Optimal Axial-Probe Design for Foucault-Current Tomography: A Global Optimization Approach Based on Linear Sampling Method
Abstract
1. Introduction
2. Motivations and Setting
2.1. Foucault-Current Model in the Axisymmetric Configuration
2.2. The Linear Sampling Method
2.3. Sensing Design Parameters
3. Optimal Probe Design, in View of LSM Tomography Solver
3.1. Function of Merit and Image Processing
3.2. Proof of Concept and Approach
3.2.1. Why Proof of Concept?
3.2.2. Our Approach
- Step 1.
- Select an ensemble of deposition shape representative of the most important situations. This decision may depend on the degree of the severity of the clogging situation. For example, thick deposits may represent a danger to the steam generator by clogging the opening of the water circulation. Besides, if a deposition concentration were located near the opening (for water circulation), that would represent more danger than one far away or depositions distanced from each other and not forming an agglomeration. Of course, with a large number of selections, more promising results are expected.
- Step 2.
- Perform a global optimization to identify the best variables (such as coil spacing, coil height, coil pileups). The optimization is severely nonlinear, where a large number for the local optimal in the search space exists and heavily depends on the shape considered. It is recommended, therefore, to deploy a large number of multi-particle searches and use high-performance computing to this end.
- Step 3.
- Identify a range of the best solutions. This can be done through a study of the performance of the optimization with respect to the minimization of the cost function versus the number of coil pileups. One can perform a range of coil pileups in the probe and repeat Step 2 to converge on optimal solutions for each run case, then sort out the results with respect to the total number of coil pileups. Afterward, it becomes simpler to identify the range targeted.
- Step 4.
- Select the best coil pileups. This can be done through a statistical study of the covariance between the coil spacing and the coil heights, for all candidates’ coil pileups. Actually, one can select the case (number of coil pileups) by searching for the highest negative covariance, taking into account the maximum and minimum coils’ height and spacing. The covariance indicates how correlated the coils’ height and spacing are. It is better to consider the lowest coil’s height (to increase resolution) and the highest coil’s spacing (to cover as much space as possible in one excitation and pickup).
- Step 5.
- Perform Global optimization for each candidate in the selected range of coil pileups. Once Step 4 selects the best total number of coil pileups (say, ), we then fix the total number of coils in the probe and repeat Step 2 for every (selected) shape.
- Step 6.
- Select the best coils’ spacing s, and coil height h. This can be done statistically, whether based on the mean values of each parameter or with a combination of the cost function values.
4. Numerical Experiments and Discussion
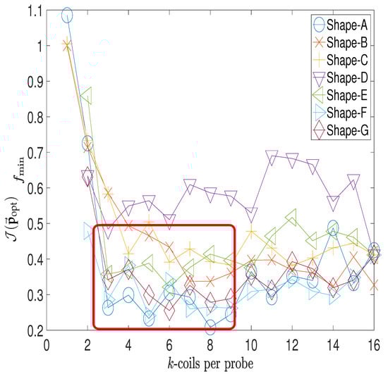
4.1. Coil Pileup Performance and Optimization
4.2. Coils’ Height and Spacing
4.3. Foucault-Current Frequency Excitation
5. Conclusions
Author Contributions
Funding
Data Availability Statement
Acknowledgments
Conflicts of Interest
References
- Turner, C. Fouling of nuclear steam generators: Fundamental studies, operating experience and remedial measures using chemical additives. Nucl. Rev. 2014, 2, 61–88. [Google Scholar] [CrossRef]
- Lu, D.; Yuan, B.; Wu, L.; Ma, Z.; Chen, Y. Research on the deposition model of particle-like corrosion product in SG tubes of PWR. Ann. Nucl. Energy 2015, 81, 98–105. [Google Scholar] [CrossRef]
- MacDonald, P.; Shah, V.; Ward, L.; Ellison, P. Steam Generator Tube Failures; Technical Report; Nuclear Regulatory Commission: Rockville, MD, USA, 1996. [Google Scholar] [CrossRef]
- Yang, G.; Pointeau, V.; Tevissen, E.; Chagnes, A. A review on clogging of recirculating steam generators in Pressurized-Water Reactors. Prog. Nucl. Energy 2017, 97, 182–196. [Google Scholar] [CrossRef]
- Melo, L. Particulate Fouling in Boiling Water Systems. In Two-Phase Flow Heat Exchangers; NATO ASI Series; Springer: Dordrecht, The Netherlands, 1988; Volume 143, pp. 461–469. [Google Scholar]
- Bellanova, M.; Carboni, M.; Felicetti, R. A feasibility analysis on the application of eddy current testing to the detection of the most detrimental defects in historical metallic tie-rods. NDT E Int. 2019, 104, 34–41. [Google Scholar] [CrossRef]
- Marchand, B.; Decitre, J.M.; Casula, O. Innovative flexible eddy current probes for the inspection of complex parts. In Proceedings of the 18th World Conference on Nondestructive Testing, Durban, South Africa, 16–20 April 2012; Available online: https://www.ndt.net/article/wcndt2012/papers/241_wcndtfinal00241.pdf (accessed on 26 February 2023).
