Prediction of Storage Conditions to Increase the Bioenergy Efficiency of Giant Miscanthus Pellets Produced through On-Site Integrated Pretreatment Machines
Abstract
1. Introduction
2. Materials and Methods
2.1. Design of the Biomass Grinding Compression Device
2.1.1. Sample Collection and Initial Moisture Content
2.1.2. Considerations for Optimal Compressed Particles
2.1.3. Creation of an Experimental Environment for Giant Miscanthus Samples
- T—temperature (°C)
- RH—relative humidity (%)
- t—average value
- n—number of analysis points
2.1.4. Method for the Measurement of Moisture Content according to Storage Conditions
- MC—moisture content of biomass (%)
- m1—weight in real-time (g)
- m2—dry weight of biomass (g)
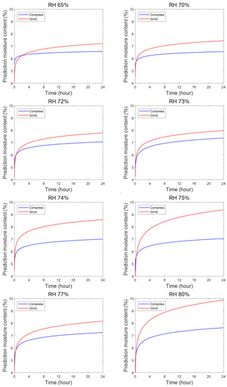
3. Results and Discussion
4. Conclusions
Author Contributions
Funding
Data Availability Statement
Acknowledgments
Conflicts of Interest
References
- Bar-on, Y.; Phillips, R.; Milo, R. The biomass distribution on Earth. Proc. Natl. Acad. Sci. USA 2018, 115, 6506–6511. [Google Scholar] [CrossRef] [PubMed]
- Nunes, L.J.R.; Matias, J.C.O.; Catalão, J.P.S. Mixed biomass pellets for thermal energy production: A review of combustion models. Appl. Energy 2014, 127, 135–140. [Google Scholar] [CrossRef]
- Koseki, H. Evaluation of various solid biomass fuels using thermal analysis and gas emission tests. Energies 2011, 4, 616–627. [Google Scholar] [CrossRef]
- IPCC Climate Change. Synthesis Report Contribution of Working Groups I, II and III to the Fourth Assessment Report of the Intergovernmental Panel on Climate Change; Cambridge University Press: Cambridge, UK, 2007. Available online: https://www.researchgate.net/publication/262260453_IPCC_2007_Climate_Change_2007_Synthesis_Report_Contribution_of_Working_Groups_I_II_III_to_the_Fourth_Assessment_Report_of_the_Intergovernmental_Panel_on_Climate_Change_Geneva (accessed on 6 February 2019).
- Huang, Y.; Finell, M.; Larsson, S.; Wang, X.; Zhang, J.; Wei, R.; Liu, L. Biofuel pellets made at low moisture content—Influence of water in the binding mechanism of densified biomass. Biomass Bioenerg. 2017, 98, 8–14. [Google Scholar] [CrossRef]
- ISO; BSEN. Solid Biofuels—Terminology, Definitions and Descriptions; ISO: Geneva, Switzerland, 2014. (In Polish) [Google Scholar]
- Tumuluru, J.S. Effect of process variables on the density and durability of the pellets made from high moisture corn stover. Biosyst. Eng. 2014, 119, 44–57. [Google Scholar] [CrossRef]
- Theerthagiri, J.; Karuppasamy, K.; Park, J.H.; Rahamathulla, N.; Kumari, M.L.A.; Souza, M.K.R.; Cardoso, E.S.F.; Murthy, A.P.; Maia, G.; Kim, H.S.; et al. Electrochemical conversion of biomass-derived aldehydes into fine chemicals and hydrogen: A review. Environ. Chem. Lett. 2022. [Google Scholar] [CrossRef]
- Tumuluru, J.S.; Wright, C.T.; Hess, J.R.; Kenney, K.L. A review of biomass densification systems to develop uniform feedstock commodities for bioenergy application. Biofuels Bioprod. Biorefining 2011, 5, 683–707. [Google Scholar] [CrossRef]
