Evaporation and Autoignition Characteristics of JP-10 Droplets with Hyperbranched Polyester as Additive
Abstract
:1. Introduction
2. Experimental Method
2.1. Materials
2.2. Synthesis of Hyperbranched Polyester
2.3. Experimental Apparatus
2.4. D2-LAW and Film Theory
3. Result and Discussion
3.1. Thermal Stability of HPE
3.2. Evaporation and Autoignition Process of JP-10 Droplets Blended with HPE
3.3. Effect of the Initial Diameter of Feedstock JP-10 Droplet on the Evaporation Constant K at 500–800 K
3.4. Effect of HPE Additives on JP-10 Droplets’ Evaporation and Autoignition
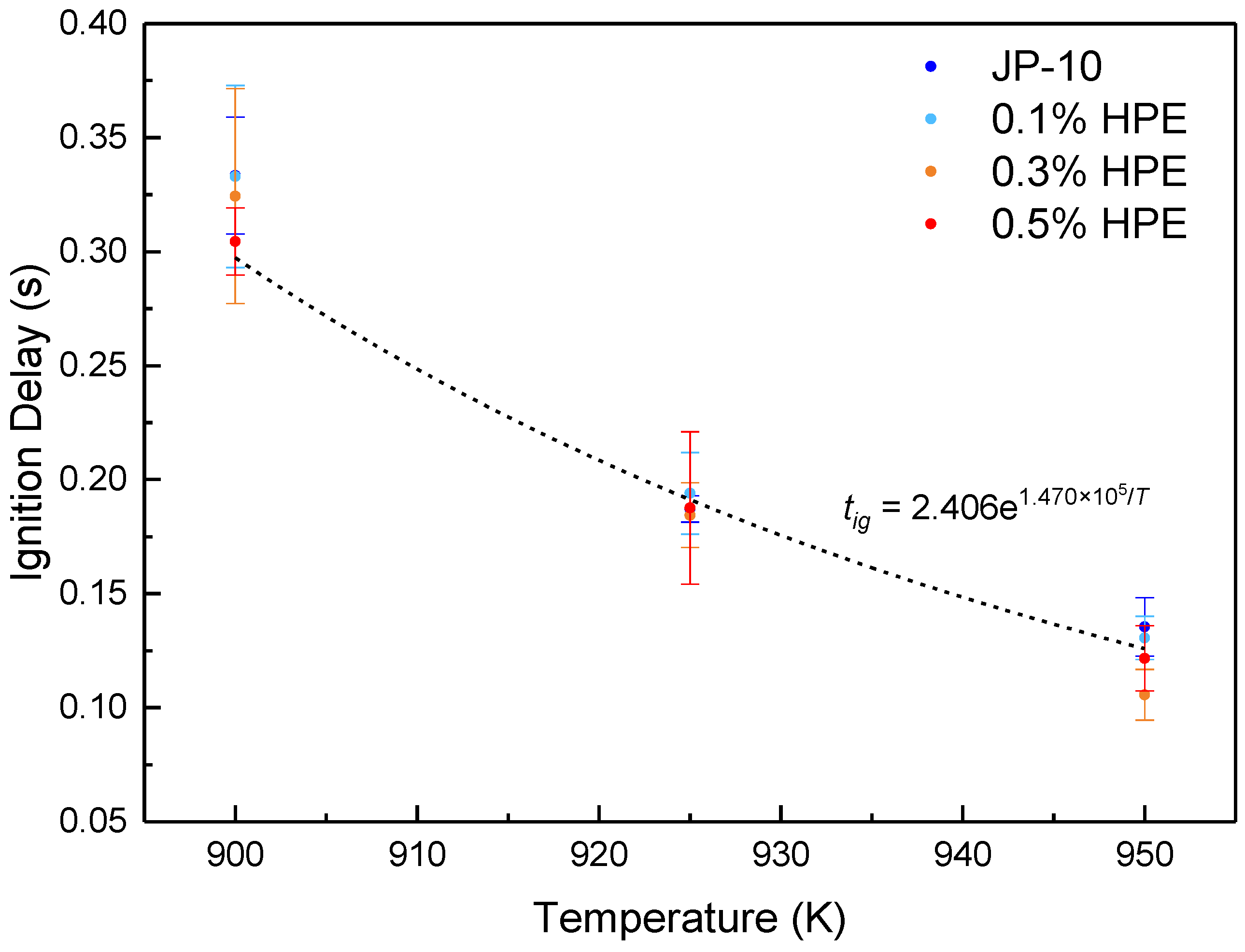
3.5. Effect of HPE Additives on JP-10 Droplets’ Ignition and Lifetime
4. Conclusions
- The evaporation constant K of JP-10 droplets is linearly correlated with the initial droplet diameter D0, and the fitting slope is positively correlated with temperature. Film theory can explain this phenomenon well. The main reason for this phenomenon is that large initial droplet diameters can improve the convective heat transfer ability of droplets.
