Next Article in Journal
Validation of a Holistic System for Operational Analysis and Provision of Ancillary Services in Active Distribution Networks
Next Article in Special Issue
Long-Term Self-Discharge Measurements and Modelling for Various Cell Types and Cell Potentials
Previous Article in Journal
Optimization of Conductive Fins to Minimize UO2 Fuel Temperature and Radial Temperature Gradient
Previous Article in Special Issue
A Novel Technique for Fast Ohmic Resistance Measurement to Evaluate the Aging of Lithium-Ion xEVs Batteries
 
 
Font Type:
Arial Georgia Verdana
Font Size:
Aa Aa Aa
Line Spacing:
Column Width:
Background:
Article

Experimental Study of the Degradation Characteristics of LiFePO4 and LiNi0.5Co0.2Mn0.3O2 Batteries during Overcharging at Low Temperatures

1
School of Mechanical Engineering, Tianjin University, Tianjin 300350, China
2
Key Laboratory of Efficient Utilization of Low and Medium Grade Energy, Ministry of Education, Tianjin University, Tianjin 300350, China
3
National Industry-Education Platform of Energy Storage, Tianjin University, Tianjin 300350, China
*
Authors to whom correspondence should be addressed.
Energies 2023, 16(6), 2786; https://doi.org/10.3390/en16062786
Submission received: 14 February 2023 / Revised: 9 March 2023 / Accepted: 13 March 2023 / Published: 17 March 2023

Abstract

Battery overcharging can occur due to capacity and internal resistance variations among cells or battery management system failure that both accelerate battery degradation, which is more likely at low temperatures because of the large polarization effect. This study experimentally investigated the battery degradation characteristics during charging of LiFePO4 (LFP)/Graphite batteries at voltages of 3.65–4.8 V and Li(Ni0.5Co0.2Mn0.3)O2 (NCM)/Graphite batteries at 4.2–4.8 V at −10 °C with currents of 0.2–1 C. The results showed that the LFP cell capacities decreased linearly with an increasing number of cycles, while the NCM cell capacities faded in three trends with an increasing number of cycles under different conditions with linear fading, accelerated fading, and decelerated fading. The incremental capacity curves and differential voltage curves showed that the LFP cell degradation was mainly caused by the loss of lithium inventory (LLI), with some effect from the loss of active material (LAM). In the NCM cells, both the LLI and LAM significantly contributed to the degradation. Combined with internal battery morphology observations, the LAM mainly occurred at the anode, and the main side reactions leading to the LLI with lithium plating and solid electrolyte interface growth also occurred at the anode.

1. Introduction

Lithium-ion batteries (LIBs) have high energy densities and power densities; thus, they are currently the best choice for electric vehicle power battery systems so far [1]. LiFePO4 (LFP) and LiNixCoyMn1-x-yO2 (NCM) batteries are two widely used types of LIBs. LFP battery cathodes with the olivine structure have high structural stability [2], which contributes to their better safety. However, the LFP cathodes have relatively low electronic conductivities [3], which leads to low current densities and low energy densities. Layered NCM cathodes have a lattice structure that can accommodate more lithium ions [4]. Therefore, NCM batteries have higher theoretical specific capacities, but their thermal stability is not as good as that of LFP batteries [5].
In practical applications, the cells are connected in series in a battery pack, and their capacities are not identical. When the cells with higher capacities are fully charged, those with lower capacities are probably charged beyond their rated capacities at voltages higher than the standard cut-off voltage, which is overcharging [6]. Overcharging can lead to many side reactions, including lithium plating, solid electrolyte interphase (SEI) decomposition and generation, electrolyte decomposition, and anode and cathode structure decomposition [7]. Generally speaking, battery degradation is accelerated by frequent overcharging, with the degradation manifested as capacity fades and internal resistance increases [8].
The optimal operating temperature range of LIBs is 20–45 °C [9]; thus, many studies have focused on overcharging at room temperature. Liu and Xie [10] overcharged LFP batteries to 105–120% state of charge (SOC) at room temperature and found that the capacity dropped and the alternating current (AC) impedance increased rapidly with increasing SOC. Zhang et al. [11] overcharged NCM batteries to 105%, 110%, 115%, and 120% SOC at 25 °C and found that the loss of active material (LAM) occurred only when the cell was overcharged within 105–110% SOC. Juarez-robles et al. [12] charged lithium cobalt oxide (LCO) batteries to 4.2–4.8 V and found that charging above 4.5 V led to significant lithium plating and electrolyte decomposition with significant volume expansion and fast capacity fade rates. Thus, battery degradation is more serious with increasing charging voltage or SOC, which aggravates battery deterioration.
However, batteries are not used in the desired temperature range, with low-temperature charging a common environmental hazard for electric vehicles in the winter [13]. The LIB efficiency is strongly affected by the temperature [14]. At low temperatures, the Li+ conductivity in the electrolyte decreases with decreasing temperature, which increases the electrode polarization [15], which, in turn, rapidly increases the battery voltage to the cut-off voltage and the possibility of overcharging.
Some side reactions that occur during overcharging at room temperature, such as SEI decomposition and positive and negative electrode structure decomposition [16], do not occur when batteries are overcharged at low temperatures because the temperatures do not reach the required reaction temperatures. Once the charging capacity exceeds the excess capacity reserved in the graphite anode at room temperature, the anode potential rapidly drops below 0 V vs. Li/Li+, resulting in lithium plating [17]. The graphite anode potential is more likely to be less than 0 V vs. Li/Li+ because of the larger polarization at low temperatures, which greatly increases the lithium plating [18]. The lithium plating then covers the anode surface and plugs the electrode micropores with particle volume expansion, creating high stresses among the graphite particles and electrode structure cracking. Furthermore, the highly reactive plated lithium reacts with the electrolyte to generate additional SEI, leading to reversible lithium reduction [19]. The various side reactions and the greater possibility of lithium plating mean that the degradation modes caused by overcharging at low temperatures differ from those at room temperature.
However, there are few studies of overcharging at low temperatures. Sun et al. [20] overcharged LFP batteries with various currents at −10 °C and found that the battery capacity fade rates and internal resistance increased with increasing charging current and first increased and then decreased with increasing charging voltage. Wang et al. [21] studied the capacity fades of lithium titanium oxide (LTO) batteries with overcharging at −20 °C and found that the degradation was not evident at cut-off voltages from 2.7 V to 3.2 V. Thus, these studies [20,21] showed that battery degradation does not increase with increasing charging voltage when overcharging at low temperatures, which differs from the characteristics of overcharging at room temperatures [10,11,12]. However, charging with the same charging current and voltage can have different effects on different batteries because the LFP and NCM electrode material structures differ. Therefore, the LFP and NCM battery degradation characteristics during overcharging at low temperatures need to be further clarified.
This study investigated the influence of the charging current and overcharging voltage on LFP and NCM battery degradation at low temperatures. This study used charging-discharging cycle tests of LFP and NCM batteries with various charging currents (0.2–1 C) and charging voltages (3.65–4.8 V for LFP batteries, 4.2–4.8 V for NCM batteries) at −10 °C, which is a common cold operating temperature for electric vehicles, to investigate the degradation characteristics using incremental capacity (IC) curves, differential voltage (DV) curves, and scanning electron microscopy-energy dispersive spectroscopy (SEM-EDS).
The rest of this paper is organized as follows: Section 2 describes the experiment system and methods, including the measurement procedure and different test conditions. Section 3 illustrates the main results and discussions using the above detection means. Finally, the study is concluded in Section 4.

