Abstract
A chilled water system transports cooling functionality from refrigerators to users via heating, ventilation, and air conditioning (HVAC) systems. This paper investigated an optimal control strategy to regulate the volume flow rate of each user branch in a chilled water system, considering the minimum resistance operation to reduce energy consumption. An artificial neural network (ANN) was adopted to establish the nonlinear relationship between the volume flow rate of each user branch, pump frequency, and valve opening of each user branch. An optimal control strategy for a chilled water HVAC system is proposed in this article, according to the pump-valve combined control (PVCC) principle and an ANN model, i.e., pump-valve combined control using an artificial neural network model (PVCC-ANN). A series of tests were conducted to collect data to train the ANN model and analyze the performance of the PVCC-ANN in an experimental chilled water system. The results show that the trained ANN model has good prediction performance. A minimum resistance operation can be achieved to control the volume flow rate of each user branch independently by using the PVCC-ANN model. Moreover, the proposed PVCC-ANN method shows good energy-saving performance in chilled water systems, which can be attributed to the minimum resistance operation. Taking the energy consumption of the pump’s constant frequency operation as the reference, the energy saving rate using the PVCC-ANN is between 14.3% and 58.6% under 10 operating conditions, as reported in this paper.
1. Introduction
Heating, ventilation, and air conditioning (HVAC) systems play a very important role in improving the indoor environment and ensuring the comfort of personnel. The HVAC system is usually used to ensure that the indoor temperature, humidity, and other parameters of the building are within a reasonable and comfortable range [1]. Improving the comfort of the indoor environment and the smart control of energy supplies will not only guarantee physical health but also improve production efficiency and will ensure the safety of production [2,3,4].
Typically, a chilled water system is an important component of HVAC systems in public or commercial buildings, one that is used to transport cooling functionality from chillers to users [5]. During the operation of an HVAC system, the volume flow rate of chilled water produced by the chilled water system should be regulated to meet the cooling load variation, resulting in a change to the indoor and outdoor environmental parameters [6]. In China, building operating energy consumption was responsible for approximately 46.1% of the total building energy consumption in 2019, while the energy consumption of HVAC accounted for more than 50% of the total building operating energy consumption [7]. Similar statistics appear in the United States and most European countries [8,9]. Because the energy consumption of chilled water systems accounts for a certain proportion of the total consumption of HVAC, it is necessary to consider the control strategy of a chilled water system to reduce the energy consumption of a chilled pump, especially for partial cooling load conditions [10].
Hydraulic balance is the premise of the energy-saving operation of chilled water HVAC systems. Some scholars have considered why chilled water systems should be balanced and how to achieve hydraulic balance. It is considered that hydraulic balance can be effectively achieved by using a balance valve [11]. How to select and set the balance valve to reduce the energy consumption of the pump and improve the hydraulic stability of chilled water system operation has been widely discussed [12,13]. Hegberg [14] investigated the application of a balance valve in a variable flow system and proposed the design strategy of a balance valve in chilled water systems. The research indicated that the balance valve can be used in variable flow systems to reduce the energy consumption of the pump. James Burt Rishel [15] discussed the selection strategy of a balance valve in different systems. KN Rhee et al. [16,17] evaluated the regulating performance of a hydraulic balance valve on volume flow rate in a radiant floor-heating system and analyzed the influence of various factors on the hydraulic balance effect. Wijaya [18] developed a control method combining an artificial neural network and a genetic algorithm to optimize a chilled water pump system.
At present, an ON/OFF control with a constant speed, chilled-water pump is often used in HVAC systems [19,20]. However, the chilled water flow could be optimized for better energy-saving using variable speed pump technology [18]. Kirsner [21,22] proposed a chilled water setup for use in HVAC systems using variable speed pump technology, which has attracted the attention of researchers. Many scholars [23,24,25,26] studied the variable frequency strategies of the primary and secondary pump and indicated that the pump frequency can be changed, according to the cooling load variation in HVAC systems, to reduce the energy consumption of the chilled water pump. Liu et al. [27] studied the influence of a variable volume flow rate in a primary water system on chiller efficiency and found that the variable volume flow rate operation of chilled water has little impact on chiller efficiency and can save on energy consumption. Ma et al. [28] proposed an optimal control strategy for variable frequency pumps by optimizing the differential pressure between the main chilled water supply and return pipelines in HVAC systems to improve energy efficiency. Currently, PID controllers are widely used to control the variable frequency pumps in chilled water systems to improve the energy efficiency of HVAC systems [29]. However, the PID controller is usually designed using fixed control parameters, which is limiting in a wide range of operating conditions [30]. In recent years, with the development of computer technology and data collection technology, data-driven models have been gradually applied for controlling HVAC [31,32,33,34,35].
