A Modeling Toolkit for Comparing AC and DC Electrical Distribution Efficiency in Buildings
Abstract
1. Introduction
- Description of a framework and modeling approach for assessment of component and system electrical efficiencies in AC, DC, and hybrid AC/DC distribution configurations, including nonlinear effects and potential load imbalances, which do not rely on time-domain simulations;
- Proposal of a new software tool that implements the above approach to perform detailed DC vs. AC distribution-efficiency comparisons;
- Initial validation of the tool’s accuracy with experimental measurements, for several circuit configurations and power levels in both AC and DC distribution systems, including balanced and unbalanced load conditions.
2. Modeling Framework
2.1. Background on Linear AC Circuit Analysis
2.2. Electrical Network Theory
2.2.1. One- and Two-Port Network Representations
- The model specifies voltage phasor variables ( and ) and current phasor variables ( and ), ;
- The model defines a set of exactly independent nonlinear equations in the variables above that describe the device’s behavior;
- The nonlinear equations that define the device’s behavior can be written to describe exactly two independent variables and two dependent variables at each harmonic h.
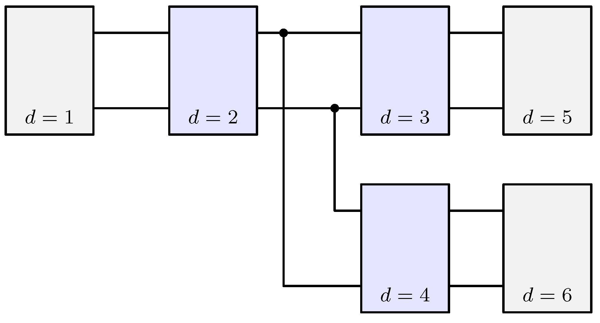
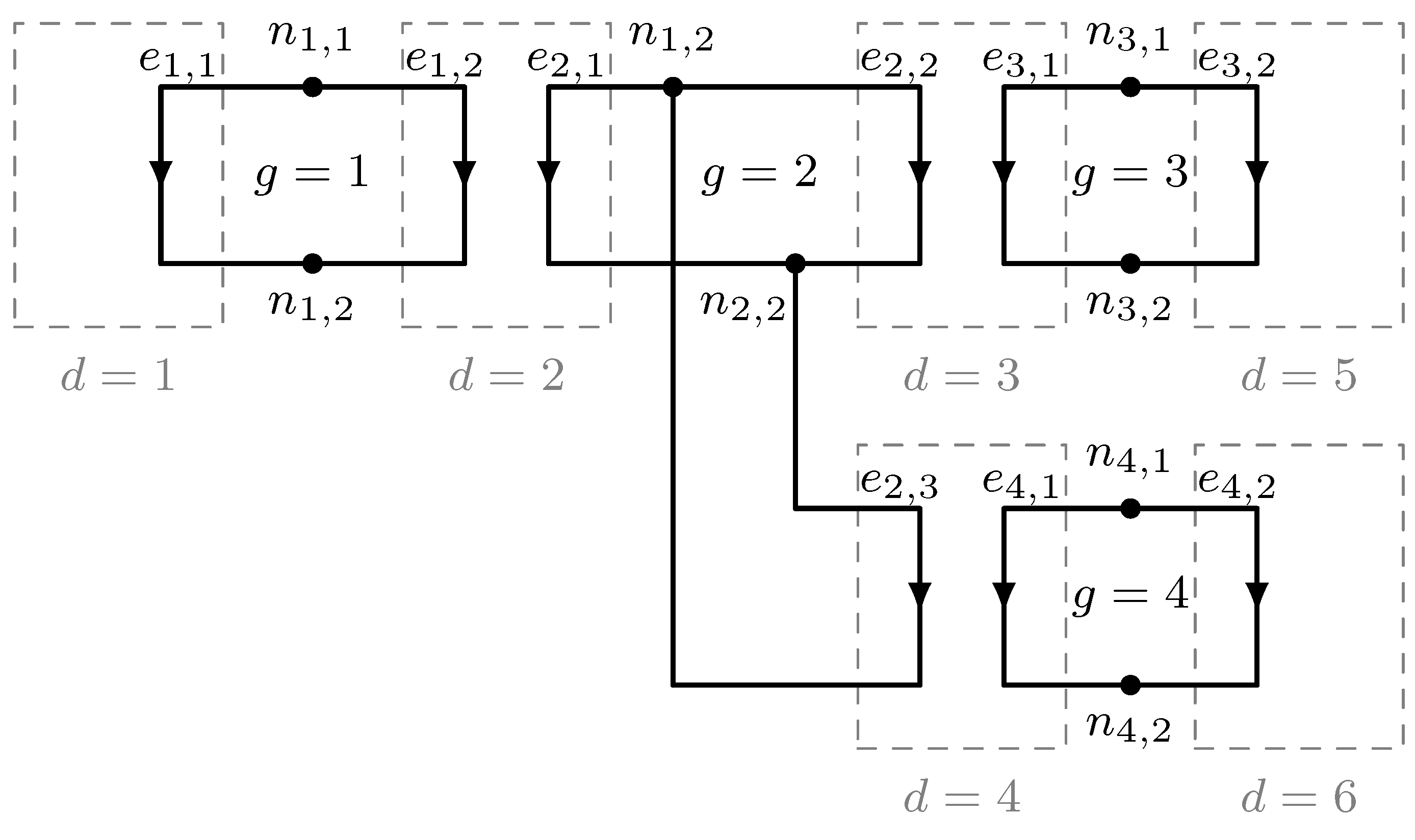
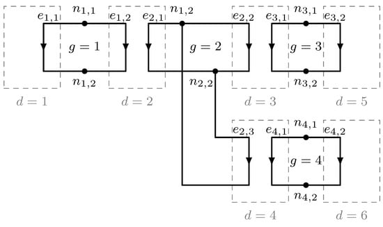
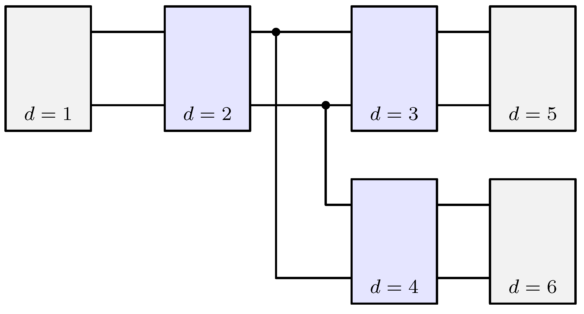
2.2.2. Defining Network Topologies
- KVL equations: H from subgraph , from subgraph , H from subgraph , and H from subgraph ;
- KCL equations: H from each of the four subgraphs;
- connection equations from one-port devices;
- connection equations from two-port devices.