- Cherepov, S.; Hesse, O.; Mook, G.; Pankratyev, S.; Uchanin, V. Optimisation of low frequency eddy current sensors using improved inductive coils and highly sensitive AMR and GMR sensor modules. In Proceedings of the 13th IMEKO TC-4 International Symposium, Athens, Greece, 29 September–1 October 2004; Volume 2, pp. 568–576. [Google Scholar]
- Calkins, F.T.; Flatau, A.B.; Dapino, M.J. Overview of magnetostrictive sensor technology. J. Intell. Mater. Syst. Struct. 2007, 18, 1057–1066. [Google Scholar] [CrossRef]
- Ali, K.B.; Abdalla, A.N.; Rifai, D.; Faraj, M.A. Review on system development in eddy current testing and technique for defect classification and characterization. IET Circuits Devices Syst. 2017, 11, 338–351. [Google Scholar] [CrossRef]
- Ulapane, N.; Alempijevic, A.; Miro, J.V.; Vidal-Calleja, T. Non-destructive evaluation of ferromagnetic material thickness using pulsed eddy current sensor detector coil voltage decay rate. NDT E Int. 2018, 100, 108–114. [Google Scholar] [CrossRef]
- Sophian, A.; Tian, G.; Fan, M. Pulsed eddy current non-destructive testing and evaluation: A review. Chin. J. Mech. Eng. 2017, 30, 500–514. [Google Scholar] [CrossRef]
- Huang, H.; Sakurai, N.; Takagi, T.; Uchimoto, T. Design of an eddy-current array probe for crack sizing in steam generator tubes. Ndt E Int. 2003, 36, 515–522. [Google Scholar] [CrossRef]
- Xin, J.; Lei, N.; Udpa, L.; Udpa, S.S. Rotating field eddy current probe with bobbin pickup coil for steam generator tubes inspection. Ndt E Int. 2013, 54, 45–55. [Google Scholar] [CrossRef]
- AbdAlla, A.N.; Faraj, M.A.; Samsuri, F.; Rifai, D.; Ali, K.; Al-Douri, Y. Challenges in improving the performance of eddy current testing. Meas. Control 2019, 52, 46–64. [Google Scholar] [CrossRef]
- Kincaid, T.G.; McCary, R.O. Eddy-Current Probe Design. In Review of Progress in Quantitative Nondestructive Evaluation; Springer: Berlin/Heidelberg, Germany, 1983; pp. 171–188. [Google Scholar]
- Dolapchiev, I.; Brandisky, K.; Ivanov, P. Eddy current testing probe optimization using a parallel genetic algorithm. Serbian J. Electr. Eng. 2008, 5, 39–48. [Google Scholar] [CrossRef]
- Chaiba, S.A.; Ayad, A.; Ziani, D.; Le Bihan, Y.; Javier Garcia, M. Eddy current probe parameters identification using a genetic algorithm and simultaneous perturbation stochastic approximation. J. Nondestruct. Eval. 2018, 37, 1–7. [Google Scholar] [CrossRef]
- Haddar, H.; Riahi, M.K. Near-field linear sampling method for axisymmetric eddy current tomography. Inverse Probl. 2021, 37, 105002. [Google Scholar] [CrossRef]
- Regis, R.G.; Shoemaker, C.A. A stochastic radial basis function method for the global optimization of expensive functions. INFORMS J. Comput. 2007, 19, 497–509. [Google Scholar] [CrossRef]
- Kermadi, M.; Moussaoui, S.; Brahimi, A.T.; Feliachi, M. Comparison of efficient global optimization and particle swarm optimization for eddy current non-destructive evaluation. In Proceedings of the 2016 International Conference on Electrical Sciences and Technologies in Maghreb (CISTEM), Marrakesh, Morocco, 26–28 October 2016; pp. 1–6. [Google Scholar]
- Benaissa, B.; Hocine, N.A.; Khatir, S.; Riahi, M.K.; Mirjalili, S. YUKI Algorithm and POD-RBF for Elastostatic and dynamic crack identification. J. Comput. Sci. 2021, 55, 101451. [Google Scholar] [CrossRef]
- The Mathworks, I. MATLAB. 2022. Available online: https://www.mathworks.com (accessed on 20 December 2022).