The existing studies in the literature have demonstrated that the frequency conversion of the pump can greatly save on the energy consumption of chilled water pumps in HVAC systems. However, according to fluid mechanics theory, frequency conversion of the pump can only control the total volume flow rate of the chilled water system. When different variation rates of cooling load exist, frequency conversion of the pump could not be used to control the volume flow rate of each user branch independently.
In order to solve the aforementioned problems, this paper studies a pump-valve combined control strategy applied to a chilled water HVAC system, using an artificial neural network model to achieve the minimum resistance control to save energy consumption in a chilled water pump. An artificial neural network (ANN) model is used to construct the relationship between the volume flow rate of each user branch, pump frequency, and the valve opening of each user branch in chilled water HVAC systems. Then, a pump-valve combined control strategy is proposed, aiming at the minimum resistance operation of the chilled water system; that is, either the pump frequency could reach the lower limit or at least one valve of the branches is fully open. The proposed strategy could not only save energy consumption in the device by reducing the pump frequency but also control the volume flow rate of each user branch independently by means of adjusting the valve openings.
2. Regulation Strategies of Chilled Water Systems
HVAC systems often operate under off-design conditions since the cooling load would change along with changes such as outdoor temperature, outdoor humidity, solar radiation, indoor personnel, indoor heat sources, and so on. Therefore, the volume flow rate of each user branch of a chilled water system in an HVAC system should be adjusted in time to meet variations in cooling load. In general, the following three regulation strategies of chilled water systems could be used in engineering, according to fluid mechanics theory.
- (1)
- Pump frequency conversion (PFC)
When the cooling load in HVAC systems changes, the impeller speed of the pump could be regulated by a frequency converter to change the volume flow rate of the chilled water system to meet variations in cooling load, which is known as a pump frequency control strategy. According to fluid mechanics theory, the energy consumption of a pump is approximately related to the third power of pump frequency, while the pump frequency is correlated linearly with the volume flow rate of a chilled water system. It can be concluded that the energy consumption of a pump is approximately related to the third power of the volume flow rate of a chilled water system. Therefore, using PFC could greatly save energy consumption when the cooling load decreases. However, PFC can only control the total volume flow rate of the chilled water system. When different variation rates of cooling load exist, PFC could not be used to control the volume flow rate of each user branch independently.
- (2)
- Valve opening adjustment (VOA)
In theory, the VOA strategy is used to adjust the volume flow rate in chilled water systems by means of the changing resistance of valves by adjusting the valve opening of each user branch. Without changing the pump speed, the volume flow rate of each user could be controlled independently using VOA. However, when the actual cooling load of HVAC is lower than that of the design conditions, i.e., partial cooling load conditions, the valve of each user branch will be controlled to a non-fully open condition to achieve a correspondingly lower volume flow rate. Obviously, under partial cooling load conditions, the resistance of valves is higher than that under design conditions, which leads to the non-energy-saving operation of a chilled water system.
- (3)
- Pump-valve combined control (PVCC) model
According to fluid mechanics theory, the PVCC model could not only save on the energy consumption of the device by means of reducing pump frequency but also control the volume flow rate of each user branch independently through adjusting valve opening. Using a PVCC strategy, in order to achieve maximum energy-saving performance, the optimal operation of a HVAC chilled water system would be that the pump frequency could reach the lower limit or at least one valve of branches is fully open, which represents minimum resistance operation. Therefore, by combining the advantages of PFC and VOC, the PVCC could be used in chilled water system regulation to achieve minimum resistance operation, to save on the energy consumption of the pump.
Obviously, considering the energy-saving operation of chilled water HVAC systems, the PVCC strategy is better than a PFC strategy and VOA strategy. In this paper, an ANN is adopted to realize the optimal operation of chilled water HVAC systems using the PVCC strategy.
