A Short-Term Load Forecasting Model Based on Crisscross Grey Wolf Optimizer and Dual-Stage Attention Mechanism
Abstract
1. Introduction
- Combining the advantages of a feature and temporal attention mechanism, a dual-stage attention mechanism (DA) is introduced in this paper. DA is utilized at the input side of the forecasting model to comprehensively capture the correlation relationship between various variables and temporal dependency in the load time series.
- To address the deficiency of GWO, a novel crisscross grey wolf optimizer algorithm is firstly applied in a short-term load forecasting problem. By introducing horizontal and vertical crossover operators, the global search ability and community diversity of CS-GWO are improved.
- The proposed DA-CS-GWO-BiGRU model is verified by using the real load data set collected in a certain area. The experimental results show that the proposed model has higher forecasting accuracy than other comparison models, and has good application prospects.
2. Principle of Deep Learning Model
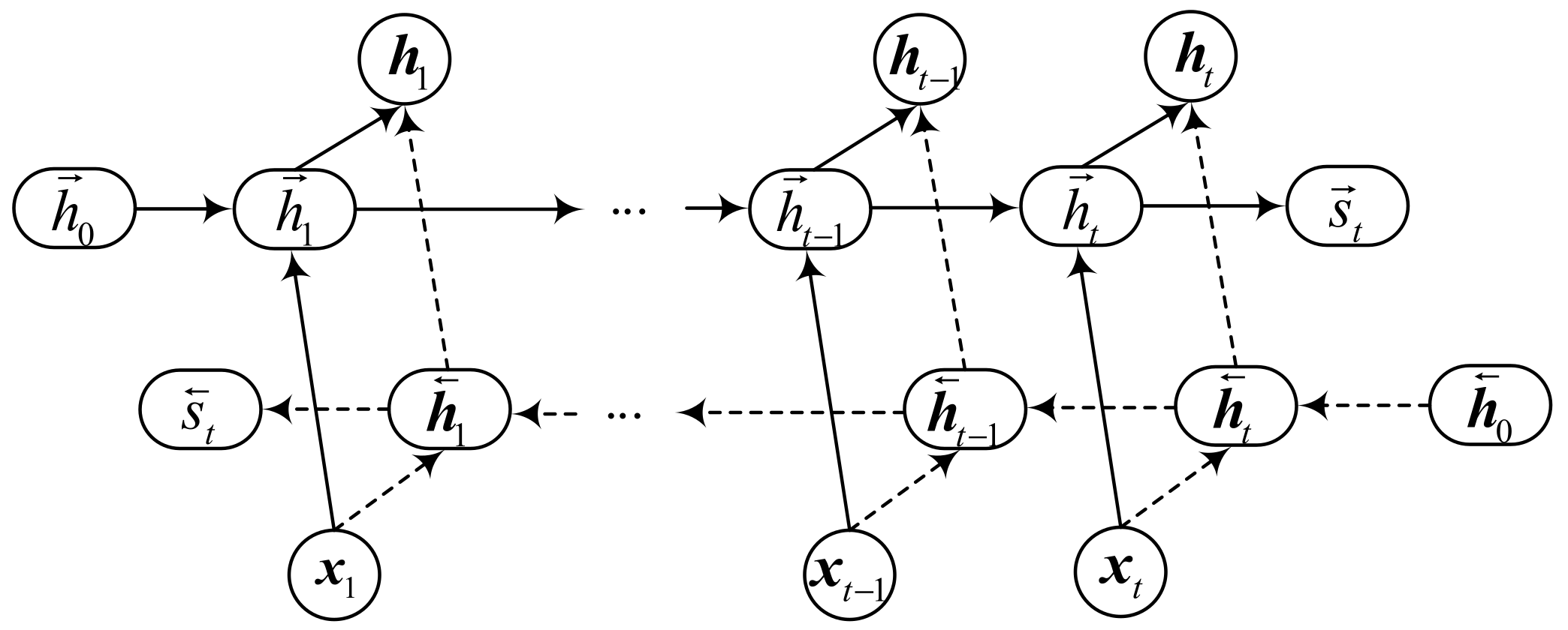
2.1. BiGRU Neural Network
2.2. Attention Mechanism
3. DA-CS-GWO-BiGRU Short-Term Load Forecasting Model
3.1. Mathematical Model
3.2. Dual-Stage Attention Mechanism
3.2.1. Feature Attention Mechanism
3.2.2. Temporal Attention Mechanism
3.3. CS-GWO Optimization Algorithm
3.3.1. Parameter Initialization
3.3.2. Hunting
3.3.3. Attack Prey
3.3.4. Horizontal Crossover
3.3.5. Vertical Crossover
3.3.6. The Detailed Implementation Steps of CS-GWO
4. Evaluation Index
5. Experiment and Analysis
5.1. Parameter Settings
5.2. Case 1: The Effectiveness of the BiGRU Model and Dual-Stage Mechanism
5.3. Case 2: The Effectiveness of the CS-GWO Algorithm
5.3.1. The Setting of the Numerical Experiments
5.3.2. The Comparison of Optimization Accuracy
5.3.3. Wilcoxon Signed-Rank Test and Paired Samples t-Test
5.4. Case 3: The Effectiveness of the CS-GWO-DA-BiGRU Model
6. Discussion
7. Conclusions
Author Contributions
Funding
Data Availability Statement
Conflicts of Interest
Nomenclatures
| Abbreviations | |
| WOA | whale optimization algorithm |
| GWO | grey wolf optimization |
| LSTM | long short-term memory |
| GRU | gated recurrent unit |
| FA | feature attention mechanism |
| TA | temporal attention mechanism |
| DA | dual-stage attention mechanism |
| CS-GWO | crisscross grey wolf optimizer algorithm |
| RNN | recurrent neural network |
| BiGRU | bidirectional gated recurrent unit |
| CSO | crisscross optimization algorithm |
| HC | horizontal crossover |
| VC | vertical crossover |
| RMSE | root mean square error |
| MAE | mean absolute error |
| SMAPE | symmetric mean absolute percentage error |
| R2 | decision coefficient |
| Mean | mean value |
| Min | minimum value |
| Max | maximum value |
| Std | standard deviation |
| Rank | ranks |
| PSTT | paired samples t-test |
| WSRT | Wilcoxon signed-rank test |
| Formula symbols | |
| input data at t-th time step | |
| ,, | hidden state at (t−1)-th, t-th and T-th time step |
| rt | reset gate |
| , , | weight metrices and bias of reset gate |
| sigmoid activation function | |
| zt | update gate |
| ,, | weight metrices and bias of update gate |
| , | weight metrices and bias of candidate output |
| candidate hidden state | |
| , | state information of forward and backward propagation |
| , | weight metrices of hidden layer in forward and backward propagation |
| bias of the hidden layer | |
| calculation process of GRU | |
| e | unnormalized attention weight |
| normalized attention weight | |
| intermediate semantic vector | |
| electric load time series of the previous day | |
| highest and lowest temperature of the previous day and the current day | |
| rainfall of the previous day and the current day | |
| weather day type of the previous day and the current day | |
| function map of prediction model | |
| input of prediction model | |
| predicted load values of the current day | |
| N | number of samples |
| , | weight matrix and bias in FA |
| adaptively optimized feature vector | |
| , | weight matrix and bias in TA |
| number of hidden elements in the last layer of BiGRU | |
| , | intermediate semantic vector in t-th and T-th iteration |
| , | weight metrices and bias of the feedforward network in TA |
| all parameters of DA-BiGRU model | |
| loss function of DA-BiGRU model | |
| population of grey wolf | |
| population size | |
| D | population dimension |
| ,,, | grey wolves , , and at t-th iteration |
| ,,,, ,, A, C | synergy coefficients |
| , , , , | random number |
| , | offspring population |
| T | maximum number of iterations |
| , | actual and predicted load value in testing dataset |