2.3. Harmonic Power Flow Solution
- Initialize all network voltages and currents. For example, set the magnitudes and phase angles of all voltage and current phasors to zero, except known phasor voltage at ports of the voltage input source(s).
- Compute network currents. Using the last converged solution of network voltage phasors, compute current phasors through all branches of the network using either linear circuit analysis or (9) for all linear and nonlinear devices in the network, respectively.
- Enforce power balance. For each nonlinear device, compute the average real input power into the device—. Set or compute (if not known) the average real output power () of the device. Using the loss function for the device (see Section 3.5), adjust the magnitudes of the current phasors at the input port of the device so that power balance is achieved.
- Update network voltages. Using the adjusted currents in step 3, update all node voltage phasors in the network.
- If not converged, return to step 2.
3. Device Models
3.1. Series Impedance
3.2. Shunt Impedance
3.3. Constant Power Loads
3.4. Transformers
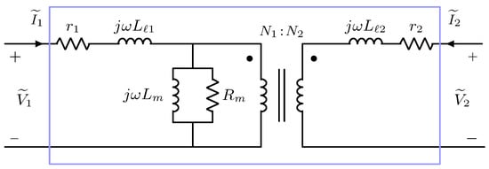
3.4.1. Single-Phase Transformers
3.4.2. Three-Phase Transformers
3.5. Power-Electronic Converters
3.5.1. Converter Device-Specific Behavior
- (1)
- Empirical method: Using measured or simulated current waveforms, express as an dimensional surface, where n is the number of variables determined heuristically to influence current behavior. (In this work, as described below.) Express the surface function using a dimensional lookup table and use the linear interpolation between measured (simulated) points. Note that linear representation of the function ensures .
- (2)
- Analytical method: Again, using measured (simulated) current waveforms, express as a closed-form function in , in terms of an unknown parameter set. Using a nonlinear numerical optimization method, determine the best-fit parameters which minimize a distance metric of the error between predicted and measured (simulated) current magnitudes and phase angles (cf. [30]).
3.5.2. Converter Loss Modeling
3.5.3. AC/DC Converters
3.5.4. DC/DC Converters
3.5.5. DC/AC Converters
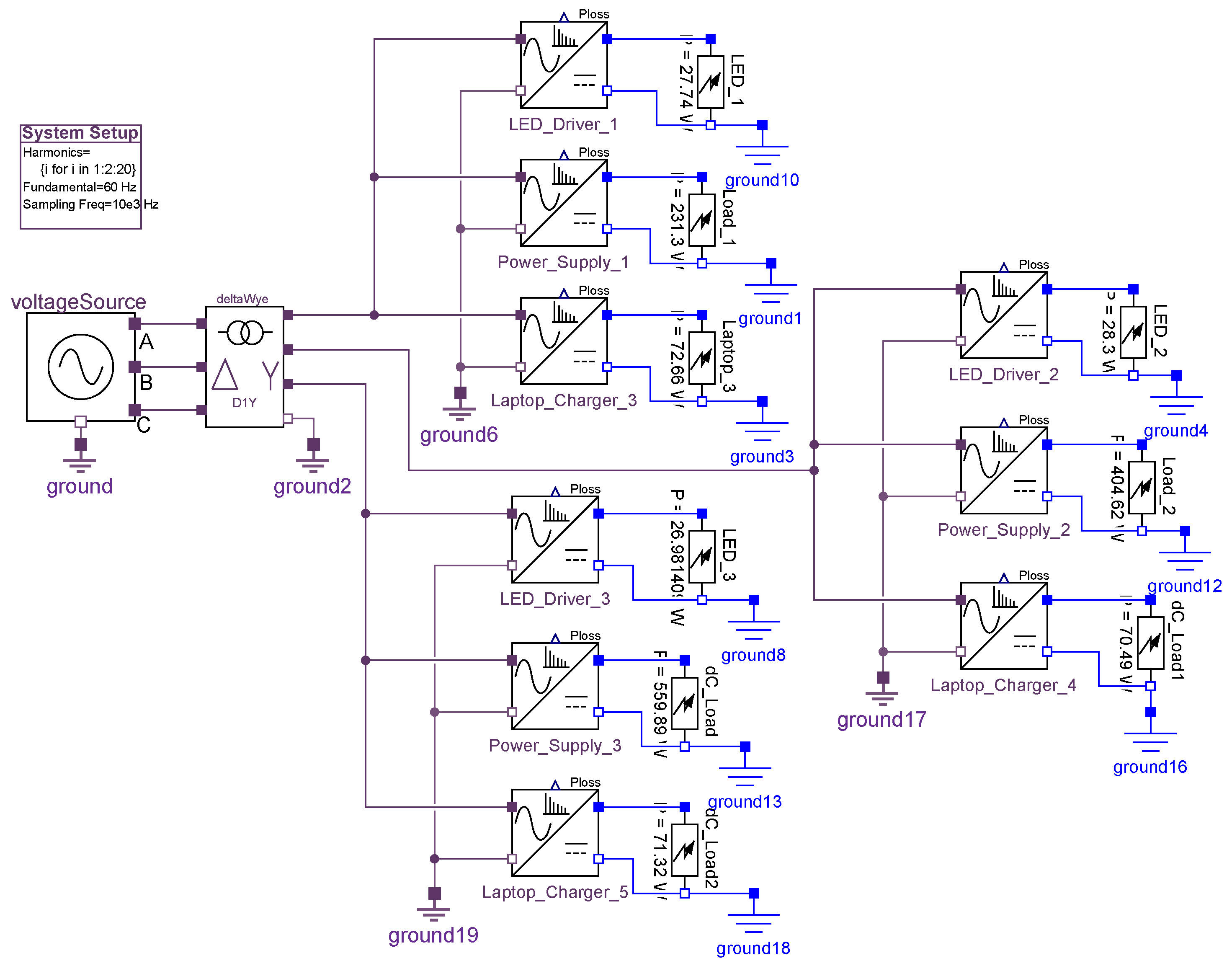
4. Software Implementation
4.1. Toolkit Objectives and Architecture
4.2. Component Library
- Sources: single- and three-phase AC voltage sources, DC voltage sources
- Sensors: measurement sensors for voltage, current, power, and data probes.