3. Operation Optimization Strategy of a Chilled Water System Based on an ANN
3.1. Artificial Neural Networks
In this paper, a backpropagation (BP) neural network is used to construct the relationship between the volume flow rate of each user branch, pump frequency, and the valve opening of each user branch in a chilled water HVAC system. A BP neural network is the most widely used artificial neural network (ANN), which is a forward network based on error backpropagation and has a very strong nonlinear mapping ability [36]. In general, the BP neural network includes three layers: the input layer, the hidden layer, and the output layer. In this paper, the volume flow rate of each user branch and the pump frequency are set as the input layer of the BP neural network. The valve opening was set as the output layer. The hidden layer of the neural network is set as 1 layer, and the number of neuron nodes can be determined according to an empirical formula. For any chilled water HVAC system containing n branches, the ANN model can be established as shown in Figure 1.
Figure 1.
The ANN structure in a chilled water system.
In this paper, the error of the neural network model training is set to 10-5, the maximum training time is set to 1000, and the learning rate is set to 0.01. The tan-sigmoid function is used as the transfer function between the input layer and hidden layer, and the linear function is adopted as the transfer function between the hidden layer and output layer.
3.2. ANN Model Optimized by a Genetic Algorithm
In order to improve the robustness of the BP neural network, a genetic algorithm (GA) is used to optimize the initial weight threshold of the neural network. The individuals of the genetic algorithm are set to all the weights and thresholds of the BP neural network. In this paper, the population size is set to 100, the number of iterations is set to 500, the initial population is of random values, and the generation boundary is set to [−1, 1]. The genetic, crossover, and mutation operations are carried out from the initial population. Individual screening is performed according to the set fitness function. Individuals with a high fitness value, that is, those with a small network training error, are retained, and individuals with a low fitness value are eliminated. The screened individuals are taken as the population of the next generation, then the genetic and screening operations are repeated. In this way, the optimal individuals can be identified in a set number of iterations. The optimal individual is set to the initial weight and threshold that can produce the minimum neural network training error.
3.3. Optimal Control Strategy of a Chilled Water HVAC System
An optimal control strategy is proposed according to PVCC principles and the ANN model, i.e., the pump-valve combined control of an HVAC chilled water system using an artificial neural network model (PVCC-ANN). The optimal control process is shown in Figure 2, the steps of which are as follows:
Figure 2.
An optimal control process.
- (1)
- The initial computational pump frequency is set to 50 Hz.
- (2)
- The required volume flow rate of each user branch and the computational pump frequency are set as the input layer of the trained ANN model, to predict the computational valve opening of each user branch.
- (3)
- Judgment of iteration termination conditions, to determine whether the computational pump frequency reaches the lower limit or whether at least one valve of the user branches is fully open. If the judgment condition is true, the iteration will finish; if not, the computational pump frequency turns down by 0.01 Hz, and then step (2) is repeated.
- (4)
- The optimal valve opening of each user branch and the pump frequency of a chilled water system with minimum resistance can be obtained after the iteration is finished in step (3).
- (5)
- By setting the valve opening of each user branch and the pump frequency in the chilled water system to the optimal values obtained in step (4), optimal control of the chilled water system can be realized.
In the experimental tests for this paper, when the pump frequency was lowered to about 32 Hz, the pump vibrated violently. Similar phenomena also exist in practical engineering. Therefore, the lower limit pump frequency was set to 34 Hz in this paper.
4. Experimental Setup
In this paper, an experimental system is built to simulate a chilled water HVAC system, as shown in Figure 3. The experimental system has 12 branches, including 6 DN15 branches and 6 DN20 branches, respectively, simulating 12 air-conditioning users.
Figure 3.
The chilled water HVAC system.
A variable frequency pump is used to provide power for the simulated chilled water system. The rated head of the pump is 9 m, the rated volume flow rate is 3.5 m3/h, and the rated power is 0.37 kW. The total volume flow rate of the chilled water system is measured by a turbine volume flow meter, the measurement range of which is 0–15 m3/h.
A locking valve is used to simulate the resistance of the air-conditioning user. The locking valve can only be adjusted with a key, which can effectively prevent the switch action caused by unexpected operations in the experiment.
The pipes are transparent, in order to observe the water flow in the experimental chilled water system. Each user branch is installed with a regulating valve, which comprises a static balance valve to control the volume flow rate of each user branch by adjusting the corresponding regulating valve opening. As shown in Figure 4, the opening scale of the regulating valve is marked from 0 to 4, which indicates the different valve openings. The opening scale, 0, represents the point at which the valve is closed, and the volume flow rate of the user branch is 0. The opening scale, 4, means that the valve is fully open, and the corresponding resistance of the regulating valve is minimal.