- Powell, M.J. The theory of radial basis function approximation in 1990. Adv. Numer. Anal. 1992, 2, 105–210. [Google Scholar]
- Rodríguez, A.A.; Valli, A. Eddy Current Approximation of Maxwell Equations: Theory, Algorithms and Applications; Springer Science & Business Media: Berlin/Heidelberg, Germany, 2010; Volume 4. [Google Scholar]
- Blitz, J. Electrical and Magnetic Methods of Non-Destructive Testing; Non-Destructive Evaluation Series; Springer: Amsterdam, The Netherlands, 1997; p. 2. [Google Scholar]
- Rachid, T.; Jacques, R. Mathematical Models for Eddy Currents and Magnetostatics; Vol. Computational Science and Engineering; Springer: Amsterdam, The Netherlands, 2014. [Google Scholar] [CrossRef]
- Colton, D.; Haddar, H.; Piana, M. The linear sampling method in inverse electromagnetic scattering theory. Inverse Probl. 2003, 19, S105. [Google Scholar] [CrossRef]
- Cakoni, F.; Colton, D.; Monk, P. The Linear Sampling Method in Inverse Electromagnetic Scattering; SIAM: Philadelphia, PA, USA, 2011. [Google Scholar]
- Audibert, L.; Haddar, H. A generalized formulation of the linear sampling method with exact characterization of targets in terms of farfield measurements. Inverse Probl. 2014, 30, 035011. [Google Scholar] [CrossRef]
- Arens, T.; Lechleiter, A. The linear sampling method revisited. J. Integral Equ. Appl. 2009, 21, 179–202. [Google Scholar] [CrossRef]
- Alqadah, H.; Valdivia, N. A frequency based constraint for a multi-frequency linear sampling method. Inverse Probl. 2013, 29, 095019. [Google Scholar] [CrossRef]
- Bevacqua, M.T.; Palmeri, R. Qualitative methods for the inverse obstacle problem: A comparison on experimental data. J. Imaging 2019, 5, 47. [Google Scholar] [CrossRef] [PubMed]
- Baganas, K.; Guzina, B.B.; Charalambopoulos, A.; Manolis, G.D. A linear sampling method for the inverse transmission problem in near-field elastodynamics. Inverse Probl. 2006, 22, 1835. [Google Scholar] [CrossRef]
- Ding, M.; Li, J.; Liu, K.; Yang, J. Imaging of local rough surfaces by the linear sampling method with near-field data. SIAM J. Imaging Sci. 2017, 10, 1579–1602. [Google Scholar] [CrossRef]
- Fata, S.N.; Guzina, B.B. A linear sampling method for near-field inverse problems in elastodynamics. Inverse Probl. 2004, 20, 713. [Google Scholar] [CrossRef]
- Arens, T. Why linear sampling works. Inverse Probl. 2003, 20, 163. [Google Scholar] [CrossRef]
- Chen, X. Linear Sampling Method. In Computational Methods for Electromagnetic Inverse Scattering; John Wiley & Sons: Hoboken, NJ, USA, 2017; Chapter 5; pp. 103–121. [Google Scholar]
- Haddar, H.; Jiang, Z.; Riahi, M.K. A Robust Inversion Method for Quantitative 3D Shape Reconstruction from Coaxial Eddy Current Measurements. J. Sci. Comput. 2017, 70, 29–59. [Google Scholar] [CrossRef]
- Riahi, M.K. A Fast Eddy-current Non Destructive Testing Finite Element Solver in Steam Generator. J. Coupled Syst. Multiscale Dyn. 2016, 4, 60. [Google Scholar] [CrossRef][Green Version]
- Weehuizen, F. A review of periodic hydro-testing of reactor components with acoustic emission evaluation. NDE Nucl. Ind. 1985. [Google Scholar]
- Smith, A.; Williamson, R.; Low, A. Ensuring the Integrity of Subsea Hot Tap Welded Joints in Lieu of Hydro Testing. In Proceedings of the SPE Offshore Europe Oil and Gas Conference and Exhibition, Aberdeen, UK, 5–8 September 2011. [Google Scholar]