- Sánchez, J.; Curt, M.D.; Sanz, M.; Fernández, J. A proposal for pellet production from residual woody biomass in the island of Majorca (Spain). AIMS Energy 2015, 3, 480–504. [Google Scholar] [CrossRef]
- Spinelli, R.; Nati, C.; Sozzi, L.; Magagnotti, N.; Picchi, G. Physical characterization of commercial woodchips on the Italian energy market. Fuel 2011, 90, 2198–2202. [Google Scholar] [CrossRef]
- Picchio, R.; Maesano, M.; Savelli, S.; Marchi, E. Productivity and energy balance in conversion of a Quercus cerris L. coppice stand into high forest in Central Italy. Croat. J. Eng. 2009, 30, 15–26. [Google Scholar]
- Križan, P.; Matúš, M.; Šooš, J.; Beniak, J. Behavior of beech sawdust during densification into a solid biofuel. Energies 2015, 8, 6382–6398. [Google Scholar] [CrossRef]
- Li, Y.; Liu, H. High pressure densification of wood residues to form an upgraded fuel. Biomass Bioenergy 2000, 19, 177–186. [Google Scholar] [CrossRef]
- Wąsik, R.; Michalec, K.; Mudryk, K. Research reports variability in static bending strength of the “Tabórz” scots pine wood (Pinus sylvestris L.). Drew. Pr. Nauk. Doniesienia Komun. 2016, 59, 153–162. [Google Scholar] [CrossRef]
- Mudryk, K.; Frączek, J.; Ślipek, Z.; Francik, S.; Wróbel, M. Chosen Physico-Mechanical Properties of Cutleaf Coneflower (Rudbeckia laciniata L.) Shoots. In Proceedings of the 12th International Scientific Conference Engineering for Rural Development, Jelgava, Latvia, 23–24 May 2013. [Google Scholar]
- Księżak, J.; Faber, A. Ocena możliwości pozyskiwania biomasy z mozgi trzcinowatej na cele energetyczne. Łąkarstwo w Polsce 2007, 10, 141–148. [Google Scholar]
- Czeczko, R. Porównanie stopnia uwodnienia różnych części Helianthus tuberosus aspekcie ich przydatności jako biopaliwa. Ochr. Sr. Zasobów Nat. 2011, 49, 521–524. [Google Scholar]
- Ivanyshyn, V.; Nedilska, U.; Khomina, V.; Klymyshena, R.; Hryhoriev, V.; Ovcharuk, O.; Hutsol, T.; Mudryk, K.; Jewiarz, M.; Wróbel, M.; et al. Prospects of Growing Miscanthus as Alternative Source of Biofuel. In Renewable Energy Sources: Engineering, Technology, Innovation; Springer: Cham, Switzerland, 2018. [Google Scholar] [CrossRef]
- Jonsson, R.; Rinaldi, F. The impact on global wood-product markets of increasing consumption of wood pellets within the European Union. Energy 2017, 133, 864–878. [Google Scholar] [CrossRef]
- Thrän, D.; Peetz, D.; Schaubach, K. Global Wood Pellet Industry and Trade Study 2017; IEA Bioenergy: Brussels, Belgium, 2017; ISBN 9781910154328. [Google Scholar]
- Saosee, P.; Sajjakulnukit, B.; Gheewala, S.H. Life cycle assessment of wood pellet production in Thailand. Sustainability 2020, 12, 6996. [Google Scholar] [CrossRef]
- Wood Pellets Market Size, Share & Trends Analysis Report by Application (Power Plants, Residential Heating, Commercial Heating, CHP Heating), by Region, and Segment Forecasts, 2020–2027. Report ID: GVR-2-68038-745-2. 2020, p. 118. Available online: https://www.grandviewresearch.com/industry-analysis/wood-pellets-market (accessed on 29 October 2020).
