Analysis of the Impact of Design Parameters on the Power Density of the New Design of the Cogging Machine
Abstract
1. Introduction
- Small use of the surface of permanent magnets;
- large leakage fluxes;
- complicated core structure;
- higher production cost.
A New Use of the Principle of Transverse-Flux Machine Operation
2. Analysis of the Impact of Design Parameters on the Torque Produced by the Machine
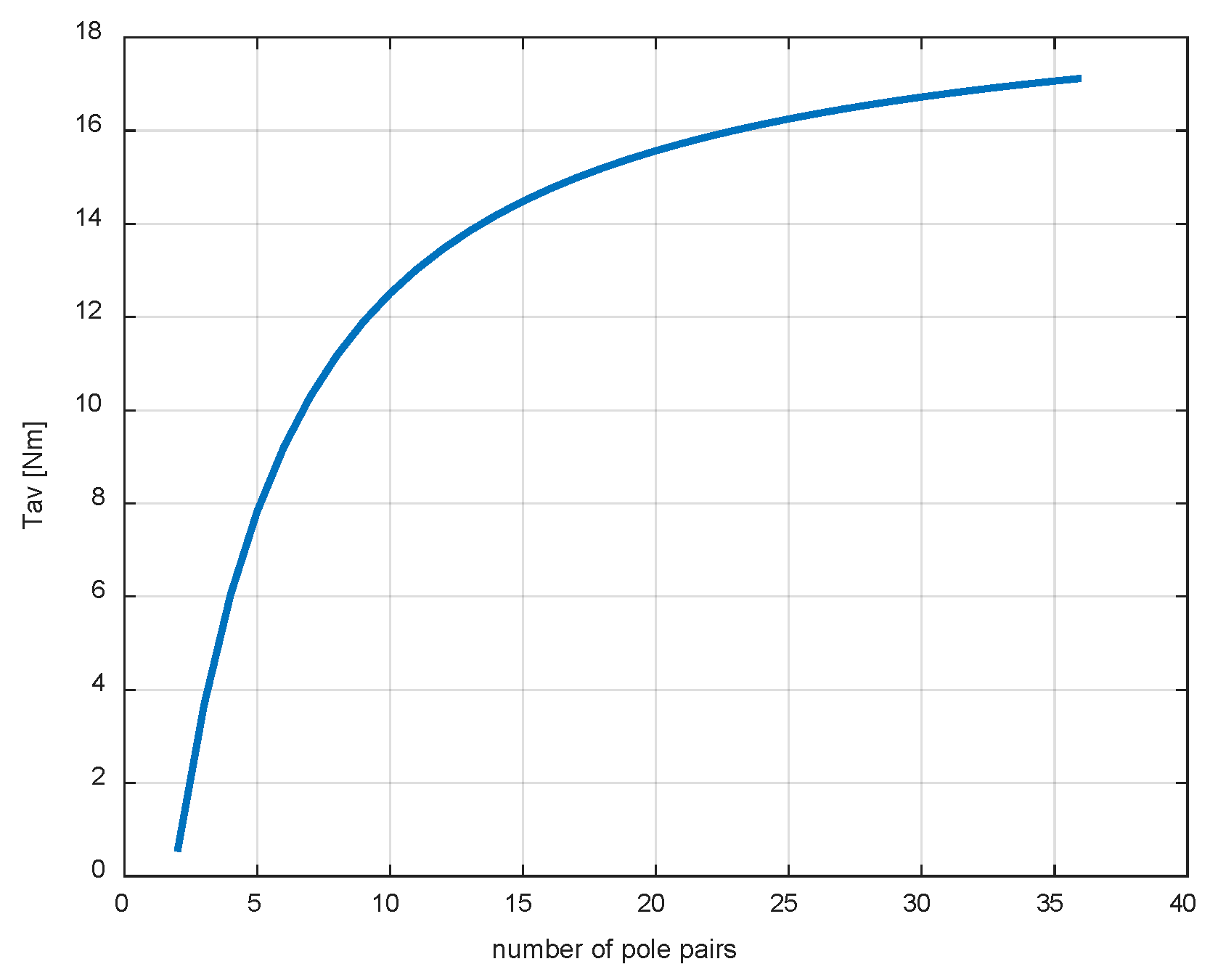
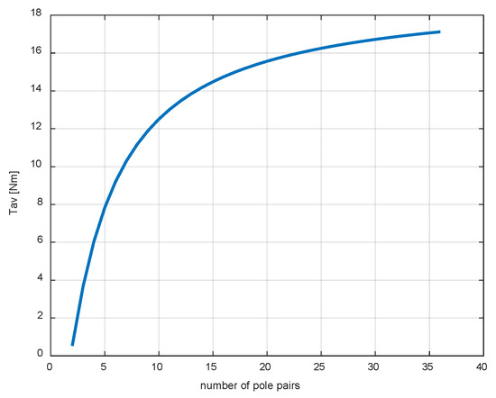
2.1. Dependence of the Torque of the Cogging Machine on the Design Parameters
2.2. Verification of the Convergence of Torque Results
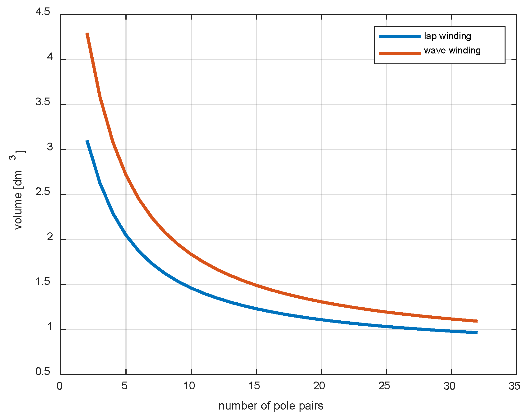
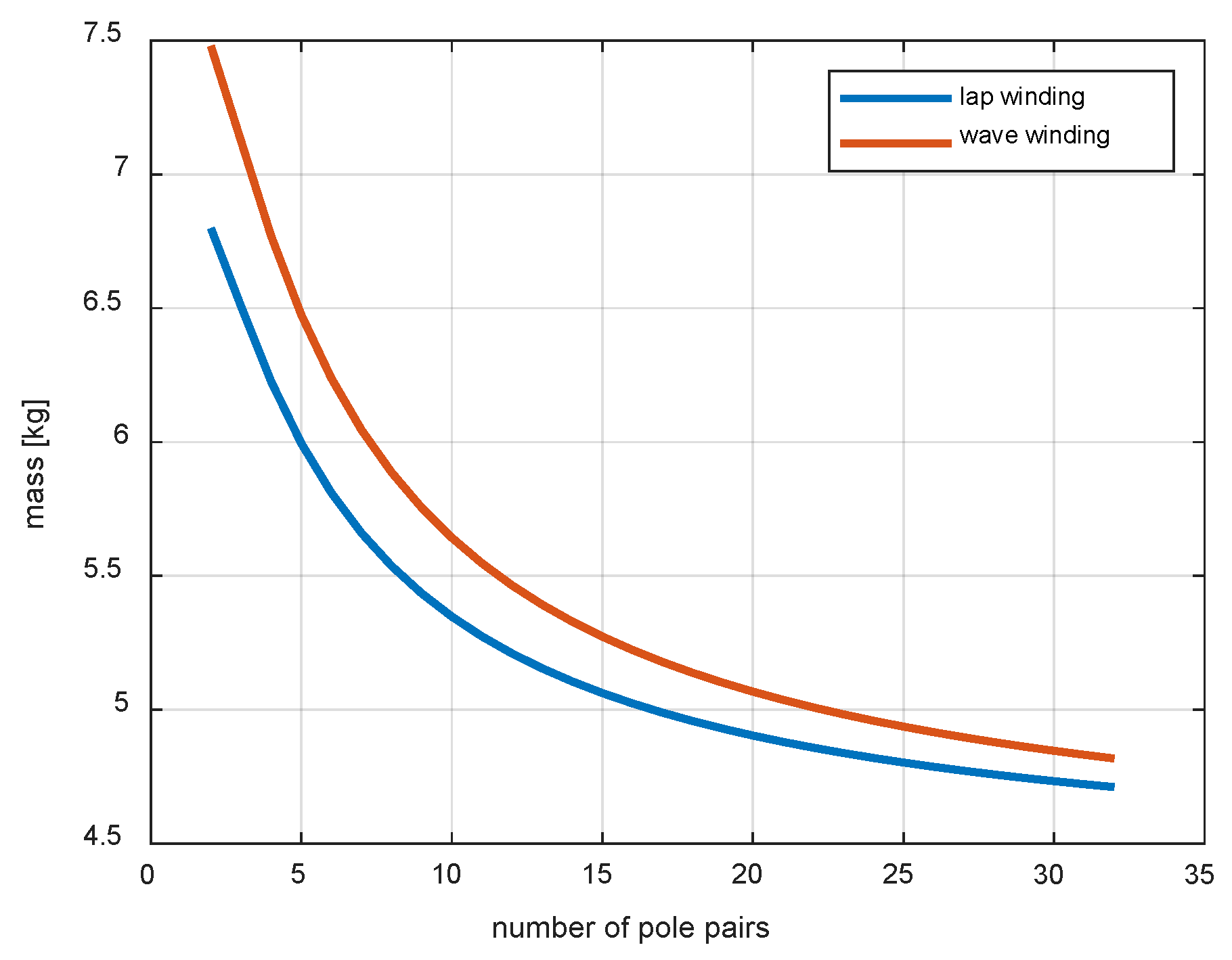
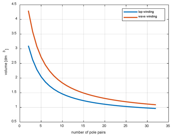
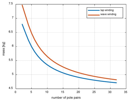
3. Determination of the Dependence of the Volume and Mass of the Machine Segment on the Design Parameters
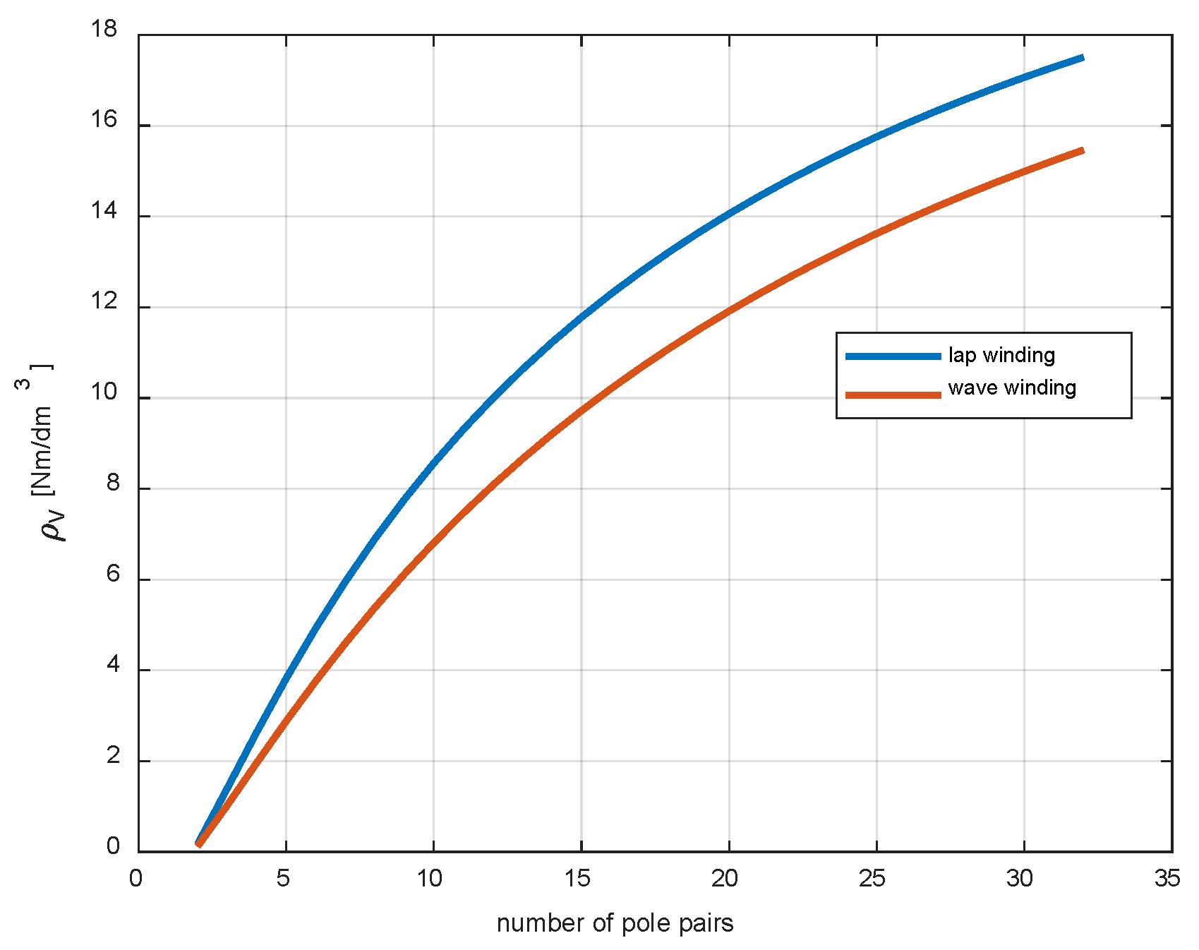
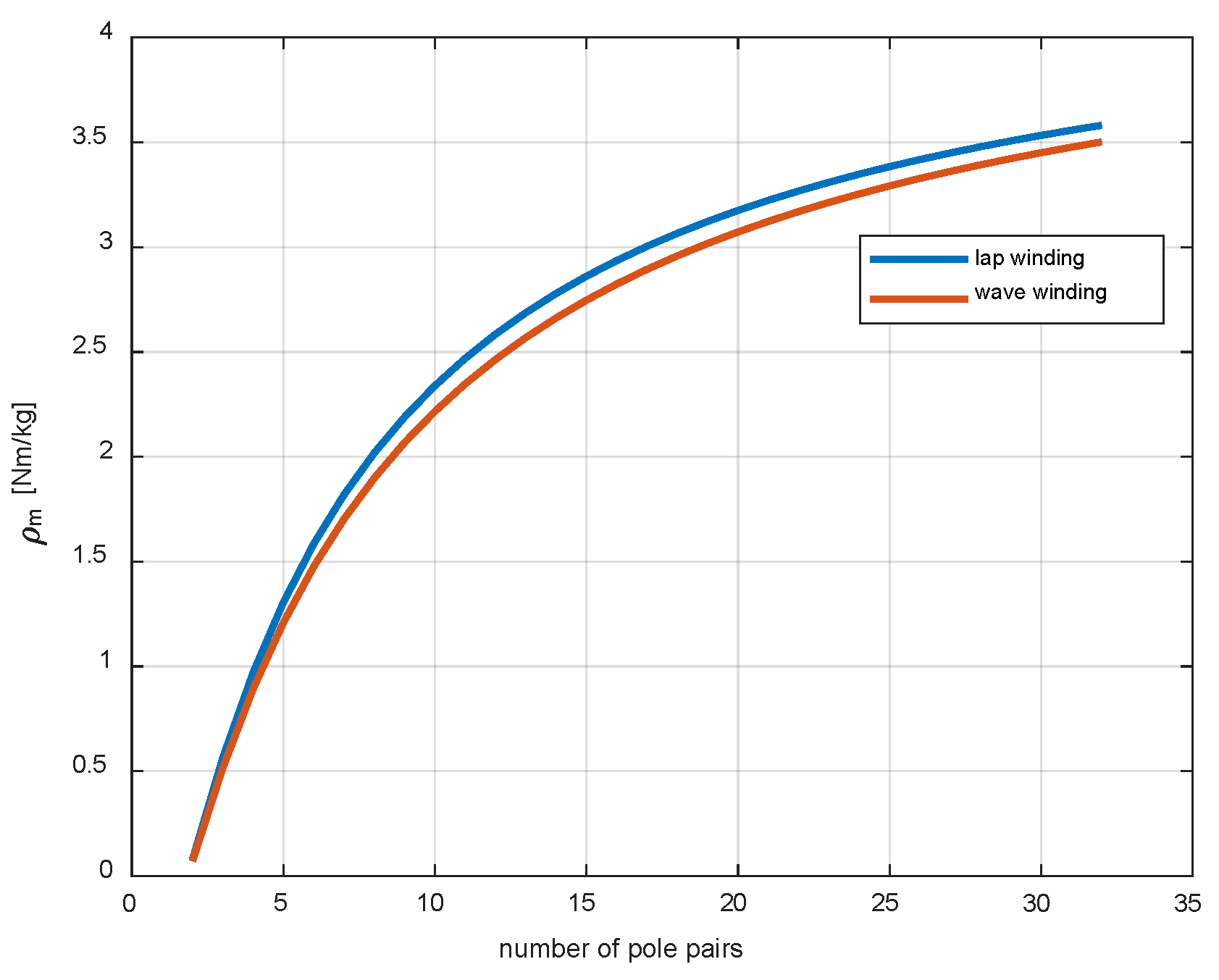
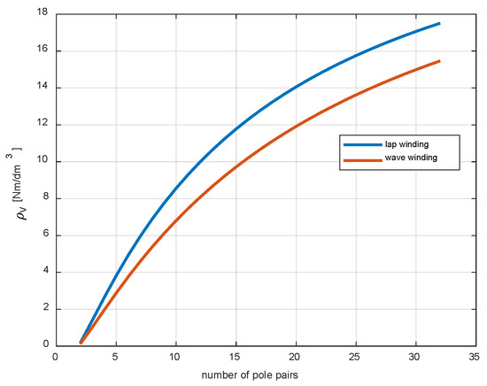
4. Power Density of the Cogging Machine
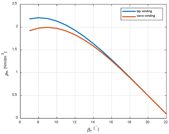
Dependence of the Torque Density on the Width of the Stator Tooth
5. Conclusions
Funding
Data Availability Statement
Conflicts of Interest
References
- Mordey, W.M. Electric Generator, No. 5162. U.S. Patent 437501, 30 September 1890. [Google Scholar]
