A Misalignment Tolerate Integrated S-S-S-Compensated WPT System with Constant Current Output
Abstract
:1. Introduction
- (1)
- A cooperative coil based on a quadruple D-pad is proposed. The cooperative coil is integrated into the primary side to provide a cooperative effect that allows the cooperating coil to participate in system energy transfer under well-aligned and misaligned conditions, thereby improving misalignment tolerance and transfer efficiency. Based on the Delta-Wye network transform, the compensation method to achieve the ZPA input and load-independent CC output is analyzed.
- (2)
- A novel design method for the misalignment tolerance is proposed based on linear regression. The output current and system efficiency can be maintained under both x- and y-misalignments.
2. Analysis and Design of ZPA Input and CC Output of Cooperative Coil
2.1. Analysis and Design of ZPA Input and CC Output
2.2. Compensation Capacitance of Cooperative Coil
3. Analysis and Design of the Cooperative Coil with High Misalignment Tolerance
3.1. Analysis of Misalignment Tolerance
- (1)
- Within a reasonable misalignment range, the trends of and versus the misalignment should be opposite to achieve a stable .
- (2)
- To limit the current and reduce the power loss of the Cx coil and to obtain a larger power transfer efficiency, p should be appropriately large.
- (3)
- To achieve a high misalignment tolerance, the maximum variation of should be minimized within the misalignment range.
3.2. Design of Coupler Coils
- (1)
- Within 50% of the length of the Rx coil misalignment, to achieve the increasing as the misalignment increases, the centers of the Cx1, Cx2, Cx3, and Tx4 coils are aligned with the outer boundary of the Rx coil, respectively, i.e., mm, mm.
- (2)
- and combine to a nested parametric sweep, where is the inner sweep increasing from 4 to 10 by a step size of 2. By setting 50% of the length of the Rx coil misalignment tolerant range and increasing from 2 to 10 by a step size of 2, and are obtained to calculate p based on (16). The design outputs all the values of and selected by .
3.3. Comparison between the Two-Coil and the Proposed Three-Coil Systems
4. Experimental Study
4.1. Experimental Validation of the Efficiency Improvement
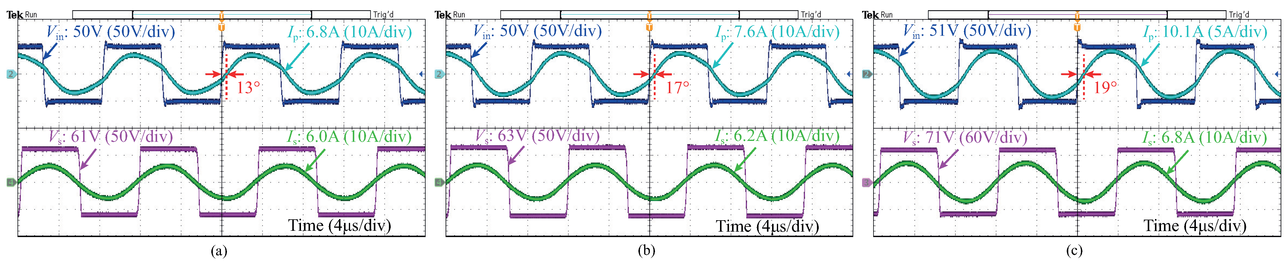
4.2. Experimental Validation of the Misalignment Tolerance
4.3. Performance of the WPT System with Load Variation
4.4. Comparison with Other Methods
5. Conclusions
Author Contributions
Funding
Institutional Review Board Statement
Informed Consent Statement
Data Availability Statement
Conflicts of Interest
References
- Feng, H.; Tavakoli, R.; Onar, O.C.; Pantic, Z. Advances in High-Power Wireless Charging Systems: Overview and Design Considerations. IEEE Trans. Transp. Electrif. 2020, 6, 886–919. [Google Scholar] [CrossRef]
- Zhang, Z.; Pang, H.L.; Georgiadis, A.; Cecati, C. Wireless Power Transfer-An Overview. IEEE Trans. Ind. Electron. 2019, 66, 1044–1058. [Google Scholar] [CrossRef]
