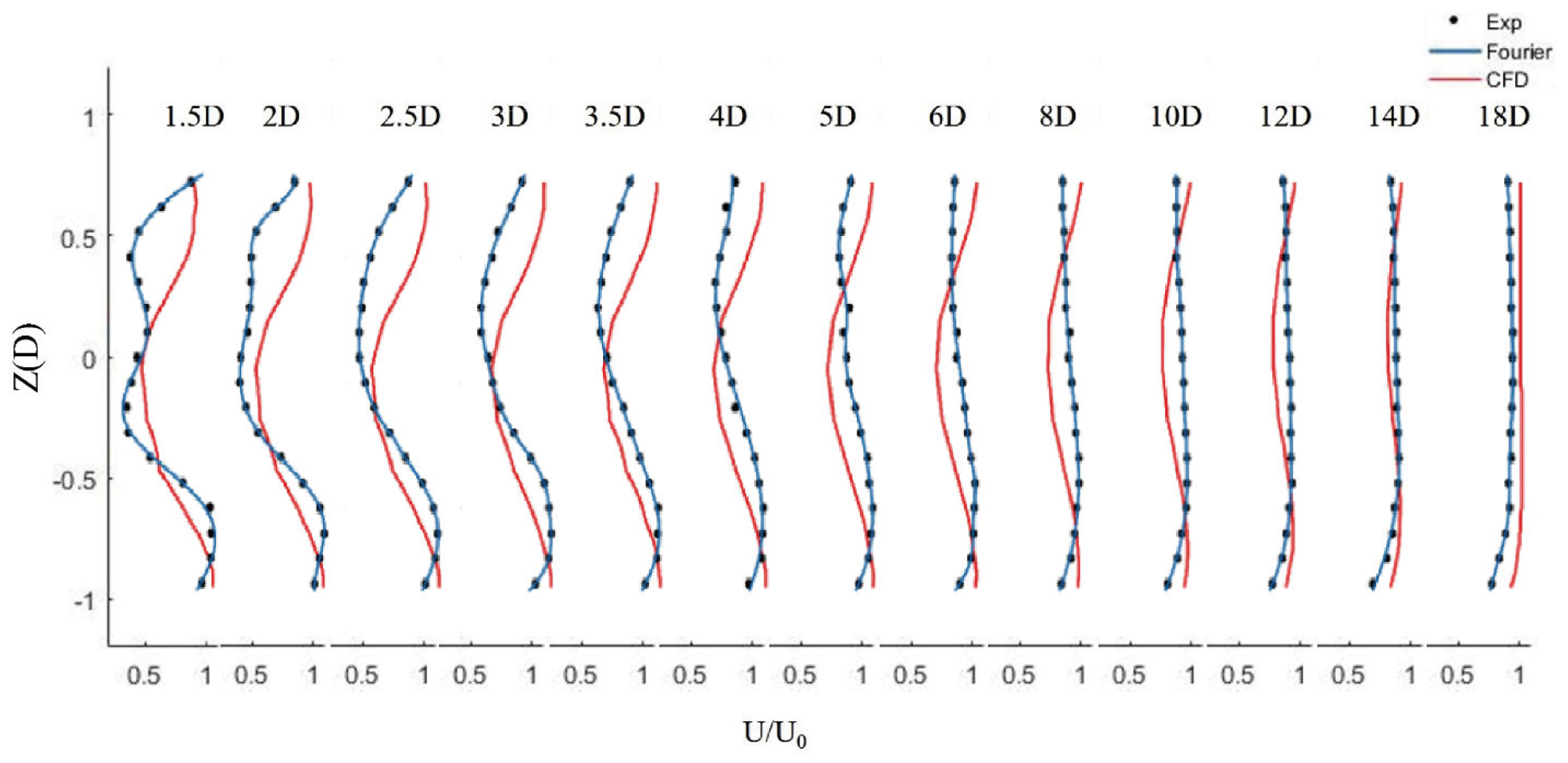
4.1. Hydrodynamic Analysis
4.2. Analysis of the Influence of Support Structure on Turbine Performance
5. Conclusions
- (1)
- In the transverse flow field, the most significant speed loss occurs at the centerline (the rotational axis of the blades), where the support structure obstructs the flow.
