Next Article in Journal
Analysis of Improved In-Cylinder Combustion Characteristics with Chamber Modifications of the Diesel Engine
Next Article in Special Issue
Study on the Effect of Secondary Air Layout on CO Reduction Performance in a 75 t/h Biomass CFB Boiler Burning Wheat Straw
Previous Article in Journal
External Identification of a Reciprocal Lossy Multiport Circuit under Measurement Uncertainties by Riemannian Gradient Descent
Previous Article in Special Issue
Study on Gas–Solid Two–Phase Flow Characteristics of One–Furnace with Two–Tower Semi–Dry Desulfurization in Circulating Fluidized Bed Boiler
 
 
Font Type:
Arial Georgia Verdana
Font Size:
Aa Aa Aa
Line Spacing:
Column Width:
Background:
Article

An Experimental Study on SO2 Emission and Ash Deposition Characteristics of High Alkali Red Mud under Large Proportional Co-Combustion Conditions in Fluidized Bed

1
School of Energy and Power Engineering, Nanjing Institute of Technology, Nanjing 211167, China
2
Key Laboratory of Low-Grade Energy Utilization Technologies and Systems of Ministry of Education of PRC, Chongqing University, Chongqing 400044, China
3
Key Laboratory of Energy Thermal Conversion and Control of Ministry of Education, Southeast University, Nanjing 210096, China
4
Chongqing Special Equipment Inspection and Research Institute, Chongqing 401121, China
5
Key Laboratory of Electromechanical Equipment Security in Western Complex Environment for State Market Regulation, Chongqing 401121, China
*
Authors to whom correspondence should be addressed.
Energies 2023, 16(6), 2584; https://doi.org/10.3390/en16062584
Submission received: 3 February 2023 / Revised: 28 February 2023 / Accepted: 7 March 2023 / Published: 9 March 2023

Abstract

:
As an industrial solid waste, the discharge of a large amount of red mud (RM) causes serious environmental problems; thus, a large proportion of RM co-combustion has been proposed to solve the consumption problem. In this paper, an experiment with various proportions of RM co-combustion was conducted on a 0.2 t/h circulating fluidized bed (CFB) boiler. Desulfurization performance, combustion characteristics, and ash deposition characteristics were analyzed, especially under the large proportional co-combustion conditions. As the study results showed, the desulfurization efficiency was positively correlated with the RM co-combustion proportion. When the RM co-combustion proportion reached 50%, the desulfurization efficiency was over 94%. After a period of cyclic combustion, the highest desulfurization efficiency exceeded 99.5%. The smaller size of RM was beneficial to improve the combustion efficiency and the combustion stability. However, a large area of sintering formed on the top of the heating surface in the furnace, which was lighter than the sintering of high alkali fuels such as Zhundong coal. Meanwhile, the content of sulfates, such as Na2SO4 and CaSO4, in the ash increased, which clearly proves that RM has the desulfurization effect. Therefore, a large proportion of co-combustion could meet the requirements of in-situ desulfurization and realize the resource utilization of RM.

1. Introduction

Red mud (RM) is an industrial solid waste that is produced in alumina smelting, with 1–2 tons of RM produced for each ton of alumina production [1]. With the increase in alumina production, the accumulation of a large amount of RM continues to cause the waste of land resources and pollution. Due to its strong alkalinity and radioactivity [2,3], RM poses a threat to human health while polluting the ecological environment. Therefore, in order to improve the current situation of massive RM storage, it is particularly important to find a technology that can achieve the large-scale consumption of RM.
In recent years, research on the resource utilization of RM has mainly focused on the preparation of composites [4,5,6,7,8], catalysts [9], and transporters [10], both at home and abroad. Positive results have been achieved in the research of RM, but such results can hardly solve the problem of large-scale RM consumption. RM has a high flue gas desulfurization (FGD) potential due to its rich metal oxide content and good pore structure. Thus, many scholars have conducted research on the FGD characteristics of RM. Liu et al. [11] used RM as an additive to modify limestone. The results showed that the incorporation of RM had a significant effect on sulfation and was effective in improving the FGD performance of limestone in the temperature range of 800–1100 °C. Tao et al. [12] used Bayer RM and water as the absorbent for FGD. It was found that the solid-to-liquid ratio was the main factor affecting the FGD efficiency, and that the accumulation of SO42− ions also inhibited the FGD efficiency. Liu et al. [13] conducted experiments on FGD by coupling yellow phosphorus emulsion with RM. Under optimal conditions, the desulfurization efficiency reached 100%, and the main product was gypsum. Wang et al. [14] conducted an investigation on RM desulphurization and dealkalization by simulating flue gas. The results showed that alkaline RM was neutralized by acid gas to form soluble salt, and that the SO2 concentration in the flue gas decreased significantly. In summary, the research on RM desulphurization has mainly concentrated on wet desulphurization and the modification of its absorbent, as shown in Table 1. However, long-term operations often lead to adverse factors such as hardening and corrosion. Additionally, the use of RM for absorbent modification has improved the desulfurization efficiency to a certain extent, but the process flow is relatively complex and the treatment cost is high, which makes it difficult for RM to realize the large-scale resource utilization.
Because of fuel adaptability, combustion efficiency, pollutant emission, and other advantages, CFB combustion technology [15,16] had been widely investigated and applied [17,18,19] in recent years. Among the CFB technologies, co-combustion technology and limestone desulfurization technology [20,21] were more maturely studied, providing a favorable condition to solve the problem of RM consumption. At present, the fixed plate was mainly used to simulate the fluidized bed and different components of gas that are prepared to simulate the flue gas. However, few studies had been conducted on in-situ desulfurization with RM, and the reliability of RM based on the CFB co-combustion desulfurization technology had to be further explored. Yan et al. [22] performed dry desulfurization experiments on RM co-combustion through a lab-scale CFB combustor. The experimental analysis of the operating characteristics under a 0–20% blending ratio confirmed the feasibility of RM co-combustion for desulfurization, but the CaO activity in RM was lower than the limestone. Therefore, in order to achieve the desulfurization requirements, it is necessary to use a large proportion of RM co-combustion (the blending ratio was greater than or equal to 30%). Unfortunately, few relevant studies have been reported. At the same time, some scholars had found that Zhundong coal has a high alkali metal content, leading to the strong volatilization and conversion of alkali metals and serious slagging and fouling of the heated surface [23,24,25]. As a waste product from the smelting industry, RM has no fuel properties, but its alkali metal content is higher than that of Zhundong coal. Due to the high content of alkali metals in red mud, it is likely to cause serious fouling and slagging, but the deposition and sintering characteristics of RM after co-combustion has not been studied.
Therefore, in order to further solve the problems of RM consumption and ensure the in-situ desulfurization efficiency, this paper proposed a study on a large proportion of RM co-combustion. In the experiment, a lab-scale CFB was used to carry out a comparative test under different blending ratios from the aspects of flue gas emission characteristics, dynamic desulfurization efficiency, ash deposition, sintering characteristics, and migration characteristics of alkali metals. The research results of this paper can provide a theoretical basis for the realization of a large proportion of RM co-combustion and guidance of RM consumption.