- Low concentrations of HPE (0.1~0.5%) can cause droplets to exhibit puffing at low temperatures and micro-explosions at high temperatures, which increases the contact area between JP-10 droplets and the air, reduces the effect of the delayed evaporation or autoignition of residual components, shortens the droplet lifetime, and improves the evaporation and combustion performance of JP-10 droplets.
- A mechanism of puffing and micro-explosions induced by HPE is proposed: inside a droplet, the micron-sized porous network structure of HPE provides numerous nucleation sites and thus promotes bubble nucleation. On the droplet’s surface, the heavy component HPE aggregates to form a liquid film and thus blocks the escape of bubbles inside the droplet. These effects synergistically cause JP-10 droplets to exhibit puffing and micro-explosions.
Author Contributions
Funding
Data Availability Statement
Conflicts of Interest
Nomenclature
| JP-10 | exo-tetrahydrodicyclopentadiene |
| TMP | 1,1,1-tris(hydroxymethyl)propane |
| MPA | 2,2-bis(hydroxymethyl)-propionic acid |
| p-TSA | p-Toluenesulfonic acid |
| Instantaneous projected area | |
| Instantaneous droplet diameter | |
| Initial droplet diameter | |
| Approximate background droplet diameter | |
| Initial droplet radius | |
| Flame radius | |
| Film radius | |
| Heating time | |
| Droplet lifetime | |
| Ignition delay | |
| Thermal conductivity | |
| Density | |
| Specific heat capacity | |
| Convection heat transfer coefficient | |
| Spalding transfer number | |
| Nusselt number | |
| Reynolds number | |
| Prandtl number |
References
- Blakey, S.; Rye, L.; Wilson, C.W. Aviation Gas Turbine Alternative Fuels: A Review. Proc. Combust. Inst. 2011, 33, 2863–2885. [Google Scholar] [CrossRef]
- Choubey, G.; D, Y.; Huang, W.; Yan, L.; Babazadeh, H.; Pandey, K.M. Hydrogen Fuel in Scramjet Engines–A Brief Review. Int. J. Hydrogen Energy 2020, 45, 16799–16815. [Google Scholar] [CrossRef]
- Das, N.; Pandey, K.M.; Sharma, K.K. A Brief Review on the Recent Advancement in the Field of Jet Engine-Scramjet Engine. Mater. Today Proc. 2021, 45, 6857–6863. [Google Scholar] [CrossRef]
- Edwards, T. Liquid Fuels and Propellants for Aerospace Propulsion: 1903–2003. J Propuls. Power 2003, 19, 1089–1107. [Google Scholar] [CrossRef]
- Davidson, D.F.; Horning, D.C.; Herbon, J.T.; Hanson, R.K. Shock Tube Measurements of JP-10 Ignition. Proc. Combust. Inst. 2000, 28, 1687–1692. [Google Scholar] [CrossRef]
- Yi, P.; Jia, M.; Long, W.; Qiao, L.; Yang, T.; Feng, L. Evaporation of Pure and Blended Droplets of Diesel and Alcohols (C2–C9) under Diesel Engine Conditions. Numer. Heat Transf. A Appl. 2017, 71, 311–326. [Google Scholar] [CrossRef]
- Wang, Z.; Yuan, B.; Huang, Y.; Cao, J.; Wang, Y.; Cheng, X. Progress in Experimental Investigations on Evaporation Characteristics of a Fuel Droplet. Fuel Process. Technol. 2022, 231, 107243. [Google Scholar] [CrossRef]
- E, X.; Pan, L.; Zhang, X.; Zou, J.J. Influence of Quadricyclane Additive on Ignition and Combustion Properties of High-Density JP-10 Fuel. Fuel 2020, 276, 118047. [Google Scholar] [CrossRef]
- Wang, J.; Liu, Y.; Zhang, X.; Mi, Z.; Wang, L. Facile Preparation of Hydrocarbon Fuel-Soluble Nano-Catalyst and Its Novel Application in Catalytic Combustion of JP-10. Catal. Commun. 2009, 10, 1518–1522. [Google Scholar] [CrossRef]
- Guo, Y.; Yang, Y.; Xiao, J.; Fang, W. A Novel Well-Dispersed Nano-Ni Catalyst for Endothermic Reaction of JP-10. Fuel 2014, 117, 932–938. [Google Scholar] [CrossRef]
- Mehta, R.N.; Chakraborty, M.; Parikh, P.A. Nanofuels: Combustion, Engine Performance and Emissions. Fuel 2014, 120, 91–97. [Google Scholar] [CrossRef]