- (2)
- Close to the optimal tip speed ratio for maximum energy conversion, the support column decreases the turbine’s Cp by 4.41%. The support column’s effect on the turbine impeller’s average axial load coefficient is similar, with the support column structure causing a noticeable blockage in the flow at the optimal tip speed ratio, resulting in a slight decrease in the axial load coefficient.
- (3)
- With the presence of the column structure, the maximum velocity attenuation of the wake field is increased by 3.96%, which occurs at 1.67 D behind the turbine’s centerline. The column reduces both the rate and range of velocity attenuation in the high-velocity zone outside the blade tip, significantly impacting the vorticity in the near wake field.
- (4)
- The power coefficient, Cp, exhibits periodicity due to the interaction between the blade and the support column, leading to a reduction in the turbine’s average performance.
Supplementary Materials
Author Contributions
Funding
Data Availability Statement
Acknowledgments
Conflicts of Interest
References
- Shen, L.; Zhong, S.; Hu, S. Opportunities and challenges of natural resources research of China in the New Era. J. Nat. Resour. 2020, 35, 1773–1788. [Google Scholar] [CrossRef]
- Djama Dirieh, N.; Thiebot, J.; Guillou, S.; Guillou, N. Blockage Corrections for Tidal Turbines-Application to an Array of Turbines in the Alderney Race. Energies 2022, 15, 3475. [Google Scholar] [CrossRef]
- Liu, J.; Lin, H.; Purimitla, S.R.; Dass, M.E.T. The effects of blade twist and nacelle shape on the performance of horizontal axis tidal current turbines. Appl. Ocean. Res. 2017, 64, 58–69. [Google Scholar] [CrossRef]
- Zhang, Y.; Zhang, J.; Lin, X.; Wang, R.; Zhang, C.; Zhao, J. Experimental investigation into downstream field of a horizontal axis tidal stream turbine supported by a mono pile. Appl. Ocean. Res. 2020, 101, 102257. [Google Scholar] [CrossRef]
- Zhang, Y.; Zang, W.; Zheng, J.; Cappietti, L.; Zhang, J.; Zheng, Y.; Fernandez-Rodriguez, E. The influence of waves propagating with the current on the wake of a tidal stream turbine. Appl. Energy 2021, 290, 116729. [Google Scholar] [CrossRef]
- Zhang, Y.; Zhang, Z.; Zheng, J.; Zhang, J.; Zheng, Y.; Zang, W.; Lin, X.; Fernandez-Rodriguez, E. Experimental investigation into effects of boundary proximity and blockage on horizontal-axis tidal turbine wake. Ocean. Eng. 2021, 225, 108829. [Google Scholar] [CrossRef]
- Jo, C.H.; Hwang, S.J. Review on Tidal Energy Technologies and Research Subjects. China Ocean. Eng. 2020, 34, 137–150. [Google Scholar] [CrossRef]
- Masters, I.; Williams, A.; Croft, T.N.; Togneri, M.; Edmunds, M.; Zangiabadi, E.; Fairley, I.; Karunarathna, H. A Comparison of Numerical Modelling Techniques for Tidal Stream Turbine Analysis. Energies 2015, 8, 7833–7853. [Google Scholar] [CrossRef]
- Alves, J.S.; Gato, L.M.C.; Falcao, A.F.O.; Henriques, J.C.C. Experimental investigation on performance improvement by mid-plane guide-vanes in a biplane-rotor Wells turbine for wave energy conversion. Renew. Sustain. Energy Rev. 2021, 150, 111497. [Google Scholar] [CrossRef]
- Wu, M.; Stratigaki, V.; Troch, P.; Altomare, C.; Verbrugghe, T.; Crespo, A.; Cappietti, L.; Hall, M.; Gomez-Gesteira, M. Experimental Study of a Moored Floating Oscillating Water Column Wave-Energy Converter and of a Moored Cubic Box. Energies 2019, 12, 1834. [Google Scholar] [CrossRef]
