Next Article in Journal
Exploring the Green-Oriented Transition Process of Ship Power Systems: A Patent-Based Overview on Innovation Trends and Patterns
Next Article in Special Issue
Study on the Effect of Initial Delamination on Tensile Behavior of Offshore Wind Turbine Blade Spar Cap
Previous Article in Journal
Reduction in CO Emission from Small Reciprocating Engine Operated with Wood Gasifier by Mixture LHV Changing
Previous Article in Special Issue
Research of Turbine Tower Optimization Based on Criterion Method
 
 
Font Type:
Arial Georgia Verdana
Font Size:
Aa Aa Aa
Line Spacing:
Column Width:
Background:
Article

Comparison of Blade Aeroelastic Responses between Upwind and Downwind of 10 MW Wind Turbines under the Shear Wind Condition

1
Research Center for Renewable Energy Generation Engineering of Ministry of Education, Hohai University, Nanjing 210098, China
2
Jiangsu Province Engineering Research Center of Wind Turbine Structures, Hohai University, Nanjing 210098, China
3
Department of Mechanical and Construction Engineering, Northumbria University, Newcastle upon Tyne NE1 8ST, UK
4
School of Engineering, Newcastle University, Newcastle upon Tyne NE1 7RU, UK
*
Author to whom correspondence should be addressed.
Energies 2023, 16(6), 2567; https://doi.org/10.3390/en16062567
Submission received: 17 January 2023 / Revised: 4 March 2023 / Accepted: 6 March 2023 / Published: 8 March 2023
(This article belongs to the Special Issue Theoretical and Technical Challenges in Offshore Wind Power)

Abstract

This paper examines the potential for reducing the cost of energy for super-scale wind turbines through the use of a downwind configuration. Using nonlinear aeroelastic modeling, the responses of 10 MW upwind and downwind wind turbine blades are simulated and compared under shear wind conditions. The study evaluates the impact of both nonlinear and linear aeroelastic models on the dynamic response of different blade sizes, highlighting the need for a nonlinear approach. Results indicate that the linear model overestimates blade deformations (18.14%) and the nonlinear model is more accurate for predicting the aeroelastic response of ultra-long blades of 86.35 m. The study also finds that the downwind turbine blade experiences smaller flapwise moment (17.53%), and blade tip flapwise deformation (33.97%) than the upwind turbine blade, with increased load and deformation fluctuation as wind shear increases.

1. Introduction

The growth in wind turbine blade length, particularly for offshore applications, has been dramatic in recent decades. However, this increase in size is pushing the limits of conventional wind turbine designs, particularly with respect to the minimum clearance between blade tip and tower, which is crucial to prevent structural damage. To meet this requirement, designers have traditionally employed strategies such as increasing the bending stiffness of blades and implementing large prebend, rotor cone angle, and uptilt angle. However, these solutions pose significant challenges for upscaling upwind rotors, particularly in terms of reducing the Cost of Energy (CoE).
Recently, the literature suggested that downwind rotor configurations may offer lower CoE compared to traditional upwind designs [1,2]. Cost reduction is achieved thanks to lighter and more flexible blades, due to relaxed tip-clearance distance requirements. Research on the downwind rotor design or simulation is increasing. Noyes et al. [3] designed a 13 MW two-bladed downwind rotor and calculated its load and other performance parameters. Their results show that a two-bladed pre-aligned rotor with a cone angle of 15° reduced the blade damage equivalent load by 19.0%, and the rotor blade mass is reduced by 27.4% compared with the unmodified three-bladed rotor under the class IIB wind condition. Chao [4] built a 25 MW downwind two-bladed wind turbine model at a certain scale on the basis of the 13.2 MW unit model. They studied the wind energy capture and blade load under the control of variable cone angles and found that the rotor with the cone angle control strategy has higher wind energy capture and smaller load. In recent years, some companies have also attempted to design large-scale downwind wind turbines. SWAY A/S developed a three-bladed downwind floating wind turbine using a single tension-leg platform, of which a 1:6.5 scale prototype was installed and tested off the coast of Norway [5]. Hitachi has installed 2 MW downwind wind turbines on land [6] and 5 MW downwind offshore wind turbines in the coastal wind farm of Ibaraki Prefecture in Japan [7].
Previous research on downwind wind turbines has focused on the comparisons between upwind and downwind rotors. Frau et al. [8] employed computational fluid dynamics simulations to compare the performance of upwind and downwind turbines. Their findings revealed that the output power of the downwind turbine was increased by 3%, but its thrust was approximately 3% higher than the upwind turbine under similar working conditions. Sun et al. [9] conducted a similar investigation and observed that the downwind turbine had lower power and higher thrust. A multidisciplinary design approach was used to reduce the CoE of a 10 MW downwind wind turbine by 1.7%, which resulted in a 1.2% decrease in annual energy output compared to an upwind turbine [1]. Lee et al. [10] compared the maximum and average loads of the upwind and downwind blades and concluded that the downwind blade experienced lower ultimate load and less fatigue damage. Namura et al. [11] conducted a comparison of the optimized the 10 MW downwind turbine and the upwind turbine with conventional prebend of 6 m at high speeds. The results showed that the downwind turbine had lower COE due to its lighter and more flexible blades. Kress et al. [12] developed a modular scale model wind turbine suitable for upwind and downwind operation, based on a Hitachi 2 MW wind turbine, and conducted test experiments. They found that the downwind turbine could generate 5% more power than the upwind turbine and had better yaw stability. Although previous research has mainly focused on comparing the output power and loads between upwind and downwind rotors, there have been few investigations into blade aeroelastic responses, particularly under unsteady wind conditions.
It is a crucial field of research as the shear wind condition can significantly impact the dynamic response of large-scale wind turbines. Due to the substantial difference in wind speed between the top and bottom of the rotor, the rotational blades can cause evident periodic load fluctuations. The objective of this study is to address the research gap by investigating the aeroelastic responses of 10 MW upwind and downwind wind turbine blades under shear wind conditions, utilizing a nonlinear aeroelastic model. Additionally, we will compare the impact of nonlinear and linear aeroelastic models on the dynamic response of various blade sizes to demonstrate the indispensability of adopting the nonlinear model. The study aims to provide insight into the potential of downwind configurations to overcome the challenges encountered in upscaling upwind rotors and enhancing the CoE of super-scale wind turbines.