- Xiu-Tian-Feng, E.; Zhang, Y.; Zou, J.J.; Wang, L.; Zhang, X. Oleylamine-Protected Metal (Pt, Pd) Nanoparticles for Pseudohomogeneous Catalytic Cracking of JP-10 Jet Fuel. Ind. Eng. Chem. Res. 2014, 53, 12312–12318. [Google Scholar] [CrossRef]
- Jin, Y.; Dou, S.; Yang, Q.; Xu, X.; Fu, Q.; Pan, L. Performance Characteristics of a Scramjet Engine Using JP-10 Fuel Containing Aluminum Nanoparticles. Acta Astronaut. 2021, 185, 70–77. [Google Scholar] [CrossRef]
- Xue, K.; Li, H.; Pan, L.; Liu, Y.; Zhang, X.; Zou, J.-J. Bifunctional Core-Shell NAl@MOF Energetic Particles with Enhanced Ignition and Combustion Performance. Chem. Eng. J. 2022, 430, 132909. [Google Scholar] [CrossRef]
- Guo, Y.; Yang, Y.; Fang, W.; Hu, S. Resorcinarene-Encapsulated Ni–B Nano-Amorphous Alloys for Quasi-Homogeneous Catalytic Cracking of JP-10. Appl. Catal. A Gen. 2014, 469, 213–220. [Google Scholar] [CrossRef]
- Ojha, P.K.; Prabhudeva, P.; Karmakar, S.; Maurya, D.; Sivaramakrishna, G. Combustion Characteristics of JP-10 Droplet Loaded with Sub-Micron Boron Particles. Exp. Therm. Fluid Sci. 2019, 109, 109900. [Google Scholar] [CrossRef]
- E, X.; Zhi, X.; Zhang, Y.; Li, C.; Zou, J.J.; Zhang, X.; Wang, L. Jet Fuel Containing Ligand-Protecting Energetic Nanoparticles: A Case Study of Boron in JP-10. Chem. Eng. Sci. 2015, 129, 9–13. [Google Scholar] [CrossRef]
- Chen, W.; Zhu, B.; Sun, Y.; Guo, P.; Liu, J. Nano-Sized Copper Oxide Enhancing the Combustion of Aluminum/Kerosene-Based Nanofluid Fuel Droplets. Combust. Flame 2022, 240, 112028. [Google Scholar] [CrossRef]
- Gumus, S.; Ozcan, H.; Ozbey, M.; Topaloglu, B. Aluminum Oxide and Copper Oxide Nanodiesel Fuel Properties and Usage in a Compression Ignition Engine. Fuel 2016, 163, 80–87. [Google Scholar] [CrossRef]
- Basu, S.; Miglani, A. Combustion and Heat Transfer Characteristics of Nanofluid Fuel Droplets: A Short Review. Int. J. Heat Mass Transf. 2016, 96, 482–503. [Google Scholar] [CrossRef]
- Du, L.; Liu, J.; Chen, B.; Li, Z.; Yang, W.J. Promotion and Mechanism of Action of EtOH Addition on the Energy Release Characteristics of B/JP-10 Suspension Fuel. Fuel Process. Technol. 2023, 242, 107667. [Google Scholar] [CrossRef]
- Suraj Belgaonkar, M.; Kandasubramanian, B. Hyperbranched Polymer-Based Nanocomposites: Synthesis, Progress, and Applications. Eur. Polym. J. 2021, 147, 110301. [Google Scholar] [CrossRef]
- Ling, C.; Guo, L. Recent Developments and Applications of Hyperbranched Polymers as Flame Retardants. J Anal. Appl. Pyrolysis 2023, 169, 105842. [Google Scholar] [CrossRef]
- Saadati, A.; Hasanzadeh, M.; Seidi, F. Biomedical Application of Hyperbranched Polymers: Recent Advances and Challenges. TrAC Trends Anal. Chem. 2021, 142, 116308. [Google Scholar] [CrossRef]
- Zhang, X. Hyperbranched Aromatic Polyesters: From Synthesis to Applications. Prog. Org. Coat. 2010, 69, 295–309. [Google Scholar] [CrossRef]
- Quan, H.; Zhang, J. The Effect of Alkylation Degree in Hyperbranched Polyester on Modified Heavy Oil Fluidity. Fuel 2023, 342, 127915. [Google Scholar] [CrossRef]
- Quan, H.; Chen, L.; Huang, Z.; Wang, J.; Zheng, C. The Effect of a Kind of Hyperbranched Polyester with Different Carbon Length on Flowability for Crude Oil. Fuel 2018, 214, 356–362. [Google Scholar] [CrossRef]
- Ye, D.; Mi, J.; Bai, S.; Zhang, L.; Guo, Y.; Fang, W. Thermal Cracking of Jet Propellant-10 with the Addition of a Core-Shell Macroinitiator. Fuel 2019, 254, 115667. [Google Scholar] [CrossRef]
- Mi, J.; Ye, D.; Dai, Y.; Xie, H.; Wu, D.; Sun, H.; Guo, Y.; Fang, W. Strategically Designed Macromolecules as Additives for High Energy-Density Hydrocarbon Fuels. Fuel 2020, 270, 117433. [Google Scholar] [CrossRef]
