Determination of Pyrolysis and Kinetics Characteristics of Chicken Manure Using Thermogravimetric Analysis Coupled with Particle Swarm Optimization
Abstract
1. Introduction
2. Experimental Section
2.1. Feedstock Preparation and Characterization
2.2. Thermogravimetric Analysis
2.3. Analysis of the Kinetic Parameters
2.3.1. Flynn–Wall–Ozawa Method (FWO)
2.3.2. Kissinger–Akahira–Sunose Method (KAS)
2.3.3. Friedman Method
2.3.4. Kissinger Method
2.3.5. Kinetic Reactions Scheme
2.4. Global Optimization Technique—Particle Swarm Optimization
2.5. Thermodynamic Parameters
3. Results and Discussion
3.1. Sample Characterization
3.2. Thermogravimetric Analysis (TGA)
3.3. Kinetic Analysis
3.3.1. Activation Energy
3.3.2. Reaction Model and Pre-Exponential Factor
3.4. Thermodynamic Analysis
3.4.1. Pre-Exponential Value
3.4.2. Enthalpy Change
3.4.3. Gibbs Free Energy
3.4.4. Entropy Change
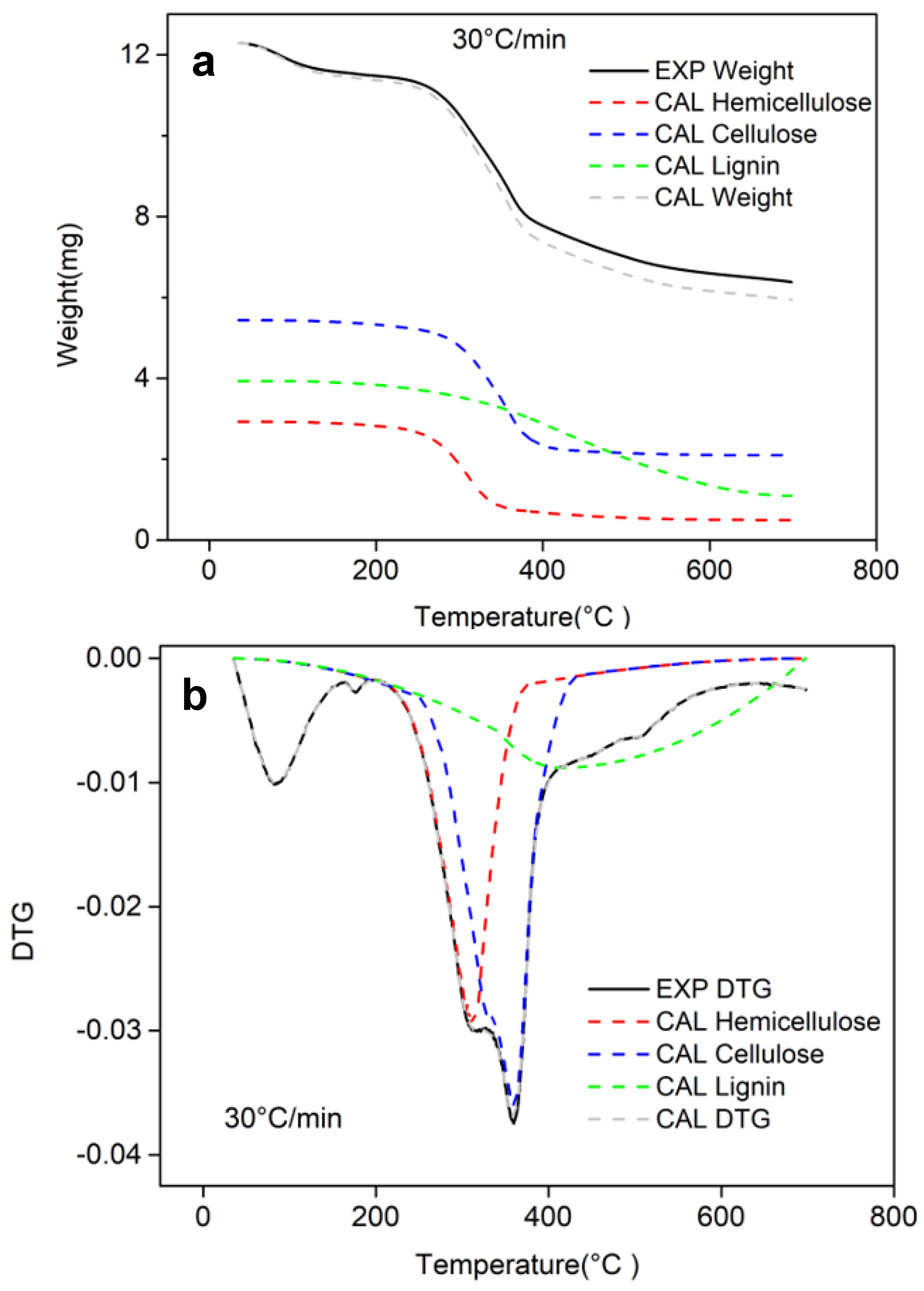
3.5. Estimation of Model Parameters by PSO Algorithm
3.5.1. Parameters Optimization
3.5.2. Kinetic Parameters Optimization
4. Conclusions
Supplementary Materials
Author Contributions
Funding
Data Availability Statement
Conflicts of Interest
References
- UN Climate Change. What Is the Paris Agreement? 2021. Available online: https://unfccc.int/process-and-meetings/the-paris-agreement/the-paris-agreement (accessed on 30 November 2022).