2. Experimental Section

2.1. Introduction of Experimental Equipment

A schematic diagram of the lab-scale CFB combustion system is shown in Figure 1. The system was mainly composed of furnace, cyclone separator, loop seal, tail flue, flue gas analyzer, probe, and other devices. The cross-sectional area of the furnace was 150 mm × 150 mm, and the height was 3000 mm. There were 10 temperature measuring points along the height of the furnace, as shown in Table 2. The probe was installed on the top of the furnace with the length direction parallel to the direction of flue gas flow by air cooling. The flue gas sampling point was provided at the exit of the tail flue, and the dynamic flue gas analysis was carried out by the Ecom-J2KN flue gas analyzer, as detailed in Table 3. More detailed information of this CFB combustion experimental system is given in the references [26,27].

2.2. Material Characteristics

In this experiment, Ningdong coal was used as fuel for co-combustion. The particle size distribution of the experimental coal was determined using the sieving method, and the coal mass of each particle size range was measured by electronic balance (precision: 0.1 g), as shown in Figure 2. The particle size was controlled within 3 mm and the distribution was relatively uniform. Then, heating method was used for industrial analysis (GB/T 212-2008). The residual mass after each heating was measured by an analytical balance (precision: 0.1 mg), and the proportion of each composition was obtained in turn. Further, a Unicube-type element analyzer (precision: 0.1%) was conducted on the experimental coal. Additionally, a Rigaku X-ray fluorescence spectrometer (ZSX Primus II) was used for ash chemistry identification, as shown in Table 4. It can be seen that the ash content was low (4.53%), and that the main component of ash was alkali metal. Therefore, this experimental coal can be used as a comparison condition.
RM was extremely fine in size was and also screened into particles within 1 mm. Similar to the above ash chemistry steps, the composition of RM was determined by ZSX Primus II. Table 5 exhibited the main chemical composition of RM, where the contents of alkali metal with desulfurization capacity were abundant. In particular, RM did not have fuel characteristics. So RM can be regarded as 100% ash in the co-combustion experiment with ND coal, while the content of alkali metals, such as Na and Ca, was much higher than that of normal power coal. In addition, 10 kg of quartz sand with particle size of 0.15–1 mm and purity of 95% was used as bed material.

2.3. Experiment and Working Condition Arrangement

The furnace electric heating system was composed of three groups of resistance wires with rated power of 10 kW (at the bottom of the furnace), 4 kW (at the middle of the furnace), and 4 kW (at the top of the furnace) in parallel. The resistance wires were evenly wound in the grooves outside the silicon carbide tube. It took 3–4 h to rise from room temperature to 600 °C. Then, the experimental coal was ignited and the combustion stability was judged by the bed temperature. When the bed temperature reached 800 °C and the combustion was stable for a period of time, the air cooling flow of the probe was adjusted to make the tube wall temperature simulate the heating surface on the top of the furnace, as exhibited in Figure 3. The tube wall temperature was slightly higher than 500 °C. Then the official experiment began. The mono-combustion experiment was carried out first. Then, the experiments of RM co-combustion ratio of 5%, 10%, 30%, and 50% were carried out sequentially through adjusting the feed rate of coal and RM. At the same time, the excess air coefficient was adjusted to keep the combustion as stable as possible, and the operating parameters of the experiment were shown in Table 6. Because SO2 and NOx were easy to react with H2O, the measured value of gas emission would be lower than the true value. In order to ensure the reliability of the measured value, the flue gas sample to be measured was heated with an electric bag before entering the flue gas analyzer.
Due to the high alkalinity of RM, it is necessary to further explore the deposition and sintering characteristics of RM under large proportional conditions. The ash from the probe and the bottom was collected, respectively, after the mono-combustion and the co-combustion. Then, the morphology characteristics and mineral phases of the ash were analyzed by scanning electron microscope and energy dispersive system (SEM-EDS).
For the analysis of co-emission characteristics, SO2 and NOx were normalized to the corresponding emission at 6% O2 concentration, as shown in formula (1):
c = c′ × (21 − 6)/(21 − cO)
where c′ and c, respectively, represented the emissions of the gas before and after normalization, cO represented the O2 concentration of the gas.
The definition of desulfurization efficiency is shown in formula (2):
η s = ( c s 0 c s ) / c s 0 × 100 %
where c s 0 and cS, respectively, represented the average SO2 concentration under the mono-combustion condition and each co-combustion condition.

3. Results and Analysis

3.1. Combustion Characteristic

This section mainly analyzes the influence of different RM blending ratios on furnace temperature distributions and integrally evaluates the combustion characteristics of RM co-combustion through CO emission.

3.1.1. Furnace Temperature Distribution Characteristics

Figure 4 shows the distribution of the furnace temperatures along the furnace height under various cases (different RM blending ratio conditions). It can be seen that the bed temperature was 900 °C in Case 1 (mono-combustion), and Ningdong coal can burn stably in the furnace. The temperature of each section of the furnace was also basically stable, with the furnace temperature at 0.69 m reaching about 925 °C. Meanwhile, along the height of the furnace, the temperature decreased in turn, so the temperature at the furnace outlet was about 810 °C. With the increase in the RM blending ratio, the proportion of the coal particles gradually decreased, but still, the furnace temperature was similar to that for Case 1. Although the temperature at the furnace outlet decreased slightly, the overall temperature distribution had little influence. It was obvious that when the other operating conditions remained stable, the increase in the RM co-combustion proportion would not significantly change the bed temperature distribution; thus, the CFB system was able to burn stably. To sum up, under the condition of controlling the primary air flow and bed temperature, similar furnace temperature distributions can be maintained under various cases. Therefore, it was only necessary to focus on the impact of the RM blending ratio on pollutant emission and deposition characteristics.