| average value of the actual load value | |
| sample number of the testing dataset |
References
- Vanting, N.B.; Ma, Z.; Jørgensen, B.N. A Scoping Review of Deep Neural Networks for Electric Load Forecasting. Energy Inform. 2021, 4, 49. [Google Scholar] [CrossRef]
- Liu, Y.; Dutta, S.; Kong, A.W.K.; Yeo, C.K. An Image Inpainting Approach to Short-Term Load Forecasting. IEEE Trans. Power Syst. 2022, 38, 177–187. [Google Scholar] [CrossRef]
- Li, L.; Guo, L.; Wang, J.; Peng, H. Short-Term Load Forecasting Based on Spiking Neural P Systems. Appl. Sci. 2023, 13, 792. [Google Scholar] [CrossRef]
- Li, S.; Kong, X.; Yue, L.; Liu, C.; Khan, M.A.; Yang, Z.; Zhang, H. Short-Term Electrical Load Forecasting Using Hybrid Model of Manta Ray Foraging Optimization and Support Vector Regression. J. Clean. Prod. 2023, 388, 135856. [Google Scholar] [CrossRef]
- Mayrink, V.; Hippert, H.S. A Hybrid Method Using Exponential Smoothing and Gradient Boosting for Electrical Short-Term Load Forecasting. In Proceedings of the 2016 IEEE Latin American Conference on Computational Intelligence (LA-CCI), Cartagena, Colombia, 2–4 November 2016; pp. 1–6. [Google Scholar]
- Wang, Y.; Kong, Y.; Tang, X.; Chen, X.; Xu, Y.; Chen, J.; Sun, S.; Guo, Y.; Chen, Y. Short-Term Industrial Load Forecasting Based on Ensemble Hidden Markov Model. IEEE Access 2020, 8, 160858–160870. [Google Scholar] [CrossRef]
- Guo, L.; Wu, P.; Lou, S.; Gao, J.; Liu, Y. A Multi-Feature Extraction Technique Based on Principal Component Analysis for Nonlinear Dynamic Process Monitoring. J. Process Control 2020, 85, 159–172. [Google Scholar] [CrossRef]
- Mehdipour Pirbazari, A.; Farmanbar, M.; Chakravorty, A.; Rong, C. Short-Term Load Forecasting Using Smart Meter Data: A Generalization Analysis. Processes 2020, 8, 484. [Google Scholar] [CrossRef]
- Li, B.; Hou, B.; Yu, W.; Lu, X.; Yang, C. Applications of Artificial Intelligence in Intelligent Manufacturing: A Review. Front. Inf. Technol. Electron. Eng. 2017, 18, 86–96. [Google Scholar] [CrossRef]
- Yu, F.; Xu, X. A Short-Term Load Forecasting Model of Natural Gas Based on Optimized Genetic Algorithm and Improved BP Neural Network. Appl. Energy 2014, 134, 102–113. [Google Scholar] [CrossRef]
- Li, S.; Goel, L.; Wang, P. An Ensemble Approach for Short-Term Load Forecasting by Extreme Learning Machine. Appl. Energy 2016, 170, 22–29. [Google Scholar] [CrossRef]
- Lu, H.; Azimi, M.; Iseley, T. Short-Term Load Forecasting of Urban Gas Using a Hybrid Model Based on Improved Fruit Fly Optimization Algorithm and Support Vector Machine. Energy Rep. 2019, 5, 666–677. [Google Scholar] [CrossRef]
- Niu, D.; Dai, S. A Short-Term Load Forecasting Model with a Modified Particle Swarm Optimization Algorithm and Least Squares Support Vector Machine Based on the Denoising Method of Empirical Mode Decomposition and Grey Relational Analysis. Energies 2017, 10, 408. [Google Scholar] [CrossRef]
- Shao, L.; Guo, Q.; Li, C.; Li, J.; Yan, H. Short-Term Load Forecasting Based on EEMD-WOA-LSTM Combination Model. Appl. Bionics Biomech. 2022, 2022, 2166082. [Google Scholar] [CrossRef] [PubMed]
- Li, T.; Qian, Z.; He, T. Short-Term Load Forecasting with Improved CEEMDAN and GWO-Based Multiple Kernel ELM. Complexity 2020, 2020, 1209547. [Google Scholar] [CrossRef]
- Image Segmentation of Leaf Spot Diseases on Maize Using Multi-Stage Cauchy-Enabled Grey Wolf Algorithm. Eng. Appl. Artif. Intell. 2022, 109, 104653. [CrossRef]
- Khan, B.; Khalid, R.; Javed, M.U.; Javaid, S.; Ahmed, S.; Javaid, N. Short-Term Load and Price Forecasting Based on Improved Convolutional Neural Network. In Proceedings of the 2020 3rd International Conference on Computing, Mathematics and Engineering Technologies (iCoMET), Sukkur, Pakistan, 29–30 January 2020; pp. 1–6. [Google Scholar]
- Muzaffar, S.; Afshari, A. Short-Term Load Forecasts Using LSTM Networks. Energy Procedia 2019, 158, 2922–2927. [Google Scholar] [CrossRef]
- Jung, S.; Moon, J.; Park, S.; Hwang, E. An Attention-Based Multilayer GRU Model for Multistep-Ahead Short-Term Load Forecasting. Sensors 2021, 21, 1639. [Google Scholar] [CrossRef]
- Alhussein, M.; Aurangzeb, K.; Haider, S.I. Hybrid CNN-LSTM Model for Short-Term Individual Household Load Forecasting. IEEE Access 2020, 8, 180544–180557. [Google Scholar] [CrossRef]
- Sajjad, M.; Khan, Z.A.; Ullah, A.; Hussain, T.; Ullah, W.; Lee, M.Y.; Baik, S.W. A Novel CNN-GRU-Based Hybrid Approach for Short-Term Residential Load Forecasting. IEEE Access 2020, 8, 143759–143768. [Google Scholar] [CrossRef]
- Cai, C.; Li, Y.; Su, Z.; Zhu, T.; He, Y. Short-Term Electrical Load Forecasting Based on VMD and GRU-TCN Hybrid Network. Appl. Sci. 2022, 12, 6647. [Google Scholar] [CrossRef]