- UN Secretary-General. Carbon Neutrality by 2050: The World’s Most Urgent Mission. 2020. Available online: https://www.un.org/sg/en/content/sg/articles/2020-12-11/carbon-neutrality-2050-the-world%E2%80%99s-most-urgent-mission (accessed on 1 December 2022).
- Maxwell, A.-T.; Asiedu, N.; David, D.-A.; Karam, A.; Amaniampong, P.N. Thermochemical conversion and characterization of cocoa pod husks a potential agricultural waste from Ghana. Ind. Crops Prod. 2018, 119, 304–312. [Google Scholar]
- Fodah, A.E.M.; Ghosal, M.K.; Behera, D. Microwave-assisted pyrolysis of agricultural residues: Current scenario, challenges, and future direction. Int. J. Environ. Sci. Technol. 2021, 19, 2195–2220. [Google Scholar] [CrossRef]
- Li, K.; Zhang, L.; Zhu, L.; Zhu, X. Comparative study on pyrolysis of lignocellulosic and algal biomass using pyrolysis-gas chromatography/mass spectrometry. Bioresour. Technol. 2017, 234, 48–52. [Google Scholar] [CrossRef]
- WATT Poultry. Poultry Dominates Meats in COVID World. Available online: https://www.wattagnet.com/articles/44017-poultry-dominates-meats-in-covid-world?v=preview (accessed on 29 November 2021).
- FAO. Food and Agriculture Data. 2014. Available online: https://www.fao.org/faostat/zh/#home (accessed on 1 December 2022).
- Bai, Z.; Li, X.; Lu, J.; Wang, X.; Velthof, G.L.; Chadwick, D.; Jiafa, L.; Ledgard, S.; Wu, Z.; Jin, S.; et al. Livestock housing and manure storage need to be improved in China. Environ. Sci. Technol 2017, 51, 8212–8214. [Google Scholar] [CrossRef]
- Li, S.; Zou, D.; Li, L.; Wu, L.; Liu, F.; Zeng, X.; Wang, H.; Zhu, Y.; Xiao, Z. Evolution of heavy metals during thermal treatment of manure: A critical review and outlooks. Chemosphere 2020, 247, 125962. [Google Scholar] [CrossRef]
- Qian, X.; Wang, Z.; Shen, G.; Chen, X.; Tang, Z.; Guo, C.; Gu, H.; Fu, K. Heavy metals accumulation in soil after 4 years of continuous land application of swine manure: A field-scale monitoring and modeling estimation. Chemosphere 2018, 210, 1029–1034. [Google Scholar] [CrossRef]
- Rajat, N.; Agathe, A.; Bryan, K.M.; Paul, W.; Stephen, N.; Vincent, O.F.; Lauren, R.; Declan, B.; Owen, F.; Karl, R.; et al. Anaerobic digestion of agricultural manure and biomass—Critical indicators of risk and knowledge gaps. Sci. Total Environ. 2019, 690, 460–479. [Google Scholar]
- Madhuri, G.; Prabhakar, P.; Anshuman, K.; Dharmesh, S.; Hemant, P. Study of microbial community plasticity for anaerobic digestion of vegetable waste in Anaerobic Baffled Reactor. Renew. Energy 2017, 101, 59–66. [Google Scholar]
- Verma, M.; Godbout, S.; Brar, S.K.; Solomatnikova, O.; Lemay, S.P. Biofuels Production from Biomass by Thermochemical Conversion Technologies. Int. J. Chem. Eng. 2012, 2012, 542426. [Google Scholar] [CrossRef]
- Mong, G.R.; Chong, C.T.; Ng, J.H.; Chong, W.W.F.; Lam, S.S.; Ong, H.C.; Ani, F.N. Microwave pyrolysis for valorisation of horse manure biowaste. Energy Convers. Manag. 2020, 220, 113074. [Google Scholar] [CrossRef]