- Zang, W.; Zheng, Y.; Zhang, Y.; Lin, X.; Li, Y.; Fernandez-Rodriguez, E. Numerical Investigation on a Diffuser-Augmented Horizontal Axis Tidal Stream Turbine with the Entropy Production Theory. Mathematics 2023, 11, 116. [Google Scholar] [CrossRef]
- Ahmadi, M.H.B.; Yang, Z. The evolution of turbulence characteristics in the wake of a horizontal axis tidal stream turbine. Renew. Energy 2020, 151, 1008–1015. [Google Scholar] [CrossRef]
- Zhang, Y.; Zhang, Z.; Zheng, J.; Zheng, Y.; Zhang, J.; Liu, Z.; Fernandez-Rodriguez, E. Research of the array spacing effect on wake interaction of tidal stream turbines. Ocean. Eng. 2023, 276, 114227. [Google Scholar] [CrossRef]
- Zhang, Z.; Zhang, Y.; Zheng, Y.; Zhang, J.; Fernandez-Rodriguez, E.; Zang, W.; Ji, R. Power fluctuation and wake characteristics of tidal stream turbine subjected to wave and current interaction. Energy 2023, 264, 126185. [Google Scholar] [CrossRef]
- Turnock, S.R.; Phillips, A.B.; Banks, J.; Nicholls-Lee, R. Modelling tidal current turbine wakes using a coupled RANS-BEMT approach as a tool for analysing power capture of arrays of turbines. Ocean. Eng. 2011, 38, 1300–1307. [Google Scholar] [CrossRef]
- Vogel, C.; Willden, R. Multi-rotor tidal stream turbine fence performance and operation. Int. J. Mar. Energy 2017, 19, 198–206. [Google Scholar] [CrossRef]
- Apsley, D.D.; Stallard, T.; Stansby, P.K. Actuator-line CFD modelling of tidal-stream turbines in arrays. J. Ocean. Eng. Mar. Energy 2018, 4, 259–271. [Google Scholar] [CrossRef]
- Muchala, S.; Willden, R.H.J. Impact of tidal turbine support structures on realizable turbine farm power. Renew. Energy 2017, 114, 588–599. [Google Scholar] [CrossRef]
- Cao, Y.; Liu, A.; Yu, X.; Liu, Z.; Tang, X.; Wang, S. Experimental tests and CFD simulations of a horizontal wave flow turbine under the joint waves and currents. Ocean. Eng. 2021, 237, 109480. [Google Scholar] [CrossRef]
- Muchala, S.; Willden, R.H. Influence of support structures on tidal turbine power output. J. Fluids Struct. 2018, 83, 27–39. [Google Scholar] [CrossRef]
- Mason-Jones, A.; O’Doherty, D.M.; Morris, C.E.; O’Doherty, T. Influence of a velocity profile & support structure on tidal stream turbine performance. Renew. Energy 2013, 52, 23–30. [Google Scholar] [CrossRef]
- Rehman, Z.U.; Badshah, S.; Rafique, A.F.; Badshah, M.; Jan, S.; Amjad, M. Effect of a Support Tower on the Performance and Wake of a Tidal Current Turbine. Energies 2021, 14, 1059. [Google Scholar] [CrossRef]
- Zang, W.; Zheng, Y.; Zhang, Y.; Zhang, J.; Fernandez-Rodriguez, E. Experiments on the mean and integral characteristics of tidal turbine wake in the linear waves propagating with the current. Ocean. Eng. 2019, 173, 1–11. [Google Scholar] [CrossRef]
- Qian, Y.; Zhang, Y.; Sun, Y.; Wang, T. Numerical investigations of the flow control effect on a thick wind turbine airfoil using deformable trailing edge flaps. Energy 2023, 265, 126327. [Google Scholar] [CrossRef]
- Lee, J.H.; Park, S.; Kim, D.H.; Rhee, S.H.; Kim, M.-C. Computational methods for performance analysis of horizontal axis tidal stream turbines. Appl. Energy 2012, 98, 512–523. [Google Scholar] [CrossRef]
- Li, C.; Zheng, Y.; Zhang, Y.; Kan, K.; Xue, X.; Fernandez-Rodriguez, E. Stability Optimization and Analysis of a Bidirectional Shaft Extension Pump. J. Fluids Eng. -Trans. Asme 2020, 142, 6374. [Google Scholar] [CrossRef]