Figure 4.
The regulating valve, created using a balance valve.
It can be seen in Figure 4 that there are two pressure-measuring holes on the regulating valve. The pressure difference of the regulating valve can be measured through the two measuring holes, using a pressure difference sensor. The volume flow rate of the user branch can be calculated using the pressure difference of the corresponding regulating valve, via Equation (1):
where Q is the volume flow rate of the user branch, L/h; Kv is the flow coefficient, which is related to the valve type and opening value; Δp is the pressure difference of the valve, Pa.
Two types of valves, DN15 and DN 20, are used in the experimental chilled water system in this paper. The corresponding flow coefficient, Kv, is shown in Table 1. Using these data, the flow coefficient, Kv, of the DN 15 and DN20 valves can be fitted as Equations (2) and (3), respectively. Therefore, the volume flow rate of the user branch can be calculated using Equations (1)–(3) by means of a measured pressure difference, Δp, and the opening value, x, of the corresponding regulating valve:
where x is the opening value of the valve.
Table 1.
The flow coefficient of the valves.
5. Results and Discussion
5.1. Performance of Neural Networks
In order to train and validate the ANN model, 1700 groups of experimental data, obtained by testing, were used as the dataset. In the experimental test, 1700 groups of valve openings of each user branch and pump frequency values were randomly set, and the corresponding volume flow rate of each user branch was obtained by testing them respectively. The ANN model was established using construction, as shown in Figure 1. The number of input nodes in the network was set to 13, which represents the volume flow rate of 12 user branches and the pump frequency. The number of neuron nodes in the hidden layer was set to 20. The number of output nodes was set to 12, which represents the valve opening values of 12 user branches.
In total, 1500 groups of experimental data from the dataset were used to train the ANN model. The other data were used to validate the trained ANN model. The training result for the ANN is shown in Figure 5. It can be seen from Figure 5 that the correlation coefficient of the trained neural network is 0.98, indicating that the neural network demonstrates good fitting conditions.
Figure 5.
Correlation coefficient of the trained neural network: (a) training set; (b) test set.
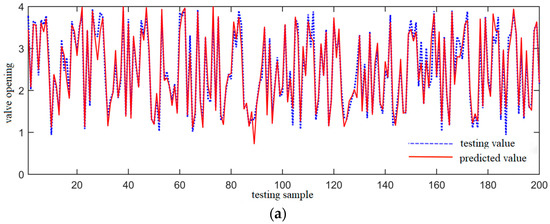
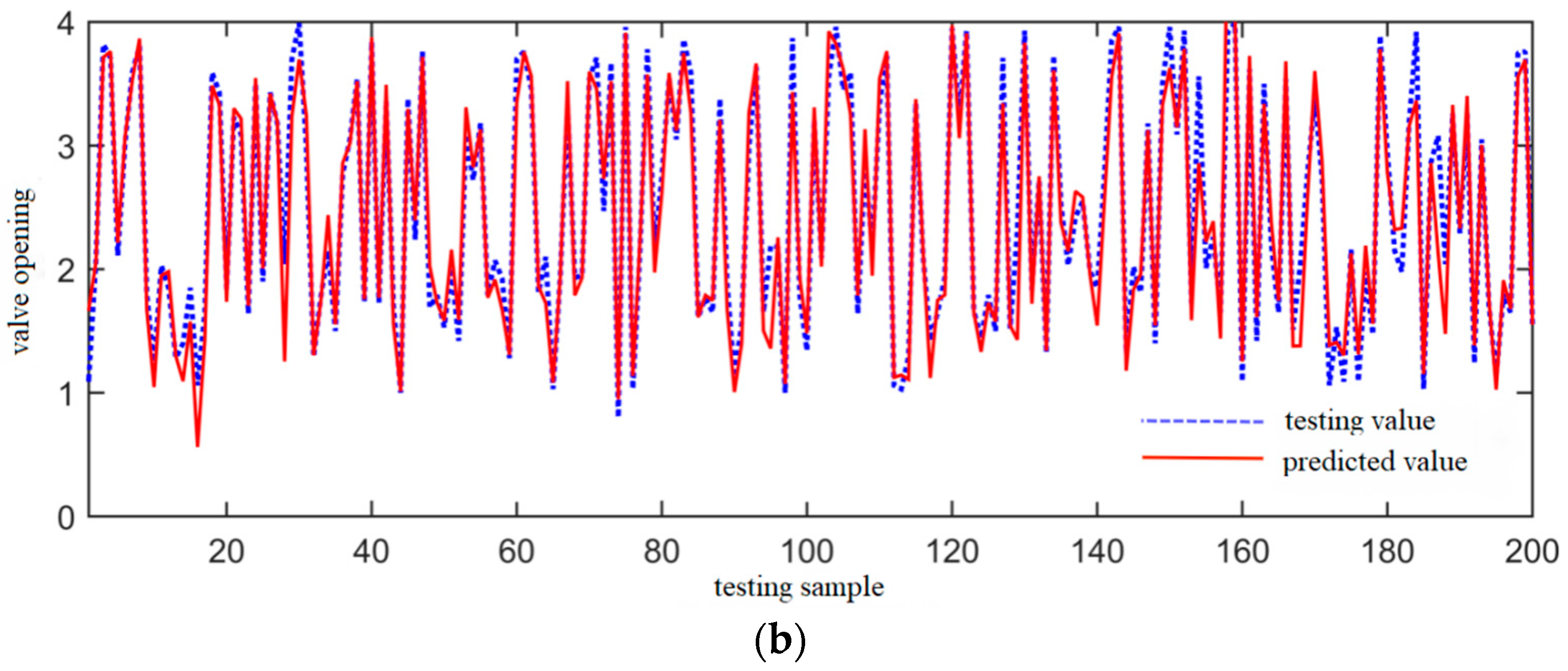
The prediction performance of the ANN model was analyzed by comparing the testing value with the predicted value of the ANN model. The first user branch and the seventh user branch were selected as examples to analyze the deviation between the testing value and the predicted value of the ANN, as shown in Figure 6. It should be noted that there is no unit for the valve opening. It can be seen from Figure 6 that the predicted value of the ANN fitted well with the testing value, and the mean absolute percentage error was about 8.11%. In order to verify the superiority of the neural network, combined with a genetic algorithm, it was compared with the unoptimized BP algorithm in Figure 7. The results showed that the optimized neural network algorithm improved the prediction accuracy by 5.52%, compared with the BP algorithm, which indicates that the trained ANN model could be used to predict the valve opening of each user branch from the volume flow rate of each user branch and pump frequency.