- Lee, J.; Choi, D.; Ok, Y.S.; Lee, S.-R.; Kwon, E.E. Enhancement of energy recovery from chicken manure by pyrolysis in carbon dioxide. J. Clean. Prod. 2017, 164, 146–152. [Google Scholar] [CrossRef]
- Prabir, B. Biomass Gasification, Pyrolysis and Torrefaction, 3rd ed.; Elsevier: Amsterdam, The Netherlands, 2018. [Google Scholar]
- Mei, B.; Ma, S.; Zhang, Y.; Zhang, X.; Li, W.; Li, Y. Exploration on laminar flame propagation of ammonia and syngas mixtures up to 10 atm. Combust. Flame 2020, 220, 368–377. [Google Scholar] [CrossRef]
- Kathlene, J.A.; Kalpana, C.M.; Ajay, K.D. Bio-oil valorization: A review. Renew. Sustain. Energy Rev. 2013, 23, 91–106. [Google Scholar]
- Ai, J.; Lu, C.; Frans, W.J.B.; Yin, W.; Bjarne, W.S.; Hans, C.B.H. Biochar catalyzed dechlorination—Which biochar properties matter? J. Hazard. Mater. 2021, 406, 124724. [Google Scholar] [CrossRef]
- Zhang, Y.; Cui, Y.; Liu, S. Fast microwave-assisted pyrolysis of wastes for biofuels production—A review. Bioresour. Technol. 2020, 297, 122480. [Google Scholar] [CrossRef]
- Wang, T.; Liu, H.; Duan, C.; Xu, R.; Zhang, Z. The Eco-Friendly Biochar and Valuable Bio-Oil from Caragana korshinskii: Pyrolysis Preparation, Characterization, and Adsorption Applications. Materials 2020, 13, 3391. [Google Scholar] [CrossRef]
- Xu, T.; Xu, F.; Hu, Z.; Chen, Z.; Xiao, B. Non-isothermal kinetics of biomass-pyrolysis-derived-tar (BPDT) thermal decomposition via thermogravimetric analysis. Energy Convers. Manag. 2017, 138, 452–460. [Google Scholar] [CrossRef]
- Dhyani, V.; Kumar, A.M.; Wang, Q.; Kumar, J.; Ren, X.; Zhao, J.; Chen, H.; Wang, M.; Bhaskar, T.; Zhang, Z. Effect of composting on the thermal decomposition behavior and kinetic parameters of pig manure-derived solid waste. Bioresour. Technol. 2018, 252, 59–65. [Google Scholar] [CrossRef]
- Huang, X.; Cao, J.; Zhao, X.; Wang, J.; Fan, X.; Zhao, Y.; Wei, X. Pyrolysis kinetics of soybean straw using thermogravimetric analysis. Fuel 2016, 169, 93–98. [Google Scholar] [CrossRef]
- Mishra, R.K.; Mohanty, K. Pyrolysis kinetics and thermal behavior of waste sawdust biomass using thermogravimetric analysis. Bioresour. Technol. 2018, 251, 63–74. [Google Scholar] [CrossRef]
- Slopiecka, K.; Bartocci, P.; Fantozzi, F. Thermogravimetric analysis and kinetic study of poplar wood pyrolysis. Appl. Energy 2012, 97, 491–497. [Google Scholar] [CrossRef]
- Cao, H.; Xin, Y.; Wang, D.; Yuan, Q. Pyrolysis characteristics of cattle manures using a discrete distributed activation energy model. Bioresour. Technol. 2014, 172, 219–225. [Google Scholar] [CrossRef]
- Chong, C.T.; Mong, G.R.; Ng, J.H.; Chong, W.W.F.; Ani, F.N.; Lam, S.S.; Ong, H.C. Pyrolysis characteristics and kinetic studies of horse manure using thermogravimetric analysis. Energy Convers. Manag. 2019, 180, 1260–1267. [Google Scholar] [CrossRef]
- Fernandez-Lopez, M.; Pedrosa-Castro, G.J.; Valverde, J.L.; Sanchez-Silva, L. Kinetic analysis of manure pyrolysis and combustion processes. Waste Manag. 2016, 58, 230–240. [Google Scholar] [CrossRef]