3.1.2. CO Emission

Figure 5 presents the O2 concentration distribution at the exit of the tail flue under various cases. In Case 1, the O2 concentration curve oscillated up and down approximately as a sine function. By the comparison, the amplitude of the oscillation was large and the average O2 concentration was 6.6%. With the increase in the RM blending ratio, the oscillation amplitude of the O2 concentration curve was comparatively weakened, while the average concentration was also gradually rising. In Case 5, the O2 concentration curve was relatively flatter, with an average of 9.2%. Due to the small and uniform particle size, RM was better transported to the dilute phase zone under the action of fluidized air, and the particle concentration in the furnace was stable. At the same time, RM participated in the external circulation process and promoted the particle diffusion and energy transfer, which was conducive to improving the combustion stability. Therefore, the amplitude of the O2 oscillation decreased. Moreover, under the same primary air flow rate, the air–coal ratio increased with the addition of the RM co-combustion proportion; thus, the O2 concentration increased.
The CO emission curve under various cases is shown in Figure 6 and the average CO concentration under various cases is shown in Figure 7. Significantly, in Case 1, the CO emission curve fluctuated greatly and the emission concentration was relatively high. With the increase in the RM blending ratio, the oscillation of the CO emission curve was obviously weakened. While the RM co-combustion proportion exceeded 30%, the CO emission curve gradually became stable. At the same time, the CO emission concentration was far lower than that of Case 1. The main reason for this phenomenon was because of the excess air coefficient and the particle size. On the one hand, under the same primary air flow rate, the air–coal ratio increased with the addition of the RM co-combustion proportion. This led to a fuller combustion of coal, resulting in less CO production. On the other hand, the particle size of coal in this experiment was 0–3 mm, while the particle size of the RM was comparatively uniform and smaller than 1 mm. The coal was suspended in the furnace for combustion by fluidizing air. Because of the smaller particle size, RM was better transported to the dilute phase zone and participated better in the external circulation process, which promoted particle diffusion and energy transfer and was conducive to the oxidation of CO to CO2. While improving combustion stability and efficiency, the CO oscillation was significantly weakened and the CO emission was reduced.
All in all, the addition of RM can promote particle diffusion and energy transfer with fuller coal combustion, so as to reduce the CO emission, which provides feasible support for the study of RM co-combustion.

3.2. Pollutant Emission

This section focuses on the dynamic emission characteristics of SO2 and NOx (NO + NO2) in different cases, followed by the analysis of the SO2 and NOx co-emission characteristics.

3.2.1. SO2 Emission

The dynamic emission curve of SO2 is shown in Figure 8. It can be seen that the dynamic curve in this figure shows peaks and valleys, which were caused by starting or shutting down the electric heater before the flue gas analysis. Certainly, the influence of the electric heating on the measured value can also be verified from the figure. In order to reduce the impact of the previous case and derive more accurate experimental data, this paper selected the second or third electric heating section of each case to calculate the average emission concentration of SO2 when the dynamic curve stably presented an approximate sine wave. In Case 1, the SO2 emission fluctuated violently, with an average of 1882 mg/m3. Subsequently, the SO2 emission curve fluctuated up and down in the range of 1000–1400 mg/m3 in Cases 2 and 3, with an average of 1263 mg/m3 and 1094 mg/m3, respectively. Clearly, the emission decreased, while the desulfurization efficiency was around 33% and 42%. Then, with the increase in the blending ratio, the oscillation of the SO2 emission curve weakened, along with the curve decreasing significantly. When it reached Case 4, the average concentration was about 497 mg/m3, with a 73% desulfurization efficiency. In Case 5, the SO2 emission curve oscillated slightly at first and gradually became stable after a period of cyclic combustion. Finally, the SO2 emission dropped to below 50 mg/m3 and was maintained continuously when the desulfurization efficiency was over 99.5%. In general, the average SO2 concentration in the whole process of Case 5 was about 110 mg/m3, so the desulfurization efficiency was 94%.
It was analyzed that the reason for this phenomenon was mainly due to the rich CaO-based alkali oxides in RM, which have a good sulfur fixation ability. During the combustion process, SO2 would go deep into the particles along the pores of the RM surface and react with alkali oxides to form sulfate, thus playing a good role in SO2 fixation [28]. The bed temperature of 900 °C was helpful for RM to maintain a good pore structure and strong reaction activity to achieve a better S fixation. Moreover, with the increase in the RM co-combustion proportion, the converted S content of the fuel was also reduced, because the SO2 emission in the fuel gas was positively correlated with the S in the fuel.
Therefore, the SO2 emissions decreased significantly with the increase in the RM blending ratio. When the co-combustion proportion was 50%, the desulfurization efficiency reached 94%, which maintained a good stability. It is noteworthy that RM in-situ desulfurization had a certain lag, which took a period of combustion to achieve stability and an efficient desulfurization efficiency. At the same time, RM had the ability to conduct secondary or even tertiary desulfurization with the CFB.

3.2.2. NOx Emission

Desulfurization and denitrification were often in opposition. In the previous analysis, it can be seen that RM had a remarkable in-situ desulfurization effect. To further explore the feasibility of RM in-site desulfurization, this section analyzes the NOx emission characteristics under various cases, as shown in Figure 9. Similarly, the NOx dynamic emission was also affected by starting or shutting down the electric heater, so the same section was selected as above to calculate the average concentration. In Case 1, the NOx emission curve fluctuated noticeably between 350 mg/m3 to 450 mg/m3. The NOx emission curve weakened slightly and tended to stabilize gradually as the RM blending ratio increased, albeit with a slight increase in NOx emission. In Case 4, the NOx emission curve fluctuated around 450 mg/m3 and the amplitude decreased, with an average of 453 mg/m3. Then, in Case 5, the NOx emission curve was relatively stable, with an average of 482 mg/m3.
It is chiefly caused by the fact that NOx mainly came from the N element in fuel. With the increase in the RM co-combustion proportion, the converted N content of the fuel gradually decreased. However, the wind–coal ratio increased with the RM co-combustion proportion, which effectively improved the combustion efficiency of the coal. Thus, the O2 concentration in the furnace also increased, which was conducive to the generation of NOx [29]. Because of these above factors, the NOx emission curve rose slightly and tended to become stable as the experiment proceeded.

