Research of Turbine Tower Optimization Based on Criterion Method
Abstract
:1. Introduction
2. Criterion Method Used in Tower Optimization
2.1. Tower Design Inputs and Constraints
- 1.
- Available materials and corresponding material safety factors
- 2.
- Available bolt types (Referred to Handbook of Mechanical Design [22])
- 3.
- Loads
- 4.
- Geometry
- 5.
- Safety constraints
- 6.
- Control parameters for optimization
2.2. Tower Optimization Analysis
- Number of design variables is uncertain, and some design variables are discrete: tower can be divided into any unknown number of segments, and each segment has its independent unknown length and thickness. Tower shell thickness is restricted in available thickness region.
- Constraints and objective are generally monotonous with design variables. According to mechanical analysis, safety factor of tower strength and stability increases with shell thickness; tower weight increases with shell thickness and decreases with section diameter. The closer the flange is to the tower bottom, the larger the bearing flange load is, and so the larger the flange weight is.
- Coupling of design variables is weak. The strength and stability of tower segment i is basically determined by its own thickness but barely relevant with other segments. Design of bolted connections is closely related to flanges but seldom influences the overall strength and stability of tower.
2.3. Level 1: Tower Segment Design
2.4. Level 2: Design of Bolted Connections and Flanges
- 1.
- Weight and length of each flange segment should meet transport constraints.
- 2.
- Flange height equals to certain tower segment height, so that flange connects tower segments with different thickness. Or else length between flange and the bottom/top of the tower segment which flange locates at should not be less than min_h, i.e.,
- h_i_flange = h_j_Top, or else
- h_j_Bot < h_i_flange < h_j_Top,h_i_flange-h_j_Bot >= min_h,h_j_Top–h_i_flange >= min_h.
- (i for flange ID, j for tower segment ID)
- 3.
- To reduce flange weight, flange height should be set as large as possible.
2.5. Summary
3. Results
3.1. Optimum for 3 MW Tower
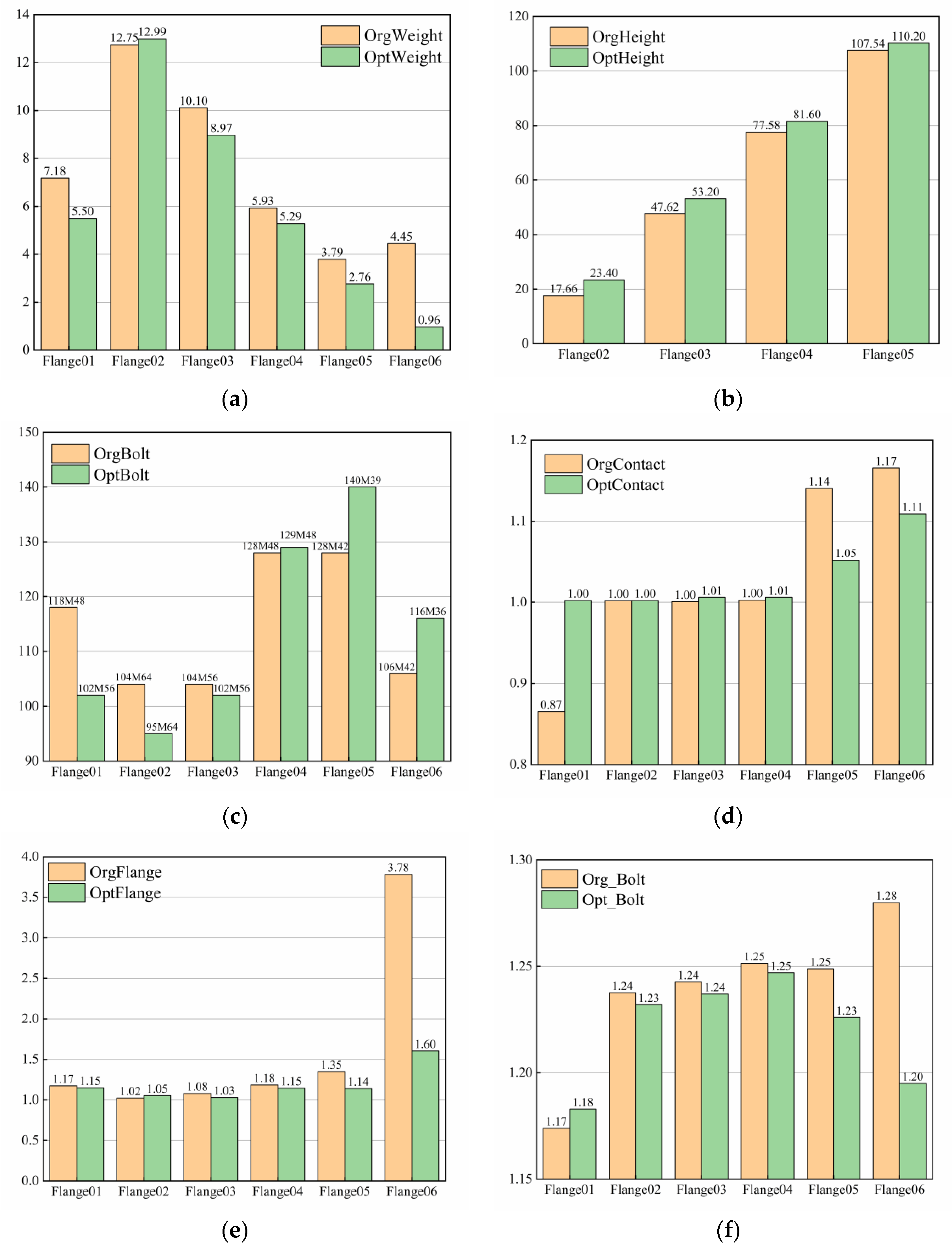
3.2. Design of Certain 10 MW+ Offshore Wind Turbine Tower
3.3. Discussion of Control Parameters in Optimization
- ⮚
- Safety factors
- ⮚
- Thickness variousness range and minimum tower segment length
4. Discussion
5. Summary
Author Contributions
Funding
Data Availability Statement
Conflicts of Interest
References