2. Methodology

The aeroelastic model of a wind turbine comprises two main components: the aerodynamic model and the structural model. Blade Element Momentum Theory (BEMT), the vortex wake method and the computational fluid dynamics (CFD) method are usually adopted in the aerodynamic model [13]. The aeroelastic models in the literature are normally based on the BEMT, which can be efficiently used for wind turbine blades. There are two main categories of structural dynamics models: the 3D Finite-Element Method (FEM) model and the 1D equivalent beam model [13]. The former is useful for detailed analysis of stress distribution in the blade, and is often coupled with an aerodynamic model to create an aeroelastic model for wind turbine blades. However, the computational cost of 3D FEM is high when coupled with Computational Fluid Dynamics (CFD) for aeroelastic modeling [14,15]. In contrast, the 1D beam model is much faster and requires less computation time, making it an attractive alternative if properly constructed. Linear and nonlinear beam models are the two primary types of 1D beam models, with the Euler-Bernoulli beam model [16] and the Timoshenko beam model [17] being the most widely used linear models. However, these models are not appropriate for blades with large deflections. Linear beam models contain the assumption of small deflections, which is invalid for very flexible blade design, as such blades often experience large deflection. To account for these larger deflections, the Geometrically Exact Beam Theory (GEBT) [18,19,20], which is a nonlinear beam model, has been applied as the nonlinear beam model by many researchers.
In this paper, the OpenFAST aero-elastic simulator is used to establish the blade aeroelastic model. The classic BEMT is used in the AeroDyn module to determine the aerodynamic loads applied to the blade, considering the dynamic wake effects. As for blade structural dynamics, the BeamDyn module uses the nonlinear GEBT and the finite element discretization method.

2.1. Coordinate System

The coordinate system of the aeroelastic model is presented in Figure 1. The global coordinate (X, Y, Z) is an inertial reference frame, with its origin located at the bottom center of the tower. The blade reference coordinate system (Xr, Yr, Zr) is a rotating coordinate system that moves with the rotor, with its origin located at the center of the blade root. The Xr axis points downstream along the axis of rotation. The Yr axis points to the blade trailing edge and is parallel to the chord line with zero twist angle. The Zr axis points from the blade root to the blade tip along the blade axis.

2.2. Blade Element Momentum Theory and Modification

By combining the blade element theory with the momentum theory, the axial induced factor a and the tangential induced factor a′ can be obtained.
a = 1 4 sin 2 φ σ C n + 1
a = 1 4 sin φ cos φ σ C t + 1
(1)
Blade tip loss correction
A major limitation of the BEMT is that vortices shedding from the tip into the wake have no effect on the induced velocity field. The influence on the blade load of induced velocity near the blade tip is most obvious. Prandtl modified the BEMT to make up for this shortcoming using the correction factor Fw as:
F w = 2 π cos 1 e f 1
where f 1 = B 2 ( R r r sin φ ) .
(2)
Hub loss correction
Like the tip loss correction, the hub loss model is used to correct the induced velocity of the vortex near the hub of the rotor, adopting almost the same implementation method as the Prandtl tip loss model. Its expression is the same as Equation (3), where f1 is replaced by f2:
f 2 = B 2 ( r R h u b R h u b sin φ )
(3)
Glauert modified model
Another limitation of the BEMT is that the theory will fail when the induced factor is greater than about 0.4. This happens with high tip speed ratio when the rotor enters a turbulent wake state (a > 0.5). To compensate for this effect, Glauert proposed a correction method for the rotor thrust coefficient based on experimental measurements. The total induced velocity for each blade element must be calculated using a combination of blade tip loss and Glauert correction. Buhl [21] modified the empirical relationship to include the correction of blade tip loss as follows:
a = 18 F w 20 3 C T ( 50 36 F w ) + 12 F w ( 3 F w 4 ) 36 F w 50
(4)
Skewed wake correction
The BEMT was originally designed for axisymmetric flows. A skewed wake is extended behind the rotor when the rotor is rotating in a yaw angle. The BEMT needs to be modified to account for this skewed wake effect. Pitt and Peters [22] proposed a revised model under steady flow, as follows:
a s k e w = a [ 1 + 15 π 32 r R tan χ 2 cos ψ ]
where χ the skewed angle of the wake as:
χ = ( 0 . 6 a + 1 ) γ

2.3. Blade Structural Dynamic Model

The motion governing equation [23] of the GEBT is as follows:
h ˙ F = f
g ˙ + u ˜ ˙ h M + ( x ˜ 0 + u ˙ ) T F = m
For nonlinear finite element analysis, the discrete and incremental forms of displacement, velocity and acceleration are:
q ( x 1 ) = N q ^ Δ q T = [ Δ u T Δ c T ]
v ( x 1 ) = N v ^ Δ v T = [ Δ u ˙ T Δ ω T ]
a ( x 1 ) = N a ^ Δ a T = [ Δ u ¨ T Δ ω ˙ T ]
where q = [ u T c T ] . The displacement field in the element is approximately:
u ( ξ ) = h k ( ξ ) u ^ k
u ( ξ ) = h k ( ξ ) u ^ k
where ξ [ 1 , 1 ] is the natural coordinate of the element.