- Cables: standard cables for AC and DC applications.
- Transformers: single- and three-phase AC transformers.
- PowerElectronicsConverters: models for AC/DC, DC/DC, and DC/AC power electronic converters.
- Loads: common building electrical loads, including resistive, inductive, and constant power loads.
4.3. Component Connections
- 1
- connector hPin
- 2
- parameter Integer h = 1;
- 3
- Complex v[h]
- 4
- flow Complex i[h];
- 5
- end hPin;
4.4. Component Models
- 1
- partial model twoPinBase
- 2
- outer SystemDef systemDef;
- 3
- hPin pinP[systemDef.numHrm];
- 4
- hPin pinN[systemDef.numHrm];
- 5
- Complex v[systemDef.numHrm];
- 6
- Complex i[systemDef.numHrm];
- 7
- equation
- 8
- pinP.i = pinN.i;
- 9
- i = pinP.i;
- 10
- v = pinP.v - pinN.v;
- 11
- end twoPinBase;
- 1
- model Impedance
- 2
- extends twoPinBase;
- 3
- import Modelica.ComplexMath.j;
- 4
- parameter Complex z “Impedance, R + jX”;
- 5
- equation
- 6
- v = i .* (z.re + j.*z.im.*(systemDef.hrms));
- 7
- end Impedance;
- 1
- model ACDC_converter “AC to DC converter”
- 2
- outer HPF.SystemDef systemDef;
- 3
- import Modelica.ComplexMath.j;
- 4
- Modelica.Electrical.Analog.Interfaces.PositivePin pin_p;
- 5
- Modelica.Electrical.Analog.Interfaces.NegativePin pin_n;
- 6
- HPF.SinglePhase.Interface.HPin_P hPin_P(h = systemDef.numHrm);
- 7
- HPF.SinglePhase.Interface.HPin_N hPin_N(h = systemDef.numHrm);
- 8
- Modelica.Electrical.Analog.Sources.ConstantVoltage vDC(V = V_Rect);