- Wang, J.; Chen, R.; Cai, C.; Zhang, J.; Wang, C. An Onboard Magnetic Integration Based WPT System for UAV Misalignment-Tolerant Charging with Constant Current Output. IEEE Trans. Transp. Electrif. 2022, 9, 1973–1984. [Google Scholar] [CrossRef]
- Yuan, H.; Liang, C.; Zhang, R.; Ruan, Z.; Zhou, Z.; Yang, A.; Wang, X.; Rong, M. A Novel Anti-offset Interdigital Electrode Capacitive Coupler for Mobile Desktop Charging. IEEE Trans. Power Electron 2022, 38, 4140–4151. [Google Scholar] [CrossRef]
- Vu, V.B.; Ramezani, A.; Triviño, A.; González-González, J.M.; Kadandani, N.B.; Dahidah, M.; Pickert, V.; Narimani, M.; Aguado, J. Operation of Inductive Charging Systems under Misalignment Conditions: A Review for Electric Vehicles. IEEE Trans. Transp. Electrif. 2022, 9, 1857–1887. [Google Scholar] [CrossRef]
- Lee, Y.D.; Kim, K.W.; Moon, G.W. A Self-Compensated Planar Coil with Integrated Single-Switch Regulator for Wireless Power Transfer (WPT) Systems. IEEE Trans. Power Electron. 2021, 36, 10954–10958. [Google Scholar] [CrossRef]
- Kim, M.; Joo, D.M.; Lee, B.K. Design and Control of Inductive Power Transfer System for Electric Vehicles Considering Wide Variation of Output Voltage and Coupling Coefficient. IEEE Trans. Power Electron. 2019, 34, 1197–1208. [Google Scholar] [CrossRef]
- Zhang, Q.; Zhang, X.; Li, W.; Hu, T.; Wang, Y.; Shen, S. New Control Method for Receiver-side DC-DC Converter with Large Stability Margin and Fluctuation Suppression Towards DWPT System. IEEE Trans. Ind. Electron. 2022, 1–10. [Google Scholar] [CrossRef]
- Yan, Z.; Yang, B.; Liu, H.; Chen, C.; Waqas, M.; Mai, R.; He, Z. Efficiency Improvement of Wireless Power Transfer Based on Multitransmitter System. IEEE Trans. Power Electron. 2020, 35, 9011–9023. [Google Scholar] [CrossRef]
- Deng, J.; Mao, Q.; Wang, W.; Li, L.; Wang, Z.; Wang, S.; Guidiet, G. Frequency and Parameter Combined Tuning Method of LCC-LCC Compensated Resonant Converter with Wide Coupling Variation for EV Wireless Charger. IEEE Trans. Emerg. Sel. Topics Power Electron. 2022, 10, 956–968. [Google Scholar] [CrossRef]
- Yang, L.; Shi, Y.; Wang, M.; Ren, L. Constant Voltage Charging and Maximum Efficiency Tracking for WPT Systems Employing Dual-Side Control Scheme. IEEE Trans. Emerg. Sel. Top. Power Electron. 2022, 10, 945–955. [Google Scholar] [CrossRef]
- Mai, R.; Liu, Y.; Li, Y.; Yue, P.; Cao, G.; He, Z. An Active-Rectifier-Based Maximum Efficiency Tracking Method Using an Additional Measurement Coil for Wireless Power Transfer. IEEE Trans. Power Electron. 2018, 33, 716–728. [Google Scholar] [CrossRef]
- Jiang, Y.; Wang, L.; Fang, J.; Li, R.; Han, R.; Wang, Y. A High-Efficiency ZVS Wireless Power Transfer System for Electric Vehicle Charging with Variable Angle Phase Shift Control. IEEE Trans. Emerg. Sel. Top. Power Electron. 2021, 9, 2356–2372. [Google Scholar] [CrossRef]
- Liu, Y.; Madawala, U.K.; Mai, R.; He, Z. An Optimal Multivariable Control Strategy for Inductive Power Transfer Systems to Improve Efficiency. IEEE Trans. Power Electron. 2020, 35, 8998–9010. [Google Scholar] [CrossRef]