- Ding, Y.; Zhang, J.; He, Q.; Huang, B.; Mao, S. The application and validity of various reaction kinetic models on woody biomass pyrolysis. Energy 2019, 179, 784–791. [Google Scholar] [CrossRef]
- He, S.; Cao, C.; Wang, J.; Yang, J.; Cheng, Z.; Pan, Y.; Chen, G. Pyrolysis study on cattle manure: From conventional analytical method to online study of pyrolysis photoionization time-of-flight mass spectrometry. J. Anal. Appl. Pyrolysis 2020, 151, 104916. [Google Scholar] [CrossRef]
- Li, K.-Y.; Huang, X.; Fleischmann, C.; Ji, J. Pyrolysis of Medium-Density Fiberboard: Optimized Search for Kinetics Scheme and Parameters via a Genetic Algorithm Driven by Kissinger’s Method. Energy Fuels 2014, 28, 6130–6139. [Google Scholar] [CrossRef]
- Bianchi, O.; Oliveira, R.V.B.; Fiorio, R.; Martins, J.D.N.; Zattera, A.J.; Canto, L.B. Assessment of Avrami, Ozawa and Avrami–Ozawa equations for determination of EVA crosslinking kinetics from DSC measurements. Polym. Test. 2008, 27, 722–729. [Google Scholar] [CrossRef]
- Clemente-Castro, S.; Palma, A.; Ruiz-Montoya, M.; Giráldez, I.; Díaz, M.J. Pyrolysis kinetic, thermodynamic and product analysis of different leguminous biomasses by Kissinger-Akahira-Sunose and pyrolysis-gas chromatography-mass spectrometry. J. Anal. Appl. Pyrolysis 2022, 162, 105457. [Google Scholar] [CrossRef]
- Venkatesh, M.; Ravi, P.; Tewari, S.P. Isoconversional Kinetic Analysis of Decomposition of Nitroimidazoles: Friedman method vs. Flynn–Wall–Ozawa Method. J. Phys. Chem. A Mol. Spectrosc. Kinet. Environ. Gen. Theory 2013, 117, 10162–10169. [Google Scholar] [CrossRef]
- Vyazovkin, S. Kissinger Method in Kinetics of Materials: Things to Beware and Be Aware of. Molecules 2020, 25, 2813. [Google Scholar] [CrossRef]
- Kashif, R.; Cai, M.; Xiao, X.; Zheng, L.; Wang, H.; Abdul, A.S.; Zhou, Y.; Li, W.; Yu, Z.; Zhang, J. Cellulose decomposition and larval biomass production from the co-digestion of dairy manure and chicken manure by mini-livestock (Hermetia illucens L.). J. Environ. Manag. 2017, 196, 458–465. [Google Scholar]
- Mohammed, E.A. Performance assessment of foraging algorithms vs. evolutionary algorithms. Inf. Sci. 2012, 182, 243–263. [Google Scholar]
- Li, X.; Lu, Q.; Dong, Y.; Tao, D. SCE: A Manifold Regularized Set-Covering Method for Data Partitioning. IEEE Trans. Neural Netw. Learn. Syst. 2018, 29, 1760–1773. [Google Scholar] [CrossRef]
- Majid, M.; Chin, B.L.F.; Jawad, Z.A.; Chai, Y.; Lam, M.K.; Yusup, S.; Cheah, K.W. Particle swarm optimization and global sensitivity analysis for catalytic co-pyrolysis of Chlorella vulgaris and plastic waste mixtures. Bioresour. Technol. 2021, 329, 124874. [Google Scholar] [CrossRef]
- Bui, H.; Tran, K.; Chen, W. Pyrolysis of microalgae residues—A kinetic study. Bioresour. Technol. 2016, 199, 362–366. [Google Scholar] [CrossRef]
- Kim, Y.S.; Kim, Y.S.; Kim, S.H. Investigation of Thermodynamic Parameters in the Thermal Decomposition of Plastic Waste-Waste Lube Oil Compounds. Environ. Sci. Technol. 2010, 44, 5313–5317. [Google Scholar] [CrossRef] [PubMed]