2. Experimental System and Methods

2.1. Lithium-Ion Batteries and Experimental System

This study used 18,650 type LiFePO4/Graphite and Li(Ni0.5Co0.2Mn0.3)O2/Graphite cells. A battery test system (NEWARE CT-4008, 5V-6A) was used to perform the battery cycle tests, and an environmental chamber (GUANGDONG BELL BTH-150TC) was used to control the ambient temperature. The system voltage and current accuracies were both ±0.05% FS (Full Scale), and the maximum temperature deviation in the chamber was ±1 °C. The experimental cell parameters are listed in Table 1. The standard charging process was the constant current-constant voltage (CC-CV) protocol, and the standard discharging process was the constant current (CC) protocol.
The tests required multiple LFP and NCM cells with the cells selected to initially have similar capacities and internal resistances. The capacity was taken as the discharge capacity of the last cycle of five standard charging-discharging cycles before the formal tests. The internal resistance was measured by the hybrid pulse power characteristic (HPPC) test [22]. The DC internal resistance of the LFP battery had little change at 40% depth of discharge (DOD), while that of the NCM battery had little change at 50% DOD. Therefore, the direct current (DC) internal resistance at 40% DOD was used as the criterion for the LFP battery resistance selection, with 50% DOD used for the NCM battery. The maximum capacity variations of both types of batteries were less than 1%, and the maximum DC internal resistance variations were less than 2%.

2.2. Experimental Methods

2.2.1. Overcharging Cycles at the Low Temperature

The overcharging cycles were carried out at −10 °C with five cycles per group. A reference performance test (RPT) was conducted at 25 °C to evaluate the battery performance after each group test. The experimental procedure is shown in Figure 1a, with the low-temperature overcharging cycle procedure and RPT process (using the LFP battery as an example) shown in Figure 1b,c.
The state of health (SOH), defined as the ratio of the discharging capacity to the initial capacity measured during the RPT, is the key degradation index. Due to the fast battery degradation under the conditions used here, the tests were stopped if the SOH was less than the set-up value (50% for the LFP batteries and 10% for the NCM batteries), as shown in Figure 1a.
The cells were tested with various charging currents and cut-off voltages. The test conditions are listed in Table 2, with No. 1, 5, and 9 cells being blank control cells whose cut-off voltages were the standard charging voltage.

2.2.2. Reference Performance Test

The reference performance test measures the battery’s performance at 25 °C with a capacity measurement, a small current charging-discharging (0.05 C) measurement, and a DC internal resistance measurement.
(1)
Capacity measurement
The capacity test was measured over two charging-discharging cycles at 0.5 C–0.5 C with 1 h rest between the charging and discharging processes, with the discharging capacity of the second cycle used as the actual capacity after the low-temperature cycles [23].
(2)
Small current (0.05 C) charging-discharging measurement
After the capacity measurement and 1 h rest, the cells were discharged and charged at 0.05 C–0.05 C to obtain the IC curves and the DV curves for the battery degradation characteristics [24]. The cells rested for 1 h between the discharge and charging processes.
(3)
DC internal resistance measurement
After the small current measurement and 1 h rest, the DC internal resistance was measured using the same test process as for the cell selection introduced in Section 2.1.

2.2.3. SEM-EDS Analysis

After the last RPT, the cells were discharged to 0% SOC. The LFP and NCM cells that were charged with 1 C to 4.8 V were disassembled, and samples were cut from the electrodes. The microscopic morphology of the materials was observed by an SEM (Hitachi, Regulus 8100, Tokyo, Japan), with the element composition and product distribution characterized using an EDS (X-max, Oxford, UK). In addition, fresh cells of the two types of batteries were also disassembled and observed as a comparison.

3. Results and Discussion

3.1. Capacity Fades

3.1.1. SOH of LFP Cells

Figure 2 shows the influence of the number of cycles on the LFP cell SOH. The SOH decreases almost linearly with increasing number of cycles in all cases. The SOHs of the cells charged at 1 C drop much faster than the others due to the large charging current, which leads to more lithium plating at low temperatures [25]. For the cells charged at 1 C, the SOHs at 4.0 V and 4.4 V were less than 50% after 30 cycles, and the SOH at 4.8 V was less than 50% after 35 cycles, so the tests for these 3 cells were ended early. The data in Figure 2 was fit with a linear fit using the least squares method, with the slopes, which are called the SOH fade rates, shown in Figure 3.
The data in Figure 3 shows that the SOH fade rates change little with increasing charging voltage when charged at 0.2 C. The SOH fade rates of the normally charged cell (3.65 V) were even lower than those of the overcharged cells charged at 0.5 C and 1 C. The SOH fade rates of the 0.5 C and 1 C charged cells first increase and then decrease with increasing charging voltage, with the maximum at 4.4 V. This is because, at low temperatures, the temperature rise at the higher charging voltage reduces the side effects, such as lithium plating, particle breakage, and SEI generation, which reduce battery degradation [20].
The SOH fade rates of the overcharged cells (4.0 V, 4.4 V, and 4.8 V) do not change much with increasing charging voltage but increase significantly with increasing charging current, which shows that the current has a greater impact on the capacity fade than the voltage.

3.1.2. SOH of NCM Cells

Figure 4 shows the influence of the number of cycles on the NCM cell SOH. The LIB capacity fade characteristics can be divided into linear fades, decelerated fades, and accelerated fades [26]. The second and third types generally have a turning point after which the capacity fade rate changes abruptly. The NCM cell SOH fades for various conditions shown in Figure 4 are classified in Table 3.
Table 3 shows that the SOH of the cells charged to 4.2 and 4.4 V at 0.2 C has linear fade trends with an increasing number of cycles; thus, linear fades occur in cells that are normally charged or slightly overcharged at low currents. Battery capacity fades are mainly caused by the loss of lithium inventory (LLI) and LAM [27]. With linear fades, each cycle irreversibly consumes the same amount of lithium [26], with only a relatively small amount of active material consumed in the electrode structure.
The SOH of the cells charged to 4.6 and 4.8 V at 0.2 C shows accelerated degradation with an increasing number of cycles, so accelerated fades occur in cells that are strongly overcharged at low currents. This may be caused by the SEI growth due to overcharging at low temperatures, which blocks the pores in the active anode materials, slows the lithium insertion in the anode, and accelerates the lithium plating side reaction [28]. In such cases, the lithium plating first starts at unevenly compressed areas and then extends to the entire anode [29]. During this process, the lithium plating side reaction becomes stronger, leading to more consumption of the electrolyte and more deposition of lithium in the SEI and metallic lithium on the anode surface, which results in higher capacity fade rates.
The SOH of the cells charged at 0.5 C and 1 C experiences decelerated degradation with an increasing number of cycles, so decelerated fades occur in cells charged at higher currents. This may be caused by the low-temperature environment, with most of the cyclable lithium consumed in the initial cycles due to the higher charging currents, which leaves less lithium available for plating in subsequent cycles, so the fade rate decreases. Similarly, the active materials are severely damaged by overcharging at low temperatures in the initial cycles, resulting in a rapid drop in their ability to store lithium ions. Fewer structures can be destroyed in subsequent cycles, resulting in slower fade rates [26].
The turning point is defined as the point at which the curve changes most from the line segment connecting the first and last data points, that is, the Kneedle point [30]. Since the SOH decreases almost linearly before and after the turning point in the decelerated and accelerated fades, the SOH fade rates before and after the turning points were obtained by linearly fitting the data before and after the turning point. For the linear fade cells, the calculated SOH fade rates were defined as those before the turning points for comparison purposes. The SOH fade rates are shown in Figure 5.
The results in Figure 5 show that before the turning point, the SOH fade rate increases rapidly with increasing charging current, while the fade rates in the overcharged cells do not vary much with increasing overcharging voltage. Thus, the charging current has a greater effect on the capacity fade than the overcharging voltage before the turning point. After the turning point, the SOH fade rates of the decelerated fade cells drop significantly by more than 70% compared with those before the turning point. The SOH fade rates of the accelerated fade cells increase significantly by more than 100% compared with those before the turning point. The SOH fade rates of the decelerated fade cells no longer increase with increasing charging current after the turning point as they did before the turning point; thus, increasing the charging current has little effect on the capacity fade for decelerated fade cells after the turning point. The results confirm that there are fewer structures and less cyclable lithium available in the cycles after the turning point than in the initial cycles.
The results in Figure 3 and Figure 5 show that at 0.2 C, the minimum SOH fade rate of NCM cells before the turning point is 0.0998%/cycle, while the maximum SOH fade rate of LFP cells is 0.0708%/cycle; at 0.5 C, those are 2.3056%/cycle and 0.6627%/cycle, respectively; at 1 C, those are 4.0290%/cycle and 1.7486%/cycle, respectively. The minimum SOH fade rates of NCM cells are 1.41, 3.48, and 2.30 times as high as the maximum SOH fade rates of LFP cells at 0.2 C, 0.5 C, and 1 C, respectively. Therefore, the SOH fade rates of LFP cells are much smaller than those of NCM cells with similar currents and overcharging voltages at −10 °C; thus, the LFP batteries are more tolerant to overcharging than the NCM batteries at low temperatures.