- Hsieh, H.C.; Nguyen, A.D.; Lai, J.S. Output Regulation With Integrated SR Switch Duty Cycle Control for Wireless Power Transfer Systems. IEEE Trans. Emerg. Sel. Top. Power Electron. 2022, 10, 3161–3169. [Google Scholar] [CrossRef]
- Guo, Y.; Zhang, Y.; Zhang, W.; Wang, L. Battery Parameter Identification Based on Wireless Power Transfer System with Rectifier Load. IEEE Trans. Ind. Electron. 2021, 68, 6893–6904. [Google Scholar] [CrossRef]
- Luo, S.; Yao, Z.; Zhang, Z.; Li, G.; Zhang, X.; Ma, H. A Dual Shunt Inductor Compensated IPT System with Nearly Unity Power Factor for Wide Load Range and Misalignment Tolerance. IEEE Trans. Ind. Electron. 2022, 69, 10001–10013. [Google Scholar] [CrossRef]
- Zhao, L.; Thrimawithana, D.J.; Madawala, U.K.; Hu, A.P.; Mi, C.C. A Misalignment-Tolerant Series-Hybrid Wireless EV Charging System with Integrated Magnetics. IEEE Trans. Power Electron. 2019, 34, 1276–1285. [Google Scholar] [CrossRef]
- Ji, L.; Wang, L.; Liao, C.; Li, S.; Ma, J. Research and design of automatic alternation between constant-current and constant-voltage modes on the secondary side in wireless charging systems. IET Electr. Power Appl. 2020, 14, 1119–1126. [Google Scholar] [CrossRef]
- Liu, S.; Li, X.; Yang, L. Three-coil structure-based WPT system design for electric bike CC and CV charging without communication. IET Electr. Power Appl. 2019, 13, 1318–1327. [Google Scholar] [CrossRef]
- Li, Y.; Hu, J.; Li, X.; Mai, R.; Li, Z.; Liu, M.; He, Z. Efficiency Analysis and Optimization Control for Input-Parallel Output-Series Wireless Power Transfer Systems. IIEEE Trans. Power Electron. 2020, 35, 1074–1085. [Google Scholar] [CrossRef]
- Wang, F.; Zhang, W.; Ye, L.; Guo, J.; Liu, K.; Do, H.T. A Design Method to Implement ZVS for Electric Vehicle Wireless Charging System with Double-Side LCC Compensation. IEEE Trans. Emerg. Sel. Top. Power Electron. 2021, 9, 3791–3801. [Google Scholar] [CrossRef]
- Gao, W.; Jiang, L.; Chen, Q.; Ren, X.; Zhang, Z.; Wong, S. Analysis and Design of an Integrated LCL-S Contactless Resonant Converter. In Proceedings of the IEEE Conference on Applied Power Electronics Conference and Exposition, San Antonio, TX, USA, 4–8 March 2018; pp. 3178–3182. [Google Scholar]
- Yao, Y.; Wang, Y.; Liu, X.; Lin, F.; Xu, D. A Novel Parameter Tuning Method for a Double-Sided LCL Compensated WPT System with Better Comprehensive Performance. IIEEE Trans. Power Electron. 2018, 33, 8525–8536. [Google Scholar] [CrossRef]
- Wang, Y.; Liu, W.; Huangfu, Y. A Primary-Sided CLC Compensated Wireless Power Transfer System Based on the Class D Amplifier. In Proceedings of the IECON 2018—44th Annual Conference of the IEEE Industrial Electronics Society, Washington, DC, USA, 21–23 October 2018; pp. 943–947. [Google Scholar]
- Li, Y.; Hu, J.; Liu, M.; Chen, Y.; Chan, K.W.; He, Z.; Mai, R. Reconfigurable Intermediate Resonant Circuit Based WPT System with Load-Independent Constant Output Current and Voltage for Charging Battery. IEEE Trans. Power Electron. 2019, 34, 1988–1992. [Google Scholar] [CrossRef]