- Willis, D.; Niezrecki, C.; Kuchma, D.; Hines, E.; Arwade, S.; Barthelmie, R.; DiPaola, M.; Drane, P.; Hansen, C.; Inalpolat, M.; et al. Wind energy research: State-of-the-art and future research directions. Renew. Energy 2018, 125, 133–154. [Google Scholar] [CrossRef]
- Dai, J.; Yang, X.; Wen, L. Development of wind power industry in China: A comprehensive assessment. Renew. Sustain. Energy Rev. 2018, 97, 156–164. [Google Scholar] [CrossRef]
- Lu, Z.-Y.; Li, W.-H.; Xie, B.-C.; Shang, L.-F. Study on China’s wind power development path—Based on the target for 2030. Renew Sustain. Energy 2015, 51, 197–208. [Google Scholar] [CrossRef]
- Gencturk, B.; Attar, A.; Tort, C. Selection of an optimal lattice wind turbine tower for a seismic region based on the cost of energy. J. Civ. Eng. 2014, 19, 2179–2190. [Google Scholar] [CrossRef]
- Ding, W.; Guan, F. Loads Analysis and Weight Optimization of 5MW Wind Turbine Lattice Tower. J. Innov. Soc. Sci. Res. 2018, 5, 172–180. [Google Scholar]
- Chen, J.; Yang, R.; Ma, R.; Li, J. Design optimization of wind turbine tower with lattice-tubular hybrid structure using particle swarm algorithm. Struct. Des. Tall Spec. Build. 2016, 25, 743–758. [Google Scholar] [CrossRef]
- Chen, J.; He, X.; Cong, O. Design Optimization of Steel-Concrete Hybrid Wind Turbine Tower Based on Improved Genetic Algorithm. Acta Energ. Sol. Sin. 2021, 7, 359–365. [Google Scholar] [CrossRef]
- Zhu, J.; Zhou, Z.; Cai, X. Multi-objective aerodynamic and structural integrated optimization design of wind turbines at the system level through a coupled blade-tower model. Renew. Energy 2020, 150, 523–537. [Google Scholar] [CrossRef]
- Meng, D.; Yang, S.; de Jesus, A.M.; Zhu, S.-P. A novel Kriging-model-assisted reliability-based multidisciplinary design optimization strategy and its application in the offshore wind turbine tower. Renew. Energy 2023, 203, 407–420. [Google Scholar] [CrossRef]
- Gao, C.Y.; Gong, Z.Y.; Li, B. The mechanical behavior analyses and optimization on large wind turbine frustum tower structure. Appl. Mech. Mater. 2013, 51–352, 270–274. [Google Scholar] [CrossRef]
- Xie, Y.Z.; Le Mu, A. Analysis and design of integrated optimization of 1.5MW wind turbine tower. Adv. Mater. Res. 2014, 971–973, 958–961. [Google Scholar] [CrossRef]
- Nicholson, J.C.; Arora, J.S.; Goyal, D.; Tinjum, J.M. Multi-Objective Structural Optimization of Wind Turbine Tower and Foundation Systems using Isight: A Process Automation and Design Exploration Software. In Proceedings of the 10th World Congress on Structural and Multidisciplinary Optimization, Orlando, FL, USA, 19–24 May 2013; Volume 8, pp. 45–56. [Google Scholar]