3. Comparison of Nonlinear Response with Linear Response under Steady Conditions

3.1. Calculation Example and Aeroelastic Model Constructing

To explore differences in dynamic response characteristics among blades with varied lengths calculated by the linear and nonlinear aeroelastic models, the Wind PACT 1.5 MW [24], NREL 5 MW [25] and DTU 10 MW [26] wind turbines are studied as the calculation examples in this section. The basic parameters of the wind turbines are in Table 1.
For the above three wind turbines, two different aeroelastic models are established based on the OpenFAST platform. The classical BEMT is used in the AeroDyn module to determine the aerodynamic loads applied to the blades, taking into account the dynamic wake effect. As for the blade structural dynamics, the ElastoDyn module uses Linear Euler-Bernoulli Beam Theory (LBT) and the assumed modes discretization method, while the BeamDyn module uses the nonlinear GEBT and the finite element discretization method. The flow chart of the BEMT-LBT coupled model in the OpenFAST simulator and the flow chart of the BEMT-GEBT coupled model are shown in Figure 2.

3.2. Effects of Two Aeroelastic Models on Different Blade Responses

This section presents the comparisons of the aeroelastic results of the flapwise average deformations under the rated wind speed from the BEMT-LBT model and the BEMT-GEBT model. Figure 3a–c show the flapwise average deformations of the 1.5 MW, 5 MW and 10 MW wind turbine blades, respectively. The flapwise deformations exhibit nonlinear variation along the span under the aerodynamic load. In our simulation, the blade tip displacement of the DTU 10 MW wind turbine is calculated to be 7.5 m. This value is higher than the blade tip displacement of 6.2 m reported in Ref [11] for a wind speed of 70% of the rated value. However, it is important to note that our simulation is carried out at the rated wind speed, which is higher than the wind speed used in the reference study. Therefore, the larger blade tip displacement of 7.5 m in our simulation is reasonable and consistent with the expected behaviour of the blade under the rated wind conditions. Slight differences between the models to simulate the WindPACT 1.5 MW blade are showed in Figure 3a. This is because the 1.5 MW blade is not flexible and its structural geometric nonlinearity is not obvious. However, the differences between the models to simulate the NREL 5 MW and DTU 10 MW blades are large, especially near the blade tip, and the flapwise deformations are overestimated by the linear BEMT-LBT model. The difference value of the DTU 10 MW blade reaches a maximum of 1.66 m at the blade tip.
Figure 4 gives the comparison of blade tip flapwise deformations of the three different size wind turbine blades between two aeroelastic models. The reference results of 5 MW and 10 MW are from references [27,28] respectively. Both used the GEBT in the blade structural dynamic model.
The difference between the two models on the blade tip flapwise deformation of the Wind PACT 1.5 MW wind turbine is slight. With the increasing size and flexibility of the wind turbine blade, the difference in tip flapwise deformation between them gets bigger. The deformation of the NREL 5 MW blade predicted by the linear BEMT-LBT model is 0.78 m larger than that predicted by the nonlinear BEMT-GEBT model. The predictions of the DTU 10 MW blade have a difference of 1.66 m. It can be predicted that as the blade becomes longer, the difference between the two model calculations will further increase. For the ultra-long blade, the blade is more flexible, and it is more accurate to use the GEBT to establish the aeroelastic model for analysis.

4. Comparison between Upwind and Downwind Wind Turbines under Shear Wind

4.1. Description of Shear Wind

When wind turbines operate in the atmospheric boundary layer, both aerodynamic performance and blade deformation are affected by the shear wind. Therefore, it is necessary to study the coupling response of blades under the shear wind condition. There is an atmospheric boundary layer at the height of 0~2000 m on the earth surface, and the wind speed changes along the height H within this range. The variable wind speed can be expressed as:
V ( H ) = V h u b ( H / H h u b ) α
where Vhub is the wind speed at hub height Hhub and α is the wind shear factor.
The DTU 10 MW upwind and downwind wind turbine blades are used in the example calculation in this section. The diameter of the rotor is 178.3 m, so the difference between the top and bottom of the rotor is obvious. The hub height is 120 m. When the wind speed at the hub center is rated at a speed of 11.4 m/s, wind speed variations of different wind shear factors from the rotor bottom to the rotor top are showed in Figure 5. The wind shear factor is affected by terrain, roughness, temperature and season. Its value can usually range from 0.1 to 0.5, so the wind shear factor is set as 0.1, 0.2, 0.3, 0.4 and 0.5 respectively. It is found that the wind speed difference between the top and bottom of the rotor increases as the wind shear factor increases. The wind speed difference at α = 0.5 reaches 9.37 m/s.