- Li, G.; Yao, Z.; Luo, S.; Ma, H. A Hybrid IPT System Implementing Misalignment Tolerance and Constant Current Output with Primary Intermediate Coil. IEEE Trans. Emerg. Sel. Top. Power Electron. 2022, 10, 7797–7807. [Google Scholar] [CrossRef]
- Wang, H.; Cheng, K.W.E.; Li, X.; Hu, J. A Special Magnetic Coupler Structure for Three-Coil Wireless Power Transfer: Analysis, Design, and Experimental Verification. IEEE Trans. Magn. 2021, 57, 1–8. [Google Scholar] [CrossRef]
- Luo, Z.; Nie, S.; Pathmanathan, M.; Lehn, P.W. Exciter-Quadrature-Repeater Transmitter for Wireless Electric Vehicle Charging with High Lateral Misalignment Tolerance and Low EMF Emission. IEEE Trans. Transp. Electrif. 2021, 7, 2156–2167. [Google Scholar] [CrossRef]
- Yang, L.; Ren, L.; Shi, Y.; Wang, M.; Geng, Z. Analysis and Design of a S/S/P-Compensated Three-coil Structure WPT System with Constant Current and Constant Voltage Output. IEEE Trans. Emerg. Sel. Top. Power Electron. 2022. [Google Scholar] [CrossRef]
- Tran, D.H.; Vu, V.B.; Choi, W. Design of a High-Efficiency Wireless Power Transfer System with Intermediate Coils for the On-Board Chargers of Electric Vehicles. IEEE Trans. Power Electron. 2018, 33, 175–187. [Google Scholar] [CrossRef]
- Darvish, P.; Mekhilef, S.; Illias, H.A.B. A Novel S-S-LCLCC Compensation for Three-Coil WPT to Improve Misalignment and Energy Efficiency Stiffness of Wireless Charging System. IEEE Trans. Power Electron. 2021, 36, 1341–1355. [Google Scholar] [CrossRef]
- Huang, S.J.; Lee, T.S.; Yang, Y.M.; Chen, J.Y. Intermediate Coil-Aided Wireless Charging Via Interactive Power Transmitting With Misalignment-Tolerating Considerations. IEEE Trans. Ind. Electron. 2022, 69, 9972–9983. [Google Scholar] [CrossRef]
- Yao, Y.; Ibrahim, A.U.; Zhong, W. A Three-Resonator Wireless Power Transfer System With Constant-Output Feature Within a Misalignment Range. IEEE Trans. Power Electron. 2022, 37, 15753–15763. [Google Scholar] [CrossRef]
- Zhang, X.; Ho, S.L.; Fu, W.N. Quantitative Design and Analysis of Relay Resonators in Wireless Power Transfer System. IEEE Trans. Magn. 2012, 48, 4026–4029. [Google Scholar] [CrossRef]
- Ahn, D.; Hong, S. A Study on Magnetic Field Repeater in Wireless Power Transfer. IEEE Trans. Ind. Electron. 2013, 60, 360–371. [Google Scholar] [CrossRef]
- Lee, K.; Chae, S.H. Power Transfer Efficiency Analysis of Intermediate-Resonator for Wireless Power Transfer. IEEE Trans. Power Electron. 2018, 33, 2484–2493. [Google Scholar] [CrossRef]
- Oh, K.-K. Design and voltage regulation of inductively coupled wireless power transfer circuits with an intermediate coil. IET Power Electron. 2019, 12, 3488–3498. [Google Scholar] [CrossRef]
- Dalal, A.; Joy, T.P.E.R.; Kumar, P. Mutual inductance computation method for coils of different geometries and misalignments. In Proceedings of the 2015 IEEE Power & Energy Society General Meeting, Denver, CO, USA, 26–30 July 2015; p. 15502306. [Google Scholar]