- Mi, J.; Bai, S.; Zhao, L.; He, G.; Guo, Y.; Xie, H.; Fang, W. A Polyester-Based Initiation Strategy for Achieving High-Efficient Cracking of Hydrocarbon Fuels. Chem. Eng. J. 2021, 425, 128059. [Google Scholar] [CrossRef]
- Rumble, J.R. (Ed.) CRC Handbook of Chemistry and Physics, 103rd ed.; CRC Press: Boca Raton, FL, USA, 2022. [Google Scholar]
- Volkov, R.S.; Strizhak, P.A. Using Planar Laser Induced Fluorescence and Micro Particle Image Velocimetry to Study the Heating of a Droplet with Different Tracers and Schemes of Attaching It on a Holder. Int. J. Therm. Sci. 2021, 159, 106603. [Google Scholar] [CrossRef]
- Stephen, R. Turns An Introduction to Combustion Concepts and Applications, 3rd ed.; McGraw Hill: New York, NY, USA, 2011. [Google Scholar]
- SPALDING, D.B. Combustion of Liquid Fuels. Nature 1950, 165, 160. [Google Scholar] [CrossRef]
- Faeth, G.M. Current Status of Droplet and Liquid Combustion. Prog. Energy Combust. Sci. 1977, 3, 191–224. [Google Scholar] [CrossRef]
- Xing, Y.; Fang, W.; Li, D.; Guo, Y.; Lin, R. Density, Viscosity, and Vapor Pressure for Binary Mixtures of Tricyclo [5.2.1.02.6] Decane and Diethyl Carbonate. J. Chem. Eng. Data 2009, 54, 1865–1870. [Google Scholar] [CrossRef]
- Verwey, C.; Birouk, M. Experimental Investigation of the Effect of Natural Convection on the Evaporation Characteristics of Small Fuel Droplets at Moderately Elevated Temperature and Pressure. Int. J. Heat Mass Transf. 2018, 118, 1046–1055. [Google Scholar] [CrossRef]
- Chhabra, R.P.; Shankar, V. Coulson and Richardson’s Chemical Engineering; Butterworth-Heinemann: Oxford, UK, 2018; Volume 1B. [Google Scholar]
- Ghamari, M.; Ratner, A. Combustion Characteristics of Diesel and Jet-A Droplets Blended with Polymeric Additive. Fuel 2016, 178, 63–70. [Google Scholar] [CrossRef]
- Ma, X.; Zhang, F.; Han, K.; Yang, B.; Song, G. Evaporation Characteristics of Acetone–Butanol–Ethanol and Diesel Blends Droplets at High Ambient Temperatures. Fuel 2015, 160, 43–49. [Google Scholar] [CrossRef]













Disclaimer/Publisher’s Note: The statements, opinions and data contained in all publications are solely those of the individual author(s) and contributor(s) and not of MDPI and/or the editor(s). MDPI and/or the editor(s) disclaim responsibility for any injury to people or property resulting from any ideas, methods, instructions or products referred to in the content. |
© 2023 by the authors. Licensee MDPI, Basel, Switzerland. This article is an open access article distributed under the terms and conditions of the Creative Commons Attribution (CC BY) license (https://creativecommons.org/licenses/by/4.0/).
Share and Cite
Jin, D.; Mi, J.; Guo, Y.; Dai, Y.; Fang, W. Evaporation and Autoignition Characteristics of JP-10 Droplets with Hyperbranched Polyester as Additive. Energies 2023, 16, 3333. https://doi.org/10.3390/en16083333
Jin D, Mi J, Guo Y, Dai Y, Fang W. Evaporation and Autoignition Characteristics of JP-10 Droplets with Hyperbranched Polyester as Additive. Energies. 2023; 16(8):3333. https://doi.org/10.3390/en16083333
Chicago/Turabian StyleJin, Derui, Ji Mi, Yongsheng Guo, Yitong Dai, and Wenjun Fang. 2023. "Evaporation and Autoignition Characteristics of JP-10 Droplets with Hyperbranched Polyester as Additive" Energies 16, no. 8: 3333. https://doi.org/10.3390/en16083333
APA StyleJin, D., Mi, J., Guo, Y., Dai, Y., & Fang, W. (2023). Evaporation and Autoignition Characteristics of JP-10 Droplets with Hyperbranched Polyester as Additive. Energies, 16(8), 3333. https://doi.org/10.3390/en16083333