- Bioenergy Europe Pellet. Statistical Report 2020; Bioenergy Europe: Brussels, Belgium, 2020. [Google Scholar]
- Mola-Yudego, B.; Selkimäki, M.; González-Olabarria, J.R. Spatial analysis of the wood pellet production for energy in Europe. Renew. Energ. 2014, 63, 76–83. [Google Scholar] [CrossRef]
- Wróbel, M.; Frączek, J.; Jewiarz, M.; Mudryk, K.; Dziedzic, K. Impact of selected properties of raw material on quality features of granular fertilizers obtained from digestates and ASH mixtures. Agric. Eng. 2016, 20, 207–217. [Google Scholar] [CrossRef]
- Mirowski, T. Utilization of biomass for energy purpose versus reduction of emission of air pollutants from municipal and households sector. Rocznik Ochr. Srodowiska 2016, 18, 466–477. [Google Scholar]
- Zanetti, M.; Brandelet, B.; Marini, D.; Sgarbossa, A.; Giorio, C.; Badocco, D.; Tapparo, A.; Grigolato, S.; Rogaume, C.; Rogaume, Y.; et al. Vineyard pruning residues pellets for use in domestic appliances: A quality assessment according to the EN ISO 17225. J. Agric. Eng. 2017, 48, 99. [Google Scholar] [CrossRef]
- Rabaçal, M.; Fernandes, U.; Costa, M. Combustion and emission characteristics of a domestic boiler fired with pellets of pine, industrial wood wastes and peach stones. Renew. Energ. 2013, 51, 220–226. [Google Scholar] [CrossRef]
- Fusi, A.; Bacenetti, J.; Proto, A.R.; Tedesco, D.E.A.; Pessina, D.; Facchinetti, D. Pellet production from Miscanthus: Energy and environmental assessment. Energies 2021, 14, 73. [Google Scholar] [CrossRef]
- Lewandowski, I.; Clifton-Brown, J.C.; Scurlock, J.M.O.; Huisman, W. Miscanthus: European experience with a novel energy crop. Biomass Bioenerg. 2000, 19, 209–227. [Google Scholar] [CrossRef]
- Styles, D.; Gibbons, J.; Williams, A.P.; Dauber, J.; Stichnothe, H.; Urban, B.; Chadwick, D.R.; Jones, D.L. Consequential life cycle assessment of biogas, biofuel and biomass energy options within an arable crop rotation. GCB Bioenergy 2015, 7, 1305–1320. [Google Scholar] [CrossRef]
- Jach-Nocoń, M.; Pełka, G.; Luboń, W.; Mirowski, T.; Nocoń, A.; Pachytel, P. An assessment of the efficiency and emissions of a pellet boiler combusting multiple pellet types. Energies 2021, 14, 4465. [Google Scholar] [CrossRef]
- Hu, Q.; Shao, J.; Yang, H.; Yao, D.; Wang, X.; Chen, H. Effects of binders on the properties of bio-char pellets. Appl. Energy 2015, 157, 508–516. [Google Scholar] [CrossRef]
- Tumuluru, J. Effect of moisture content and hammer mill screen size on the briquetting characteristics of woody and herbaceous biomass. KONA Powder Part. J. 2019, 36, 241–251. [Google Scholar] [CrossRef]
- Abdoli, M.A.; Golzary, A.; Hosseini, A.; Sadeghi, P. Wood Pellet as a Renewable Source of Energy from Production to Consumption; Springer: Cham, Switzerland, 2018. [Google Scholar] [CrossRef]
- Yehia, K.A. Estimation of roll press design parameters based on the assessment of a particular nip region. Powder Technol. 2007, 177, 148–153. [Google Scholar] [CrossRef]
- Styks, J.; Wróbel, M.; Frączek, J.; Knapczyk, A. Effect of compaction pressure and moisture content on quality parameters of perennial biomass pellets. Energies 2020, 13, 1859. [Google Scholar] [CrossRef]