- Weh, H.; May, H. Achievable Force Densities for Permanent Magnet Excited Machines in New Configurations. In Proceedings of the Internet Conference Electrical Machines (ICEM86), München, Germany, 8–10 September 1986; pp. 1107–1111. [Google Scholar]
- Sobieraj, T. Obserwator Siły Elektromotorycznej w Silniku z Magnesami Trwałymi o Strumieniu Poprzecznym. Przegląd Elektrotechniczny 2016, 1, 55–58. [Google Scholar] [CrossRef]
- Liu, C.; Wang, X.; Wang, Y.; Lei, G.; Guo, Y.; Zhu, J. Comparative Study of Rotor PM Transverse Flux Machine and Stator PM Transverse Flux Machine with SMC Cores. Electr. Eng. 2021, 104, 1153–1161. [Google Scholar] [CrossRef]
- Smoleń, A.; Gołębiowski, L.; Gołębiowski, M.; Mazur, D. Computationally Efficient Method of Co-Energy Calculation for Transverse Flux Machine Based on Poisson Equation in 2D. Energies 2019, 12, 4340. [Google Scholar] [CrossRef]
- Ballestín-Bernad, V.; Artal-Sevil, J.S.; Domínguez-Navarro, J.A. A Review of Transverse Flux Machines Topologies and Design. Energies 2021, 14, 7173. [Google Scholar] [CrossRef]
- Kaiser, B.; Parspour, N. Transverse Flux Machine—A Review. IEEE Access 2022, 10, 18395–18419. [Google Scholar] [CrossRef]
- Seibold, P.; Schuller, F.; Beez, M.; Parspour, N. Design and Measurement of a Laminated Permanent Magnet Excited Transverse Flux Machine for Electrical Vehicles. In Proceedings of the 2014 4th International Electric Drives Production Conference (EDPC), Nuremberg, Germany, 10 September–1 October 2014; pp. 1–6. [Google Scholar]