- Zierhofer, C.M.; Hochmair, E.S. Geometric approach for coupling enhancement of magnetically coupled coils. IEEE. Trans. Biomed. Eng. 1996, 43, 708–714. [Google Scholar] [CrossRef]














| Result | p | ||||||
|---|---|---|---|---|---|---|---|
| #1 | 4 | 4 | 358 mm | 2.7605 | 9.49 H | 18.41 H | 1.87 H |
| #2 | 4 | 6 | 358 mm | 2.3904 | 9.49 H | 22.65 H | 2.28 H |
| #3 | 4 | 8 | 358 mm | 1.7928 | 9.49 H | 30.20 H | 3.04 H |
| #4 | 6 | 8 | 334 mm | 2.9131 | 14.54 H | 50.80 H | 3.04 H |
| #5 | 4 | 10 | 358 mm | 1.4342 | 9.49 H | 37.35 H | 3.80 H |
| #6 | 6 | 10 | 334 mm | 2.3304 | 14.54 H | 52.22 H | 3.80 H |
| Parameter | Description | Value |
|---|---|---|
| DC power supply | 50 V | |
| f | Resonant frequency | 85.85 kHz |
| h | Air gap | 150 mm |
| Load resistance | 15 | |
| p | Factor | 1.8864 |
| Number of turns of the Tx coil | 6 | |
| Number of turns of the Rx coil | 20 | |
| Number of turns of the CX coil | 10 | |
| Outer length of the Tx coil | 400 mm | |
| Inner length of the Tx coil | 334 mm | |
| Outer length of the Rx coil | 300 mm | |
| Inner length of the Rx coil | 120 mm | |
| Outer length of the Cx coil | 300 mm | |
| Inner length of the Cx coil | 240 mm | |
| Outer length of the Cx coil | 100 mm | |
| Inner length of the Cx coil | 40 mm | |
| Outer length of the Rx coil | 424 mm | |
| Inner length of the Rx coil | 318 mm | |
| Inductance of the Tx coil | 50.21 H | |
| Inductance of the Rx coil | 193.04 H | |
| Inductance of the Cx coil | 140.02 H | |
| Mutual inductance between the Tx and Cx coils | 44.44 H | |
| Mutual inductance between the Tx and Rx coils | 14.45 H | |
| Mutual inductance between the Rx and Cx coils | 2.28 H | |
| Equivalent mutual inductance | 18.76 H | |
| Compensation capacitance of the Tx coil | 34.35 nF | |
| Compensation capacitance of the Rx coil | 19.39 nF | |
| Compensation capacitance of the Cx coil | 18.10 nF |
| Parameter | Description | Value |
|---|---|---|
| DC power supply | 44.5 V | |
| f | Resonant frequency | 83.55 kHz |
| h | Air-gap | 150 mm |
| Load resistance | 15 | |
| Number of turns of the Tx coil | 16 | |
| Number of turns of the Rx coil | 20 | |
| Inductance of the Tx coil | 281.75 H | |
| Inductance of the Rx coil | 193.15 H | |
| Mutual inductance between the Tx and Rx coils | 17.08 H | |
| Compensation capacitance of the Tx coil | 12.44 nF | |
| Compensation capacitance of the Rx coil | 19.39 nF |
| Parameter | Description | Value |
|---|---|---|
| DC power supply | 45.5 V | |
| f | Resonant frequency | 85.48 kHz |
| h | Air gap | 150 mm |
| Load resistance | 15 | |
| Number of turns of the Tx coil | 6 | |
| Number of turns of the Rx coil | 20 | |
| Inductance of the Tx coil | 50.21 H | |
| Inductance of the Rx coil | 193.15 H | |
| Compensation inductaor in the primary side | 9.83 H | |
| Mutual inductance between the Tx and Rx coils | 14.54 H | |
| Compensation capacitance of the Tx coil | 85.49 nF | |
| Compensation capacitance of the Tx coil | 364.09 nF | |
| Compensation capacitance of the Rx coil | 18.01 nF |