- Chen, W.; Lin, B.; Huang, M.; Chang, J. Thermochemical conversion of microalgal biomass into biofuels: A review. Bioresour. Technol. 2015, 184, 314–327. [Google Scholar] [CrossRef]
- Luqman, R.; Wang, Q.; Yang, Q.; Lia, X.; Yuan, W. Potential of industrial composting and anaerobic digestion for the removal of antibiotics, antibiotic resistance genes and heavy metals from chicken manure. Sci. Total Environ. 2020, 718, 137414. [Google Scholar]
- Das, K.C.; Garcia-perez, M.; Bibens, B.; Melear, N.P.; Taylor & Francis Group. Slow pyrolysis of poultry litter and pine woody biomass: Impact of chars and bio-oils on microbial growth. J. Environ. Sci. Health 2008, 43, 714–724. [Google Scholar] [CrossRef] [PubMed]
- Osama, M.S.; Ryoichi, S.A. Co-Pyrolysis of Chicken and Cow Manure. J. Energy Resour. Technol 2021, 143, 011301. [Google Scholar]
- Juan, E.; Osama, M.S.; Ryoichi, S.A. Co-Pyrolysis of Rice Husk and Chicken Manure. J. Energy Resour. Technol 2021, 142, 022101. [Google Scholar]
- Barneto, A.G.; Carmona, J.A.; Alfonso, J.E.M.; Serrano, R.S. Simulation of the thermogravimetry analysis of three non-wood pulps. Bioresour. Technol. 2010, 101, 3220–3229. [Google Scholar] [CrossRef]
- Cai, J.; Xu, D.; Dong, Z.; Yu, X.; Yang, Y.; Banks, S.W.; Bridgwater, A.V. Processing thermogravimetric analysis data for isoconversional kinetic analysis of lignocellulosic biomass pyrolysis: Case study of corn stalk. Renew. Sustain. Energy Rev. 2018, 82, 2705–2715. [Google Scholar] [CrossRef]
- Buyukada, M. Data-driven nonlinear modeling studies on removal of Acid Yellow 59 using Si-doped multi-walled carbon nanotubes. Int. J. Environ. Sci. Technol. 2017, 14, 2215–2228. [Google Scholar] [CrossRef]
- Vyazovkin, S.; Wight, C.A. Model-free and model-fitting approaches to kinetic analysis of isothermal and nonisothermal data. Thermochim. Acta 1999, 340, 53–68. [Google Scholar] [CrossRef]
- Popescu, C. Integral method to analyze the kinetics of heterogeneous reactions under non-isothermal conditions A variant on the Ozawa-Flynn-Wall method. Thermochim. Acta 1996, 285, 309–323. [Google Scholar] [CrossRef]
- Ammar, K.; Douglas, R.F. Solid-State Kinetic Models: Basics and Mathematical Fundamentals. J. Phys. Chem. B 2006, 110, 17315–17328. [Google Scholar]
- Xu, L.; Jiang, Y.; Wang, L. Thermal decomposition of rape straw: Pyrolysis modeling and kinetic study via particle swarm optimization. Energy Convers. Manag. 2017, 146, 124–133. [Google Scholar] [CrossRef]
- Patrick, J.B. The mathematical origins of the kinetic compensation effect: 2. the effect of systematic errors. Phys. Chem. Chem. Phys. 2012, 14, 327–336. [Google Scholar]
- He, Y.; Chang, C.; Li, P.; Han, X.; Li, H.; Fang, S.; Chen, J.; Ma, X. Thermal decomposition and kinetics of coal and fermented cornstalk using thermogravimetric analysis. Bioresour. Technol. 2018, 259, 294–303. [Google Scholar] [CrossRef] [PubMed]