3.1.3. Comparison of Capacity Fades at Room Temperatures and Low Temperature

The influence of temperature on the capacity fades of the LFP and NCM batteries was investigated by comparing the low-temperature results with fade measurements at room temperature for similar currents and cut-off voltages in the literature. Figure 6 shows the SOH variation with an increasing number of cycles measured here at the low temperature compared with those given in Yang et al. [31] at room temperature, who charged 1.3 Ah commercial LFP/Graphite pouch cells with standard cut-off voltages of 2.3–3.65 V to 3.65–4.5 V at 25 °C with 0.5 C.
Figure 6 shows that the SOH of the overcharged cells at 25 °C and −10 °C both decrease linearly with an increasing number of cycles, with the SOH of the cells charged at −10 °C decreasing more rapidly than those charged at 25 °C. The degradation of the cells overcharged at −10 °C is much faster than that of the normally charged cells (3.65 V), but this effect does not occur at 25 °C, which indicates that the overcharging cycles at 25 °C have less effect on the capacity fade.
The current results for the NCM cells (2.6 Ah) are compared with literature results for NCM cells with similar capacities. Figure 7a compares the current results with those in Liu et al. [32], who charged 18,650 type NCM/Graphite 2.5 Ah cells with standard cut-off voltages of 2.75–4.2 V to 4.4–4.7 V at 0.5 C. Figure 7b compares the present results with data in Ouyang et al. [33], who charged 18,650 type 2.5 Ah NCM/Graphite cells at standard cut-off voltages of 2.75–4.2 V to 4.8 V at 26 °C at 1 C.
The results in Figure 7a show that the SOH has an accelerated fade trend with an increasing number of cycles for the NCM cells overcharged with 0.5 C at room temperature. The SOH of the 4.4 V charged cells is stable for the initial cycles, while the other cells quickly reach a turning point, after which the SOH decreases rapidly. In contrast, the SOHs of the overcharged cells exhibit the decelerated fade trend with an increasing number of cycles at −10 °C, with the SOH decreasing faster than at room temperature before the turning point. The SOH fade rate increases with an increasing overcharging voltage before the turning point at room temperature, which is similar to the effect at low temperatures.
Figure 7b shows that the SOH of the 4.8 V charged cell at 26 °C exhibits a linear fade trend with an increasing number of cycles, while that at −10 °C exhibits a decelerated fade trend over the entire range. However, the fade rate of the overcharged cell at −10 °C is much higher than that at 26 °C both before and after the turning point, indicating the large effect of the low temperature on the capacity fade.
In this study, the degradation characteristics of overcharging at low temperatures are focused on. However, the effects on different types of lithium-ion batteries (e.g., Li(Ni0.8Co0.1Mn0.1)O2 batteries) caused by overcharging at various temperatures remain to be further explored, which will be investigated in future works.

3.2. Direct Current Internal Resistance Increases

The DC internal resistance is also an important index of the battery degradation because the cells are generally considered to have reached their service life when their internal resistance increases to twice their original internal resistance [34]. In this study, the DC internal resistance growth rate, defined as the ratio of the resistance increase at 10% DOD for the Nth RPT to that for the 1st RPT, is used to characterize the DC internal resistance growth as:
α r = R N R 1 R 1 × 100 %
where R1 and RN are the 10% DOD DC internal resistance measured for the 1st and the Nth RPT, Ω. The reason for choosing the resistance at 10% DOD as the reference value (R1) is that the NCM cell tests were terminated at 10% SOH with R1 then chosen for both the NCM and the LFP cells at 10% DOD for consistency. The αr results are shown in Figure 8.
Figure 8a shows that αr of the 0.2 C charged cells changes little with an increasing number of cycles and remains at around 0%, indicating that the internal resistance does not change significantly with an increasing number of cycles. In addition, αr of the cells charged to different voltages are similar, indicating that the charging voltage has less effect on the internal resistance than the charging current for these conditions.
The results for 0.5 C differ from those for 0.2 C. The αr initially remains nearly constant at about 5% for the first 30 cycles and then increases with an increasing number of cycles as the internal resistance increases significantly. The charging voltage has a greater effect on αr after the first 30 cycles than before, with similar αr of the 4.0 V and 4.4 V charged cells, which are both greater than that of the 4.8 V charged cell.
αr increases rapidly with an increasing number of cycles when charging at 1 C to a maximum of 93.12% for the 4.0 V charged LFP cell after 50 cycles. In addition, the internal resistance first increases and then decreases with increasing voltage with the internal resistances of the 4.0 V and 4.4 V charged LFP cells at 1 C are again relatively close to each other and both much larger than that of the 4.8 V charged cell, which is similar to the results for the 0.5 C charging.
In addition, αr of the LFP cells increases with increasing charging current for the same charging voltage because charging at high currents accelerates the SEI growth [35], which then increases the internal resistance [36].
Figure 8b shows the variation of αr in the NCM cells with an increasing number of cycles. αr increases with the number of cycles and charging voltage when charging at 0.2 C. Additionally, αr of the 4.6 and 4.8 V charged cells is much larger than that of the 4.2 and 4.4 V charged cells. Thus, both the charging voltage and the number of cycles strongly affect the internal resistance of the NCM batteries at 0.2 C charging current, which differs from that of the LFP battery. For the LFP batteries at 0.2 C charging current, the number of cycles and the charging voltage have very small, even negligible, effects on the internal resistance.
The results are similar at 0.5 C and 1 C with αr increasing with increasing number of cycles and charging voltage, which shows, for the NCM cells, the relatively large effects of charging voltage and number of cycles on the internal resistance compared with the LFP cells. For the LFP cells, the number of cycles has little effect on the internal resistance for the first 30 cycles at 0.5 C with αr first increasing and then decreasing with increasing charging voltage at both 0.5 C and 1 C.
In addition, for the same charging voltage, αr of the 0.5 C and 1 C charged cells are similar and both larger than that of the 0.2 C charged cells. Thus, for the NCM cells, the effect of current on the internal resistance first increases and then decreases, while for the LFP cells, the effect of current on the internal resistance continues to increase with increasing charging current.