3.2.3. Co-Emission Characteristics of SO2 and NOx

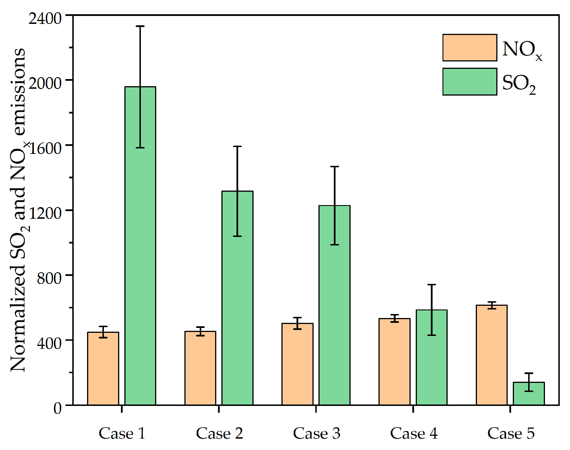
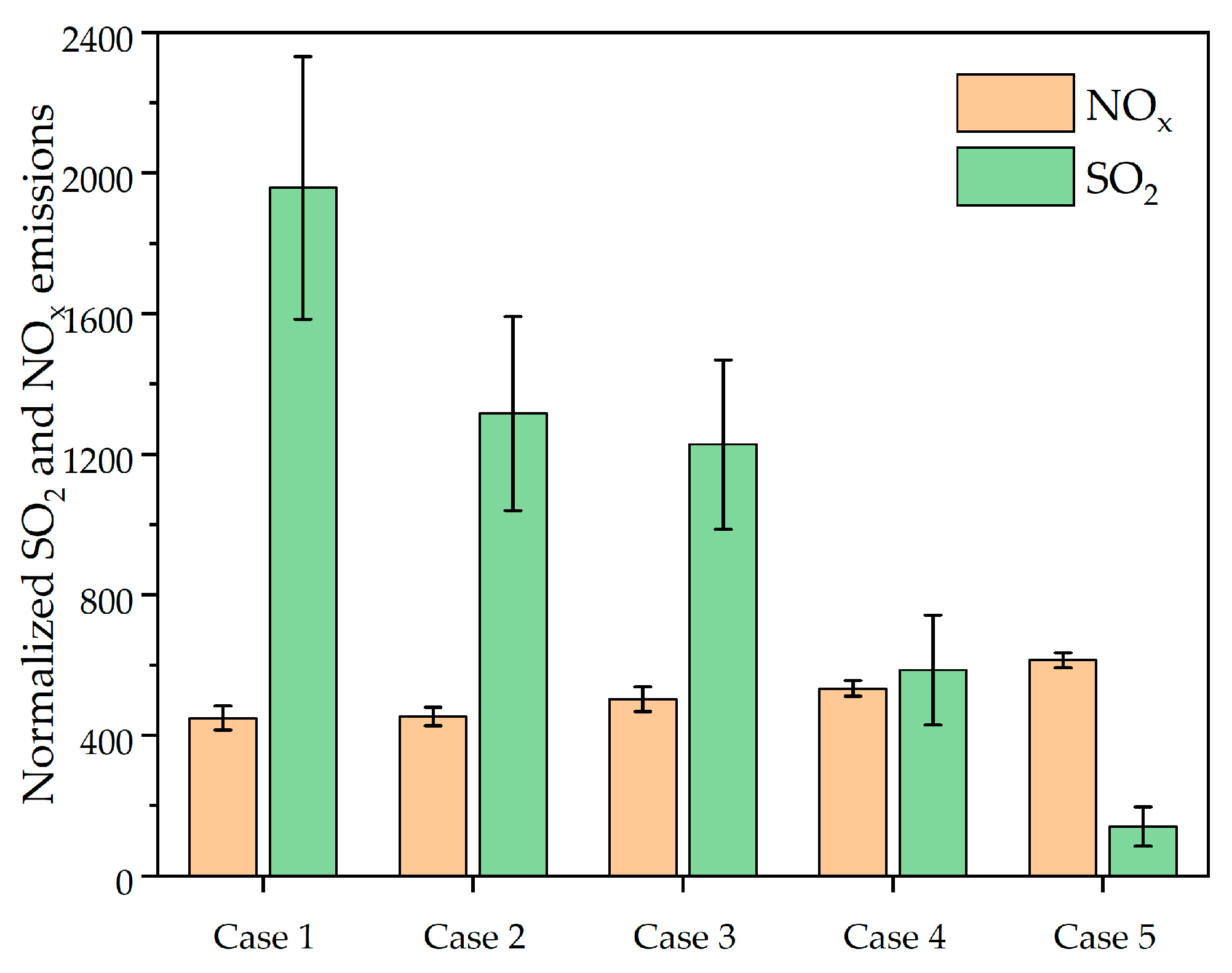
The comparisons of SO2 and NOx emissions under various cases are presented in Figure 10. After the normalization treatment at 6% O2, under the same primary air flow and furnace bed temperature, the SO2 concentration was negatively correlated with the RM co-combustion proportion, while the NOx concentration was the opposite. In Case 2 and 3, the in-site desulfurization efficiency of RM was 33% and 42%, respectively, while the NOx concentration only marginally increased. Then, in Case 4, the desulfurization efficiency was 73%, although the NOx concentration increased by 84 mg/m3. Next, in Case 5, the SO2 concentration dropped sharply from 1957 mg/m3 to 140 mg/m3 when compared to Case 1; thus, the desulfurization efficiency was as high as 94%. As well as this, the NOx concentration increased from 449 mg/m3 in Case 1 to 614 mg/m3, which was in a reasonable range. This is mainly because during the combustion process, SO2 reacted with the rich alkali oxides in RM to achieve a good sulfur fixation effect. However, SO2 had the effect of inhibiting CO oxidation to CO2 [30,31]. As the high CaO content in RM led to the reduction in SO2, the CO concentration also decreased. Therefore, since CO was an active agent in the NOx reduction process [32], the decrease in CO led to an increase in NOx. Additionally, with the increase in the O2 concentration, the oxygen-rich conditions promoted the formation of NOx. If the coal feeding rate was properly increased, the NOx concentration could be reduced by a certain extent to achieve a better effect of inhibiting NOx generation. To sum up, RM showed a superior in-situ desulfurization performance and strong competitiveness in comparison. We suggest that the capacity and value of circulating desulfurization be further discussed in the future.

3.3. Ash Deposition and Sintering Characteristics

In order to further analyze the deposition characteristics of RM in the CFB combustion, this section outlines the collection of the probe ash and the bottom ash under the mono-combustion condition and the co-combustion conditions, respectively. Then, we used a Quattro S environmental scanning electron microscopy coupled with an energy dispersive X-ray spectroscopy (SEM-EDS) for the characteristics of deposition and sintering analysis.