Figure 6.
The deviation between the testing value and the predicted value of the ANN: (a) user branch 1; (b) user branch 7.
Figure 7.
Comparison of the mean absolute percentage with an optimized neural network algorithm and a BP algorithm.
5.2. Optimization Results of the Chilled Water System Operation
A series of experiments were conducted to examine the performance of the optimal control strategy (PVCC-ANN) in Section 3.3. The 10 groups of the required volume flow rate of each user branch were set in experiments, respectively, as shown in Table 2. The corresponding computational operation optimization results were obtained using an optimal control strategy (PVCC-ANN), as shown in Table 3. It can be seen from Table 3 that at least one valve of the branches is fully open (condition 1 to condition 8), or the pump frequency is the lower limit of frequency 34 Hz (condition 9 and condition 10), in any operating volume flow rate condition in the experimental chilled water system. This means that the minimum resistance operation of a chilled water HVAC system can be obtained using the above optimal control strategy (PVCC-ANN) mentioned in Section 3.3.
Table 2.
The required volume flow rate settings.
Table 3.
The optimal valve opening values and pump frequency.
The above computationally optimized valve opening and pump frequency values were used in the experimental chilled water system to measure the operating volume flow rate of each user branch, respectively. The measured operating results were compared with the required volume flow rate setting, as shown in Table 4. It can be seen from Table 4 that the relative errors between the measured operating volume flow rate of each user branch and the required volume flow rate were tolerable. Most of the relative errors were ±5%. The maximum relative error is −13.1%, which is in branch 9 in group 9. This indicates that an optimal control strategy (PVCC-ANN) can be used to achieve a minimum resistance operation to meet the required volume flow rate in the experimental chilled water system reported in this paper.
Table 4.
The comparison between the measured operating volume flow rate and the required volume flow rate settings.
5.3. Energy Consumption Analysis
For this paper, the energy consumption of a chilled water system using an optimal control strategy (PVCC-ANN) was analyzed by comparing it with that using a VOA strategy. The pump frequency of the VOA strategy was constant, while that of the optimal control strategy (PVCC-ANN) was varied. According to the above 10 groups of volume flow rates in the experimental chilled water system, the comparison results are shown in Table 5. It can be seen from Table 5 that energy consumption using the optimal control strategy (PVCC-ANN) was lower than that using a VOA strategy in any operating condition in the experimental chilled water system. Based on energy consumption using a VOA strategy, the energy-saving rate using an optimal control strategy (PVCC-ANN) is from 14.3% to 58.6% under the above 10 operating conditions.