- Zhao, W.; Ahmed, A.; Husain, I.; Muljadi, E. A Novel Transverse Flux Machine for Vehicle Traction Aplications. In Proceedings of the 2015 IEEE Power & Energy Society General Meeting, Denver, CO, USA, 26–30 July 2015; pp. 1–5. [Google Scholar]
- Chasiotis, I.D.; Karnavas, Y.L. Designing High Power Density In-Wheel PMSM for Sustainable Hybrid Electric Vehicles. In Proceedings of the 2019 IEEE Workshop on Electrical Machines Design, Control and Diagnosis (WEMDCD), Athens, Greece, 22–23 April 2019; IEEE: Piscataway, NJ, USA, 2019. [Google Scholar]
- Muller, C.; Kalkmann, B.; Sontheim, J. A Highly Innovated Transversal Flux Motor Design with Integrated Inverter. In Proceedings of the 2012 2nd International Electric Drives Production Conference (EDPC); IEEE: Nuremberg, Germany, 2012; pp. 1–6. [Google Scholar]
- Dobzhanskyi, O.; Gouws, R.; Zabihi, N. High shear-stress density transverse-flux machine for large direct-driven wind turbines, and electric ship propulsion systems. In Proceedings of the The 10th International Conference on Power Electronics, Machines and Drives (PEMD 2020), Online Conference, 15–17 December 2020; Volume 2020, pp. 844–849. [Google Scholar]