- Kryukov, I.; Shmelev, N.; Levchenko, A.; Rybnikov, A.; Andreev, M.; Moshnikov, A. Integrated quality control of the rotor discs of gas turbines of gas-compressor units by eddy-current and dye penetrant nondestructive testing. Russ. J. Nondestruct. Test. 2016, 52, 102–111. [Google Scholar] [CrossRef]
- Lopez, A.; Bacelar, R.; Pires, I.; Santos, T.G.; Sousa, J.P.; Quintino, L. Non-destructive testing application of radiography and ultrasound for wire and arc additive manufacturing. Addit. Manuf. 2018, 21, 298–306. [Google Scholar] [CrossRef]
- Aldrin, J.C.; Shell, E.B.; Oneida, E.K.; Sabbagh, H.A.; Sabbagh, E.; Murphy, R.K.; Mazdiyasni, S.; Lindgren, E.A. Model-based inverse methods for sizing surface-breaking discontinuities with eddy current probe variability. In AIP Conference Proceedings; AIP Publishing LLC: Melville, NY, USA, 2016; Volume 1706, p. 090002. [Google Scholar]
- Hecht, F. New development in FreeFem++. J. Numer. Math. 2012, 20, 251–265. [Google Scholar] [CrossRef]
- Collin, R.E. Field Theory of Guided Waves; IEEE Press: Piscataway, NJ, USA, 1991. [Google Scholar]
- Jackson, J.D. Classical Electrodynamics; Wiley: New York, NY, USA, 1999. [Google Scholar]




| Shape | h: Coils’ Height (mm) | s: Coils’ Spacing (mm) | |
|---|---|---|---|
| A | 0.3054 | 2 | 3.30 |
| B | 0.4333 | 2 | 2.17 |
| C | 0.3912 | 4 | 1.34 |
| D | 0.5105 | 3 | 1.81 |
| E | 0.3211 | 2 | 2.00 |
| F | 0.3379 | 2 | 3.90 |
| G | 0.2553 | 2 | 4.28 |
| Hz | Hz | Hz | Hz | Iso-Values |
|---|---|---|---|---|
![]() | ![]() | ![]() | ![]() | ![]() |
| Shape | Hz | Hz | Hz | Hz | |
|---|---|---|---|---|---|
| A | ![]() | ![]() | ![]() | ![]() | ![]() |
| B | ![]() | ![]() | ![]() | ![]() | ![]() |
| C | ![]() | ![]() | ![]() | ![]() | ![]() |
| D | ![]() | ![]() | ![]() | ![]() | ![]() |
| E | ![]() | ![]() | ![]() | ![]() | ![]() |
| F | ![]() | ![]() | ![]() | ![]() | ![]() |
| G | ![]() | ![]() | ![]() | ![]() | ![]() |
Disclaimer/Publisher’s Note: The statements, opinions and data contained in all publications are solely those of the individual author(s) and contributor(s) and not of MDPI and/or the editor(s). MDPI and/or the editor(s) disclaim responsibility for any injury to people or property resulting from any ideas, methods, instructions or products referred to in the content. |
© 2023 by the authors. Licensee MDPI, Basel, Switzerland. This article is an open access article distributed under the terms and conditions of the Creative Commons Attribution (CC BY) license (https://creativecommons.org/licenses/by/4.0/).
Share and Cite
Benaissa, B.; Khatir, S.; Jouini, M.S.; Riahi, M.K. Optimal Axial-Probe Design for Foucault-Current Tomography: A Global Optimization Approach Based on Linear Sampling Method. Energies 2023, 16, 2448. https://doi.org/10.3390/en16052448
Benaissa B, Khatir S, Jouini MS, Riahi MK. Optimal Axial-Probe Design for Foucault-Current Tomography: A Global Optimization Approach Based on Linear Sampling Method. Energies. 2023; 16(5):2448. https://doi.org/10.3390/en16052448
Chicago/Turabian StyleBenaissa, Brahim, Samir Khatir, Mohamed Soufiane Jouini, and Mohamed Kamel Riahi. 2023. "Optimal Axial-Probe Design for Foucault-Current Tomography: A Global Optimization Approach Based on Linear Sampling Method" Energies 16, no. 5: 2448. https://doi.org/10.3390/en16052448
APA StyleBenaissa, B., Khatir, S., Jouini, M. S., & Riahi, M. K. (2023). Optimal Axial-Probe Design for Foucault-Current Tomography: A Global Optimization Approach Based on Linear Sampling Method. Energies, 16(5), 2448. https://doi.org/10.3390/en16052448









