Table 5.
A comparison of the energy consumption between the PVCC-ANN and VOA strategies.
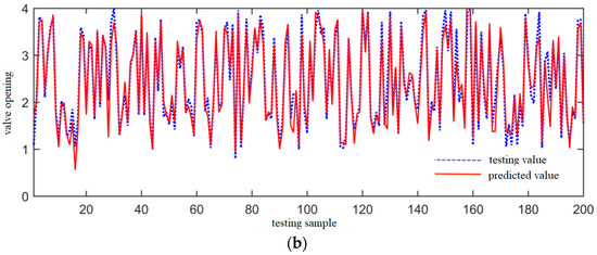
The valve openings of the user branches and pump frequency were analyzed to explore the energy-saving effect of an optimal control strategy (PVCC-ANN) in a chilled water HVAC system. Taking condition 3 and condition 10 as examples, comparisons of the valve openings are shown in Figure 8. Figure 8 demonstrates that all valve opening values in a chilled water HVAC system using an optimal control strategy (PVCC-ANN) are higher than those using VOA in any operating condition. This indicates that the resistance of the chilled water system using an optimal control strategy (PVCC-ANN) is lower than that using VOA in the same operating conditions, which means less energy consumption by the pump. Moreover, a comparison of pump frequency, as shown in Figure 9, also shows that the pump frequency in chilled water HVAC systems using PVCC-ANN is lower than that using VOA in any operating conditions.
Figure 8.
Comparisons of the valve openings: (a) condition 3; (b) condition 10.
Figure 9.
Comparison of pump frequency.
6. Conclusions
In this paper, pump-valve combined control using an ANN model is proposed to achieve minimum resistance operation in a chilled water HVAC system. A series of experiments were conducted to examine the performance of the PVCC-ANN. The main conclusions of the study are as follows:
- (1)
- The ANN model can be used to construct the relationship between the volume flow rate of each user branch, pump frequency, and valve opening of each user branch in a chilled water HVAC system. Comparing the predicted valve openings with the testing value, the mean absolute percentage error is about 8.11%. This indicates that the trained ANN model has good prediction performance.
- (2)
- Minimum resistance operation can be achieved using a PVCC-ANN strategy in the chilled water system, which means that at least one valve of the branches is fully open, or the pump frequency is at the lower limit of frequency. Moreover, a comparison between the measured results using the PVCC-ANN and setting the required volume flow rate shows that the relative errors are tolerable. Most of the relative errors are ±5% and the maximum relative error is −13.1%. This means that a PVCC-ANN strategy could be used to regulate the chilled water system to meet the required volume flow rate under the conditions of minimum resistance operation.
- (3)
- The energy consumption of a chilled water system using PVCC-ANN is analyzed by comparing it with that using a VOA strategy. The results show that the PVCC-ANN strategy has good energy-saving performance in a chilled water HVAC system, which is attributed to the minimum resistance operation. Based on the energy consumption using a VOA strategy, the energy-saving rate using a PVCC-ANN is from 14.3% to 58.6%, under the 10 operating conditions used in this paper.
There are also some limitations to this paper. When the scale of the water system is large and the number of pipe network branches is large, the application of a neural network to construct a nonlinear relationship between the valves, pumps, and flow will make the number of output nodes of the neural network too large, thereby increasing the training error values of the network. The prediction performance of the network is thereby reduced, which eventually leads to an increase in the adjustment error of the optimal control method. At this time, it can be considered possible to construct a multi-layer neural network or construct a hierarchical network to reduce the number of output nodes and improve the accuracy of neural network predictions.
Author Contributions
Methodology, Z.Y.; formal analysis, Z.Y.; investigation, B.G. and Z.Y.; data curation, Z.Y.; writing—original draft preparation, B.G.; writing—review and editing, Z.Y. and N.Y.; supervision, N.Y.; project administration, Z.Y.; funding acquisition, J.N. All authors have read and agreed to the published version of the manuscript.
Funding
This research was funded by Research and application of low carbon building evaluation technology in Sichuan Province, grant number HXKX2020/024 and funded by Research and demonstration of green zero-carbon building technology system based on carbon neutralization goal, grant number HXKX2021.