- Husain, T.; Hasan, I.; Sozer, Y.; Husain, I.; Muljadi, E. Design Considerations of a Transverse Flux Machine for Direct-Drive Wind Turbine Applications. IEEE Trans. Ind. Appl. 2018, 54, 3604–3615. [Google Scholar] [CrossRef]
- Gieras, J.F. Performance Characteristics of a Transverse Flux Generator. In Proceedings of the IEEE International Conference on Electric Machines and Drives, San Antonio, TX, USA, 15 May 2005; pp. 1293–1299. [Google Scholar]
- Masmoudi, A.; Njeh, A.; Mansouri, A.; Trabelsi, H.; Elantably, A. Optimizing the Overlap Between the Stator Teeth of a Claw Pole Transverse-Flux Permanent-Magnet Machine. IEEE Trans. Magn. 2004, 40, 1573–1578. [Google Scholar] [CrossRef]
- Drabek, T.; Kapustka, P.; Lerch, T.; Skwarczyński, J. A Novel Approach to Transverse Flux Machine Construction. Energies 2021, 14, 7690. [Google Scholar] [CrossRef]
- Reinap, A.; Hagstedt, D.; Högmark, C.; Alaküla, M. Evaluation of a Semi Claw-Pole Machine with SM2C Core. In Proceedings of the 2011 IEEE International Electric Machines & Drives Conference (IEMDC), Niagara Falls, Canada, 15–18 May 2011; pp. 248–253. [Google Scholar]
- Lerch, T. Nowa Konstrukcja Maszyny o Polu Poprzecznym z Wykorzystaniem Rdzenia Płaskiego. Przegląd Elektrotechniczny 2022, 1, 191–195. [Google Scholar] [CrossRef]