3.3.1. Deposition and Sintering Characteristics of the Probe

(1)
Top cover
Figure 11 exhibits the apparent morphology, microscopic morphology, and EDS analysis of the ash deposition on the top cover of the probe. Under the mono-combustion condition, there was only a thin, gray, and white deposit on the top cover of the probe (Figure 11a). At the microscopic scale of 100 μm (Figure 11b), the ash deposition was uneven, with the ash closely connected. Further magnification to 20 μm (Figure 11c) can be observed when most of the ash was flocculent, and some areas had obvious signs of sintering. According to EDS analysis (Figure 11d), the flocculent surface, such as Areas 1 and 5, contained a large amount of Ca, Fe, and S, which were presumed to be mainly sulfate and Fe-bearing compounds. The obvious sintering phenomenon, such as Area 4, where the content of Fe reached 50%, was presumed to be mainly Fe2O3 and some alkali metal sulfates.
Under the co-combustion condition, a uniform yellow-brown layer of ash was attached to the top cover surface. Additionally, it can be seen from Figure 11e that the ash particle size was small and the ash layer was thick, with some yellow solid particles with larger particle sizes on the top cover. Under the microscopic scale of 100 μm (Figure 11f), it was found that the deposited ash had been sintered in a large area. However, the surface sintering was not sufficient, and some incomplete sintering parts were scattered. Continuing to enlarge to 20 μm and to be analyzed by EDS (Figure 11g,h), the surface of the completely sintered ash was smooth, as is shown in Areas 1 and 6, where the content of Na reached 30%. Additionally, these areas were rich in Ca and S, which were presumed to be mainly Na/Ca-bearing sulfates and some aluminosilicates. Area 3 contained more than 40% Na and much Fe and S. It is speculated that these areas were mainly composed of Na2SO4, Fe2O3, and some other Na-bearing compounds. An ash particle with a large particle size and partial fusion was located in Area 4, which had a content of Na that was close to 40%. Additionally, for the high contents of S and Ca, the ash particle was likely to contain Na2SO4 and CaSO4, as well as Na/Ca-bearing silicates or aluminosilicates.
Through the above comparative analysis, evidently the sintered ash layer on the top cover changed from white to yellow-brown after the co-combustion, and the ash layer was significantly thickened, which were accompanied by large area sintering. In addition, it is not difficult to find from the EDS analysis that the content of Na in the ash increased a lot after the co-combustion, and the contents of Al and Si increased slightly. The main compounds in the ash changed from a small amount of CaSO4 under the mono-combustion condition to a large amount of Na2SO4 and other compounds containing Na under the co-combustion condition. Crucially, the significant increase in the sulfuric acid compounds in the ash also confirmed the ability of RM co-combustion to desulfurize the flue gas.
(2)
Side
Figure 12 presents the apparent morphology, microscopic morphology, and EDS analysis of the ash deposition on the side of the probe. Under the mono-combustion condition, the side of the probe was covered by a thin layer of yellow ash (Figure 12a), with some black solid particles of a larger particle size. At the scale of 100 μm (Figure 12b), the overall distribution of the ash was relatively loose, which was accompanied by partial agglomeration. However, it is more obvious that the agglomeration was not serious when the scale was further enlarged to 20 μm (Figure 12c). Among the interstices of the ash particles, some extremely fine flake ash was observed. According to the EDS analysis (Figure 12d), as shown in Areas 3, 5, and 6 where the ash agglomerated, the content of Fe was more than 30%. At the same time, the content of S was between 15% and 20%. Presumably, the ash in these areas comprised mainly of Fe-bearing sulfates, aluminosilicates of Fe, and alkali metals, with some other Fe-bearing compounds. In Area 4, the surface of the ash was smooth and completely molten. The content of S was up to 25%, and the content of Fe, Ca, and Mg was about 18%. Therefore, the ash in Area 4 mainly contained alkali metals as well as Fe-bearing sulfates.
Under the co-combustion condition, a thick yellow-brown, gray layer and some solid particles with larger particle sizes appeared on the side of the probe (Figure 12e). The microscopic analysis (Figure 12f) revealed that the ash particle size increased compared with that under the mono-combustion condition, and almost all large ash particles had the phenomenon of ash particle agglomeration. When the scale was enlarged to 20 μm (Figure 12g), the ash particle agglomeration was observed, and most of the upper ash particles fused into the whole large ash particles. As evidenced by the EDS analysis (Figure 12h), the partial fusion ash particles, in Areas 1 and 3, were rich in Ca, Na, Al, and S. Supposedly, the main substances were sulfates of alkali metals. The surface of the ash in Area 4 was smooth, and the sintering degree was high. Meanwhile, this area was only rich in Na and S, with 38% and 32%, respectively, so the main substance was likely to be Na2SO4.
Similar to the deposition characteristics of the top cover, the ash layer on the side of the probe was thickened under the co-combustion condition, and the ash composition changed from mainly Fe to alkali metals. Due to the obvious increase in the sulfate content, a cohesive inner layer was formed on the surface of the probe to continuously adsorb other ash particles containing alkali metal salts, thus resulting in the deposition of an ash layer. Significantly, although RM had a high alkali metal content, the sintering degree was clearly weaker than that of high alkali fuels, such as Zhundong coal [33]. Moreover, the marked increase in sulfates in the RM co-combustion can further verify the fact that RM had an obvious desulfurization ability.

3.3.2. Bottom Ash

The microscopic morphology and EDS analysis results of the sintered bottom ash under the conditions of mono-combustion and co-combustion are shown in Figure 13. Under the mono-combustion condition, the average size of an ash block was about 4–5 mm, which did not exclude the existence of larger ashes. In the view of the electron microscope (Figure 13a), it was found that this sintered ash was agglomerated together by much smaller ashes, with a rough surface and a low sintering degree. The content of Fe reached 57% (Figure 13b), while Ca and Si accounted for 11%, respectively. Presumably, the main substances were iron oxide and some Ca-bearing silicate. In Areas 2 and 4, the degree of ash melting and sintering was relatively lighter, with rich Si. So, the main material was presumed to be SiO2. Ca, S, and Fe accounted for 40%, 30%, and 15%, respectively, in Area 3; thus, the main substance was probably CaSO4 with some low-temperature eutectics of Fe.
Under the co-combustion condition, the average size of the ash was reduced, mainly to about 2–3 mm. The microscopic morphology of the sintered ash (Figure 13c) exhibited that the shape of the ash was nearly spherical with a high surface sintering degree, with some flocculent ash appearing. It is possible for this sintered ash to stick with other ashes, resulting in more serious ash agglomeration. According to the EDS analysis (Figure 13d), Ca, Si, and Fe in Area 1 account for 30%, 23%, and 12%, respectively, as well as a small part of S, Al, and Na. It is speculated that the main substances were the silicates, aluminates, Ca-bearing sulfates, and low-temperature eutectics of Fe. The granular ash, such as that observed in Area 2, contained a lot of S and alkali metals, indicating the presence of alkali metal oxides and sulfates. Area 3 of this sintered ash, with a high melting degree and 88% Fe, was judged to be iron oxide. Ca, Fe, and S were rich in Area 4, so the main substances in this area were iron oxide and CaSO4. The outer layer with the highest melting degree, such as zone 5, was composed of 22% Ca, 11% Si, and 11% S, with a small part of Na and Al. Presumably, the main substances were iron oxide, Ca/Na-bearing aluminosilicate, and sulfate.
In general, the sintering degree of the bottom ash under the co-combustion condition was more serious than that under the mono-combustion condition. After RM co-combustion, the content of Fe, Ca, and Al in the bottom ash increased, which was directly related to the main components of RM, such as Fe2O3, CaO, and Al2O3. In addition, the content of S increased to a large extent, and more solid particles like sulfate were formed in the bottom ash. This phenomenon also confirmed that RM had a potential desulfurization effect.