Data Availability Statement
Due to the nature of this research, participants of this study did not agree for their data to be shared publicly, so supporting data is not available.
Conflicts of Interest
The authors declare no conflict of interest.
References
- Lei, Y.; Zhan, S.; Ono, E.; Peng, Y.; Zhang, Z.; Hasama, T.; Chong, A. A practical deep reinforcement learning framework for multivariate occupant-centric control in buildings. Appl. Energy 2022, 324, 119742. [Google Scholar] [CrossRef]
- Wang, H.; Ding, Z.; Tang, R.; Chen, Y.; Fan, C.; Wang, J. A machine learning-based control strategy for improved performance of HVAC systems in providing large capacity of frequency regulation service. Appl. Energy 2022, 326, 119962. [Google Scholar] [CrossRef]
- Cholewa, T.; Siuta-Olcha, A.; Smolarz, A.; Muryjas, P.; Wolszczak, P.; Anasiewicz, R.; Balaras, C.A. A simple building energy model in form of an equivalent outdoor temperature. Energy Build. 2021, 236, 110766. [Google Scholar] [CrossRef]
- Turski, M. Eco-development aspect in modernization of industrial system. E3S Web Conf. 2018, 44, 181. [Google Scholar] [CrossRef]
- Ma, Z.; Wang, S. An optimal control strategy for complex building central chilled water systems for practical and real-time applications. Build Environ. 2009, 44, 1188–1198. [Google Scholar] [CrossRef]
- Shi, W.; Wang, J.; Lyu, Y.; Du, Z. Optimal control of chilled water systems based on collaboration of the equipment’s near-optimal performance maps. Sustain. Energy Technol. Assess. 2021, 46, 101236. [Google Scholar] [CrossRef]
- Hu, S.; Jiang, Y.; Yan, D. China Building Energy Consumption and Carbon Emission Research Report; Energy Consumption Statistics Special Committee of China Building Energy Conservation Association: Beijing, China, 2021. [Google Scholar]
- Center, B.P. Annual energy outlook 2020. Energy Inf. Adm. Wash. DC 2020, 12, 1672–1679. [Google Scholar]
- Commission, E. A renovation wave for Europe—Greening our buildings, creating jobs, improving lives. In Communication from the Commission to the European Parliament, the Council, the European Economic and Social Committee and the Committee of the Regions; European Commission Brussels: Brussels, Belgium, 2020. [Google Scholar]
- Vakiloroaya, V.; Samali, B.; Fakhar, A.; Pishghadm, K. A review of different strategies for HVAC energy saving. Energy Convers. Manag. 2014, 77, 738–754. [Google Scholar] [CrossRef]
- Petitjean, R. Total Hydronic Balancing, 3rd ed.; Leif Andersson CopyTech AB: Boras, Sweden, 2004. [Google Scholar]
- Hegberg, M.C. Control Valve Selection for Hydronic Systems. ASHRAE J. 2000, 42, 33–40. [Google Scholar]
- Ahlgren, R.C.E. Selection of hydronic balancing valves. ASHRAE Trans. 1998, 104, 1630–1635. [Google Scholar]
- Hegberg, R.A. Application of control valves and balancing valves in a variable-flow hydronic system. ASHRAE Trans. 1998, 104, 1615–1619. [Google Scholar]
- Rishel, J.B. Use of balance valves in chilled water systems. ASHRAE J. 1997, 39, 45–51. [Google Scholar]
- Rhee, K.N.; Shin, M.S.; Yeo, M.S. Development of an evaluation strategy of hydronic balancing valves for radiant floor heating systems. Build. Serv. Eng. Res. Technol. 2014, 36, 422–438. [Google Scholar] [CrossRef]
- Rhee, K.N.; Ryu, S.R.; Yeo, M.S. Simulation study on hydronic balancing to improve individual room control for radiant floor heating system. Build. Serv. Eng. Res. Technol. 2010, 31, 57–73. [Google Scholar] [CrossRef]
- Wijaya, T.K.; Sholahudin; Alhamid, M.I.; Saito, K.; Nasruddin, N. Dynamic optimization of chilled water pump operation to reduce HVAC energy consumption. Therm. Sci. Eng. Prog. 2022, 36, 101512. [Google Scholar] [CrossRef]