- Chasiotis, I.D.; Karnavas, Y.L. A Study on Design and Optimization of High Power Density PMSM for Pod Propulsion System. In Proceedings of the 2018 XIII International Conference on Electrical Machines (ICEM), Alexandroupoli, Greece, 3–6 September 2018; IEEE: Piscataway, NJ, USA, 2018. [Google Scholar]
- Thome, R.J.; Bowles, E.; Reed, M. Integration of Electromagnetic Technologies Into Shipboard Applications. IEEE Trans. Appl. Supercond. 2006, 16, 1074–1079. [Google Scholar] [CrossRef]
- Yao, Y.; Liu, C. A Efficient Nine-Phase PM Flux-Switching Machine with High Torque Density and Low Torque Ripple. In Proceedings of the 2018 Asia-Pacific Magnetic Recording Conference (APMRC), Shanghai, China, 15–17 November 2018; pp. 1–2. [Google Scholar]
















| Torque Density [Nm/kg] | Power Density [kW/kg] | Design | Utilization | |
|---|---|---|---|---|
| IM—induction machine | 0.57 | 0.086 |
| universal, mainly industrial due to low power density |
| PMSM—permanent magnet synchronous machine | 0.9 | 0.13 |
| universal, electromobility, renewable sources |
| AF-BLDC—axial flux brushless machine | 0.67 | 0.105 |
| special applications, boat drives, electromobility |
| TFM—transverse flux machine | 1.37 | 0.2 |
| high-torque drives, direct drive electromobility (in a wheel) |
| CM-PM—permanent magnet cogging motor | 2 | 0.3 |
| high-torque drives, high-power and torque density applications |