- 9
- HPF.SinglePhase.Interface.LoadBase loadBase;
- 10
- …
- 11
- equation
- 12
- …
- 13
- end ACDC_converter
4.5. System Solver
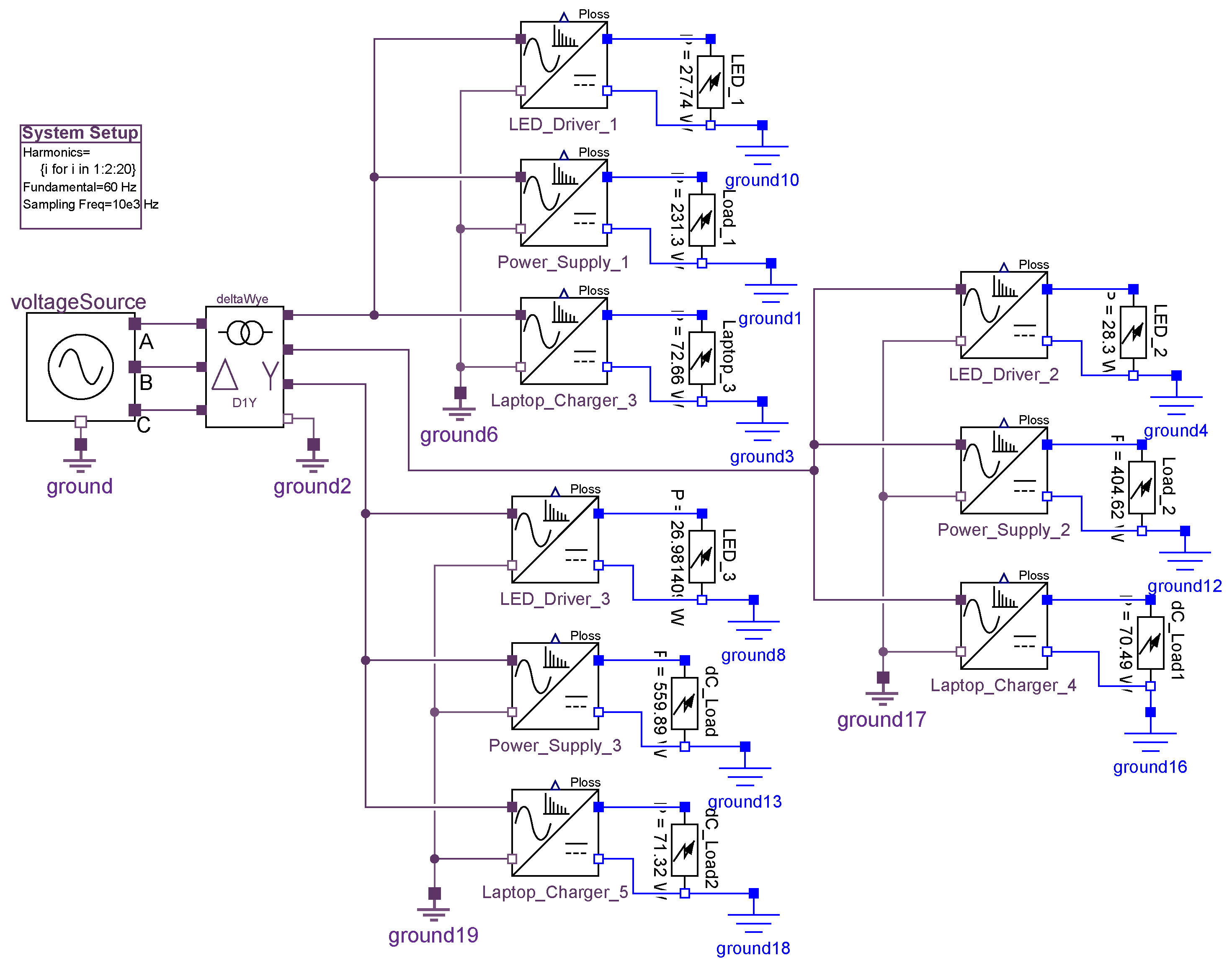
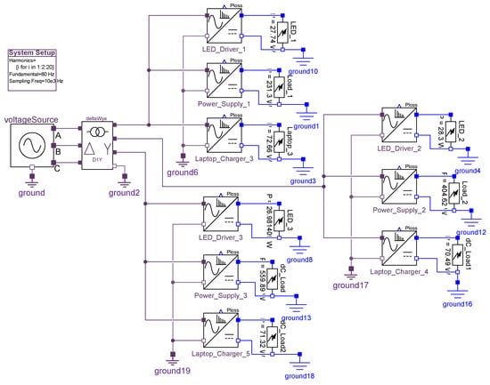
Simulation Example
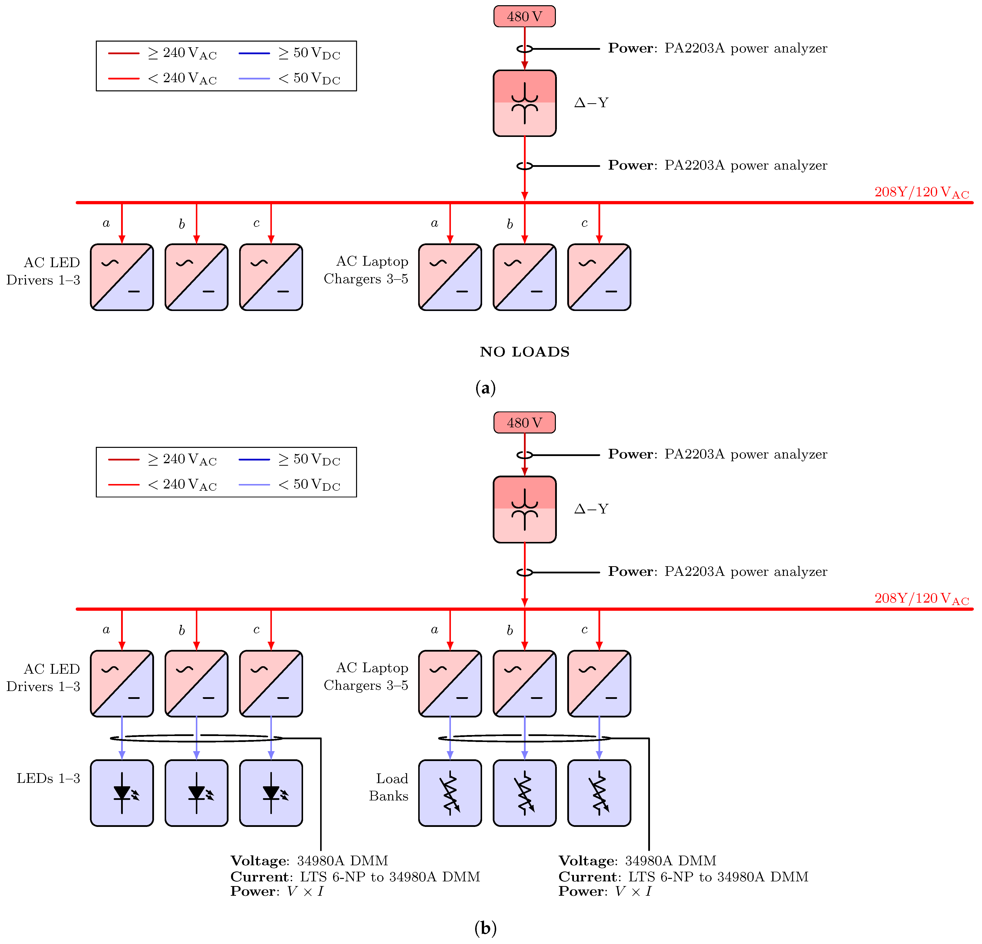
5. Toolkit Validation
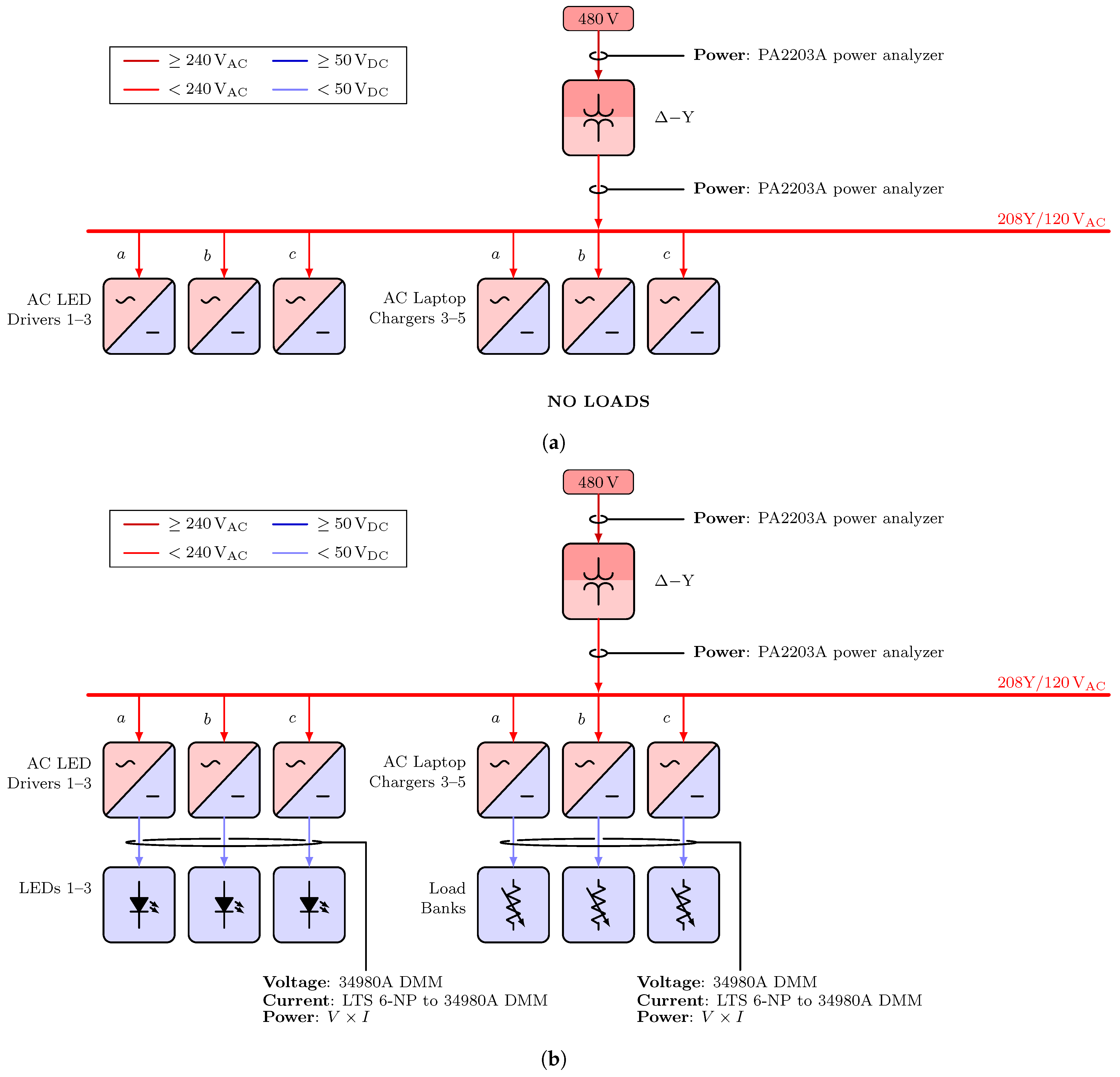
5.1. Laboratory Experiments
5.2. Comparison of Toolkit Results with Measurements
6. Conclusions
Author Contributions
Funding
Data Availability Statement
Conflicts of Interest
Nomenclature
| Indices and Sets | |
| Set of harmonic numbers | |
| Set of one-port networks in electrical model | |
| Set of two-port networks in electrical model | |
| Set of all devices in the model, | |
| Set of subgraphs formed by ideal interconnects between network ports | |
| Set of device port numbers | |
| Number of edges (branches) in subgraph g | |
| Number of nodes in subgraph g | |
| E | Total number of edges (branches) across all subgraphs, |
| N | Total number of nodes across all subgraphs, |
| Variables | |
| Current phasor into port p of device d at harmonic h | |
| Voltage phasor at port p of device d at harmonic h | |
| Average real input power, into device d, port p | |
| Average real output power, out of device d at port p | |
| Average power loss, in device d | |
| Functions and Parameters | |
| Loss function for device d | |
| Device specific behavioral function for device d | |