- Alsharekh, M.F.; Habib, S.; Dewi, D.A.; Albattah, W.; Islam, M.; Albahli, S. Improving the Efficiency of Multistep Short-Term Electricity Load Forecasting via R-CNN with ML-LSTM. Sensors 2022, 22, 6913. [Google Scholar] [CrossRef]
- Chen, Q.; Zhang, W.; Zhu, K.; Zhou, D.; Dai, H.; Wu, Q. A Novel Trilinear Deep Residual Network with Self-Adaptive Dropout Method for Short-Term Load Forecasting. Expert Syst. Appl. 2021, 182, 115272. [Google Scholar] [CrossRef]
- Kim, S.H.; Lee, G.; Kwon, G.-Y.; Kim, D.-I.; Shin, Y.-J. Deep Learning Based on Multi-Decomposition for Short-Term Load Forecasting. Energies 2018, 11, 3433. [Google Scholar] [CrossRef]
- Bouktif, S.; Fiaz, A.; Ouni, A.; Serhani, M.A. Optimal Deep Learning Lstm Model for Electric Load Forecasting Using Feature Selection and Genetic Algorithm: Comparison with Machine Learning Approaches. Energies 2018, 11, 1636. [Google Scholar] [CrossRef]
- Kong, X.; Liu, X.; Shi, R.; Lee, K.Y. Wind Speed Prediction Using Reduced Support Vector Machines with Feature Selection. Neurocomputing 2015, 169, 449–456. [Google Scholar] [CrossRef]
- Li, S.; Wang, P.; Goel, L. Wind Power Forecasting Using Neural Network Ensembles with Feature Selection. IEEE Trans. Sustain. Energy 2015, 6, 1447–1456. [Google Scholar] [CrossRef]
- Meng, A.; Chen, S.; Ou, Z.; Ding, W.; Zhou, H.; Fan, J.; Yin, H. A Hybrid Deep Learning Architecture for Wind Power Prediction Based on Bi-Attention Mechanism and Crisscross Optimization. Energy 2022, 238, 121795. [Google Scholar] [CrossRef]
- Zhang, B.; Wu, J.-L.; Chang, P.-C. A Multiple Time Series-Based Recurrent Neural Network for Short-Term Load Forecasting. Soft Comput. 2018, 22, 4099–4112. [Google Scholar] [CrossRef]
- Wang, S.; Wang, X.; Wang, S.; Wang, D. Bi-Directional Long Short-Term Memory Method Based on Attention Mechanism and Rolling Update for Short-Term Load Forecasting. Int. J. Electr. Power Energy Syst. 2019, 109, 470–479. [Google Scholar] [CrossRef]
- Fazlipour, Z.; Mashhour, E.; Joorabian, M. A Deep Model for Short-Term Load Forecasting Applying a Stacked Autoencoder Based on LSTM Supported by a Multi-Stage Attention Mechanism. Appl. Energy 2022, 327, 120063. [Google Scholar] [CrossRef]
- Ribeiro, A.H.; Tiels, K.; Aguirre, L.A.; Schön, T. Beyond Exploding and Vanishing Gradients: Analysing RNN Training Using Attractors and Smoothness. In Proceedings of the Twenty Third International Conference on Artificial Intelligence and Statistics, Online, 26–28 August 2020; pp. 2370–2380. [Google Scholar]
- Dewangan, F.; Abdelaziz, A.Y.; Biswal, M. Load Forecasting Models in Smart Grid Using Smart Meter Information: A Review. Energies 2023, 16, 1404. [Google Scholar] [CrossRef]
- Zhang, D.; Kabuka, M.R. Combining Weather Condition Data to Predict Traffic Flow: A GRU-Based Deep Learning Approach. IET Intell. Transp. Syst. 2018, 12, 578–585. [Google Scholar] [CrossRef]
- Xuan, Y.; Si, W.; Zhu, J.; Sun, Z.; Zhao, J.; Xu, M.; Xu, S. Multi-Model Fusion Short-Term Load Forecasting Based on Random Forest Feature Selection and Hybrid Neural Network. IEEE Access 2021, 9, 69002–69009. [Google Scholar] [CrossRef]
- Li, C.; Liu, D.; Wang, M.; Wang, H.; Xu, S. Detection of Outliers in Time Series Power Data Based on Prediction Errors. Energies 2023, 16, 582. [Google Scholar] [CrossRef]
- Niu, Z.; Yu, Z.; Tang, W.; Wu, Q.; Reformat, M. Wind Power Forecasting Using Attention-Based Gated Recurrent Unit Network. Energy 2020, 196, 117081. [Google Scholar] [CrossRef]
- Keskar, N.S.; Socher, R. Improving Generalization Performance by Switching from Adam to Sgd. arXiv 2017, arXiv:171207628. [Google Scholar]
- Meng, A.; Zeng, C.; Wang, P.; Chen, D.; Zhou, T.; Zheng, X.; Yin, H. A High-Performance Crisscross Search Based Grey Wolf Optimizer for Solving Optimal Power Flow Problem. Energy 2021, 225, 120211. [Google Scholar] [CrossRef]
- Meng, A.; Chen, Y.; Yin, H.; Chen, S. Crisscross Optimization Algorithm and Its Application. Knowl. Based Syst. 2014, 67, 218–229. [Google Scholar] [CrossRef]
- Guo, Y.; Lu, W.; Li, X.; Huang, Q. Single Image Reflection Removal Based on Residual Attention Mechanism. Appl. Sci. 2023, 13, 1618. [Google Scholar] [CrossRef]
- Mohamed, A.W.; Hadi, A.A.; Fattouh, A.M.; Jambi, K.M. LSHADE with Semi-Parameter Adaptation Hybrid with CMA-ES for Solving CEC 2017 Benchmark Problems. In Proceedings of the 2017 IEEE Congress on Evolutionary Computation (CEC), San Sebastián, Spain, 5–8 June 2017; pp. 145–152. [Google Scholar]
- Zhaoyu, P.; Shengzhu, L.; Hong, Z.; Nan, Z. The Application of the Pso Based BP Network in Short-Term Load Forecasting. Phys. Procedia 2012, 24, 626–632. [Google Scholar] [CrossRef]