4.2. Comparison of Aerodynamic Performance

Figure 6 shows the normal force coefficient and tangential force coefficient at 80% section of the blade when the wind shear factor ranges from 0.1 to 0.5. Under the condition of shear wind, the blade aerodynamic coefficient fluctuates periodically with time, and with increasing wind shear factor, the fluctuation range of the aerodynamic coefficient also becomes significantly larger. The peak values of the normal force coefficient from 0.1 to 0.5 of wind shear factors are 0.194, 0.346, 0.489, 0.620 and 0.743, respectively. The peak values of the tangential force coefficients from 0.1 to 0.5 are 0.052, 0.090, 0.126, 0.159 and 0.191, respectively. The fluctuation range of the upwind wind turbine when the wind shear factor is 0.3 is close to that of the downwind wind turbine when the wind shear factor is 0.2, indicating that the aerodynamic coefficient of the downwind wind turbine is more significantly affected by the wind shear factor. Under the wind shear condition, the inflow wind speed is exponentially distributed in height. The wind speed of the blade rotating through different heights during the operation of the wind turbine is a periodic state, which makes the downwind turbine bear the fatigue load. Therefore, the influence of wind shear should be considered in the design process of ultra-long blades.
Figure 7 shows the downwind axial thrust of a wind turbine with different wind shear factors. The axial thrust of a downwind wind turbine fluctuates periodically with time under wind shear. The fluctuation amplitude under different wind shear factors has little difference and does not change with the change of wind shear factors. However, for downwind turbines, the value of axial thrust decreases with the increase of wind shear factor. The axial thrust value decreases noticeably, especially when the wind shear factors are 0.1, 0.2 and 0.3. When the wind shear factor is large (α = 0.4, 0.5), the influence of different wind shear factors on the downwind turbine thrust is not significant. The thrust of an upwind wind turbine is significantly smaller than that of a downwind wind turbine when the wind shear factor is 0.3. The range of fluctuation is also not much different. Under the same wind shear factor of 0.3, the axial thrust of the downwind turbine has a maximum value when that of the upwind turbine is minimum.
Figure 8 shows the downwind aerodynamic torque of the wind turbine with different wind shear factors. The aerodynamic torque of a downwind turbine fluctuates periodically with time, and the fluctuation amplitude does not change with the change of wind shear factor under wind shear, similar to the axial thrust. However, contrary to the axial thrust, the aerodynamic torque of the downwind wind turbine increases gradually with the increase of the wind shear factor. When the wind shear factor is 0.5, 0.4 and 0.3, the increase of the aerodynamic torque value is more obvious, while when the wind shear factor is 0.2 and 0.1, the aerodynamic torque value has little difference. The torque of an upwind wind turbine is smaller than that of a downwind wind turbine when the wind shear factor is 0.3. It also appears that the aerodynamic torque of the downwind turbine has a maximum value when that of the upwind turbine is minimum under the same wind shear factor of 0.3.