| Vector of behavioral parameters for device d | |
| Vector of one-stage loss parameters for device d | |
| Vector of two-stage loss parameters for device d |
Appendix A. Uncertainty Estimation
Appendix A.1. Data Collection
Appendix A.1.1. Instrumentation
| Instrument | Rated Accuracy |
|---|---|
| Keysight PA2203A Power Analyzer | |
| Keysight 34980A Multifunction Switch with 34921T Multiplexer | ; range-dependent |
| LEM LTS 6-NP Current Transducer | |
| Belkin Wemo F7C029 Insight Smart Plug | Not specified; estimated at |
Appendix A.1.2. Keysight PA2203A Power Analyzer
Appendix A.1.3. Keysight 34980A Multifunction Switch
- for the 10 V range
- for the 100 V range.
Appendix A.1.4. LEM LTS 6-NP Current Transducer
Appendix A.1.5. Belkin Wemo Smart Plug
Appendix A.1.6. System Topology







Appendix A.2. Uncertainty Calculations
Appendix A.2.1. Notation
Appendix A.2.2. Assumptions
- Measurements made for the same scenario with the same instrument have systematic (Type B) error characterized by the instruments’ rated accuracy.
- As the manufacturers data sheets did not specify the coverage (prediction interval) associated with the rated accuracy, the rated accuracy for all instruments was assumed to correspond to 99.7% coverage (). Therefore, for each instrument k, .
- Errors attributable to Type A and Type B uncertainty were uncorrelated.
- Wemo smart plug measurements include the smart plugs’ known self-consumption of approximately 1.5 W.