3.3. Incremental Capacity Curve and Differential Voltage Curve Analysis

The IC and DV analyses are effective ways to identify the LIB degradation characteristics [37]. The IC and DV curves were obtained by assuming that the cell is in equilibrium and examining the relationship between the charge, Q, and the pseudo-open circuit voltage, pOCV [37]. However, Q and pOCV are hard to measure in practical applications at an actual equilibrium state. Thus, these are measured by bringing the cell to a quasi-equilibrium state by charging and discharging using a very small current (e.g., 0.05 C) [38]. The IC curve is calculated as the gradient of Q relative to pOCV while the DV curve is calculated as the gradient of pOCV relative to Q [39]:
d Q d ( pOCV ) Δ Q Δ ( pOCV )
d ( pOCV ) d Q Δ ( pOCV ) Δ Q
Since these are derivatives, the results require filtering of the noisy data and smoothing [39]. The IC curve (dQ/dV-V) and the DV curve (dV/dQ-Q) reflect the phase change of the electrodes during charging and discharging, with changes in the intensity, position, and shape of the peaks indicating battery degradation [40]. Battery degradation is generally attributed to LAM, LLI, and internal resistance increases [27], as was analyzed in Section 3.2. LAM causes the height of the highest IC peak to decrease for a given voltage, while LLI shifts the DV curve toward lower capacities [41].
The degradation characteristics are illustrated here by the IC and DV curves of the 0.5 C charged LFP cells and the 0.5 C charged NCM cells shown in Figure 9 and Figure 10.
The IC curves of the LFP cells shown in Figure 9 have three peaks, with the middle peak being the highest. Figure 9a shows that the middle peaks of the IC curves fluctuate with an increasing number of cycles but maintain a high level, which means that there is almost no LAM in the cell without overcharging [41]. Figure 9c,e,g show that the height of the middle peak decreases after 30 low-temperature cycles at higher charging voltages, which implies that LAM starts for these conditions.
The DV curves in Figure 9b,d,f,h shift significantly to the left with an increasing number of cycles, which indicates significant LLI [41]. Therefore, for the LFP cells, LLI is the main reason leading to battery degradation with low-temperature overcharging, which is similar to the results seen for overcharging at ambient conditions. Yang et al. [31] suggested that the LFP cell degradation during room-temperature overcharging is mainly due to the LLI caused by the SEI film growth.
In addition, the IC curve peak heights of the 4.0 V and 4.4 V charged cells decrease by similar amounts that are both greater than the decreases seen in the 4.8 V charged cell and significantly greater than those in the 3.65 V charged cell. The 4.0 V and 4.4 V DV curves shift to the left about the same amount. Therefore, the LLI and LAM of the LFP cells have the same trends, with those for 4.0 V and 4.4 V being similar and then decreasing for 4.8 V and for 3.65 V, which is consistent with the capacity fade results. Thus, the LAM and LLI increases determine the capacity fade decreases. Since LAM and LLI do not increase with increasing charging voltage, the capacity fades caused by LAM and LLI also first increase and then decrease with increasing charging voltage.
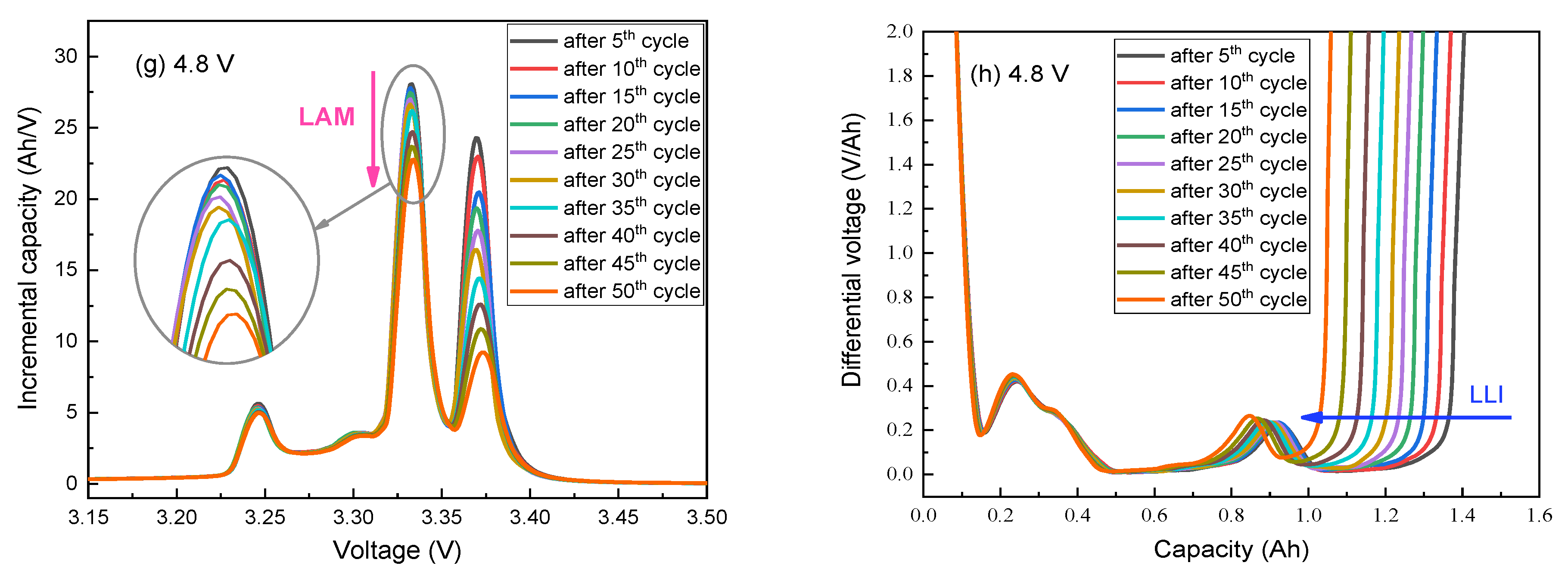
As shown in Figure 10a,c,e,g, the IC curves of the NCM cells have three peaks, with the right peak disappearing after five overcharging cycles and the middle peak, which is the highest peak, decreasing significantly with an increasing number of cycles. The middle peak of the 4.8 V charged cell decreases the fastest, such that the measurements of the 4.8 V charged cell had to be ended after the 25th cycle. The middle peaks of the 4.2, 4.4, and 4.6 V charged cells decrease more rapidly at the beginning than at the end, which means that LAM occurs throughout the low-temperature cycles but increases more slowly with more cycles, which is consistent with the decelerating capacity fade trend described in Section 3.1.
Figure 10b,d,f,h show that the DV curves for the NCM cells shift significantly to the left with an increasing number of cycles, with the leftward shifts becoming smaller with increasing numbers of cycles. Thus, the LLI rate of increase decreases at higher numbers of cycles, which is consistent with the LAM rates. The LAM and LLI both increase with increasing overcharging voltage. Therefore, the effect of the LLI and LAM on the NCM battery degradation during low-temperature overcharging cannot be neglected, and the turning point of the capacity fade is caused by both the LAM and LLI. This differs from the results for an overcharged NCM battery at room temperature. Liu et al. [32] concluded that for NCM cells at room temperature, the LAM is the dominant degradation mechanism for overcharging voltages less than 4.5 V while the LLI is the dominant degradation mechanism for voltages higher than 4.5 V. In addition, the dominant degradation mechanism changed from LAM to LLI with an increasing number of cycles for overcharging voltages below 4.5 V.
In summary, LLI is the main mode leading to LFP battery degradation with low-temperature overcharging, while for NCM batteries, both LLI and LAM play important roles. In addition, unlike for the LFP cells, the peaks in the IC and DV curves of the overcharged NCM cells mostly disappear for large numbers of overcharging cycles, which is related to the smaller SOH with more cycles and shows that the NCM cells fade faster than the LFP cells at low temperatures with the same charging current.