- Tian, X.; Sun, X.; Liu, G.; Deng, E.; Wang, H.; Li, Z.; Li, D. Optimization design of the jacket support structure for offshore wind turbine using topology optimization method. Ocean. Eng. 2022, 243, 110084. [Google Scholar] [CrossRef]
- Friehe, M.; Kemper, F.; Fontecha, R.; Feldmann, M. Optimization of wind turbine towers by using a multivariate stochastic calculation method. Procedia Eng. 2017, 199, 3188–3193. [Google Scholar] [CrossRef]
- Haghi, R.; Ashuri, T.; Van Der Valk, P.L.C.; Molenaar, D.P. Integrated Multidisciplinary Constrained Optimization of Offshore Support Structures; IOP Publishing: Bristol, UK, 2014; Volume 555, pp. 435–472. [Google Scholar]
- Chen, Y.; Jin, X.; Liu, H.; Li, F.; Luo, M. Large scale wind turbine TMD optimization based on Blade-Nacelle-Tower-Foundation Coupled Model. Ocean. Eng. 2021, 239, 109764. [Google Scholar] [CrossRef]
- Al-Sanad, S.; Wang, L.; Parol, J.; Kolios, A. Athanasios Kolios. Reliability-based design optimisation framework for wind turbine towers. Renew. Energy 2021, 167, 942–953. [Google Scholar] [CrossRef]
- Liu, G.; Lei, Z.; Wang, H. Investigation and optimization of a pre-stressed tuned mass damper for wind turbine tower. Struct. Control. Health Monit. 2021, 29, e2894. [Google Scholar] [CrossRef]
- Sadowski, A.J. On the advantages of hybrid beam-shell structural finite element models for the efficient analysis of metal wind turbine support towers. Finite Elem. Anal. Design 2019, 162, 19–33. [Google Scholar] [CrossRef]
- Alonso-Martinez, M.; Adam, J.M.; Alvarez-Rabanal, F.P.; del Coz Díaz, J.J. Wind turbine tower collapse due to flange failure: FEM and DOE analyses. Eng. Fail. Anal. 2019, 104, 932–949. [Google Scholar] [CrossRef]
- Germanischer Lloyd: Guideline for the Certification of Wind Turbines Edition 2010; Germanischer Lloyd: Hamburg, Germany, 2010.
- Cheng, D. Handbook of Mechanical Design; Chemical Industry Press: Beijing, China, 2016; Volume 2. [Google Scholar]
- Song, G.-J.; Qiu, H.-J.; He, X.-Z.; Xu, B.; Wang, K.-F.; Tang, Y.-J. Influence of different structural forms on the lightweight of wind turbine tower. J. Mech. Electr. Eng. 2021, 2, 250–255. [Google Scholar]
- DIN18800-1-1990; Structural Steelwork Design and Construction. Building and Civil Engineering Standards Committee and German Committee for Structural Steelwork, Beuth Verlag Gmbh: Berlin, Germany, 1990.
- DIN18800-4-1990; Steel Structures, Stability, Buckling of Shells. Building and Civil Engineering Standards Committee and German Committee for Structural Steelwork, Beuth Verlag Gmbh: Berlin, Germany, 1990.