- Lu, Y.; Wang, G. A Load Forecasting Model Based on Support Vector Regression with Whale Optimization Algorithm. Multimed. Tools Appl. 2023, 82, 9939–9959. [Google Scholar] [CrossRef]
- Barman, M.; Dev Choudhury, N.B. A Similarity Based Hybrid GWO-SVM Method of Power System Load Forecasting for Regional Special Event Days in Anomalous Load Situations in Assam, India. Sustain. Cities Soc. 2020, 61, 102311. [Google Scholar] [CrossRef]
- Meng, A.; Li, Z.; Yin, H.; Chen, S.; Guo, Z. Accelerating Particle Swarm Optimization Using Crisscross Search. Inf. Sci. 2016, 329, 52–72. [Google Scholar] [CrossRef]
- Derrac, J.; García, S.; Molina, D.; Herrera, F. A Practical Tutorial on the Use of Nonparametric Statistical Tests as a Methodology for Comparing Evolutionary and Swarm Intelligence Algorithms. Swarm Evol. Comput. 2011, 1, 3–18. [Google Scholar] [CrossRef]
- Hashim, F.A.; Houssein, E.H.; Hussain, K.; Mabrouk, M.S.; Al-Atabany, W. Honey Badger Algorithm: New Metaheuristic Algorithm for Solving Optimization Problems. Math. Comput. Simul. 2022, 192, 84–110. [Google Scholar] [CrossRef]
- Abdel-Basset, M.; Mohamed, R.; Azeem, S.A.A.; Jameel, M.; Abouhawwash, M. Kepler Optimization Algorithm: A New Metaheuristic Algorithm Inspired by Kepler’s Laws of Planetary Motion. Knowl. Based Syst. 2023, 110454, in press. [Google Scholar] [CrossRef]
- Nadimi-Shahraki, M.H.; Zamani, H.; Fatahi, A.; Mirjalili, S. MFO-SFR: An Enhanced Moth-Flame Optimization Algorithm Using an Effective Stagnation Finding and Replacing Strategy. Mathematics 2023, 11, 862. [Google Scholar] [CrossRef]
- Zimmerman, D.W. Teacher’s Corner: A Note on Interpretation of the Paired-Samples t Test. J. Educ. Behav. Stat. 1997, 22, 349–360. [Google Scholar] [CrossRef]
- Rey, D.; Neuhäuser, M. Wilcoxon-Signed-Rank Test. In International Encyclopedia of Statistical Science; Springer: Berlin/Heidelberg, Germany, 2011; pp. 1658–1659. [Google Scholar]








| Prediction Model | RMSE/MW | MAE/MW | SMAPE | R2 |
|---|---|---|---|---|
| persistence | 36.679 | 29.258 | 4.810 | 0.900 |
| BP | 34.671 | 27.650 | 4.399 | 0.911 |
| GRU | 32.141 | 25.128 | 3.892 | 0.924 |
| BiGRU | 31.009 | 25.051 | 3.868 | 0.929 |
| FA-BiGRU | 29.583 | 23.068 | 3.591 | 0.935 |
| TA-BiGRU | 29.840 | 24.239 | 3.830 | 0.930 |
| DA-BiGRU | 29.053 | 22.897 | 3.566 | 0.937 |
| Functions | Metrics | PSO | WOA | GWO | CSO | CS-GWO |
|---|---|---|---|---|---|---|
| F1 | Mean | 3.169 × 1011 | 2.408 × 103 | 3.781 × 1010 | 2.275 × 1010 | 4.875 × 103 |
| Min | 1.137 × 1011 | 1.070 × 102 | 5.121 × 109 | 4.985 × 109 | 1.000 × 102 | |
| Max | 5.806 × 1011 | 9.847 × 103 | 8.496 × 1010 | 6.467 × 1010 | 1.771 × 104 | |
| Std | 9.145 × 1010 | 2.219 × 103 | 2.197 × 1010 | 1.430 × 1010 | 5.283 × 103 | |
| Rank | 5 | 1 | 4 | 3 | 2 | |
| F2 | Mean | 8.880 × 102 | 7.076 × 102 | 6.260 × 102 | 6.012 × 102 | 5.550 × 102 |
| Min | 8.253 × 102 | 6.184 × 102 | 5.892 × 102 | 5.705 × 102 | 5.129 × 102 | |
| Max | 9.519 × 102 | 8.124 × 102 | 7.649 × 102 | 6.601 × 102 | 6.350 × 102 | |
| Std | 3.825 × 101 | 4.662 × 101 | 3.205 × 101 | 2.046 × 101 | 3.437 × 101 | |
| Rank | 5 | 4 | 3 | 2 | 1 | |
| F3 | Mean | 1.406 × 105 | 5.016 × 104 | 4.718 × 104 | 3.481 × 104 | 3.001 × 102 |
| Min | 8.673 × 104 | 2.929 × 104 | 3.286 × 104 | 1.132 × 104 | 3.000 × 102 | |
| Max | 3.292 × 105 | 7.088 × 104 | 6.894 × 104 | 6.353 × 104 | 3.003 × 102 | |
| Std | 6.473 × 104 | 1.017 × 104 | 9.881 × 103 | 1.028 × 104 | 6.049 × 10−2 | |
| Rank | 5 | 4 | 3 | 2 | 1 | |
| F4 | Mean | 6.990 × 103 | 4.687 × 102 | 6.504 × 102 | 5.645 × 102 | 4.937 × 102 |
| Min | 2.951 × 103 | 4.001 × 102 | 5.166 × 102 | 4.833 × 102 | 4.641 × 102 | |
| Max | 1.422 × 104 | 4.911 × 102 | 1.218 × 103 | 7.337 × 102 | 5.187 × 102 | |
| Std | 2.613 × 103 | 1.995 × 101 | 1.457 × 102 | 6.179 × 101 | 1.520 × 101 | |
| Rank | 5 | 1 | 4 | 3 | 2 | |
| F5 | Mean | 8.966 × 102 | 7.087 × 102 | 6.214 × 102 | 5.966 × 102 | 5.774 × 102 |
| Min | 8.469 × 102 | 6.323 × 102 | 5.671 × 102 | 5.681 × 102 | 5.202 × 102 | |
| Max | 9.739 × 102 | 7.816 × 102 | 6.944 × 102 | 6.708 × 102 | 6.720 × 102 | |
| Std | 3.825 × 101 | 4.073 × 101 | 2.883 × 101 | 2.248 × 101 | 4.910 × 101 | |
| Rank | 5 | 4 | 3 | 2 | 1 | |
| F6 | Mean | 7.009 × 102 | 6.730 × 102 | 6.270 × 102 | 6.196 × 102 | 6.003 × 102 |
| Min | 6.795 × 102 | 6.482 × 102 | 6.126 × 102 | 6.102 × 102 | 6.000 × 102 | |
| Max | 7.331 × 102 | 7.250 × 102 | 6.460 × 102 | 6.366 × 102 | 6.017 × 102 | |
| Std | 1.221 × 101 | 1.364 × 101 | 8.497 × 100 | 6.550 × 100 | 4.418 × 10−1 | |
| Rank | 5 | 4 | 3 | 2 | 1 | |
| F7 | Mean | 1.397 × 103 | 1.140 × 103 | 8.841 × 102 | 8.559 × 102 | 8.710 × 102 |
| Min | 1.218 × 103 | 1.022 × 103 | 8.019 × 102 | 7.960 × 102 | 7.698 × 102 | |