Disclaimer/Publisher’s Note: The statements, opinions and data contained in all publications are solely those of the individual author(s) and contributor(s) and not of MDPI and/or the editor(s). MDPI and/or the editor(s) disclaim responsibility for any injury to people or property resulting from any ideas, methods, instructions or products referred to in the content. |
© 2023 by the author. Licensee MDPI, Basel, Switzerland. This article is an open access article distributed under the terms and conditions of the Creative Commons Attribution (CC BY) license (https://creativecommons.org/licenses/by/4.0/).
Share and Cite
Lerch, T. Analysis of the Impact of Design Parameters on the Power Density of the New Design of the Cogging Machine. Energies 2023, 16, 3000. https://doi.org/10.3390/en16073000
Lerch T. Analysis of the Impact of Design Parameters on the Power Density of the New Design of the Cogging Machine. Energies. 2023; 16(7):3000. https://doi.org/10.3390/en16073000
Chicago/Turabian StyleLerch, Tomasz. 2023. "Analysis of the Impact of Design Parameters on the Power Density of the New Design of the Cogging Machine" Energies 16, no. 7: 3000. https://doi.org/10.3390/en16073000
APA StyleLerch, T. (2023). Analysis of the Impact of Design Parameters on the Power Density of the New Design of the Cogging Machine. Energies, 16(7), 3000. https://doi.org/10.3390/en16073000