4.3. Comparison of Aeroelastic Responses

The blade aerodynamic load shows a periodic response with time under the shear wind condition. The blade structural dynamic response is induced by the periodic aerodynamic load, and then reacts against the aerodynamic load. The aeroelastic response occurs due to the coupling effect of aerodynamic and structural loads. The blade root load is one of the important parameters in downwind turbine design. Figure 1 shows the direction of blade root loads of Fx, Fy, Mx and My.
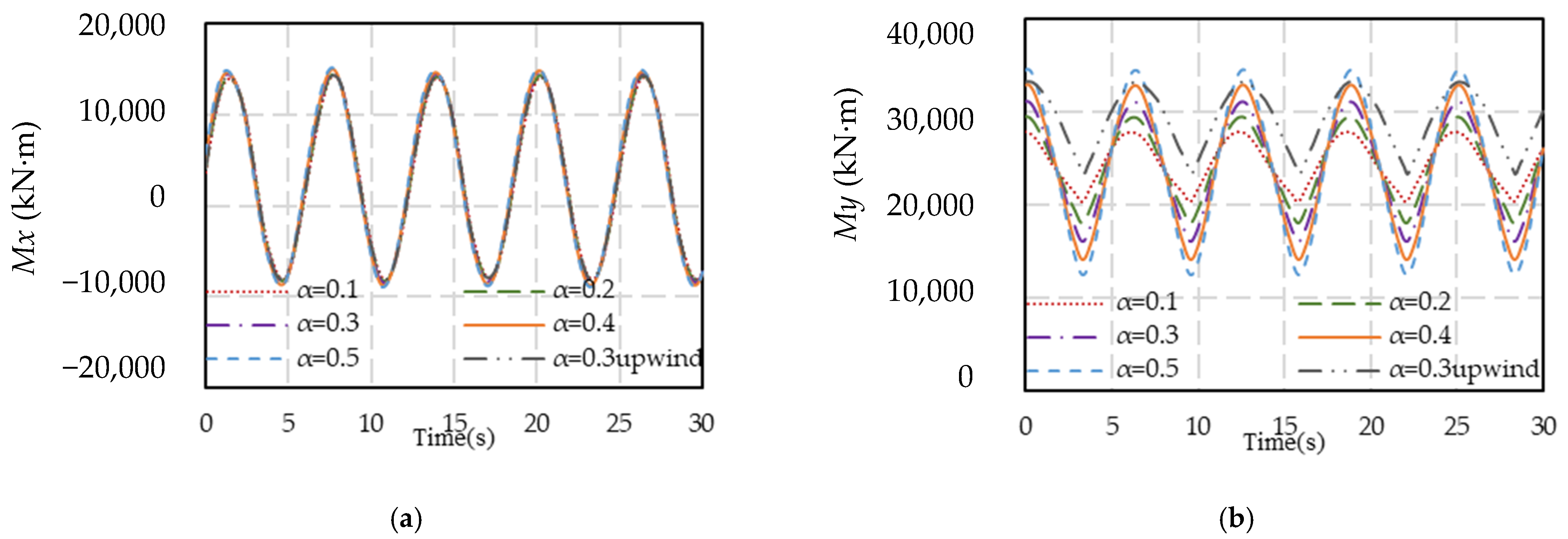
Figure 9 and Figure 10 illustrate the blade root loads of the downwind and upwind wind turbines at different wind shear factors. The frequency of load and bending moment equals to the rotation frequency of the rotor, which is basically unchanged. It can be observed that all the blade root loads undergo periodic changes with time under the shear wind condition. Specifically, the upwind wind turbine’s blade root Fx is significantly higher than that of the downwind wind turbine. In contrast, the fluctuation amplitudes of blade root Fy at different wind shear factors remain almost constant. The fluctuation amplitude of the blade root My, however, increases with the rise of the wind shear factor and attains maximum and minimum values at the top and bottom of the rotor, respectively. Moreover, the blade root My of the upwind wind turbine is greater than that of the downwind wind turbine at the same wind shear factor of 0.3. Additionally, the fluctuation amplitudes of Mx remain almost the same, similar to that of Fy. Furthermore, it was observed that the blade root ultimate aerodynamic thrust Fx and the blade root flapwise moment My decreased consistently in the downwind configuration. This decrease can be attributed to the lower rotor swept area that reduces the thrust and the centrifugal forces that counteract the aerodynamic thrust to decrease the flap moment of the coned rotor blades.
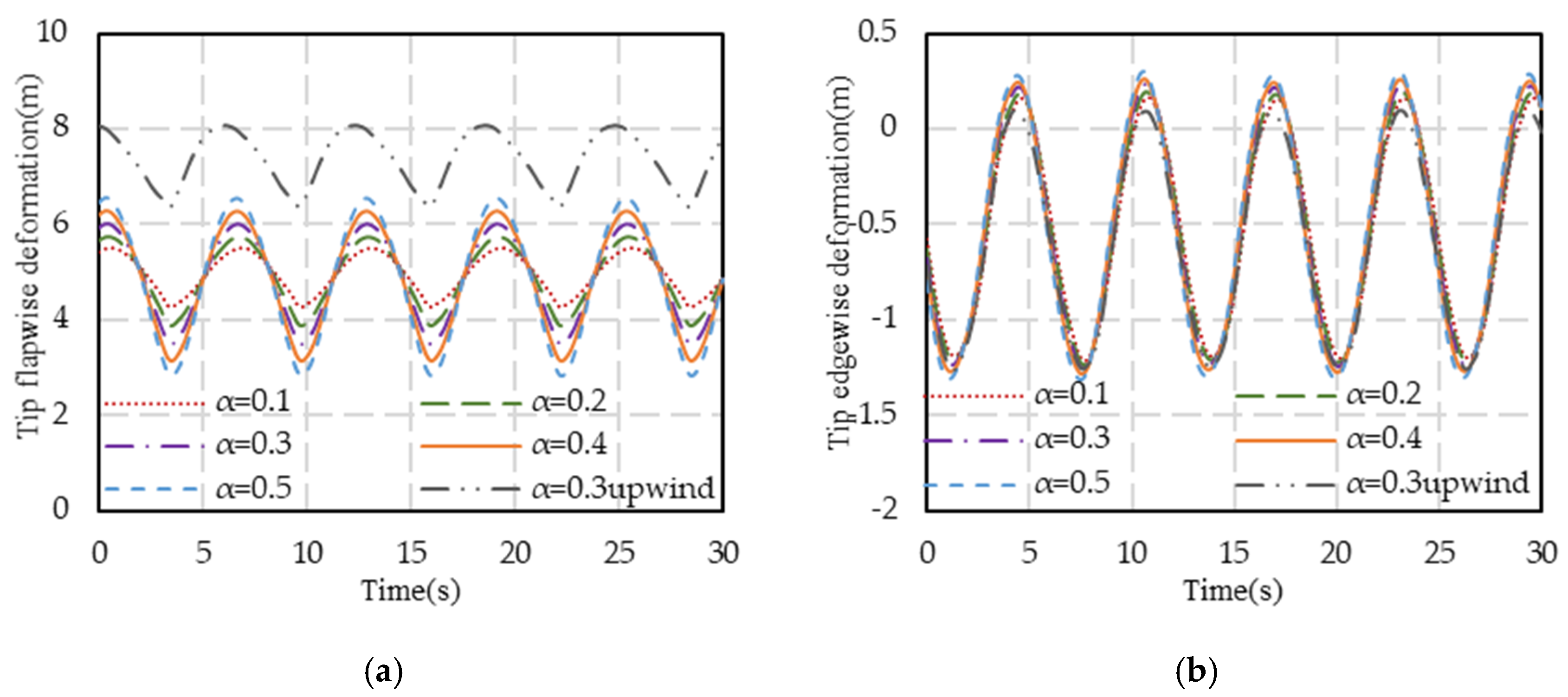
In Figure 11, the blade tip flapwise deformation and edgewise deformation under different wind shear factors are presented. It can be seen that both the flap deformation at the blade tip and the blade deformation change periodically with time under the effect of wind shear. Both the blade tip flapwise and edgewise deformations exhibit periodic changes with time due to the wind shear. As the wind shear factor increases, the fluctuation amplitude of flapwise deformation becomes more pronounced, which corresponds to a significant change in flapwise moment. The maximum blade tip deformation occurs at α = 0.5 and reaches 6.48 m, while the minimum blade tip deformation occurs at α = 0.1 and is 5.46 m. The downwind blade tip deformation is about 2 m smaller than that of the upwind blade tip deformation at the same wind shear factor of 0.3. This difference can be attributed to lower aerodynamic thrust and lower flapwise moment experienced by the downwind turbine compared to the upwind turbine.