3.4. SEM and EDS Results

3.4.1. LFP Cells

The LFP battery degradation characteristics were further analyzed by comparing electrodes from a fresh cell and the cell overcharged with 1 C and 4.8 V using the SEM images shown in Figure 11.
As shown in Figure 11a,b, the LFP cathode is nearly unchanged after overcharging; thus, overcharging at this low temperature has little effect on the cathode material. However, Figure 11c,d show that the graphite anode is greatly changed after overcharging. The fresh graphite anode particles are spherical with smooth edges, while the graphite spheres can no longer be seen on the anode surface after overcharging but are replaced by a thick film with various lumps with large and small pores.
Thus, the severe side reactions occurred on the graphite anode surface of the overcharged cell, which produces secondary SEI with lithium plating. The plated lithium then reacted with the electrolyte to form a porous structure on the graphite anode surface [42].
Further observations are shown in the EDS measurement results for the graphite anode in Figure 12. The carbon mass fraction is largest on the fresh graphite anode, followed by a much smaller mass fraction of oxygen with a C/O mass fraction of 5.49. The fluorine is from the PVDF binder, the phosphorous and sulfur are from the electrolyte additives, and the copper is from the anode.
The data in Figure 12b shows that the degraded graphite anode has similar carbon and oxygen mass fractions, with a mass fraction ratio of almost 1.00, which correlates with the lithium plating and SEI growth. Although the lithium mass fraction cannot be measured by EDS, the occurrence of lithium plating can be inferred from the large increase in the oxygen mass fraction because the plated lithium reacts with O2, CO2, or H2O in the air to form Li2O or Li2CO3 after the battery is disassembled [43]. In addition, the reactions of the plated lithium with the electrolyte increase the main SEI components, such as Li2O, Li2CO3, LiOH, ROCO2Li, and RCOLi (R is alkyl), which further increases the oxygen mass fraction and the SEI thickness.
Aluminum also appears in the degraded cell, which is from the Al2O3 coating on the separator [12]. The electrolyte in the degraded cell was consumed by side reactions and tended to dry out so that the anode and separator were then tightly attached and difficult to separate during disassembly, leading to some aluminum from the separator attaching to the anode.
In summary, the cathode was nearly unchanged, while the secondary SEI and the lithium plating greatly altered the anode surface after the LFP battery was overcharged at the low temperature. In addition, the plated lithium reacted with the electrolyte to form a porous structure on the anode surface.

3.4.2. NCM Cells

The NCM battery degradation characteristics were further analyzed by comparing the electrodes of a fresh cell and the cell overcharged at 1 C and 4.8 V using the SEM images shown in Figure 13.
Figure 13a,b show that the particles on the NCM cathode are slightly larger and have a rough surface after overcharging, which may be caused by the coating deposited on the active material due to electrolyte oxidation [44]. Oxidation of the electrolyte components at the interface between the electrode and the electrolyte is accelerated at increasing cell voltage with precipitation of the carbon-based material products on the active material particles that fill the voids in the cathode [45]. The poor electrical conductivity of this layer then hinders the migration of lithium ions during the electrochemical reaction [46].
Section 3.3 showed significant LAM in the NCM cells, which is further verified by the EDS analysis of the NCM cathode shown in Table 4. As can be seen from Table 4, the transition element ratio in the cathode after overcharging remains almost unchanged (Ni:Co:Mn ≈ 5:2:3) while the carbon and oxygen concentrations increase by 18.89% and 22.72%, which shows that the cathode active material structure actually changed little, but a significant amount of carbon-based material precipitated on the surface.
The pictures in Figure 13c,d show that the graphite anode surface of the NCM cell was severely damaged, with lithium plating contributing to more secondary SEI [42], which was also seen on the LFP graphite anode.
The results of EDS measurements of the graphite anode are shown in Figure 14. The carbon mass fraction is significantly lowered on the degraded graphite anode, while the oxygen concentration is significantly higher. Thus, the carbon/oxygen mass fraction on the NCM cell anode decreased from 16.82 for the fresh cell to 0.28 for the degraded cell. The ratio decreased from 5.49 to 1.00 on the LFP cell. Thus, the mass fraction change on the NCM cell is much larger than that on the LFP cell, which indicates that the NCM cell graphite anode experienced more severe structural damage and lithium plating, which led to the SOH of the disassembled NCM cell decreasing to below 10% at the end of the experiment.
In addition, the NCM cell graphite anode also had increases in oxygen, fluorine, and phosphorous mass fractions after overcharging, which can be attributed to the electrolyte decomposition products and the film formation on the anode surface [47].
When NCM cells are overcharged at room temperature, manganese, cobalt, and nickel can be detected on the anode surface by energy dispersive X-Ray spectroscopy [44], which indicates the dissolution of transition metals in the cathode. In contrast, manganese, cobalt, and nickel are not found in the anode, and their elemental mass fractions do not decrease in the cathode when the NCM cell was overcharged at the low temperature in this study. That is, the transition metals do not dissolve in the cathode structure.
In summary, the NCM electrolyte was oxidized and decomposed by overcharging at the low temperature, while the cathode structure was basically unchanged, but with some deposition from electrolyte oxidation on the surface, which hindered the migration of the lithium ions. Lithium plating and secondary SEI growth then occurred on the anode surface, which seriously damaged the anode with significant structural changes. These observations, combined with the description in Section 3.3, show that the LAM in the NCM cells mainly came from the anode.

4. Conclusions

This study exposes LFP and NCM batteries to low-temperature overcharging cycles with measurements of the capacity and internal resistance changes with an increasing number of cycles. The battery degradation characteristics were analyzed using IC curves, DV curves, and SEM-EDS measurements.
1. The LFP cell capacity decreases linearly with an increasing number of cycles, while the NCM cell capacity fades experienced linear fading, accelerated fading, and decelerated fading. In the low-temperature environment, the minimum SOH fade rates of NCM cells before the turning point are 1.41, 3.48, and 2.30 times as high as the maximum SOH fade rates of LFP cells at 0.2 C, 0.5 C, and 1 C, respectively. The LFP batteries are more tolerant of overcharging at low temperatures than the NCM batteries.
2. The DC internal resistance growth rates in the LFP batteries increase with increasing charging current while they increase and then decrease with increasing charging voltage, which is similar to the capacity fade trends. The DC internal resistance growth rates of the NCM batteries increase with increasing overcharging voltage, but first increase and then remain stable with increasing charging current.
3. The IC and DV curves show that the LFP cell degradation is mainly caused by LLI, with some effect from LAM with low-temperature overcharging, while both LLI and LAM contribute greatly to the NCM cell degradation.
4. The SEM-EDS measurements show that both the LFP and NCM cell cathodes are nearly unchanged by overcharging, with the LAM of both cells mainly damaging the anode structures. The anodic carbon/oxygen mass fraction decreased from 16.82 to 0.28 on the NCM cell after overcharging, while the ratio decreased from 5.49 to 1.00 on the LFP cell. LLI is due to the main side reactions of lithium plating and SEI growth at the anode.

Author Contributions

The manuscript was written through contributions from X.Z., P.S., S.W. and Y.Z. All authors have read and agreed to the published version of the manuscript.

Funding

This work was funded by the National Key R&D Program of China, No. 2016YFE0118600.

Data Availability Statement

The data presented in this study are available on request from the corresponding author. The data are not publicly available due to the research project in progress.