- Petersen, C. Stahlbau; Vieweg: Braunschweig, Germany, 1997. [Google Scholar]











| Property | Unit | 3 MW |
|---|---|---|
| Mass | [ton] | 446.28 |
| Height | [m] | 137.5 |
| Material | [-] | Q355D |
| Bottom Diameter | [mm] | 4500 |
| Top Diameter | [mm] | 3780 |
| Height of Cylinder | [m] | 107 |
| Height of Door Section | [m] | 5.2 |
| Min SF of tower segment | [-] | 1.08 |
| Number of flange segments | [-] | 5 |
| Flange Mass | [ton] | 44.21 |
| Flange Mass Ratio | [-] | 9.91% |
| Remark | [-] | flange 1 contact danger |
| Item | Org | Opt | Reduced | Percent |
|---|---|---|---|---|
| Tower | 446.28 | 440.28 | 6.00 | 1.34% |
| Flange | 44.21 | 36.48 | 7.73 | 17.48% |
| Shell | 402.07 | 403.80 | −1.73 | −0.43% |
| Flange Ratio | 9.91% | 8.29% | - | - |
| Original Design | Optimum Design | ||||
|---|---|---|---|---|---|
| t [mm] | FromH [m] | ToH [m] | t [mm] | FromH [m] | ToH [m] |
| 50 | 0 | 5.15 | 48 | 0 | 5.2 |
| 44 | 5.15 | 7.738 | 43 | 5.2 | 7.2 |
| 42 | 7.738 | 10.538 | 41 | 7.2 | 9.2 |
| 40 | 10.538 | 15.738 | 39 | 9.2 | 11.2 |
| 38 | 15.738 | 19.95 | 38 | 11.2 | 14.2 |
| 37 | 19.95 | 22.75 | 37 | 14.2 | 18.2 |
| 36 | 22.75 | 25.55 | 36 | 18.2 | 23.4 |
| 35 | 25.55 | 28.35 | 35 | 23.4 | 28.6 |
| 34.4 | 28.35 | 31.15 | 34 | 28.6 | 33.6 |
| 32.6 | 31.15 | 33.95 | 33 | 33.6 | 38.8 |
| 31.2 | 33.95 | 36.75 | 32 | 38.8 | 40.8 |
| 30.7 | 36.75 | 39.55 | 31 | 40.8 | 44.8 |
| 30.2 | 39.55 | 42.35 | 30 | 44.8 | 47.6 |
| 29.7 | 42.35 | 45.15 | 29.5 | 47.6 | 50.4 |
| 29.2 | 45.15 | 47.425 | 29 | 50.4 | 53.2 |
| 28.8 | 47.425 | 49.905 | 28.5 | 53.2 | 56 |
| 28.4 | 49.905 | 52.705 | 28 | 56 | 58.8 |
| 27.9 | 52.705 | 55.505 | 27.5 | 58.8 | 61.6 |
| 27.4 | 55.505 | 58.305 | 27 | 61.6 | 64.4 |
| 26.9 | 58.305 | 61.105 | 26.5 | 64.4 | 67.2 |
| 26.5 | 61.105 | 63.905 | 26 | 67.2 | 70 |
| 26 | 63.905 | 66.705 | 25.5 | 70 | 72.8 |
| 25.5 | 66.705 | 69.505 | 25 | 72.8 | 75.8 |
| 25 | 69.505 | 72.305 | 24.5 | 75.8 | 78.6 |
| 24.6 | 72.305 | 75.105 | 24 | 78.6 | 81.6 |
| 24.1 | 75.105 | 77.405 | 23.5 | 81.6 | 84.6 |
| 23.6 | 77.405 | 79.865 | 23 | 84.6 | 86.6 |
| 23.3 | 79.865 | 82.665 | 22.5 | 86.6 | 88.6 |
| 22.8 | 82.665 | 85.465 | 22 | 88.6 | 91.4 |
| 22.1 | 85.465 | 88.265 | 21.5 | 91.4 | 94.2 |
| 21.6 | 88.265 | 91.065 | 21 | 94.2 | 97.2 |
| 21.1 | 91.065 | 93.865 | 20.5 | 97.2 | 100 |
| 20.6 | 93.865 | 96.665 | 20 | 100 | 103 |
| 20.2 | 96.665 | 99.465 | 19.5 | 103 | 105.8 |
| 19.7 | 99.465 | 102.265 | 19 | 105.8 | 107.6 |
| 19.2 | 102.265 | 105.065 | 19 | 107.6 | 110.2 |
| 18.8 | 105.065 | 107.395 | 18.5 | 110.2 | 117.8 |
| 19.1 | 107.395 | 107.675 | 18 | 117.8 | 124.8 |
| 18.3 | 107.675 | 109.857 | 17.5 | 124.8 | 131.6 |
| 18.2 | 109.857 | 112.657 | 17 | 131.6 | 137.5 |
| 18 | 112.657 | 115.457 | |||
| 17.8 | 115.457 | 118.257 | |||
| 17.6 | 118.257 | 121.057 | |||
| 17.4 | 121.057 | 123.857 | |||
| 17.3 | 123.857 | 126.657 | |||
| 17.1 | 126.657 | 132.257 | |||
| 17.5 | 132.257 | 135.057 | |||
| 30 | 135.057 | 137.5 | |||
| Property | Unit | 10 MW+ |
|---|---|---|
| Mass | [ton] | <670 |