4. Conclusions

In this paper, the characteristics of SO2 emission and the ash deposition characteristics of RM co-combustion at a large proportion in a lab-scale CFB were studied. The main conclusions are presented as follows:
  • With the increase in the RM blending ratio, the desulfurization efficiency kept increasing. When the proportion reached 50%, the dynamic emission of SO2 decreased significantly, and the overall desulfurization efficiency was 94%. After a period of circulating combustion, the SO2 emission dropped to a very low value, and the maximum desulfurization efficiency exceeded 99.5%. Clearly, the RM in-situ desulfurization had a certain lag.
  • The RM co-combustion had little effect on the bed temperature. Due to the smaller particle size of RM, RM co-combustion was beneficial for improving the combustion efficiency and stabilizing the CO emissions at a low level. As the RM co-combustion proportion increased, the NOx emission would slightly increase. However, the NOx inhibition effect was able to be improved by properly increasing the feeding rate.
  • The ash deposition and sintering were exhibited under large proportional co-combustion conditions. However, the sintering degree was obviously weaker than that of high alkali fuels such as Zhundong coal, which provided support for the application of long-term safe and stable operation. Meanwhile, the content of alkali metal sulfate in the ash increased significantly after RM co-combustion, which confirmed that RM had the clear effect of FGD.

Author Contributions

Conceptualization, J.Y. and X.Y.; investigation, J.Y., R.S. and X.Y.; methodology, J.Y. and X.Y.; writing—original draft preparation, X.Y; writing—review and editing, J.Y., R.S., F.W., Y.G. and S.W.; validation, Y.L. and L.M. All authors have read and agreed to the published version of the manuscript.

Funding

This research was funded by the General Project of Basic Scientific Research of Jiangsu Province, Jiangsu Education Department (grant no. 22KJB470012), the Youth Foundation Funding Project of Nanjing Institute of Technology, Nanjing Institute of Technology (grants no. QKJ202201), and the Undergraduate Practical Innovation Training Program of Jiangsu Province, Jiangsu Education Department (no. 202211276095Y).

Data Availability Statement

Not applicable.

Acknowledgments

Authors are thankful to the materials acquired from the Nanchuan Xianfeng Aluminum Oxide Co., Ltd. and for valuable support received throughout the experiments and relevant tests.

Conflicts of Interest

The authors declare no conflict of interest.