| Max | 1.525 × 103 | 1.324 × 103 | 1.076 × 103 | 9.970 × 102 | 8.977 × 102 | |
| Std | 6.925 × 101 | 7.795 × 101 | 6.307 × 101 | 5.190 × 101 | 3.069 × 101 | |
| Rank | 5 | 4 | 3 | 1 | 2 | |
| F8 | Mean | 1.103 × 103 | 9.403 × 102 | 9.039 × 102 | 8.979 × 102 | 8.742 × 102 |
| Min | 1.002 × 103 | 9.114 × 102 | 8.541 × 102 | 8.479 × 102 | 8.129 × 102 | |
| Max | 1.164 × 103 | 9.910 × 102 | 9.464 × 102 | 1.032 × 103 | 9.867 × 102 | |
| Std | 3.661 × 101 | 2.327 × 101 | 2.433 × 101 | 3.537 × 101 | 4.819 × 101 | |
| Rank | 5 | 4 | 3 | 2 | 1 | |
| F9 | Mean | 9.729 × 103 | 7.439 × 103 | 2.287 × 103 | 2.092 × 103 | 9.002 × 102 |
| Min | 5.733 × 103 | 3.310 × 103 | 1.410 × 103 | 1.035 × 103 | 9.000 × 102 | |
| Max | 1.324 × 104 | 1.376 × 104 | 4.608 × 103 | 3.691 × 103 | 9.029 × 102 | |
| Std | 1.659 × 103 | 3.347 × 103 | 7.803 × 102 | 7.556 × 102 | 5.347 × 10−1 | |
| Rank | 5 | 4 | 3 | 2 | 1 | |
| F10 | Mean | 8.429 × 103 | 6.333 × 103 | 5.139 × 103 | 4.483 × 103 | 7.671 × 103 |
| Min | 6.359 × 103 | 4.002 × 103 | 2.849 × 103 | 3.091 × 103 | 6.807 × 103 | |
| Max | 1.005 × 104 | 9.761 × 103 | 8.679 × 103 | 7.903 × 103 | 8.508 × 103 | |
| Std | 8.850 × 102 | 1.699 × 103 | 1.674 × 103 | 1.270 × 103 | 4.446 × 102 | |
| Rank | 5 | 3 | 2 | 1 | 4 | |
| F11 | Mean | 8.717 × 103 | 1.220 × 103 | 2.183 × 103 | 1.786 × 103 | 1.159 × 103 |
| Min | 4.894 × 103 | 1.153 × 103 | 1.389 × 103 | 1.276 × 103 | 1.108 × 103 | |
| Max | 1.418 × 104 | 1.298 × 103 | 4.783 × 103 | 3.937 × 103 | 1.217 × 103 | |
| Std | 2.371 × 103 | 3.880 × 101 | 9.575 × 102 | 7.822 × 102 | 3.555 × 101 | |
| Rank | 5 | 2 | 4 | 3 | 1 | |
| F12 | Mean | 2.599 × 1010 | 1.764 × 105 | 3.831 × 108 | 5.773 × 108 | 3.160 × 105 |
| Min | 2.572 × 109 | 1.191 × 104 | 2.075 × 107 | 2.392 × 107 | 2.261 × 104 | |
| Max | 2.031 × 1011 | 8.030 × 105 | 1.507 × 109 | 3.799 × 109 | 1.485 × 106 | |
| Std | 3.719 × 1010 | 1.616 × 105 | 3.689 × 108 | 8.210 × 108 | 3.465 × 105 | |
| Rank | 5 | 1 | 4 | 3 | 2 | |
| F13 | Mean | 1.224 × 1010 | 1.733 × 104 | 1.497 × 108 | 4.750 × 107 | 1.410 × 104 |
| Min | 2.027 × 108 | 3.680 × 103 | 3.990 × 104 | 4.008 × 104 | 1.416 × 103 | |
| Max | 2.020 × 1011 | 4.611 × 104 | 1.498 × 109 | 1.405 × 109 | 4.460 × 104 | |
| Std | 3.616 × 1010 | 1.109 × 104 | 4.094 × 108 | 2.564 × 108 | 1.138 × 104 | |
| Rank | 5 | 2 | 4 | 3 | 1 | |
| F14 | Mean | 4.157 × 106 | 1.219 × 104 | 4.015 × 105 | 1.794 × 105 | 4.376 × 104 |
| Min | 1.956 × 104 | 1.746 × 103 | 2.666 × 104 | 2.325 × 103 | 4.285 × 103 | |
| Max | 4.485 × 107 | 1.370 × 105 | 1.337 × 106 | 9.272 × 105 | 2.532 × 105 | |
| Std | 8.338 × 106 | 2.417 × 104 | 4.196 × 105 | 2.868 × 105 | 5.106 × 104 | |
| Rank | 5 | 1 | 4 | 3 | 2 | |
| F15 | Mean | 1.424 × 109 | 8.116 × 103 | 4.410 × 106 | 4.594 × 106 | 3.994 × 103 |
| Min | 2.520 × 105 | 1.731 × 103 | 2.667 × 104 | 1.355 × 104 | 1.607 × 103 | |
| Max | 1.273 × 1010 | 3.219 × 104 | 3.595 × 107 | 9.453 × 107 | 2.100 × 104 | |
| Std | 2.717 × 109 | 8.011 × 103 | 9.902 × 106 | 1.740 × 107 | 4.244 × 103 | |
| Rank | 5 | 2 | 4 | 3 | 1 | |
| F16 | Mean | 5.003 × 103 | 2.990 × 103 | 2.559 × 103 | 2.455 × 103 | 2.489 × 103 |
| Min | 3.196 × 103 | 2.365 × 103 | 2.069 × 103 | 2.033 × 103 | 1.700 × 103 | |
| Max | 1.215 × 104 | 3.871 × 103 | 3.254 × 103 | 3.319 × 103 | 3.017 × 103 | |
| Std | 2.024 × 103 | 3.759 × 102 | 3.002 × 102 | 3.224 × 102 | 3.925 × 102 | |
| Rank | 5 | 4 | 3 | 1 | 2 | |
| F17 | Mean | 5.052 × 103 | 3.017 × 103 | 2.460 × 103 | 2.392 × 103 | 2.126 × 103 |
| Min | 3.917 × 103 | 2.269 × 103 | 2.102 × 103 | 1.990 × 103 | 1.612 × 103 | |
| Max | 1.022 × 104 | 3.507 × 103 | 3.213 × 103 | 3.419 × 103 | 3.014 × 103 | |
| Std | 1.165 × 103 | 3.432 × 102 | 2.835 × 102 | 3.141 × 102 | 3.478 × 102 | |
| Rank | 5 | 4 | 3 | 2 | 1 | |
| F18 | Mean | 1.149 × 108 | 7.835 × 105 | 1.858 × 106 | 1.463 × 106 | 1.632 × 105 |
| Min | 2.326 × 106 | 8.942 × 104 | 5.083 × 104 | 8.757 × 104 | 4.111 × 104 | |
| Max | 7.292 × 108 | 2.771 × 106 | 2.160 × 107 | 8.673 × 106 | 4.130 × 105 | |
| Std | 2.234 × 108 | 6.988 × 105 | 4.064 × 106 | 1.773 × 106 | 8.817 × 104 | |
| Rank | 5 | 4 | 3 | 2 | 1 | |
| F19 | Mean | 1.516 × 109 | 9.880 × 103 | 1.345 × 107 | 2.830 × 106 | 7.321 × 103 |
| Min | 8.062 × 106 | 1.979 × 103 | 3.550 × 104 | 6.985 × 103 | 1.991 × 103 | |
| Max | 2.216 × 1010 | 4.385 × 104 | 3.380 × 108 | 1.373 × 107 | 3.052 × 104 | |
| Std | 4.402 × 109 | 9.797 × 103 | 6.135 × 107 | 3.282 × 106 | 7.050 × 103 | |
| Rank | 5 | 2 | 4 | 3 | 1 | |
| F20 | Mean | 9.231 × 103 | 6.463 × 103 | 6.165 × 103 | 5.747 × 103 | 4.678 × 103 |
| Min | 5.555 × 103 | 2.300 × 103 | 4.389 × 103 | 2.475 × 103 | 2.300 × 103 | |
| Max | 1.129 × 104 | 9.968 × 103 | 1.015 × 104 | 9.513 × 103 | 9.283 × 103 | |