- Chen, Y.; Lin, B.; Lin, J.; Wang, S. Effects of stream turbine array configuration on tidal current energy extraction near an island. Comput. Geosci. 2015, 77, 20–28. [Google Scholar] [CrossRef]
- Peng, B.; Zhang, Y.; Zheng, Y.; Wang, R.; Fernandez-Rodriguez, E.; Tang, Q.; Zhang, Z.; Zang, W. The effects of surge motion on the dynamics and wake characteristics of a floating tidal stream turbine under free surface condition. Energy Convers. Manag. 2022, 266, 115816. [Google Scholar] [CrossRef]
- Li, L.-J.; Zheng, J.-H.; Peng, Y.-X.; Zhang, J.-S.; Wu, X.-G. Numerical investigation of flow motion and performance of a horizontal axis tidal turbine subjected to a steady current. China Ocean. Eng. 2015, 29, 209–222. [Google Scholar] [CrossRef]
- Arabgolarcheh, A.; Jannesarahmadi, S.; Benini, E. Modeling of near wake characteristics in floating offshore wind turbines using an actuator line method. Renew. Energy 2022, 185, 871–887. [Google Scholar] [CrossRef]
- Thiebot, J.; du Bois, P.B.; Guillou, S. Numerical modeling of the effect of tidal stream turbines on the hydrodynamics and the sediment transport-Application to the Alderney Race (Raz Blanchard), France. Renew. Energy 2015, 75, 356–365. [Google Scholar] [CrossRef]
- Goundar, J.N.; Ahmed, M.R. Marine current energy resource assessment and design of a marine current turbine for Fiji. Renew. Energy 2014, 65, 14–22. [Google Scholar] [CrossRef]



















| Case | No. of Cells | Mean Power Coefficient Cp | Relative Error (%) |
|---|---|---|---|
| Coarsest | 2,000,000 (2.0 M) | 0.2854 | 16.1 |
| Coarse | 2,700,000 (2.7 M) | 0.3062 | 9.99 |
| Medium | 3,000,000 (3.0 M) | 0.3217 | 5.44 |
| Fine | 3,300,000 (3.3 M) | 0.3402 | - |
| Finest | 4,200,000 (4.2 M) | 0.3403 | 0.03 |
Disclaimer/Publisher’s Note: The statements, opinions and data contained in all publications are solely those of the individual author(s) and contributor(s) and not of MDPI and/or the editor(s). MDPI and/or the editor(s) disclaim responsibility for any injury to people or property resulting from any ideas, methods, instructions or products referred to in the content. |
© 2023 by the authors. Licensee MDPI, Basel, Switzerland. This article is an open access article distributed under the terms and conditions of the Creative Commons Attribution (CC BY) license (https://creativecommons.org/licenses/by/4.0/).
Share and Cite
Zhou, J.; Guo, H.; Zheng, Y.; Zhang, Z.; Yuan, C.; Liu, B. Research on Wake Field Characteristics and Support Structure Interference of Horizontal Axis Tidal Stream Turbine. Energies 2023, 16, 3891. https://doi.org/10.3390/en16093891
Zhou J, Guo H, Zheng Y, Zhang Z, Yuan C, Liu B. Research on Wake Field Characteristics and Support Structure Interference of Horizontal Axis Tidal Stream Turbine. Energies. 2023; 16(9):3891. https://doi.org/10.3390/en16093891
Chicago/Turabian StyleZhou, Jiayan, Huijuan Guo, Yuan Zheng, Zhi Zhang, Cong Yuan, and Bin Liu. 2023. "Research on Wake Field Characteristics and Support Structure Interference of Horizontal Axis Tidal Stream Turbine" Energies 16, no. 9: 3891. https://doi.org/10.3390/en16093891
APA StyleZhou, J., Guo, H., Zheng, Y., Zhang, Z., Yuan, C., & Liu, B. (2023). Research on Wake Field Characteristics and Support Structure Interference of Horizontal Axis Tidal Stream Turbine. Energies, 16(9), 3891. https://doi.org/10.3390/en16093891