References

  1. Milacic, R.; Zuliani, T.; Scancar, J. Environmental impact of toxic elements in red mud studied by fractionation and speciation procedures. Sci. Total Environ. 2012, 426, 359–365. [Google Scholar] [CrossRef]
  2. Yang, D.Z.; Wang, R.H.; Feng, X.Z.; Chu, Z.T.; Li, J.; Wei, W.F.; Zheng, R.J.; Zhang, J.; Chen, H. Transferring waste red mud into ferric oxide decorated ANA-type zeolite for multiple heavy metals polluted soil remediation. J. Hazard. Mater. 2022, 424, 127244. [Google Scholar] [CrossRef]
  3. Wang, M.F.; Liu, X.M. Applications of red mud as an environmental remediation material: A review. J. Hazard. Mater. 2021, 208, 124420. [Google Scholar] [CrossRef]
  4. Wang, Y.; Cheng, Y.S.; Yu, M.G.; Li, Y.; Cao, J.L.; Zheng, L.G.; Yi, H.W. Methane explosion suppression characteristics based on the NaHCO3/red-mud composite powders with core-shell structure. J. Hazard. Mater. 2017, 335, 84–91. [Google Scholar] [CrossRef]
  5. Akinci, A.; Akbulut, H.; Yilmaz, F. The effect of the red mud on polymer crystallization and the interaction between the polymer-filler. Polym.-Plast. Technol. Mater. 2007, 46, 31–36. [Google Scholar] [CrossRef]
  6. Ren, H.; Tang, Y.; Shi, W.; Chen, F.; Xu, Y. Red mud modified with graphene oxide for enhanced visible-light-driven photocatalytic performance towards the degradation of antibiotics. New J. Chem. 2019, 43, 19172–19179. [Google Scholar] [CrossRef]
  7. Singh, S.; De, M. Thermally exfoliated graphene oxide for hydrogen storage. Mater. Chem. Phys. 2019, 239, 122102. [Google Scholar] [CrossRef]
  8. Singh, S.; De, M. Improved hydrogen uptake of metal modified reduced and exfoliated graphene oxide. J. Mater. Res. 2022, 36, 3109–3120. [Google Scholar] [CrossRef]
  9. Ahmed, M.; Batalha, N.; Qiu, T.F.; Hasan, M.D.; Atanda, L.; Amiralian, N.; Wang, L.Z.; Pneg, H.; Konarova, M. Red-mud based porous nanocatalysts for valorisation of municipal solid waste. J. Hazard. Mater. 2020, 396, 122711. [Google Scholar] [CrossRef]
  10. Zhang, H.F.; Chen, L.; Liu, X.Y.; Ge, H.J.; Song, T.; Shen, L.H. Characteristics of cyanobacteria pyrolysis and gasification during chemical looping process with red mud oxygen carrier. J. Fuel Chem. Technol. 2021, 49, 1802–1811. [Google Scholar] [CrossRef]
  11. Liu, H.; Han, K.; Niu, S.; Lu, C.; Liu, M.; Li, H. Experimental Study and Mechanism Analysis of Modified Limestone by Red Mud for Improving Desulfurization. In Proceedings of the International Symposium on Coal Combustion, Harbin, China, 17–21 July 2011. [Google Scholar]
  12. Tao, L.; Wu, H.; Wang, J.; Li, B.; Wang, X.; Ning, P. Removal of SO2 from flue gas using Bayer red mud: Influence factors and mechanism. J. Cent. South Univ. 2019, 26, 467–478. [Google Scholar] [CrossRef]
  13. Liu, Y.; Li, B.; Lei, X.L.; Liu, S.; Zhu, H.X.; Ding, E.M.; Ning, P. Novel method for high-performance simultaneous removal of NOx and SO2 by coupling yellow phosphorus emulsion with red mud. Chem. Eng. J. 2022, 428, 131991. [Google Scholar] [CrossRef]
  14. Wang, X.; Zhang, Y.; Lv, F.; An, Q.; Lu, R.; Hu, P. Removal of alkali in the red mud by SO2and simulated flue gas under mild conditions. Environ. Prog. Sustain. 2014, 34, 81–87. [Google Scholar] [CrossRef]
  15. Blaszczuk, A.; Nowak, W. Heat transfer behavior inside a furnace chamber of large-scale supercritical CFB reactor. Heat Mass Transf. 2015, 87, 464–480. [Google Scholar] [CrossRef]
  16. Yan, J.; Lu, X.; Zhan, C.; Li, Q.; Wang, J.; Liu, S.; Zheng, X.; Fan, X. An Experimental Study on the Characteristics of NOx Distributions at the SNCR Inlets of a Large-Scale CFB Boiler. Energies 2021, 14, 1267. [Google Scholar] [CrossRef]
  17. Blaszczuk, A.; Nowak, W. Bed-to-wall heat transfer coefficient in a supercritical CFB boiler at different bed particle sizes. Int. J. Heat Mass Transf. 2014, 79, 736–749. [Google Scholar] [CrossRef]
  18. Ke, X.; Zhu, S.; Huang, Z.; Zhang, M.; Lyu, J.; Yang, H.; Zhou, T. Issues in deep peak regulation for circulating fluidized bed combustion: Variation of NOx emissions with boiler load. Environ. Pollut. 2023, 318, 120912. [Google Scholar] [CrossRef]
  19. Blaszczuk, A.; Leszczynski, J.; Nowak, W. Simulation model of the mass balance in a supercritical circulating fluidized bed combustor. Powder Technol. 2014, 246, 317–326. [Google Scholar] [CrossRef]
  20. Li, Y.; Kang, K.; Wang, W. Quality Improvement and Cost Evaluation of Pellet Fuel Produced from Pruned Fruit Tree Branches. Energies 2022, 15, 113. [Google Scholar] [CrossRef]
  21. Barišić, V.; Hupa, M. On changes in bed-material particles from a 550 MWth CFB boiler burning coal, bark and peat. Fuel 2007, 86, 464–468. [Google Scholar] [CrossRef]
  22. Yan, J.; Lu, X.; Sun, R.; Zheng, X. An experimental study on the feasibility of in-situ desulfurization performance in a CFB combustor co-burning red mud and coal. Fuel Process. Technol. 2021, 223, 106985. [Google Scholar] [CrossRef]
  23. Liu, Z.; Li, J.; Zhu, M.; Lu, X.; Zhang, Z.; Zhang, D. Effect of oil shale semi-coke on deposit mineralogy and morphology in the flue path of a CFB burning Zhundong lignite. Front. Energy 2021, 15, 26–37. [Google Scholar] [CrossRef]
  24. Li, J.; Zhu, M.; Zhang, Z.; Zhang, D. Effect of Ashing Temperature on the Physicochemical Properties of Zhundong Lignite Ashes Prepared in a Muffle Furnace. In Proceedings of the International Symposium on Coal Combustion, Beijing, China, 19–22 July 2015. [Google Scholar]
  25. Wang, F.; Liu, H.; Zuo, G.; Guan, J. Experimental Investigation on Slagging Grade of Zhundong Coal Based on 10 MW Combustion Test Bed. In Proceedings of the International Symposium on Coal Combustion, Beijing, China, 19–22 July 2015. [Google Scholar]
  26. Liu, Z.; Li, J.; Zhu, M.; Cheng, F.; Lu, X.; Zhang, Z.; Zhang, D. An experimental investigation into the effect of flue gas recirculation on ash deposition and Na migration behaviour in circulating fluidized bed during combustion of high sodium Zhundong lignite. Fuel Process. Technol. 2020, 199, 106300. [Google Scholar] [CrossRef]
  27. Yan, J.; Zheng, X.; Lu, X.; Liu, Z.; Fan, X. Enhanced combustion behavior and NOx reduction performance in a CFB combustor by combining flue gas recirculation with air-staging: Effect of injection position. J. Energy Inst. 2021, 96, 294–309. [Google Scholar] [CrossRef]
  28. Czakiert, T.; Krzywanski, J.; Zylka, A.; Nowak, W. Chemical Looping Combustion: A Brief Overview. Energies 2022, 15, 1563. [Google Scholar] [CrossRef]
  29. Sun, Q.; Zhu, A.; Yang, X.; Niu, J.; Xu, Y. Formation of NOx from N2 and O2 in catalyst-pellet filled dielectric barrier discharges at atmospheric pressure. Chem. Commun. 2003, 12, 1418–1419. [Google Scholar] [CrossRef]
  30. Krzywanski, J.; Czakiert, T.; Nowak, W.; Shimizu, T.; Zylka, A.; Idziak, K. Gaseous emissions from advanced CLC and oxyfuel fluidized bed combustion of coal and biomass in a complex geometry facility: A comprehensive model. Energy 2022, 251, 123896. [Google Scholar] [CrossRef]
  31. Krzywanski, J.; Ashraf, W.M.; Czakiert, T.; Sosnowski, M.; Grabowska, K.; Zylka, A.; Kulakowska, A.; Skrobek, D.; Mistal, S.; Gao, Y. CO2 Capture by Virgin Ivy Plants Growing Up on the External Covers of Houses as a Rapid Complementary Route to Achieve Global GHG Reduction Targets. Energies 2022, 15, 1683. [Google Scholar] [CrossRef]
  32. Diego, L.; Londonot, C.; Wang, X.; Gibbs, B. Influence of operating parameters on NOx and N2O axial profiles in a circulating fluidized bed combustor. Fuel Energy ABS 1996, 37, 369. [Google Scholar]
  33. Liu, Z.; Li, L.; Wang, Q.; Lu, X.; Zhang, Y.; Zhu, M.; Zhang, Z.; Zhang, D. An experimental investigation into mineral transformation, particle agglomeration and ash deposition during combustion of Zhundong lignite in a laboratory-scale circulating fluidized bed. Fuel 2019, 243, 458–468. [Google Scholar] [CrossRef]
Figure 1. A schematic diagram of the lab-scale CFB combustion system: (1) blower, (2) coal bucket, (3) furnace, (4) temperature measuring points (#1–10), (5) probe, (6) cyclone separator, (7) loop seal, (8) tail flue, (9) flue gas sampling point, (10) bag filter, and (11) induced draft fan.
Figure 1. A schematic diagram of the lab-scale CFB combustion system: (1) blower, (2) coal bucket, (3) furnace, (4) temperature measuring points (#1–10), (5) probe, (6) cyclone separator, (7) loop seal, (8) tail flue, (9) flue gas sampling point, (10) bag filter, and (11) induced draft fan.
Energies 16 02584 g001
Figure 2. Particle size distribution of the experimental coal.
Figure 2. Particle size distribution of the experimental coal.
Energies 16 02584 g002
Figure 3. Dynamic temperature changes in the probe wall.
Figure 3. Dynamic temperature changes in the probe wall.
Energies 16 02584 g003
Figure 4. Distributions of flue gas temperature along furnace height.
Figure 4. Distributions of flue gas temperature along furnace height.
Energies 16 02584 g004
Figure 5. O2 concentration distribution at the exit of the tail flue under various cases.
Figure 5. O2 concentration distribution at the exit of the tail flue under various cases.
Energies 16 02584 g005
Figure 6. Dynamic emission of CO under various cases.
Figure 6. Dynamic emission of CO under various cases.
Energies 16 02584 g006
Figure 7. Average CO concentration under various cases.
Figure 7. Average CO concentration under various cases.
Energies 16 02584 g007
Figure 8. Dynamic emission of SO2 under various cases.
Figure 8. Dynamic emission of SO2 under various cases.
Energies 16 02584 g008
Figure 9. Dynamic emission of NOx under various cases.
Figure 9. Dynamic emission of NOx under various cases.
Energies 16 02584 g009
Figure 10. Co-emission of SO2 and NOx under various cases.
Figure 10. Co-emission of SO2 and NOx under various cases.
Energies 16 02584 g010
Figure 11. Photos, SEM images, and EDS element analyses of the ash deposits on the top cover of the probe: (ad) mono-combustion and (eh) co-combustion (5 typical sintering features were selected as the element analysis objects in (c,g)).
Figure 11. Photos, SEM images, and EDS element analyses of the ash deposits on the top cover of the probe: (ad) mono-combustion and (eh) co-combustion (5 typical sintering features were selected as the element analysis objects in (c,g)).
Energies 16 02584 g011
Figure 12. Photos, SEM images, and EDS element analysis of the ash deposits on the side of the probe: (ad) mono-combustion and (eh) co-combustion (5–6 typical sintering features were selected as the element analysis objects in (c,g)).
Figure 12. Photos, SEM images, and EDS element analysis of the ash deposits on the side of the probe: (ad) mono-combustion and (eh) co-combustion (5–6 typical sintering features were selected as the element analysis objects in (c,g)).
Energies 16 02584 g012
Figure 13. SEM images and EDS element analysis of the ash deposits on the bottom ash: (a,b) mono-combustion (c,d) co-combustion (5 typical sintering features were selected as the element analysis objects in (a,c)).
Figure 13. SEM images and EDS element analysis of the ash deposits on the bottom ash: (a,b) mono-combustion (c,d) co-combustion (5 typical sintering features were selected as the element analysis objects in (a,c)).
Energies 16 02584 g013
Table 1. Comparison of RM application.
Table 1. Comparison of RM application.
ReferencesMethods (Properties)ConditionDesulfurization Performance
[8]Modified limestoneCa/metal ratio = 15:1
900 °C
15.31% higher than CaO
[9]Wet desulphurizationLiquid–solid ratio = 20:1
25 °C
98.61%
[10]Wet desulphurizationLiquid–solid ratio = 50:1
50 °C
100%
[11]Wet desulphurizationLiquid–solid ratio = 3:1
60 °C
92.5%
Table 2. Temperature measuring point setting along furnace height.
Table 2. Temperature measuring point setting along furnace height.
Number#1#2#3#4#5#6#7#8#9#10
Height (m)0.110.260.460.691.061.311.612.012.262.61
Table 3. Information of the Ecom-J2KN type analyzer.
Table 3. Information of the Ecom-J2KN type analyzer.
ItemRangePrecision (Based on Measured Values)
O20–21%0.2%
CO0–10,000 ppm5%
SO20–5000 ppm5%
NO0–1000 ppm5%
NO20–5000 ppm5%
Table 4. Industrial analysis, elemental analysis, and ash chemistry of experimental coal.
Table 4. Industrial analysis, elemental analysis, and ash chemistry of experimental coal.
ItemIndustrial Analysis (wt.%, as Received Basis)
CompositionMoistureVolatileFixed carbonAsh
Value6.5530.3758.554.53
ItemElemental Analysis (wt.%, as Received Basis)
CompositionNCHSO
Value0.9476.574.6180.24917.623
ItemAsh Chemistry (wt.%)
CompositionSiO2Al2O3Fe2O3CaOMgOTiO2P2O5K2ONa2O
Value8.095.0618.6039.204.840.970.230.211.44
Table 5. Main chemistry of RM.
Table 5. Main chemistry of RM.
CompositionCaOFe2O3Al2O3Na2OTiO2MgOK2O
Value (wt.%)31.3717.3316.438.485.150.500.32
Table 6. Furnace parameters during the experiments.
Table 6. Furnace parameters during the experiments.
ParametersCase 1Case 2Case 3Case 4Case 5
Bed temperature (°C. #4)900 ± 10897 ± 10898 ± 10901 ± 10899 ± 10
Furnace outlet temperature (°C. #10)810 ± 10813 ± 10810 ± 10809 ± 10806 ± 10
RM co-combustion ratio0%5%10%30%50%
Superficial fluidization velocity (m·s−1, 20 °C)0.590.590.590.590.59
Excess air coefficient1.461.461.571.651.78
Disclaimer/Publisher’s Note: The statements, opinions and data contained in all publications are solely those of the individual author(s) and contributor(s) and not of MDPI and/or the editor(s). MDPI and/or the editor(s) disclaim responsibility for any injury to people or property resulting from any ideas, methods, instructions or products referred to in the content.