| Std | 1.071 × 103 | 1.958 × 103 | 1.440 × 103 | 1.854 × 103 | 3.017 × 103 | |
| Rank | 5 | 4 | 3 | 2 | 1 | |
| F21 | Mean | 2.697 × 103 | 2.520 × 103 | 2.408 × 103 | 2.388 × 103 | 2.403 × 103 |
| Min | 2.583 × 103 | 2.411 × 103 | 2.373 × 103 | 2.341 × 103 | 2.319 × 103 | |
| Max | 2.838 × 103 | 2.650 × 103 | 2.523 × 103 | 2.436 × 103 | 2.469 × 103 | |
| Std | 5.997 × 101 | 6.193 × 101 | 2.773 × 101 | 2.040 × 101 | 3.968 × 101 | |
| Rank | 5 | 4 | 2 | 1 | 3 | |
| F22 | Mean | 9.247 × 103 | 6.023 × 103 | 6.002 × 103 | 6.264 × 103 | 3.598 × 103 |
| Min | 6.356 × 103 | 2.300 × 103 | 2.731 × 103 | 2.672 × 103 | 2.300 × 103 | |
| Max | 1.083 × 104 | 1.204 × 104 | 1.041 × 104 | 9.926 × 103 | 9.689 × 103 | |
| Std | 1.019 × 103 | 2.548 × 103 | 1.493 × 103 | 2.164 × 103 | 2.650 × 103 | |
| Rank | 5 | 4 | 2 | 3 | 1 | |
| F23 | Mean | 3.363 × 103 | 3.479 × 103 | 2.792 × 103 | 2.757 × 103 | 2.708 × 103 |
| Min | 3.098 × 103 | 3.095 × 103 | 2.726 × 103 | 2.701 × 103 | 2.674 × 103 | |
| Max | 3.869 × 103 | 3.882 × 103 | 2.946 × 103 | 2.895 × 103 | 2.767 × 103 | |
| Std | 1.838 × 102 | 1.772 × 102 | 5.363 × 101 | 3.990 × 101 | 2.849 × 101 | |
| Rank | 4 | 5 | 3 | 2 | 1 | |
| F24 | Mean | 3.533 × 103 | 3.531 × 103 | 2.993 × 103 | 2.947 × 103 | 2.970 × 103 |
| Min | 3.281 × 103 | 3.233 × 103 | 2.899 × 103 | 2.881 × 103 | 2.865 × 103 | |
| Max | 3.856 × 103 | 3.882 × 103 | 3.095 × 103 | 3.092 × 103 | 3.011 × 103 | |
| Std | 1.543 × 102 | 1.353 × 102 | 5.745 × 101 | 5.943 × 101 | 3.716 × 101 | |
| Rank | 4 | 5 | 3 | 1 | 2 | |
| F25 | Mean | 4.003 × 103 | 2.915 × 103 | 3.005 × 103 | 2.960 × 103 | 2.888 × 103 |
| Min | 3.581 × 103 | 2.884 × 103 | 2.930 × 103 | 2.906 × 103 | 2.883 × 103 | |
| Max | 5.042 × 103 | 2.948 × 103 | 3.220 × 103 | 3.044 × 103 | 2.910 × 103 | |
| Std | 3.285 × 102 | 2.514 × 101 | 7.924 × 101 | 3.339 × 101 | 4.344 × 100 | |
| Rank | 5 | 2 | 4 | 3 | 1 | |
| F26 | Mean | 1.005 × 104 | 6.454 × 103 | 4.605 × 103 | 4.554 × 103 | 4.105 × 103 |
| Min | 7.873 × 103 | 2.800 × 103 | 4.114 × 103 | 4.051 × 103 | 3.698 × 103 | |
| Max | 1.259 × 104 | 1.021 × 104 | 5.272 × 103 | 5.723 × 103 | 4.894 × 103 | |
| Std | 1.211 × 103 | 2.659 × 103 | 3.458 × 102 | 3.358 × 102 | 2.572 × 102 | |
| Rank | 5 | 4 | 2 | 3 | 1 | |
| F27 | Mean | 3.833 × 103 | 4.218 × 103 | 3.200 × 103 | 3.200 × 103 | 3.211 × 103 |
| Min | 3.410 × 103 | 3.644 × 103 | 3.200 × 103 | 3.200 × 103 | 3.201 × 103 | |
| Max | 5.619 × 103 | 4.903 × 103 | 3.200 × 103 | 3.200 × 103 | 3.221 × 103 | |
| Std | 4.177 × 102 | 3.348 × 102 | 2.205 × 10−4 | 3.106 × 10−4 | 5.428 × 100 | |
| Rank | 4 | 5 | 2 | 1 | 3 | |
| F28 | Mean | 5.399 × 103 | 3.157 × 103 | 3.315 × 103 | 3.317 × 103 | 3.210 × 103 |
| Min | 4.195 × 103 | 3.100 × 103 | 3.296 × 103 | 3.296 × 103 | 3.100 × 103 | |
| Max | 6.761 × 103 | 3.265 × 103 | 3.474 × 103 | 3.465 × 103 | 3.267 × 103 | |
| Std | 6.843 × 102 | 6.460 × 101 | 4.611 × 101 | 4.549 × 101 | 3.247 × 101 | |
| Rank | 5 | 1 | 3 | 4 | 2 | |
| F29 | Mean | 3.507 × 103 | 3.498 × 103 | 2.987 × 103 | 2.963 × 103 | 2.953 × 103 |
| Min | 3.197 × 103 | 3.312 × 103 | 2.878 × 103 | 2.877 × 103 | 2.860 × 103 | |
| Max | 3.771 × 103 | 3.695 × 103 | 3.111 × 103 | 3.074 × 103 | 2.992 × 103 | |
| Std | 1.371 × 102 | 9.597 × 101 | 6.437 × 101 | 6.320 × 101 | 3.351 × 101 | |
| Rank | 4 | 5 | 3 | 2 | 1 | |
| F30 | Mean | 4.622 × 109 | 1.995 × 104 | 1.353 × 107 | 3.037 × 107 | 8.942 × 103 |
| Min | 6.778 × 107 | 7.843 × 103 | 3.555 × 104 | 1.607 × 104 | 5.375 × 103 | |
| Max | 7.022 × 1010 | 4.219 × 104 | 2.789 × 108 | 3.440 × 108 | 1.593 × 104 | |
| Std | 1.505 × 1010 | 7.370 × 103 | 5.074 × 107 | 7.612 × 107 | 3.023 × 103 | |
| Rank | 5 | 2 | 3 | 4 | 1 | |
| Mean rank | 4.883 | 3.183 | 3.117 | 2.316 | 1.500 | |
| Final rank | 5 | 4 | 3 | 2 | 1 | |
| Functions | CS-GWO–PSO | CS-GWO–WOA | CS-GWO–GWO | CS-GWO–CSO | ||||
|---|---|---|---|---|---|---|---|---|
| t-Value | Sig. (2-Tailed) | t-Value | Sig. (2-Tailed) | t-Value | Sig. (2-Tailed) | t-Value | Sig. (2-Tailed) | |
| F1 | −1.898 × 101 | 6.748 × 10−18 | 2.413 × 100 | 2.236 × 10−2 | −8.712 × 100 | 1.367 × 10−9 | −9.427 × 100 | 2.472 × 10−10 |
| F2 | −3.355 × 101 | 9.349 × 10−25 | −1.603 × 101 | 6.012 × 10−16 | −7.118 × 100 | 7.828 × 10−8 | −7.771 × 100 | 1.434 × 10−8 |
| F3 | −3.733 × 101 | 4.521 × 10−26 | −1.447 × 101 | 8.498 × 10−15 | −2.535 × 100 | 1.688 × 10−2 | −4.732 × 100 | 5.343 × 10−5 |
| F4 | −1.361 × 101 | 4.016 × 10−14 | 5.103 × 100 | 1.907 × 10−5 | −6.128 × 100 | 1.122 × 10−6 | −5.836 × 100 | 2.499 × 10−6 |
| F5 | −2.913 × 101 | 5.005 × 10−23 | −1.207 × 101 | 7.880 × 10−13 | −2.016 × 100 | 5.320 × 10−2 | −4.119 × 100 | 2.892 × 10−4 |