5. Conclusions

This study has investigated the aeroelastic responses of Wind PACT 1.5 MW, NREL 5 MW and DTU 10 MW wind turbine blades under steady wind condition by using both linear and nonlinear aeroelastic models. The results have shown that for blades of a Wind PACT 1.5 MW wind turbine or smaller, there is no significant difference in dynamic responses calculated by the two aeroelastic models. However, for the ultra-long blades of the NREL 5 MW and DTU 10 MW wind turbines, the linear aeroelastic model overestimates their deformations, and it is more accurate to predict the aeroelastic response by the nonlinear aeroelastic model.
It can be concluded that the downwind wind turbine exhibits more fluctuation in the aerodynamic force coefficient compared to the upwind wind turbine. Additionally, the axial thrust and aerodynamic torque of the upwind wind turbine are significantly greater than those of the downwind wind turbine. Furthermore, the fluctuation amplitude of the force coefficient and torque of the downwind turbine increase with increasing wind shear factor, while the axial thrust decreases.
The aeroelastic response of 10 MW upwind and downwind wind turbine blades was also simulated and compared under shear wind conditions using the nonlinear aeroelastic model. The results have shown that the blade root thrust and flapwise moment, and the blade tip flapwise deformation of the downwind wind turbine blade, are all significantly smaller than those of the upwind wind turbine blade. Additionally, the fluctuation amplitude of the load and deformation increase with the increase of wind shear factor. This suggests that the downwind configuration has the potential to provide significant benefits in terms of load reduction and weight reduction for super-scale wind turbines, making it an attractive option for the broader wind energy industry.

Author Contributions

H.K. ran the codes and prepared this manuscript under the guidance of B.X. and X.S., Z.L., X.C. and Z.H. supervised the work and contributed to the interpretation of the results. All authors carried out data analysis, discussed the results, and contributed to writing the paper. All authors have read and agreed to the published version of the manuscript.

Funding

This research was funded by the State Scholarship Fund (grant number 202006715010); the Royal Society Grant IEC/NSFC/19140.

Data Availability Statement

Not applicable.

Conflicts of Interest

The authors declare no conflict of interest.

Nomenclature

aaxial induced factor
a′tangential induced factor
φ inflow angle (°)
σlocal solidity
C n force coefficient normal to the rotor disc
C t force coefficient tangential to the rotor disc
Fwcorrection factor
Bnumber of blade
Rradius of the rotor (m)
rradial position of the local blade element (m)
Rhubradius of the hub (m)
ψazimuth Angle (°)
χskewed angle of the wake (°)
γyaw angle of the incoming flow (°)
hlinear momentum in the inertial coordinate system (N·m)
gangular momentum in the inertial coordinate system (N·m)
Fresultant force on the section of the beam (N)
MResultant moment on the section of the beam (N·m)
fdistributed forces on the beam structure (N)
mdistributed moments on the beam structure (N·m)
uone-dimensional displacement of a point on the datum line
x0displacement of a point under the beam reference line
qthe array of elements
Nshape function matrix
^column matrix of value at node
u ^ k kth node value
h k ( ξ ) p-order polynomial Lagrangian interpolation shape function of node k
HHeight (m)
V(H)wind speed at height H (m/s)
Vhubwind speed at hub height Hhub (m/s)
αwind shear factor