Share and Cite

MDPI and ACS Style

Yu, X.; Yan, J.; Sun, R.; Mei, L.; Li, Y.; Wang, S.; Wang, F.; Gu, Y. An Experimental Study on SO2 Emission and Ash Deposition Characteristics of High Alkali Red Mud under Large Proportional Co-Combustion Conditions in Fluidized Bed. Energies 2023, 16, 2584. https://doi.org/10.3390/en16062584

AMA Style

Yu X, Yan J, Sun R, Mei L, Li Y, Wang S, Wang F, Gu Y. An Experimental Study on SO2 Emission and Ash Deposition Characteristics of High Alkali Red Mud under Large Proportional Co-Combustion Conditions in Fluidized Bed. Energies. 2023; 16(6):2584. https://doi.org/10.3390/en16062584

Chicago/Turabian Style

Yu, Xiaoliang, Jin Yan, Rongyue Sun, Lin Mei, Yanmin Li, Shuyuan Wang, Fan Wang, and Yicheng Gu. 2023. "An Experimental Study on SO2 Emission and Ash Deposition Characteristics of High Alkali Red Mud under Large Proportional Co-Combustion Conditions in Fluidized Bed" Energies 16, no. 6: 2584. https://doi.org/10.3390/en16062584

APA Style

Yu, X., Yan, J., Sun, R., Mei, L., Li, Y., Wang, S., Wang, F., & Gu, Y. (2023). An Experimental Study on SO2 Emission and Ash Deposition Characteristics of High Alkali Red Mud under Large Proportional Co-Combustion Conditions in Fluidized Bed. Energies, 16(6), 2584. https://doi.org/10.3390/en16062584

Note that from the first issue of 2016, this journal uses article numbers instead of page numbers. See further details here.

Article Metrics

Back to TopTop