- Shehata, R.S.; Abdullah, H.A.; Areed, F.F.G. Variable structure surge control for constant speed centrifugal compressors. Control Eng. Pract. 2009, 17, 815–833. [Google Scholar] [CrossRef]
- Ziabari, M.T.; Jahed-Motlagh, M.R.; Salahshoor, K.; Ramezani, A.; Moarefianpur, A. Robust adaptive control of surge instability in constant speed centrifugal compressors using tube-MPC. Cogent Eng. 2017, 4, 1339–1435. [Google Scholar]
- Kirsner, W. Chilled water distribution problems. Heat. Pip. Air Cond. 1995, 67, 51–59. [Google Scholar]
- Kirsner, W. The demise of the primary-secondary pumping paradigm for chilled water plant design. Heat. Pip. Air Cond. 1996, 11, 73–78. [Google Scholar]
- Taylor, S.T. Primary-only VS. Primary-Secondary Variable Flow Systems. ASHRAE J. 2002, 2, 25. [Google Scholar]
- Bradley, S. Variable-Primary-Flow Systems. Heat. Pip. Air Cond. 2000, 4, 41–46. [Google Scholar]
- Guo, G.; Li, R. Energy Saving Analysis and Application of Secondary Pump in Air Conditioning Water System. Adv. Mater. Res. 2012, 516–517, 1235–1239. [Google Scholar] [CrossRef]
- Cai, B.; Zhu, W. Simulation of Frequency Conversion and Energy Saving of Circulating Water System. IOP Conf. Series: Mater. Sci. Eng. 2018, 452, 032135. [Google Scholar] [CrossRef]
- Liu, M. Variable water flow pumping for central chilled water systems. J. Sol. Energy Eng. Trans. ASME 2002, 124, 300–304. [Google Scholar] [CrossRef]
- Ma, Z.; Wang, S. Energy efficient control of variable speed pumps in complex building central air-conditioning systems. Energy Build. 2009, 41, 197–205. [Google Scholar] [CrossRef]
- Gao, D.; Wang, S.; Sun, Y. A fault-tolerant and energy efficient control strategy for primary–secondary chilled water systems in buildings. Energy Build. 2011, 43, 3646–3656. [Google Scholar] [CrossRef]
- Ng, B.C.; Darus, I.Z.M.; Jamaluddin, H.; Kamar, H.M. Application of adaptive neural predictive control for an automotive air conditioning system. Appl. Therm. Eng. 2014, 73, 1244–1254. [Google Scholar] [CrossRef]
- Chen, C.L.; Chang, Y.C.; Chan, T.S. Applying smart models for energy saving in optimal chiller loading. Energy Build. 2014, 68, 364–371. [Google Scholar] [CrossRef]
- Sohrabi, F.; Nazari-Heris, M.; Mohammadi-Ivatloo, B.; Asadi, S. Optimal chiller loading for saving energy by exchange market algorithm. Energy Build. 2018, 169, 245–253. [Google Scholar] [CrossRef]
- Wei, X.; Xu, G.; Kusiak, A. Modeling and optimization of a chiller plant. Energy 2014, 73, 898–907. [Google Scholar] [CrossRef]
- Nishiguchi, J.; Konda, T.; Dazai, R. Data-driven optimal control for building energy conservation. In Proceedings of the SICE Annual Conference, Taipei, Taiwan, 18–21 August 2010; pp. 116–120. [Google Scholar]
- Fan, B.; Jin, X.; Fang, X.; Du, Z. Optimal control strategies for multi-chiller system based on probability density distribution of cooling load ratio. Energy Build. 2011, 43, 2813–2821. [Google Scholar] [CrossRef]
- Rumelhart, D.E.; Hinton, G.E.; Williams, R.J. Learning Internal Representations by Error Propagation. In Readings in Cognitive Science; Collins, A., Smith, E.E., Kaufmann, M., Eds.; MIT Press: Cambridge, MA, USA, 1988; pp. 399–421. [Google Scholar]
Disclaimer/Publisher’s Note: The statements, opinions and data contained in all publications are solely those of the individual author(s) and contributor(s) and not of MDPI and/or the editor(s). MDPI and/or the editor(s) disclaim responsibility for any injury to people or property resulting from any ideas, methods, instructions or products referred to in the content. |
© 2023 by the authors. Licensee MDPI, Basel, Switzerland. This article is an open access article distributed under the terms and conditions of the Creative Commons Attribution (CC BY) license (https://creativecommons.org/licenses/by/4.0/).