Appendix A.2.3. System Input
Appendix A.2.4. Transformer Secondary
Appendix A.2.5. System Output
Appendix A.2.6. DC Load
Appendix A.2.7. LED Lighting Load
Appendix A.2.8. Heater Load
Appendix A.3. System Losses
Appendix A.3.1. Transformer Loss
Appendix A.3.2. Converter Loss
Appendix A.3.3. Total System Loss
Appendix A.4. Efficiency
Appendix A.5. Results
| System Input Power | Transformer Secondary Power | |||
|---|---|---|---|---|
| Scenario | Measured | Modeled | Measured | Modeled |
| 1.1 | W | W | W | W |
| 1.2 | W | W | W | W |
| 1.3 | W | W | W | W |
| 1.4 | W | W | W | W |
| 2.1 | W | W | W | W |
| 2.2 | W | W | W | W |
| 2.3 | W | W | W | W |
| 2.4 | W | W | W | W |
| 3.1 | W | W | W | W |
| 3.2 | W | W | W | W |
| 3.3 | W | W | W | W |
| 3.4 | W | W | W | W |
| 4.1 | W | W | W | W |
| 4.2 | W | W | W | W |
| 4.3 | W | W | W | W |
| 4.4 | W | W | W | W |
| 5.1 | W | W | W | W |
| 5.2 | W | W | W | W |
| 5.3 | W | W | W | W |
| 5.4 | W | W | W | W |
| 6.1 | W | W | W | W |
| 6.2 | W | W | W | W |
| 6.3 | W | W | W | W |
| 6.4 | W | W | W | W |
| Transformer Loss | Converter Loss | |||
|---|---|---|---|---|
| Scenario | Measured | Modeled | Measured | Modeled |
| 1.1 | W | W | W | W |
| 1.2 | W | W | W | W |
| 1.3 | W | W | W | W |
| 1.4 | W | W | W | W |
| 2.1 | W | W | W | W |
| 2.2 | W | W | W | W |
| 2.3 | W | W | W | W |
| 2.4 | W | W | W | W |
| 3.1 | W | W | W | W |
| 3.2 | W | W | W | W |
| 3.3 | W | W | W | W |
| 3.4 | W | W | W | W |
| 4.1 | W | W | W | W |
| 4.2 | W | W | W | W |
| 4.3 | W | W | W | W |
| 4.4 | W | W | W | W |
| 5.1 | W | W | W | W |
| 5.2 | W | W | W | W |
| 5.3 | W | W | W | W |
| 5.4 | W | W | W | W |
| 6.1 | W | W | W | W |
| 6.2 | W | W | W | W |
| 6.3 | W | W | W | W |
| 6.4 | W | W | W | W |
| Total System Loss | Efficiency | |||
|---|---|---|---|---|
| Scenario | Measured | Modeled | Measured | Modeled |
| 1.1 | W | W | – | – |
| 1.2 | W | W | % | % |
| 1.3 | W | W | % | % |
| 1.4 | W | W | % | % |
| 2.1 | W | W | – | – |
| 2.2 | W | W | % | % |
| 2.3 | W | W | % | % |
| 2.4 | W | W | % | % |
| 3.1 | W | W | – | – |
| 3.2 | W | W | % † | % |
| 3.3 | W | W | % | % |
| 3.4 | W | W | % | % |
| 4.1 | W | W | – | – |
| 4.2 | W | W | % | % |
| 4.3 | W | W | % | % |
| 4.4 | W | W | % | % |
| 5.1 | W | W | – | – |
| 5.2 | W | W | % | % |
| 5.3 | W | W | % | % |
| 5.4 | W | W | % | % |
| 6.1 | W | W | – | – |
| 6.2 | W | W | % † | % |
| 6.3 | W | W | % | % |
| 6.4 | W | W | % | % |












References
- Hendron, R.; Eastment, M. Development of an Energy-Savings Calculation Methodology for Residential Miscellaneous Electric Loads; Technical Report; National Renewable Energy Lab. (NREL): Golden, CO, USA, 2006.
- Comstock, O.; Jarzomski, K. Consumption and saturation trends of residential miscellaneous end-use loads. In Proceedings of the 2012 ACEEE Summer Study Energy Efficiency Buildings, Pacific Grove, CA, USA, 12–17 August 2012; Volume 14. [Google Scholar]
- George, K. DC Power Production, Delivery and Utilization; White Paper; Electric Power Research Institute: Palo Alto, CA, USA, 2006. [Google Scholar]
- Boroyevich, D.; Cvetković, I.; Dong, D.; Burgos, R.; Wang, F.; Lee, F. Future Electronic Power Distribution Systems a Contemplative View. In Proceedings of the 2010 12th International Conference on Optimization of Electrical and Electronic Equipment, Brasov, Romania, 20–22 May 2010; pp. 1369–1380. [Google Scholar] [CrossRef]
- Savage, P.; Nordhaus, R.R.; Jamieson, S.P. DC Microgrids: Benefits and Barriers; Technical Report; Yale University, REIL, Yale School of Forestry & Environmental Studies: New Haven, CT, USA, 2010. [Google Scholar]
- Vossos, V.; Garbesi, K.; Shen, H. Energy savings from direct-DC in U.S. residential buildings. Energy Build. 2014, 68, 223–231. [Google Scholar] [CrossRef]
- Mackay, L.; van der Blij, N.H.; Ramirez-Elizondo, L.; Bauer, P. Toward the Universal DC Distribution System. Electr. Power Components Syst. 2017, 45, 1032–1042. [Google Scholar] [CrossRef]
- Prabhala, V.A.; Baddipadiga, B.P.; Fajri, P.; Ferdowsi, M. An Overview of Direct Current Distribution System Architectures & Benefits. Energies 2018, 11, 2463. [Google Scholar] [CrossRef]
- Gerber, D.L.; Vossos, V.; Feng, W.; Marnay, C.; Nordman, B.; Brown, R. A simulation-based efficiency comparison of AC and DC power distribution networks in commercial buildings. Appl. Energy 2018, 210, 1167–1187. [Google Scholar] [CrossRef]
- Belu, R. Building Electrical Systems and Distribution Networks: An Introduction; CRC Press: Boca Raton, FL, USA, 2020. [Google Scholar]
- Hadjsaïd, N.; Sabonnadière, J.C. Electrical Distribution Networks; John Wiley & Sons: Hoboken, NJ, USA, 2013. [Google Scholar]