- Qin, Q.; Heil, T.; Schmidt, J.; Schmallegger, M.; Gescheidt, G.; Antonietti, M.; Oschatz, M. Electrochemical fixation of nitrogen and its coupling with biomass valorization with a strongly adsorbing and defect optimized boron–carbon–nitrogen catalyst. ACS Appl. Energy Mater. 2019, 2, 8359–8365. [Google Scholar] [CrossRef]
- Yoshida, T.; Kuroda, K.; Kamikawa, D.; Kubojima, Y.; Nomura, T.; Watada, H.; Sano, T.; Ohara, S. Water resistance of torrefied wood pellets prepared by different methods. Energies 2021, 14, 1618. [Google Scholar] [CrossRef]









| Type | 65% | 70% | 72% | 73% | 74% | 75% | 77% | 80% |
| Compressed | 6.71% | 6.67% | 7.14% | 7.57% | 7.08% | 7.12% | 7.56% | 7.81% |
| Ground | 7.44% | 7.60% | 7.80% | 8.17% | 8.61% | 9.30% | 8.91% | 9.82% |
| RH(%) | Compressed | Ground | ||||
|---|---|---|---|---|---|---|
| a | b | R2 | a | b | R2 | |
| 65% | 0.1314 | 5.5331 | 0.7942 | 0.3949 | 4.0667 | 0.8149 |
| 70% | 0.1778 | 5.1470 | 0.8597 | 0.3649 | 4.5360 | 0.9095 |
| 72% | 0.2663 | 4.9459 | 0.9231 | 0.4538 | 4.1829 | 0.9465 |
| 73% | 0.3889 | 4.2811 | 0.8875 | 0.4673 | 4.2559 | 0.9205 |
| 74% | 0.2854 | 4.7298 | 0.9392 | 0.5172 | 4.4604 | 0.9050 |
| 75% | 0.3298 | 4.4196 | 0.8534 | 0.8623 | 2.5034 | 0.9297 |
| 77% | 0.3447 | 4.5021 | 0.8304 | 0.5673 | 3.6544 | 0.7024 |
| 80% | 0.4578 | 3.9930 | 0.8897 | 0.9029 | 2.6806 | 0.9545 |
Disclaimer/Publisher’s Note: The statements, opinions and data contained in all publications are solely those of the individual author(s) and contributor(s) and not of MDPI and/or the editor(s). MDPI and/or the editor(s) disclaim responsibility for any injury to people or property resulting from any ideas, methods, instructions or products referred to in the content. |
© 2023 by the authors. Licensee MDPI, Basel, Switzerland. This article is an open access article distributed under the terms and conditions of the Creative Commons Attribution (CC BY) license (https://creativecommons.org/licenses/by/4.0/).
Share and Cite
Lee, J.-K.; Hong, D.; Chae, H.; Lee, D.-H. Prediction of Storage Conditions to Increase the Bioenergy Efficiency of Giant Miscanthus Pellets Produced through On-Site Integrated Pretreatment Machines. Energies 2023, 16, 2422. https://doi.org/10.3390/en16052422
Lee J-K, Hong D, Chae H, Lee D-H. Prediction of Storage Conditions to Increase the Bioenergy Efficiency of Giant Miscanthus Pellets Produced through On-Site Integrated Pretreatment Machines. Energies. 2023; 16(5):2422. https://doi.org/10.3390/en16052422
Chicago/Turabian StyleLee, Jung-Kyu, Dongho Hong, Hyunkyu Chae, and Dong-Hoon Lee. 2023. "Prediction of Storage Conditions to Increase the Bioenergy Efficiency of Giant Miscanthus Pellets Produced through On-Site Integrated Pretreatment Machines" Energies 16, no. 5: 2422. https://doi.org/10.3390/en16052422
APA StyleLee, J.-K., Hong, D., Chae, H., & Lee, D.-H. (2023). Prediction of Storage Conditions to Increase the Bioenergy Efficiency of Giant Miscanthus Pellets Produced through On-Site Integrated Pretreatment Machines. Energies, 16(5), 2422. https://doi.org/10.3390/en16052422