| Height | [m] | 105 |
| Material | [-] | Q345D |
| Bottom Diameter | [mm] | 7500 |
| Top Diameter | [mm] | 5000 |
| Height of Cylinder | [m] | 0 |
| Height of Door Section | [m] | 5.2 |
| Min SF of tower segment | [-] | 1.2 |
| Number of flange segments | [-] | 5 |
| Moment of tower top | [Nm] | 4.10 × 107 |
| Thrust of tower top | [N] | 2.30 × 107 |
| Moment of tower bottom | [Nm] | 3.50 × 107 |
| t [mm] | FromH [m] | ToH [m] |
|---|---|---|
| 56 | 0 | 5.2 |
| 52 | 5.2 | 7.2 |
| 48 | 7.2 | 9.2 |
| 44 | 9.2 | 11.2 |
| 42 | 11.2 | 13.2 |
| 41 | 13.2 | 15.2 |
| 40 | 15.2 | 17.2 |
| 39 | 17.2 | 19.2 |
| 38 | 19.2 | 25.8 |
| 37 | 25.8 | 33.8 |
| 36 | 33.8 | 36 |
| 34 | 36 | 43.2 |
| 33 | 43.2 | 49.8 |
| 32 | 49.8 | 55.6 |
| 31 | 55.6 | 61 |
| 30 | 61 | 66 |
| 29 | 66 | 70.4 |
| 28 | 70.4 | 74.6 |
| 27 | 74.6 | 78.6 |
| 26 | 78.6 | 82.2 |
| 25 | 82.2 | 105 |
| Item | Unit | 1 | 2 | 3 | 4 | 5 | 6 |
|---|---|---|---|---|---|---|---|
| h_flange | [m] | 0 | 13.2 | 31.1 | 52.8 | 78.6 | 105 |
| D_In | [mm] | 6446 | 6235.7 | 6107.5 | 5638.9 | 5236.6 | 4730 |
| t | [mm] | 210 | 180 | 165 | 155 | 135 | 100 |
| D_Out | [mm] | 7500 | 7185.7 | 6759.5 | 6242.9 | 5628.6 | 5000 |
| dloc_bolt | [mm] | 7232 | 6959.7 | 6541.5 | 6048.9 | 5446.6 | 4850 |
| Bolt | [-] | 168 × M60 | 168 × M56 | 156 × M56 | 180 × M48 | 159 × M48 | 164 × M36 |
| flange mass | [ton] | 19.595 | 29.105 | 17.727 | 14.243 | 7.4751 | 1.7776 |
| bolt strength safety factor | [-] | 1.18 | 1.243 | 1.234 | 1.249 | 1.235 | 1.177 |
| bolt load safety factor | [-] | 1.989 | 2.749 | 2.612 | 2.855 | 2.629 | 1.963 |
| flange strength safety factor | [-] | 1.122 | 1.129 | 1.109 | 1.115 | 1.122 | 1.588 |
| flange contact safety factor | [-] | 1.051 | 1.052 | 1.052 | 1.054 | 1.051 | 1.112 |
Disclaimer/Publisher’s Note: The statements, opinions and data contained in all publications are solely those of the individual author(s) and contributor(s) and not of MDPI and/or the editor(s). MDPI and/or the editor(s) disclaim responsibility for any injury to people or property resulting from any ideas, methods, instructions or products referred to in the content. |
© 2023 by the authors. Licensee MDPI, Basel, Switzerland. This article is an open access article distributed under the terms and conditions of the Creative Commons Attribution (CC BY) license (https://creativecommons.org/licenses/by/4.0/).
Share and Cite
Li, D.; Bao, H.; Zhao, N. Research of Turbine Tower Optimization Based on Criterion Method. Energies 2023, 16, 906. https://doi.org/10.3390/en16020906
Li D, Bao H, Zhao N. Research of Turbine Tower Optimization Based on Criterion Method. Energies. 2023; 16(2):906. https://doi.org/10.3390/en16020906
Chicago/Turabian StyleLi, Dan, Hongbing Bao, and Ning Zhao. 2023. "Research of Turbine Tower Optimization Based on Criterion Method" Energies 16, no. 2: 906. https://doi.org/10.3390/en16020906
APA StyleLi, D., Bao, H., & Zhao, N. (2023). Research of Turbine Tower Optimization Based on Criterion Method. Energies, 16(2), 906. https://doi.org/10.3390/en16020906