- Frank, S.M.; Rebennack, S. Optimal design of mixed AC-DC distribution systems for commercial buildings: A Nonconvex Generalized Benders Decomposition approach. Eur. J. Oper. Res. 2015, 242, 710–729. [Google Scholar] [CrossRef]
- Zhang, F.; Meng, C.; Yang, Y.; Sun, C.; Ji, C.; Chen, Y.; Wei, W.; Qiu, H.; Yang, G. Advantages and challenges of DC microgrid for commercial building a case study from Xiamen university DC microgrid. In Proceedings of the 2015 IEEE First International Conference on DC Microgrids (ICDCM), Atlanta, GA, USA, 7–10 June 2015; pp. 355–358. [Google Scholar] [CrossRef]
- Vossos, V.; Gerber, D.; Bennani, Y.; Brown, R.; Marnay, C. Techno-Economic Analysis of DC Power Distribution in Commercial Buildings. Appl. Energy 2018, 230, 663–678. [Google Scholar] [CrossRef]
- Wu, Y.; Wang, Z.; Huangfu, Y.; Ravey, A.; Chrenko, D.; Gao, F. Hierarchical Operation of Electric Vehicle Charging Station in Smart Grid Integration Applications—An Overview. Int. J. Electr. Power Energy Syst. 2022, 139, 108005. [Google Scholar] [CrossRef]
- Shenai, K.; Shah, K. Smart DC micro-grid for efficient utilization of distributed renewable energy. In Proceedings of the IEEE 2011 EnergyTech, Cleveland, OH, USA, 25–26 May 2011; pp. 1–6. [Google Scholar] [CrossRef]
- AlLee, G.; Tschudi, W. Edison Redux: 380 Vdc Brings Reliability and Efficiency to Sustainable Data Centers. IEEE Power Energy Mag. 2012, 10, 50–59. [Google Scholar] [CrossRef]
- Sannino, A.; Postiglione, G.; Bollen, M.H.J. Feasibility of a DC Network for Commercial Facilities. IEEE Trans. Ind. Appl. 2003, 39, 1499–1507. [Google Scholar] [CrossRef]
- Nilsson, D.; Sannino, A. Efficiency Analysis of Low- and Medium-Voltage DC Distribution Systems. In Proceedings of the IEEE Power Engineering Society General Meeting, Denver, CO, USA, 6–10 June 2004; 2004; Volume 2, pp. 2315–2321. [Google Scholar] [CrossRef]
- Fregosi, D.; Ravula, S.; Brhlik, D.; Saussele, J.; Frank, S.; Bonnema, E.; Scheib, J.; Wilson, E. A comparative study of DC and AC microgrids in commercial buildings across different climates and operating profiles. In Proceedings of the 2015 IEEE First International Conference on DC Microgrids (ICDCM), Atlanta, GA, USA, 7–10 June 2015; pp. 159–164. [Google Scholar] [CrossRef]
- Glasgo, B.; Azevedo, I.L.; Hendrickson, C. How much electricity can we save by using direct current circuits in homes? Understanding the potential for electricity savings and assessing feasibility of a transition towards DC powered buildings. Appl. Energy 2016, 180, 66–75. [Google Scholar] [CrossRef]
- Thomas, B.A.; Azevedo, I.L.; Morgan, G. Edison Revisited: Should we use DC circuits for lighting in commercial buildings? Energy Policy 2012, 45, 399–411. [Google Scholar] [CrossRef]
- Han, J.; Oh, Y.S.; Gwon, G.H.; Kim, D.U.; Noh, C.H.; Jung, T.H.; Lee, S.J.; Kim, C.H. Modeling and Analysis of a Low-Voltage DC Distribution System. Resources 2015, 4, 713–735. [Google Scholar] [CrossRef]
- Santos, A.; Cale, J.; Othee, A.; Gerber, D.; Frank, S.; Duggan, G.; Zimmerle, D.; Brown, R. Comparison of Load Models for Estimating Electrical Efficiency in DC Microgrids. In Proceedings of the 3rd IEEE International Conference on DC Microgrids, Matsue, Japan, 20–23 May 2019. [Google Scholar]
- Xia, D.; Heydt, G. Harmonic Power Flow Studies, Part I: Formulation and Solution. IEEE Power Eng. Rev. 1982, PER-2, 17. [Google Scholar] [CrossRef]
- Xia, G.; Heydt, G. Harmonic Power Flow Studies, Part II: Implementation and Practical Application. IEEE Trans. Power Appar. Syst. 1982, PAS-101, 1266–1270. [Google Scholar] [CrossRef]
- Building Electrical Efficiency Analysis Model (BEEAM). Available online: https://github.com/NREL/BEEAM/ (accessed on 23 February 2023).
- El-Hawary, M.E. Introduction to Electrical Power Systems; John Wiley & Sons: Hoboken, NJ, USA, 2008. [Google Scholar]
- Thomas, R.; Rosa, A. Network Topology: A Supplement to Accompany the 3rd Edition of the Analysis and Design of Linear Circuits; Wiley: New York, NY, USA, 2001. [Google Scholar]
- Cale, J.; Lute, C.; Ross, G.; Othee, A. Characterization Procedure for Unsymmetrical Split-Phase Capacitor-Start Induction Machines. IEEE Open Access J. Power Energy 2020, 8, 2–10. [Google Scholar] [CrossRef]
- King, D.; Gonzalez, G.; Galbraith, M.; Boyson, W. Performance Model for Grid-Connected Photovoltaic Inverters; Technical Report; Sandia National Laboratories: Albuquerque, NM, USA, 2007.
- Dassault Systèmes. Dymola-Dassault Systèmes®. Available online: https://www.3ds.com/products-services/catia/products/dymola/ (accessed on 24 February 2021).