| F6 | −4.482 × 101 | 2.469 × 10−28 | −2.925 × 101 | 4.471 × 10−23 | −1.638 × 101 | 3.381 × 10−16 | −1.711 × 101 | 1.078 × 10−16 |
| F7 | −4.000 × 101 | 6.363 × 10−27 | −1.717 × 101 | 9.852 × 10−17 | −1.211 × 100 | 2.358 × 10−1 | −1.954 × 100 | 6.035 × 10−2 |
| F8 | −1.977 × 101 | 2.240 × 10−18 | −6.441 × 100 | 4.791 × 10−7 | −2.143 × 100 | 4.061 × 10−2 | −3.119 × 100 | 4.073 × 10−3 |
| F9 | −2.915 × 101 | 4.917 × 10−23 | −1.070 × 101 | 1.390 × 10−11 | −8.638 × 100 | 1.639 × 10−9 | −9.730 × 100 | 1.224 × 10−10 |
| F10 | −4.268 × 100 | 1.926 × 10−4 | 3.982 × 100 | 4.199 × 10−4 | 1.263 × 101 | 2.564 × 10−13 | 7.920 × 100 | 9.815 × 10−9 |
| F11 | −1.744 × 101 | 6.491 × 10−17 | −6.545 × 100 | 3.613 × 10−7 | −4.355 × 100 | 1.517 × 10−4 | −5.824 × 100 | 2.584 × 10−6 |
| F12 | −3.827 × 100 | 6.381 × 10−4 | 2.057 × 100 | 4.877 × 10−2 | −3.849 × 100 | 6.013 × 10−4 | −5.683 × 100 | 3.811 × 10−6 |
| F13 | −1.855 × 100 | 7.384 × 10−2 | −1.045 × 100 | 3.045 × 10−1 | −1.014 × 100 | 3.188 × 10−1 | −2.002 × 100 | 5.470 × 10−2 |
| F14 | −2.698 × 100 | 1.150 × 10−2 | 2.856 × 100 | 7.859 × 10−3 | −2.508 × 100 | 1.800 × 10−2 | −4.504 × 100 | 1.004 × 10−4 |
| F15 | −2.870 × 100 | 7.579 × 10−3 | −2.481 × 100 | 1.915 × 10−2 | −1.445 × 100 | 1.592 × 10−1 | −2.437 × 100 | 2.118 × 10−2 |
| F16 | −6.619 × 100 | 2.964 × 10−7 | −5.076 × 100 | 2.056 × 10−5 | −3.658 × 10−1 | 7.172 × 10−1 | −1.120 × 100 | 2.720 × 10−1 |
| F17 | −1.250 × 101 | 3.371 × 10−13 | −9.608 × 100 | 1.622 × 10−10 | −2.962 × 100 | 6.043 × 10−3 | −4.194 × 100 | 2.354 × 10−4 |
| F18 | −1.801 × 101 | 2.752 × 10−17 | −1.777 × 101 | 3.930 × 10−17 | −4.058 × 100 | 3.412 × 10−4 | −4.287 × 100 | 1.828 × 10−4 |
| F19 | −1.886 × 100 | 6.940 × 10−2 | −1.182 × 100 | 2.468 × 10−1 | −4.709 × 100 | 5.685 × 10−5 | −1.200 × 100 | 2.399 × 10−1 |
| F20 | −7.822 × 100 | 1.258 × 10−8 | −2.627 × 100 | 1.363 × 10−2 | −1.677 × 100 | 1.042 × 10−1 | −2.327 × 100 | 2.715 × 10−2 |
| F21 | −2.256 × 101 | 6.096 × 10−20 | −8.681 × 100 | 1.476 × 10−9 | 1.939 × 100 | 6.226 × 10−2 | −6.014 × 10−1 | 5.523 × 10−1 |
| F22 | −1.092 × 101 | 8.593 × 10−12 | −3.382 × 100 | 2.076 × 10−3 | −4.182 × 100 | 2.434 × 10−4 | −4.385 × 100 | 1.395 × 10−4 |
| F23 | −1.887 × 101 | 7.868 × 10−18 | −2.395 × 101 | 1.174 × 10−20 | −5.113 × 100 | 1.853 × 10−5 | −7.663 × 100 | 1.895 × 10−8 |
| F24 | −1.967 × 101 | 2.579 × 10−18 | −2.128 × 101 | 3.048 × 10−19 | 2.003 × 100 | 5.460 × 10−2 | −2.219 × 100 | 3.446 × 10−2 |
| F25 | −1.859 × 101 | 1.176 × 10−17 | −5.979 × 100 | 1.688 × 10−6 | −1.154 × 101 | 2.322 × 10−12 | −8.043 × 100 | 7.194 × 10−9 |
| F26 | −2.662 × 101 | 6.231 × 10−22 | −4.748 × 100 | 5.111 × 10−5 | −6.544 × 100 | 3.618 × 10−7 | −6.443 × 100 | 4.764 × 10−7 |
| F27 | −8.182 × 100 | 5.069 × 10−9 | −1.640 × 101 | 3.285 × 10−16 | 1.129 × 101 | 3.900 × 10−12 | 1.129 × 101 | 3.902 × 10−12 |
| F28 | −1.764 × 101 | 4.810 × 10−17 | 4.099 × 100 | 3.058 × 10−4 | −1.060 × 101 | 1.737 × 10−11 | −9.310 × 100 | 3.254 × 10−10 |
| F29 | −2.047 × 101 | 8.731 × 10−19 | −2.666 × 101 | 6.021 × 10−22 | −6.827 × 10−1 | 5.002 × 10−1 | −2.368 × 100 | 2.476 × 10−2 |
| F30 | −1.682 × 100 | 1.033 × 10−1 | −7.369 × 100 | 4.050 × 10−8 | −2.184 × 100 | 3.718 × 10−2 | −1.460 × 100 | 1.550 × 10−1 |
| Functions | CS-GWO vs. PSO | CS-GWO vs. WOA | ||||||
|---|---|---|---|---|---|---|---|---|
| p-Value | R+ | R− | Winner | p-Value | R+ | R− | Winner | |
| F1 | 1.734 × 10−6 | 0 | 465 | + | 6.564 × 10−2 | 322 | 143 | = |
| F2 | 1.734 × 10−6 | 0 | 465 | + | 1.734 × 10−6 | 0 | 465 | + |
| F3 | 1.734 × 10−6 | 0 | 465 | + | 1.734 × 10−6 | 0 | 465 | + |
| F4 | 1.734 × 10−6 | 0 | 465 | + | 2.163 × 10−5 | 439 | 26 | − |
| F5 | 1.734 × 10−6 | 0 | 465 | + | 1.921 × 10−6 | 1 | 464 | + |
| F6 | 1.734 × 10−6 | 0 | 465 | + | 1.734 × 10−6 | 0 | 465 | + |
| F7 | 1.734 × 10−6 | 0 | 465 | + | 1.734 × 10−6 | 0 | 465 | + |
| F8 | 1.734 × 10−6 | 0 | 465 | + | 2.843 × 10−5 | 29 | 436 | + |
| F9 | 1.734 × 10−6 | 0 | 465 | + | 1.734 × 10−6 | 0 | 465 | + |
| F10 | 5.287 × 10−4 | 64 | 401 | + | 9.627 × 10−4 | 393 | 72 | − |
| F11 | 1.734 × 10−6 | 0 | 465 | + | 1.238 × 10−5 | 20 | 445 | + |
| F12 | 1.734 × 10−6 | 0 | 465 | + | 8.972 × 10−2 | 315 | 150 | + |
| F13 | 1.734 × 10−6 | 0 | 465 | + | 1.589 × 10−1 | 164 | 301 | = |
| F14 | 3.182 × 10−6 | 6 | 459 | + | 1.150 × 10−4 | 420 | 45 | − |
| F15 | 1.734 × 10−6 | 0 | 465 | + | 3.609 × 10−3 | 91 | 374 | + |
| F16 | 1.734 × 10−6 | 0 | 465 | + | 5.307 × 10−5 | 36 | 429 | + |
| F17 | 1.734 × 10−6 | 0 | 465 | + | 2.879 × 10−6 | 5 | 460 | + |
| F18 | 1.734 × 10−6 | 0 | 465 | + | 1.734 × 10−6 | 0 | 465 | + |
| F19 | 1.734 × 10−6 | 0 | 465 | + | 1.470 × 10−1 | 162 | 303 | = |
| F20 | 5.216 × 10−6 | 11 | 454 | + | 1.480 × 10−2 | 114 | 351 | + |