Acknowledgments

This work was supported by the National Key R&D Program of China, No. 2016YFE0118600.

Conflicts of Interest

The authors declare no conflict of interest.

References

  1. Feng, X.; Ouyang, M.; Liu, X.; Lu, L.; Xia, Y.; He, X. Thermal runaway mechanism of lithium ion battery for electric vehicles: A review. Energy Storage Mater. 2018, 10, 246–267. [Google Scholar] [CrossRef]
  2. Jin, B.; Sun, G.P.; Liang, J.C.; Gu, H.B. Physicochemical properties of lithium iron phosphate-carbon as lithium polymer battery cathodes. Int. J. Energy Res. 2013, 37, 500–509. [Google Scholar] [CrossRef]
  3. Jung, S.; Jung, H.Y. Charge/discharge characteristics of Li-ion batteries with two-phase active materials: A comparative study of LiFePO4 and LiCoO2 cells. Int. J. Energy Res. 2016, 40, 1541–1555. [Google Scholar] [CrossRef]
  4. Shi, Y.; Zhang, M.H.; Fang, C.C.; Meng, Y.S. Urea-based hydrothermal synthesis of LiNi0.5Co0.2Mn0.3O2 cathode material It for Li-ion battery. J. Power Source 2018, 394, 114–121. [Google Scholar] [CrossRef]
  5. Wang, Z.P.; Yuan, J.; Zhu, X.Q.; Wang, H.; Huang, W.; Wang, Y.T.; Xu, S.Q. Overcharge-to-thermal-runaway behavior and safety assessment of commercial lithium-ion cells with different cathode materials: A comparison study. J. Energy Chem. 2021, 55, 484–498. [Google Scholar] [CrossRef]
  6. Ye, J.; Chen, H.; Wang, Q.; Huang, P.; Sun, J.; Lo, S. Thermal behavior and failure mechanism of lithium ion cells during overcharge under adiabatic conditions. Appl. Energy 2016, 182, 464–474. [Google Scholar] [CrossRef]
  7. Ren, D.; Feng, X.; Lu, L.; He, X.; Ouyang, M. Overcharge behaviors and failure mechanism of lithium-ion batteries under different test conditions. Appl. Energy 2019, 250, 323–332. [Google Scholar] [CrossRef]
  8. Liu, J.; Duan, Q.; Ma, M.; Zhao, C.; Sun, J.; Wang, Q. Aging mechanisms and thermal stability of aged commercial 18650 lithium ion battery induced by slight overcharging cycling. J. Power Source 2020, 445, 227263. [Google Scholar] [CrossRef]
  9. Ouyang, D.; Chen, M.; Weng, J.; Wang, J. A comparative study on the degradation behaviors of overcharged lithium-ion batteries under different ambient temperatures. Int. J. Energy Res. 2019, 44, 1078–1088. [Google Scholar] [CrossRef]
  10. Liu, Y.; Xie, J. Failure study of commercial LiFePO4 cells in overcharge conditions using electrochemical impedance spectroscopy. J. Electrochem. Soc. 2015, 162, A2208–A2217. [Google Scholar] [CrossRef]
  11. Zhang, G.; Wei, X.; Chen, S.; Zhu, J.; Han, G.; Tang, X.; Hua, W.; Dai, H.; Ye, J. Comprehensive investigation of a slight overcharge on degradation and thermal runaway behavior of lithium-ion batteries. ACS Appl. Mater. Interfaces 2021, 13, 35054–35068. [Google Scholar] [CrossRef]
  12. Juarez-Robles, D.; Vyas, A.A.; Fear, C.; Jeevarajan, J.A.; Mukherjee, P.P. Overcharge and aging analytics of Li-Ion cells. J. Electrochem. Soc. 2020, 167, 090547. [Google Scholar] [CrossRef]
  13. Zhang, Y.K.; Ge, H.; Huang, J.; Li, Z.; Zhang, J.B. A comparative degradation study of commercial lithium-ion cells under low-temperature cycling. RSC Adv. 2017, 7, 23157–23163. [Google Scholar] [CrossRef]
  14. Zhang, G.X.; Wei, X.Z.; Chen, S.Q.; Han, G.S.; Zhu, J.G.; Dai, H.F. Investigation the degradation mechanisms of lithium-ion batteries under low-temperature high-rate cycling. ACS Appl. Energy Mater. 2022, 5, 6462–6471. [Google Scholar] [CrossRef]
  15. Hu, D.Z.; Chen, G.; Tian, J.; Li, N.; Chen, L.; Su, Y.F.; Song, T.L.; Lu, Y.; Cao, D.Y.; Chen, S.; et al. Unrevealing the effects of low temperature on cycling life of 21700-type cylindrical Li-ion batteries. J. Energy Chem. 2021, 60, 104–110. [Google Scholar] [CrossRef]
  16. Zeng, G.; Bai, Z.; Huang, P.; Wang, Q. Thermal safety study of Li-ion batteries under limited overcharge abuse based on coupled electrochemical-thermal model. Int. J. Energy Res. 2020, 44, 3607–3625. [Google Scholar] [CrossRef]
  17. Arora, P.; Doyle, M.; White, R.E. Mathematical modeling of the lithium deposition overcharge reaction in lithium-ion batteries using carbon-based negative electrodes. J. Electrochem. Soc. 1999, 146, 3543–3553. [Google Scholar] [CrossRef]
  18. Lin, X.; Khosravinia, K.; Hu, X.; Li, J.; Lu, W. Lithium Plating Mechanism, Detection, and Mitigation in Lithium-Ion Batteries. Prog. Energy Combust. Sci. 2021, 87, 100953. [Google Scholar] [CrossRef]
  19. Legrand, N.; Knosp, B.; Desprez, P.; Lapicque, F.; Raël, S. Physical characterization of the charging process of a Li-ion battery and prediction of Li plating by electrochemical modelling. J. Power Source 2014, 245, 208–216. [Google Scholar] [CrossRef]
  20. Sun, P.F.; Zhang, X.N.; Wang, S.X.; Zhu, Y. Lithium-ion battery degradation caused by overcharging at low temperatures. Therm. Sci. Eng. Prog. 2022, 30, 101266. [Google Scholar] [CrossRef]
  21. Wang, Y.; Chu, Z.; Feng, X.; Han, X.; Lu, L.; Li, J.; Ouyang, M. Overcharge durability of Li4Ti5O12 based lithium-ion batteries at low temperature. J. Energy Storage 2018, 19, 302–310. [Google Scholar] [CrossRef]
  22. Panchal, S.; Mcgrory, J.; Kong, J.; Fraser, R.; Fowler, M.; Dincer, I.; Agelin-Chaab, M. Cycling degradation testing and analysis of a LiFePO4 battery at actual conditions. Int. J. Energy Res. 2017, 41, 2565–2575. [Google Scholar] [CrossRef]
  23. Ouyang, M.G.; Ren, D.S.; Lu, L.G.; Li, J.Q.; Feng, X.N.; Han, X.B.; Liu, G.M. Overcharge-induced capacity fading analysis for large format lithium-ion batteries with LiyNi1/3Co1/3Mn1/3O2+ LiyMn2O4 composite cathode. J. Power Source 2015, 279, 626–635. [Google Scholar] [CrossRef]
  24. Berecibar, M.; Devriendt, F.; Dubarry, M.; Villarreal, I.; Omar, N.; Verbeke, W.; Van Mierlo, J. Online state of health estimation on NMC cells based on predictive analytics. J. Power Source 2016, 320, 239–250. [Google Scholar] [CrossRef]
  25. Ng, B.; Coman, P.; Faegh, E.; Peng, X.; Karakalos, S.; Jin, X.F.; Mustain, W.E.; White, R. Low-temperature lithium plating/corrosion hazard in lithium-ion batteries: Electrode rippling, variable states of charge, and thermal and nonthermal runaway. ACS Appl. Energy Mater. 2020, 3, 3653–3664. [Google Scholar] [CrossRef]
  26. Waldmann, T.; Hogg, B.; Wohlfahrt-Mehrens, M. Li plating as unwanted side reaction in commercial Li-ion cells—A review. J. Power Source 2018, 384, 107–124. [Google Scholar] [CrossRef]
  27. Yan, D.; Lu, L.; Li, Z.; Feng, X.; Ouyang, M.; Jiang, F. Durability comparison of four different types of high-power batteries in HEV and their degradation mechanism analysis. Appl. Energy 2016, 179, 1123–1130. [Google Scholar] [CrossRef]
  28. Yang, X.G.; Leng, Y.J.; Zhang, G.S.; Ge, S.H.; Wang, C.Y. Modeling of lithium plating induced aging of lithium-ion batteries: Transition from linear to nonlinear aging. J. Power Source 2017, 360, 28–40. [Google Scholar] [CrossRef]
  29. Bach, T.C.; Schuster, S.F.; Fleder, E.; Muller, J.; Brand, M.J.; Lorrmann, H.; Jossen, A.; Sextl, G. Nonlinear aging of cylindrical lithium-ion cells linked to heterogeneous compression. J. Energy Storage 2016, 5, 212–223. [Google Scholar] [CrossRef]
  30. Satopaa, V.; Albrecht, J.; Irwin, D.; Raghavan, B. Finding a “Kneedle” in a Haystack: Detecting Knee Points in System Behavior. In Proceedings of the 2011 31st International Conference on Distributed Computing Systems Workshops, Minneapolis, MN, USA, 20–24 June 2011; pp. 166–171. [Google Scholar] [CrossRef]
  31. Yang, M.J.; Ye, Y.J.; Yang, A.J.; Jiang, Z.Y.; Wang, X.H.; Yuan, H.; Rong, M.Z. Comparative study on aging and thermal runaway of commercial LiFePO4/graphite battery undergoing slight overcharge cycling. J. Energy Storage 2022, 50, 104691. [Google Scholar] [CrossRef]
  32. Liu, J.L.; Peng, W.; Yang, M.P.; Jin, K.Q.; Liu, P.J.; Sun, J.H.; Wang, Q.S. Quantitative analysis of aging and detection of commercial 18650 lithium-ion battery under slight overcharging cycling. J. Clean. Prod. 2022, 340, 130756. [Google Scholar] [CrossRef]
  33. Ouyang, D.X.; Weng, J.W.; Chen, M.Y.; Wang, J.; Wang, Z.R. Sensitivities of lithium-ion batteries with different capacities to overcharge/over-discharge. J. Energy Storage 2022, 52, 104997. [Google Scholar] [CrossRef]
  34. Han, X.; Lu, L.; Zheng, Y.; Feng, X.; Li, Z.; Li, J.; Ouyang, M. A review on the key issues of the lithium ion battery degradation among the whole life cycle. eTransportation 2019, 1, 100005. [Google Scholar] [CrossRef]