- Fritzson, P.; Pop, A.; Abdelhak, K. The OpenModelica Integrated Environment for Modeling, Simulation, and Model-Based Development. Model. Identif. Control. 2020, 41, 241–295. [Google Scholar] [CrossRef]
- Franke, R.; Wiesmann, H. Flexible modeling of electrical power systems – the Modelica PowerSystems library. In Proceedings of the 10th International Modelica Conference, Lund, Sweden, 10–12 March 2014; pp. 515–522. [Google Scholar]
- Haumer, A.; Kral, C.; Gragg, J.; Kapeller, H. Quasi-Static Modeling and Simulation of Electrical Circuits using Complex Phasors. In Proceedings of the Modelica Conference 2008, University of Applied Sciences Bielefeld, Bielefeld, Germany, 3–4 March 2008. [Google Scholar]
- Keysight Technologies. IntegraVision PA2200 Series Power Analyzers. Available online: https://www.keysight.com/us/en/assets/7018-04657/data-sheets/5992-0324.pdf (accessed on 1 December 2017).
- Keysight Technologies. 34980A Data Acquisition System. Available online: https://www.lem.com/sites/default/files/products_datasheets/lts_6-np.pdf (accessed on 9 July 2019).
- LEM. Current Transducer LTS 6-NP. Available online: https://www.keysight.com/us/en/assets/7018-01247/data-sheets/5989-1437.pdf (accessed on 25 August 2017).
- Belkin International. Wemo Insight Smart Plug, F7C029 Frequently Asked Questions. Available online: https://www.belkin.com/us/support-article?articleNum=80139 (accessed on 16 March 2021).
- Taylor, B.N.; Kuyatt, C.E. Guidelines for Evaluating and Expressing the Uncertainty of NIST Measurement Results; NIST Technical Note 1297; National Institute of Standards and Technology (NIST): Gaithersburg, MD, USA, 1994.
- Bevington, P.R.; Robinson, D.K. Data Reduction and Error Analysis for the Physical Sciences, 3rd ed.; McGraw-Hill: New York, NY, USA, 2003. [Google Scholar]






















| Phase A | Phase B | Phase C | |
|---|---|---|---|
| Power Supply 1 | 🗸 | ||
| Power Supply 2 | 🗸 | ||
| Power Supply 3 | 🗸 | ||
| Laptop Charger 1 | 🗸 | ||
| Laptop Charger 2 | 🗸 | ||
| Laptop Charger 3 | 🗸 | ||
| LED Driver 1 | 🗸 | ||
| LED Driver 2 | 🗸 | ||
| LED Driver 3 | 🗸 |
| Phase A | Phase B | Phase C | |
|---|---|---|---|
| Laptop Charger 1 | 🗸 | ||
| Laptop Charger 2 | 🗸 | ||
| Laptop Charger 3 | 🗸 | ||
| LED Driver 1 | 🗸 | ||
| LED Driver 2 | 🗸 | ||
| LED Driver 3 | 🗸 |
| Loads for Scenarios 1, 3 (Balanced) | |||
| Scenario | Phase A [W] | Phase B [W] | Phase C [W] |
| 1.1, 3.1 | 0 | 0 | 0 |
| 1.2, 3.2 | 100 | 100 | 100 |
| 1.3, 3.3 | 300 | 300 | 300 |
| 1.4, 3.4 | 500 | 500 | 500 |
| Loads for Scenarios 2, 4 (Unbalanced) | |||
| Scenario | Phase A [W] | Phase B [W] | Phase C [W] |
| 2.1, 4.1 | 0 | 0 | 0 |
| 2.2, 4.2 | 700 | 100 | 700 |
| 2.3, 4.3 | 300 | 500 | 700 |
| 2.4, 4.4 | 700 | 500 | 100 |
| Scenario | Power [W] | Scenario | Power [W] |
|---|---|---|---|
| 5.1, 6.1 | 0 | 5.3, 6.3 | 541 |
| 5.2, 6.2 | 178 | 5.4, 6.4 | 904 |
Disclaimer/Publisher’s Note: The statements, opinions and data contained in all publications are solely those of the individual author(s) and contributor(s) and not of MDPI and/or the editor(s). MDPI and/or the editor(s) disclaim responsibility for any injury to people or property resulting from any ideas, methods, instructions or products referred to in the content. |
© 2023 by the authors. Licensee MDPI, Basel, Switzerland. This article is an open access article distributed under the terms and conditions of the Creative Commons Attribution (CC BY) license (https://creativecommons.org/licenses/by/4.0/).
Share and Cite
Othee, A.; Cale, J.; Santos, A.; Frank, S.; Zimmerle, D.; Ghatpande, O.; Duggan, G.; Gerber, D. A Modeling Toolkit for Comparing AC and DC Electrical Distribution Efficiency in Buildings. Energies 2023, 16, 3001. https://doi.org/10.3390/en16073001
Othee A, Cale J, Santos A, Frank S, Zimmerle D, Ghatpande O, Duggan G, Gerber D. A Modeling Toolkit for Comparing AC and DC Electrical Distribution Efficiency in Buildings. Energies. 2023; 16(7):3001. https://doi.org/10.3390/en16073001
Chicago/Turabian StyleOthee, Avpreet, James Cale, Arthur Santos, Stephen Frank, Daniel Zimmerle, Omkar Ghatpande, Gerald Duggan, and Daniel Gerber. 2023. "A Modeling Toolkit for Comparing AC and DC Electrical Distribution Efficiency in Buildings" Energies 16, no. 7: 3001. https://doi.org/10.3390/en16073001
APA StyleOthee, A., Cale, J., Santos, A., Frank, S., Zimmerle, D., Ghatpande, O., Duggan, G., & Gerber, D. (2023). A Modeling Toolkit for Comparing AC and DC Electrical Distribution Efficiency in Buildings. Energies, 16(7), 3001. https://doi.org/10.3390/en16073001