| F21 | 1.734 × 10−6 | 0 | 465 | + | 1.734 × 10−6 | 0 | 465 | + |
| F22 | 2.353 × 10−6 | 3 | 462 | + | 3.379 × 10−3 | 90 | 375 | + |
| F23 | 1.734 × 10−6 | 0 | 465 | + | 1.734 × 10−6 | 0 | 465 | + |
| F24 | 1.734 × 10−6 | 0 | 465 | + | 1.734 × 10−6 | 0 | 465 | + |
| F25 | 1.734 × 10−6 | 0 | 465 | + | 1.359 × 10−4 | 47 | 418 | + |
| F26 | 1.734 × 10−6 | 0 | 465 | + | 2.613 × 10−4 | 55 | 410 | + |
| F27 | 1.734 × 10−6 | 0 | 465 | + | 1.734 × 10−6 | 0 | 465 | + |
| F28 | 1.734 × 10−6 | 0 | 465 | + | 6.639 × 10−4 | 398 | 67 | − |
| F29 | 1.734 × 10−6 | 0 | 465 | + | 1.734 × 10−6 | 0 | 465 | + |
| F30 | 1.734 × 10−6 | 0 | 465 | + | 4.286 × 10−6 | 9 | 456 | + |
| +/=/− | 30/0/0 | 23/3/4 | ||||||
| Functions | CS-GWO vs. GWO | CS-GWO vs. CSO | ||||||
| p-Value | R+ | R− | winner | p-Value | R+ | R− | winner | |
| F1 | 1.734 × 10−6 | 0 | 465 | + | 1.734 × 10−6 | 0 | 465 | + |
| F2 | 3.182 × 10−6 | 6 | 459 | + | 1.127 × 10−5 | 19 | 446 | + |
| F3 | 1.359 × 10−4 | 47 | 418 | + | 3.327 × 10−2 | 129 | 336 | + |
| F4 | 1.921 × 10−6 | 1 | 464 | + | 3.882 × 10−6 | 8 | 457 | + |
| F5 | 4.196 × 10−4 | 61 | 404 | + | 7.190 × 10−2 | 145 | 320 | = |
| F6 | 1.734 × 10−6 | 0 | 465 | + | 1.734 × 10−6 | 0 | 465 | + |
| F7 | 1.470 × 10−1 | 162 | 303 | = | 4.779 × 10−1 | 198 | 267 | = |
| F8 | 8.217 × 10−3 | 104 | 361 | + | 3.872 × 10−2 | 132 | 333 | + |
| F9 | 1.734 × 10−6 | 0 | 465 | + | 1.734 × 10−6 | 0 | 465 | + |
| F10 | 1.238 × 10−5 | 445 | 20 | − | 2.879 × 10−6 | 460 | 5 | − |
| F11 | 1.734 × 10−6 | 0 | 465 | + | 1.734 × 10−6 | 0 | 465 | + |
| F12 | 1.734 × 10−6 | 0 | 465 | + | 1.734 × 10−6 | 0 | 465 | + |
| F13 | 1.734 × 10−6 | 0 | 465 | + | 1.734 × 10−6 | 0 | 465 | + |
| F14 | 6.892 × 10−5 | 39 | 426 | + | 7.865 × 10−2 | 147 | 318 | = |
| F15 | 1.734 × 10−6 | 0 | 465 | + | 1.734 × 10−6 | 0 | 465 | + |
| F16 | 3.709 × 10−1 | 189 | 276 | = | 7.813 × 10−1 | 219 | 246 | = |
| F17 | 3.065 × 10−4 | 57 | 408 | + | 1.319 × 10−2 | 112 | 353 | + |
| F18 | 6.156 × 10−4 | 66 | 399 | + | 3.589 × 10−4 | 59 | 406 | + |
| F19 | 1.734 × 10−6 | 0 | 465 | + | 1.734 × 10−6 | 0 | 465 | + |
| F20 | 2.564 × 10−2 | 124 | 341 | + | 1.986 × 10−1 | 170 | 295 | = |
| F21 | 7.971 × 10−1 | 245 | 220 | = | 4.950 × 10−2 | 328 | 137 | − |
| F22 | 6.156 × 10−4 | 66 | 399 | + | 1.484 × 10−3 | 78 | 387 | + |
| F23 | 2.879 × 10−6 | 5 | 460 | + | 3.405 × 10−5 | 31 | 434 | + |
| F24 | 5.984 × 10−2 | 141 | 324 | = | 3.872 × 10−2 | 333 | 132 | − |
| F25 | 1.734 × 10−6 | 0 | 465 | + | 1.734 × 10−6 | 0 | 465 | + |
| F26 | 3.112 × 10−5 | 30 | 435 | + | 4.286 × 10−6 | 9 | 456 | + |
| F27 | 1.734 × 10−6 | 465 | 0 | − | 1.734 × 10−6 | 465 | 0 | − |
| F28 | 1.734 × 10−6 | 0 | 465 | + | 1.734 × 10−6 | 0 | 465 | + |
| F29 | 7.190 × 10−2 | 145 | 320 | = | 8.130 × 10−1 | 221 | 244 | = |
| F30 | 1.734 × 10−6 | 465 | 0 | − | 1.734 × 10−6 | 465 | 0 | − |
| +/=/− | 22/5/3 | +/=/− | 19/6/5 | |||||
| Prediction Model | RMSE/MW | MAE/MW | SMAPE | R2 |
|---|---|---|---|---|
| DA-BiGRU | 29.053 | 22.897 | 3.566 | 0.937 |
| PSO-DA-BiGRU | 28.546 | 22.285 | 3.519 | 0.939 |
| WOA-DA-BiGRU | 28.209 | 22.221 | 3.471 | 0.941 |
| GWO-DA-BiGRU | 27.895 | 22.162 | 3.545 | 0.942 |
| CSO-DA-BiGRU | 27.194 | 21.255 | 3.347 | 0.945 |
| CS-GWO-DA-BiGRU | 26.144 | 20.963 | 3.337 | 0.949 |
Disclaimer/Publisher’s Note: The statements, opinions and data contained in all publications are solely those of the individual author(s) and contributor(s) and not of MDPI and/or the editor(s). MDPI and/or the editor(s) disclaim responsibility for any injury to people or property resulting from any ideas, methods, instructions or products referred to in the content. |
© 2023 by the authors. Licensee MDPI, Basel, Switzerland. This article is an open access article distributed under the terms and conditions of the Creative Commons Attribution (CC BY) license (https://creativecommons.org/licenses/by/4.0/).
Share and Cite
Gong, R.; Li, X. A Short-Term Load Forecasting Model Based on Crisscross Grey Wolf Optimizer and Dual-Stage Attention Mechanism. Energies 2023, 16, 2878. https://doi.org/10.3390/en16062878
Gong R, Li X. A Short-Term Load Forecasting Model Based on Crisscross Grey Wolf Optimizer and Dual-Stage Attention Mechanism. Energies. 2023; 16(6):2878. https://doi.org/10.3390/en16062878
Chicago/Turabian StyleGong, Renxi, and Xianglong Li. 2023. "A Short-Term Load Forecasting Model Based on Crisscross Grey Wolf Optimizer and Dual-Stage Attention Mechanism" Energies 16, no. 6: 2878. https://doi.org/10.3390/en16062878
APA StyleGong, R., & Li, X. (2023). A Short-Term Load Forecasting Model Based on Crisscross Grey Wolf Optimizer and Dual-Stage Attention Mechanism. Energies, 16(6), 2878. https://doi.org/10.3390/en16062878