  35. Oh, S.M.; Song, J.; Lee, S.; Jang, I.C. Effect of current rate on the formation of the solid electrolyte interphase layer at the graphite anode in lithium-ion batteries. Electrochim. Acta 2021, 397, 139269. [Google Scholar] [CrossRef]
  36. Vetter, J.; Novak, P.; Wagner, M.R.; Veit, C.; Moller, K.C.; Besenhard, J.O.; Winter, M.; Wohlfahrt-Mehrens, M.; Vogler, C.; Hammouche, A. Ageing mechanisms in lithium-ion batteries. J. Power Source 2005, 147, 269–281. [Google Scholar] [CrossRef]
  37. Dubarry, M.; Truchot, C.; Liaw, B.Y. Synthesize battery degradation modes via a diagnostic and prognostic model. J. Power Source 2012, 219, 204–216. [Google Scholar] [CrossRef]
  38. Gao, Y.; Jiang, J.C.; Zhang, C.P.; Zhang, W.G.; Jiang, Y. Aging mechanisms under different state-of-charge ranges and the multi indicators system of state-of-health for lithium-ion battery with Li(NiMnCo)O2 cathode. J. Power Source 2018, 400, 641–651. [Google Scholar] [CrossRef]
  39. Wang, Z.P.; Xu, S.Q.; Zhu, X.Q.; Wang, H.; Huang, L.W.; Yuan, J.; Yang, W.Q. Effects of short-term over-discharge cycling on the performance of commercial 21,700 lithium-ion cells and the identification of degradation modes. J. Energy Storage 2021, 35, 102257. [Google Scholar] [CrossRef]
  40. Wu, W.; Wu, W.; Qiu, X.; Wang, S. Low-temperature reversible capacity loss and aging mechanism in lithium-ion batteries for different discharge profiles. Int. J. Energy Res. 2018, 43, 243–253. [Google Scholar] [CrossRef]
  41. Pastor-Fernández, C.; Uddin, K.; Chouchelamane, G.H.; Widanage, W.D.; Marco, J. A comparison between electrochemical impedance spectroscopy and incremental capacity-differential voltage as Li-ion diagnostic techniques to identify and quantify the effects of degradation modes within battery management systems. J. Power Source 2017, 360, 301–318. [Google Scholar] [CrossRef]
  42. Burow, D.; Sergeeva, K.; Calles, S.; Schorb, K.; Börger, A.; Roth, C.; Heitjans, P. Inhomogeneous degradation of graphite anodes in automotive lithium ion batteries under low-temperature pulse cycling conditions. J. Power Source 2016, 307, 806–814. [Google Scholar] [CrossRef]
  43. Krämer, Y.; Birkenmaier, C.; Feinauer, J.; Hintennach, A.; Bender, C.L.; Meiler, M.; Schmidt, V.; Dinnebier, R.E.; Schleid, T. A new method for quantitative marking of deposited lithium by chemical treatment on graphite anodes in lithium-ion cells. Chem. A Eur. J. 2015, 21, 6062–6065. [Google Scholar] [CrossRef] [PubMed]
  44. Zheng, H.H.; Sun, Q.N.; Liu, G.; Song, X.Y.; Battaglia, V.S. Correlation between dissolution behavior and electrochemical cycling performance for LiNi1/3Co1/3Mn1/3O2-based cells. J. Power Source 2012, 207, 134–140. [Google Scholar] [CrossRef]
  45. Liao, X.L.; Huang, Q.M.; Mai, S.W.; Wang, X.S.; Xu, M.Q.; Xing, L.D.; Liao, Y.H.; Li, W.S. Understanding self-discharge mechanism of layered nickel cobalt manganese oxide at high potential. J. Power Source 2015, 286, 551–556. [Google Scholar] [CrossRef]
  46. Fergus, J.W. Recent developments in cathode materials for lithium ion batteries. J. Power Source 2010, 195, 939–954. [Google Scholar] [CrossRef]
  47. Weisenberger, C.; Meir, B.; Rohler, S.; Harrison, D.K.; Knoblauch, V. A post-mortem study of commercial 18650 lithium-ion cells with LiNi0.5Co0.2Mn0.3O2//Graphite chemistry after prolonged cycling (>7000 cycles) with low C-rates. Electrochim. Acta 2021, 379, 138145. [Google Scholar] [CrossRef]
Figure 1. Measurement procedure in this study. (a) Procedure overview, (b) Overcharging procedure, and (c) RPT procedure.
Figure 1. Measurement procedure in this study. (a) Procedure overview, (b) Overcharging procedure, and (c) RPT procedure.
Energies 16 02786 g001
Figure 2. SOH of LFP cells after various numbers of cycles.
Figure 2. SOH of LFP cells after various numbers of cycles.
Energies 16 02786 g002
Figure 3. LFP cell SOH fade rates.
Figure 3. LFP cell SOH fade rates.
Energies 16 02786 g003
Figure 4. SOH of NCM cells after various numbers of charging cycles.
Figure 4. SOH of NCM cells after various numbers of charging cycles.
Energies 16 02786 g004
Figure 5. SOH fade rates of NCM cells before and after the turning point.
Figure 5. SOH fade rates of NCM cells before and after the turning point.
Energies 16 02786 g005
Figure 6. SOH of LFP cells at room temperature [31] and low temperature.
Figure 6. SOH of LFP cells at room temperature [31] and low temperature.
Energies 16 02786 g006
Figure 7. SOH of NCM cells at room temperature and low temperature. (a) 0.5 C charging current [32] and (b) 1 C charging current [33].
Figure 7. SOH of NCM cells at room temperature and low temperature. (a) 0.5 C charging current [32] and (b) 1 C charging current [33].
Energies 16 02786 g007
Figure 8. DC internal resistance growth rate (a) LFP cells and (b) NCM cells.
Figure 8. DC internal resistance growth rate (a) LFP cells and (b) NCM cells.
Energies 16 02786 g008
Figure 9. IC and DV curves of the 0.5 C charged LFP cells. (a,b) 3.65 V, (c,d) 4.0 V, (e,f) 4.4 V, and (g,h) 4.8 V.
Figure 9. IC and DV curves of the 0.5 C charged LFP cells. (a,b) 3.65 V, (c,d) 4.0 V, (e,f) 4.4 V, and (g,h) 4.8 V.
Energies 16 02786 g009aEnergies 16 02786 g009b
Figure 10. IC and DV curves of the 0.5 C charged NCM cells. (a,b) 4.2 V, (c,d) 4.4 V, (e,f) 4.6 V, and (g,h) 4.8 V.
Figure 10. IC and DV curves of the 0.5 C charged NCM cells. (a,b) 4.2 V, (c,d) 4.4 V, (e,f) 4.6 V, and (g,h) 4.8 V.
Energies 16 02786 g010aEnergies 16 02786 g010b
Figure 11. SEM images from a fresh cell and the cell overcharged with 1 C and 4.8 V. (a) Fresh cathode, (b) Degraded cathode, (c) Fresh anode, and (d) Degraded anode.
Figure 11. SEM images from a fresh cell and the cell overcharged with 1 C and 4.8 V. (a) Fresh cathode, (b) Degraded cathode, (c) Fresh anode, and (d) Degraded anode.
Energies 16 02786 g011
Figure 12. EDS results (a) Fresh anode and (b) Degraded anode from the cell overcharged with 1 C and 4.8 V.
Figure 12. EDS results (a) Fresh anode and (b) Degraded anode from the cell overcharged with 1 C and 4.8 V.
Energies 16 02786 g012
Figure 13. SEM images from a fresh cell and the cell overcharged at 1 C and 4.8 V. (a) Fresh cathode, (b) Degraded cathode, (c) Fresh anode, and (d) Degraded anode.
Figure 13. SEM images from a fresh cell and the cell overcharged at 1 C and 4.8 V. (a) Fresh cathode, (b) Degraded cathode, (c) Fresh anode, and (d) Degraded anode.
Energies 16 02786 g013
Figure 14. EDS results (a) Fresh anode and (b) Degraded anode from the cell overcharged with 1 C and 4.8 V.
Figure 14. EDS results (a) Fresh anode and (b) Degraded anode from the cell overcharged with 1 C and 4.8 V.
Energies 16 02786 g014
Table 1. Experimental cell parameters.
Table 1. Experimental cell parameters.
ItemsLFPNCM
Nominal capacity1.3 Ah2.6 Ah
Nominal voltage3.2 V3.7 V
Charging cut-off voltage3.65 V4.2 V
CV-limit current rate0.02 C0.02 C
Discharging cut-off voltage2 V2.75 V
Standard charging current rate0.5 C0.5 C
Standard discharging current rate0.5 C0.5 C
Maximum charging current rate1 C1 C
Maximum discharging current rate2 C2 C
Table 2. Test conditions.
Table 2. Test conditions.
Cell No.Charging Current RateDischarging Current RateCharging Cut-Off Voltage of LFP CellsCharging Cut-Off Voltage of NCM Cells
10.2 C0.5 C3.65 V4.2 V
20.2 C4.0 V4.4 V
30.2 C4.4 V4.6 V
40.2 C4.8 V4.8 V
50.5 C3.65 V4.2 V
60.5 C4.0 V4.4 V
70.5 C4.4 V4.6 V
80.5 C4.8 V4.8 V
91 C3.65 V4.2 V
101 C4.0 V4.4 V
111 C4.4 V4.6 V
121 C4.8 V4.8 V
Table 3. NCM cell fade types.
Table 3. NCM cell fade types.
Charging Voltage0.2 C0.5 C1 C
4.2 Vlinear fadedecelerated fadedecelerated fade
4.4 Vlinear fadedecelerated fadedecelerated fade
4.6 Vaccelerated fadedecelerated fadedecelerated fade
4.8 Vaccelerated fadelinear fadedecelerated fade
Table 4. Chemical composition (weight percentages) of fresh and degraded NCM cathodes.
Table 4. Chemical composition (weight percentages) of fresh and degraded NCM cathodes.
NiCoMnCOFP
fresh24.11%9.09%14.1%13.55%27.42%10.93%0.8%
degraded24.86%9.44%15.94%16.11%33.65%--
Disclaimer/Publisher’s Note: The statements, opinions and data contained in all publications are solely those of the individual author(s) and contributor(s) and not of MDPI and/or the editor(s). MDPI and/or the editor(s) disclaim responsibility for any injury to people or property resulting from any ideas, methods, instructions or products referred to in the content.