| Items | Maximum Coil Size/Diameter (mm) | Air-Gap (mm) | Input Characteristic | Output Type | Efficiency | Misalignment Tolerant Range (mm) (% of the Maximum Coil Size) | Cross-Coupling |
|---|---|---|---|---|---|---|---|
| [26] | 150 × 150 | 200 | ZPA | CC/CV | 92.25% | N/A | Decoupled |
| [27] | 600 × 600 | 150 | ZPA | CC | 96.7% | x-misalignment: −80∼+60 (13.3%) y-misalignment: ±300 (50%) z-misalignment: −30∼+60 | Decoupled |
| [28] | 400 × 400 | 140 | ZVS | CV | 83.3% | x-misalignment: ±100 (25%) y-misalignment: N/A z-misalignment: N/A | Decoupled |
| [29] | 645 × 410 | 200 | ZPA | CC | 90.7% coil-to-coil | x-misalignment: ±150 (23.3%) y-misalignment: N/A z-misalignment: N/A | Decoupled |
| [30] | 300 × 300 | 65 | ZPA | CC/CV | 96% | x-misalignment: ±50 (16.7%) y-misalignment: ±50 (16.7%) z-misalignment: N/A | Not decoupled |
| [31] | 720 diameter | 200 | ZPA | CC/CV | 97.08% | x-misalignment: ±200 (27.8%) y-misalignment: ±200 (27.8%) z-misalignment: +100 | Not decoupled |
| [32] | 400 diameter | 200 | ZPA | CC/CV | 91.2% | Not provide | Decoupled |
| [33] | 400 diameter | 100 | ZPA | CV | 90.11% | x-misalignment: ±100 (25%) y-misalignment: ±100 (25%) z-misalignment: −50∼+40 | Not decoupled |
| [34] | 350 diameter | 175 | ZPA | CP | 94.47% | x-misalignment: ±100 (28.6%) y-misalignment: ±100 (28.6%) z-misalignment: N/A | Not decoupled |
| This work | 400 × 400 | 150 | ZPA | CC | 86.21% | x-misalignment: ±150 (37.5%) y-misalignment: ±150 (37.5%) z-misalignment: N/A | Not decoupled |
Disclaimer/Publisher’s Note: The statements, opinions and data contained in all publications are solely those of the individual author(s) and contributor(s) and not of MDPI and/or the editor(s). MDPI and/or the editor(s) disclaim responsibility for any injury to people or property resulting from any ideas, methods, instructions or products referred to in the content. |
© 2023 by the authors. Licensee MDPI, Basel, Switzerland. This article is an open access article distributed under the terms and conditions of the Creative Commons Attribution (CC BY) license (https://creativecommons.org/licenses/by/4.0/).
Share and Cite
Yuan, Z.; Yang, Q.; Zhang, X.; Ma, X.; Wang, R.; Xue, M.; Zhang, P. A Misalignment Tolerate Integrated S-S-S-Compensated WPT System with Constant Current Output. Energies 2023, 16, 2798. https://doi.org/10.3390/en16062798
Yuan Z, Yang Q, Zhang X, Ma X, Wang R, Xue M, Zhang P. A Misalignment Tolerate Integrated S-S-S-Compensated WPT System with Constant Current Output. Energies. 2023; 16(6):2798. https://doi.org/10.3390/en16062798
Chicago/Turabian StyleYuan, Zhaoyang, Qingxin Yang, Xian Zhang, Xianjie Ma, Ran Wang, Ming Xue, and Pengcheng Zhang. 2023. "A Misalignment Tolerate Integrated S-S-S-Compensated WPT System with Constant Current Output" Energies 16, no. 6: 2798. https://doi.org/10.3390/en16062798
APA StyleYuan, Z., Yang, Q., Zhang, X., Ma, X., Wang, R., Xue, M., & Zhang, P. (2023). A Misalignment Tolerate Integrated S-S-S-Compensated WPT System with Constant Current Output. Energies, 16(6), 2798. https://doi.org/10.3390/en16062798