References

  1. Bortolotti, P.; Ivanov, H.; Johnson, N.; Barter, G.; Veers, P.E.; Namura, N. Challenges, opportunities, and a research roadmap for downwind wind turbines. Wind Energy 2022, 25, 354–367. [Google Scholar] [CrossRef]
  2. Koh, J.H.; Ng, E.Y.K. Downwind offshore wind turbines: Opportunities, trends and technical challenges. Renew. Sustain. Energy Rev. 2016, 54, 797–808. [Google Scholar] [CrossRef]
  3. Noyes, C.; Qin, C.; Loth, E. Pre-aligned downwind rotor for a 13.2 MW wind turbine. Renew. Energy 2018, 116, 749–754. [Google Scholar] [CrossRef]
  4. Qin, C.; Loth, E.; Zalkind, D.S.; Pao, L.Y.; Yao, S.; Griffith, D.T.; Selig, M.S.; Damiani, R. Downwind coning concept rotor for a 25 MW offshore wind turbine. Renew. Energy 2020, 156, 314–327. [Google Scholar] [CrossRef]
  5. Hao, K.J.; Robertson, A.N.; Jonkman, J.; Driscoll, F.; Ng, E.Y. Building and calibration of a fast model of the SWAY prototype floating wind turbine. In Proceedings of the International Conference on Renewable Energy Research and Applications (ICRERA), Madrid, Spain, 20–23 October 2013. [Google Scholar]
  6. Hitachi. Construction of Demonstration Prototype of 5-MW Offshore Wind Turbine with Downwind Rotor. 26 November 2013. Available online: http://www.hitachi.com/New/cnews/131126b.html (accessed on 20 December 2022).
  7. Foster, M. Hitachi to Supply 5 MW Turbine to Murakami Project. Windpower Offshore. 6 February 2015. Available online: http://www.windpoweroffshore.com/article/1332841/hitachi-supply-5mw-turbine-murakami-project (accessed on 20 December 2022).
  8. Frau, E.; Kress, C.; Chokani, N.; Abhari, R.S. Comparison of performance and unsteady loads of multimegawatt downwind and upwind turbines. J. Solar. Energy. Eng. 2015, 137, 041004. [Google Scholar] [CrossRef]
  9. Sun, Z.; Zhu, W.J.; Shen, W.Z.; Zhong, W.; Cao, J.; Tao, Q. Aerodynamic analysis of coning effects on the DTU 10 MW wind turbine rotor. Energies 2020, 13, 5753. [Google Scholar] [CrossRef]
  10. Lee, J.W.; Jehan, M.; Andersen, B.; Afjeh, A.; Nikolaidis, E. Comparative Study of Two-Bladed Upwind and Downwind Turbines Using the NREL Reference Wind Turbine. In Proceedings of the ASME International Mechanical Engineering Congress and Exposition. American Society of Mechanical Engineers, Montreal, QC, Canada, 14–20 November 2014. [Google Scholar]
  11. Namura, N.; Shinozaki, Y. Design optimization of 10 MW downwind turbines with flexible blades and comparison with upwind turbines. J. Phys. Conf. Ser. 2020, 1618, 042021. [Google Scholar] [CrossRef]
  12. Kress, C.; Chokani, N.; Abhari, R.S. Downwind wind turbine yaw stability and performance. Renew. Energy 2015, 83, 1157–1165. [Google Scholar] [CrossRef]
  13. Wang, L.; Liu, X.; Kolios, A. State of the art in the aeroelasticity of wind turbine blades: Aeroelastic modelling. Renew. Sustain. Energy Rev. 2016, 64, 195–210. [Google Scholar] [CrossRef]
  14. Pichitkul, A.; Sankar, L.N. Development of a CFD-CSD coupling technique for large scale offshore wind Turbine. In Proceedings of the ASME Turbo Expo 2020: Turbomachinery Technical Conference and Exposition 2020, Virtual, 21–25 September 2020. [Google Scholar]
  15. Yu, D.O.; Kwon, O.J. Predicting wind turbine blade loads and aeroelastic response using a coupled CFD-CSD method. Renew. Energy 2014, 70, 184–196. [Google Scholar] [CrossRef]
  16. Fedorov, V.; Berggreen, C. Bend-twist coupling potential of wind turbine blades. J. Phys. Conf. Ser. 2014, 524, 012035. [Google Scholar] [CrossRef]
  17. Otero, A.D.; Ponta, F.L. Structural analysis of wind-turbine blades by a generalized timoshenko beam model. J. Solar. Energy Eng. 2010, 132, 011015. [Google Scholar] [CrossRef]
  18. Sabale, A.K.; Gopa, N.K.V. Nonlinear aeroelastic analysis of large wind turbines under turbulent wind conditions. J. AIAA 2019, 57, 4416–4432. [Google Scholar] [CrossRef]
  19. Júnior, C.J.F.; Cardozo, A.C.P.; Júnior, V.M.; Neto, A.G. Modeling wind turbine blades by geometrically-exact beam and shell elements: A comparative approach. Eng. Struct. 2019, 180, 357–378. [Google Scholar] [CrossRef]
  20. Wang, L.; Liu, X.; Renevier, N.; Stables, M.; Hall, G.M. Nonlinear aeroelastic modelling for wind turbine blades based on blade element momentum theory and geometrically exact beam theory. Energy 2014, 76, 487–501. [Google Scholar] [CrossRef]
  21. Buhl, M.L. A New Empirical Relationship between Thrust Coefficient and Induction Factor for the Turbulent Windmill State; National Renewable Energy Laboratory: Golden, CO, USA, 2004.
  22. Pitt, D.M.; Peters, D.A. Theoretical prediction of dynamic-in ow derivatives. Vertica 1981, 5, 21–34. [Google Scholar]
  23. Wang, Q.; Sprague, M.A.; Jonkman, J.; Johnson, N.; Jonkman, B. BeamDyn: A high-fidelity wind turbine blade solver in the FAST modular framework. Wind Energy 2017, 20, 1439–1462. [Google Scholar] [CrossRef]
  24. Dykes, K.L.; Rinker, J. WindPACT Reference Wind Turbines; Technical Report, NREL/TP-5000-67667; National Renewable Energy Laboratory: Golden, CO, USA, 2018.
  25. Jonkman, J.; Butterfield, S.; Musial, W.; Scott, G. Definition of a 5-MW Reference Wind Turbine for Offshore System Development; Technical Report, NREL/TP-500-38060; National Renewable Energy Laboratory: Golden, CO, USA, 2009.
  26. Bak, C.; Zahle, F.; Bitsche, R.; Kim, T.; Yde, A.; Henriksen, L.C.; Hansen, M.H.; Blasques, J.P.A.A.; Gaunaa, M.; Natarajan, A. Description of the DTU 10 MW Reference Wind Turbine; DTU Wind Energy Report-I-0092; Risø DTU National Laboratory for Sustainable Energy: Copenhagen, Denmark, 2013. [Google Scholar]
  27. Chen, J.; Shen, X.; Wang, G.; Sun, C.; Zhu, X.; Du, C. Aeroelastic model for wind turbine blade based on lifting surface and nonlinear beam theory. J. Eng. Thermophys. 2018, 39, 1469–1475. [Google Scholar]
  28. Qu, X.; Li, Y.; Tang, Y.; Chai, W.; Gao, Z. Comparative study of short-term extreme responses and fatigue damages of a floating wind turbine using two different blade models. Appl. Ocean Res. 2020, 97, 102088. [Google Scholar] [CrossRef]
Figure 1. Coordinate system.
Figure 1. Coordinate system.
Energies 16 02567 g001
Figure 2. Linear and Nonlinear aeroelastic model flow charts.
Figure 2. Linear and Nonlinear aeroelastic model flow charts.
Energies 16 02567 g002
Figure 3. Flapwise average deformation along the blade span of the Wind PACT 1.5 MW (a), NREL 5 MW (b) and DTU 10 MW (c) wind turbine blades.
Figure 3. Flapwise average deformation along the blade span of the Wind PACT 1.5 MW (a), NREL 5 MW (b) and DTU 10 MW (c) wind turbine blades.
Energies 16 02567 g003
Figure 4. Comparison of blade tip flapwise deformation of three different size wind turbine blades between two aeroelastic models [27,28].
Figure 4. Comparison of blade tip flapwise deformation of three different size wind turbine blades between two aeroelastic models [27,28].
Energies 16 02567 g004
Figure 5. Wind speed profiles under different wind shear factors.
Figure 5. Wind speed profiles under different wind shear factors.
Energies 16 02567 g005
Figure 6. Normal force coefficient and tangential force coefficient under different wind shear factors. (a) Comparison of normal force coefficient. (b) Comparison of tangential force coefficient.
Figure 6. Normal force coefficient and tangential force coefficient under different wind shear factors. (a) Comparison of normal force coefficient. (b) Comparison of tangential force coefficient.
Energies 16 02567 g006
Figure 7. Axial thrust under different wind shear factors.
Figure 7. Axial thrust under different wind shear factors.
Energies 16 02567 g007
Figure 8. Aerodynamic torque under different wind shear factors.
Figure 8. Aerodynamic torque under different wind shear factors.
Energies 16 02567 g008
Figure 9. Blade root loads Fx and Fy at different wind shear factors (α = 0.1, α = 0.2, α = 0.3, α = 0.4 and α = 0.5 are for the downwind blade). (a) Fx. (b) Fy.
Figure 9. Blade root loads Fx and Fy at different wind shear factors (α = 0.1, α = 0.2, α = 0.3, α = 0.4 and α = 0.5 are for the downwind blade). (a) Fx. (b) Fy.
Energies 16 02567 g009
Figure 10. Blade root bending moments Mx and My at different wind shear factors. (a) Mx. (b) My.
Figure 10. Blade root bending moments Mx and My at different wind shear factors. (a) Mx. (b) My.
Energies 16 02567 g010
Figure 11. The flapwise and edgewise deformation at different wind shear factors. (a) Blade tip flapwise deformation. (b) Blade tip edgewise deformation.
Figure 11. The flapwise and edgewise deformation at different wind shear factors. (a) Blade tip flapwise deformation. (b) Blade tip edgewise deformation.
Energies 16 02567 g011
Table 1. Parameters of different wind turbine sizes.
Table 1. Parameters of different wind turbine sizes.
NameWind PACT 1.5 MWNREL 5 MWDTU 10 MW
Rated power (MW)1.5510
Rotor diameter (m)70126178.3
Rated rotational speed (rpm)20.4612.19.6
Rated wind speed (m/s)1211.411.4
Hub center height (m)8490119
Disclaimer/Publisher’s Note: The statements, opinions and data contained in all publications are solely those of the individual author(s) and contributor(s) and not of MDPI and/or the editor(s). MDPI and/or the editor(s) disclaim responsibility for any injury to people or property resulting from any ideas, methods, instructions or products referred to in the content.