Share and Cite

MDPI and ACS Style

Zhang, X.; Sun, P.; Wang, S.; Zhu, Y. Experimental Study of the Degradation Characteristics of LiFePO4 and LiNi0.5Co0.2Mn0.3O2 Batteries during Overcharging at Low Temperatures. Energies 2023, 16, 2786. https://doi.org/10.3390/en16062786

AMA Style

Zhang X, Sun P, Wang S, Zhu Y. Experimental Study of the Degradation Characteristics of LiFePO4 and LiNi0.5Co0.2Mn0.3O2 Batteries during Overcharging at Low Temperatures. Energies. 2023; 16(6):2786. https://doi.org/10.3390/en16062786

Chicago/Turabian Style

Zhang, Xiaoning, Pengfei Sun, Shixue Wang, and Yu Zhu. 2023. "Experimental Study of the Degradation Characteristics of LiFePO4 and LiNi0.5Co0.2Mn0.3O2 Batteries during Overcharging at Low Temperatures" Energies 16, no. 6: 2786. https://doi.org/10.3390/en16062786

APA Style

Zhang, X., Sun, P., Wang, S., & Zhu, Y. (2023). Experimental Study of the Degradation Characteristics of LiFePO4 and LiNi0.5Co0.2Mn0.3O2 Batteries during Overcharging at Low Temperatures. Energies, 16(6), 2786. https://doi.org/10.3390/en16062786

Note that from the first issue of 2016, this journal uses article numbers instead of page numbers. See further details here.

Article Metrics

Back to TopTop