Share and Cite

MDPI and ACS Style

Kang, H.; Xu, B.; Shen, X.; Li, Z.; Cai, X.; Hu, Z. Comparison of Blade Aeroelastic Responses between Upwind and Downwind of 10 MW Wind Turbines under the Shear Wind Condition. Energies 2023, 16, 2567. https://doi.org/10.3390/en16062567

AMA Style

Kang H, Xu B, Shen X, Li Z, Cai X, Hu Z. Comparison of Blade Aeroelastic Responses between Upwind and Downwind of 10 MW Wind Turbines under the Shear Wind Condition. Energies. 2023; 16(6):2567. https://doi.org/10.3390/en16062567

Chicago/Turabian Style

Kang, Haojie, Bofeng Xu, Xiang Shen, Zhen Li, Xin Cai, and Zhiqiang Hu. 2023. "Comparison of Blade Aeroelastic Responses between Upwind and Downwind of 10 MW Wind Turbines under the Shear Wind Condition" Energies 16, no. 6: 2567. https://doi.org/10.3390/en16062567

APA Style

Kang, H., Xu, B., Shen, X., Li, Z., Cai, X., & Hu, Z. (2023). Comparison of Blade Aeroelastic Responses between Upwind and Downwind of 10 MW Wind Turbines under the Shear Wind Condition. Energies, 16(6), 2567. https://doi.org/10.3390/en16062567

Note that from the first issue of 2016, this journal uses article numbers instead of page numbers. See further details here.

Article Metrics

Back to TopTop