- Ahmad Muhammad, S.; Mehmood Muhammad, A.; Taqvi, S.T.H.; Elkamel, A.; Liu, C.G.; Xu, J.R.; Rahimuddin, S.A.; Gull, M. Pyrolysis, kinetics analysis, thermodynamics parameters and reaction mechanism of Typha latifolia to evaluate its bioenergy potential. Bioresour. Technol. 2017, 245, 491–501. [Google Scholar] [CrossRef]
- Vyazovkin, S.; Burnham, A.K.; Criado, J.M.; Pérez-Maqueda, L.A.; Popescu, C.; Sbirrazzuoli, N. ICTAC Kinetics Committee recommendations for performing kinetic computations on thermal analysis data. Thermochim. Acta 2011, 520, 1–19. [Google Scholar] [CrossRef]
- Yang, H.; Chen, H.; Zheng, C.; Yan, R.; Lee, D.H. Characteristics of hemicellulose, cellulose and lignin pyrolysis. Fuel 2007, 86, 1781–1788. [Google Scholar] [CrossRef]
- Becidan, M.; Hustad, J.E.; Skreiberg, Ø.; Várhegyi, G. Thermal decomposition of biomass wastes. A kinetic study. Ind. Eng. Chem. Res. 2007, 46, 2428–2437. [Google Scholar] [CrossRef]
- Munir, S.; Daood, S.S.; Nimmo, W.; Cunliffe, A.M.; Gibbs, B.M. Thermal analysis and devolatilization kinetics of cotton stalk, sugar cane bagasse and shea meal under nitrogen and air atmospheres. Bioresour. Technol. 2009, 100, 1413–1418. [Google Scholar] [CrossRef]
- De Jong, W.; Di Nola, G.; Venneker BC, H.; Spliethoff, H.; Wojtowicz, M.A. TG-FTIR pyrolysis of coal and secondary biomass fuels: Determination of pyrolysis kinetic parameters for main species and NOx precursors. Fuel 2007, 86, 2367–2376. [Google Scholar] [CrossRef]
- Font, R.; Conesa, J.A.; Moltó, J.; Muñoz, M. Kinetics of pyrolysis and combustion of pine needles and cones. J. Anal. Appl. Pyrolysis 2009, 85, 276–286. [Google Scholar] [CrossRef]









| Thermodynamic Parameters | Equation |
|---|---|
| Pre-exponential factor, A | |
| Changes of enthalpy, ΔH | |
| Free Gibbs energy, ΔG | |
| Entropy, ΔS |
| Ultimate Analysis (wt%) | |
| Carbon | 31.2 |
| Hydrogen | 5.0 |
| Nitrogen | 0.9 |
| Oxygen | 34.4 |
| Sulphur | 0.7 |
| Proximate Analysis (wt%) | |
| Moisture | 4.1 |
| Volatile | 48.1 |
| Fixed Carbon a | 19.1 |
| Ash | 28.8 |
| Trace Elements | mg/kg |
|---|---|
| K | 24,164.2 |
| Ca | 21,097.9 |
| Mg | 6268.1 |
| Na | 5944.5 |
| P | 3286.5 |
| Al | 991.0 |
| Fe | 586.0 |
| Zn | 240.9 |
| Si | 48.1 |
| Cu | 41.3 |
| Method Conversion | FWO | KAS | Friedman | |||
|---|---|---|---|---|---|---|
| Eα (kJ/mol) | R2 | Eα (kJ/mol) | R2 | Eα (kJ/mol) | R2 | |
| 0.2 | 197.89 | 0.89 | 194.99 | 0.89 | 203.40 | 0.94 |
| 0.25 | 195.48 | 0.95 | 192.76 | 0.94 | 209.99 | 0.96 |
| 0.3 | 197.18 | 0.96 | 195.89 | 0.96 | 217.04 | 0.96 |
| 0.35 | 198.56 | 0.96 | 202.86 | 0.96 | 223.72 | 0.96 |
| 0.4 | 205.58 | 0.96 | 208.52 | 0.96 | 230.12 | 0.96 |
| 0.45 | 211.28 | 0.96 | 204.61 | 0.96 | 228.45 | 0.96 |
| 0.5 | 207.28 | 0.97 | 194.50 | 0.97 | 215.62 | 0.98 |
| 0.55 | 203.47 | 0.98 | 195.89 | 0.98 | 205.79 | 0.99 |
| 0.6 | 198.31 | 0.99 | 202.86 | 0.98 | 207.44 | 0.99 |
| 0.65 | 203.03 | 0.98 | 208.52 | 0.98 | 247.24 | 0.96 |
| 0.7 | 249.35 | 0.91 | 204.61 | 0.90 | 362.39 | 0.88 |
| Mean | 206.13 | 0.96 | 200.55 | 0.95 | 231.93 | 0.96 |
| Kissinger | ||||
|---|---|---|---|---|
| A (s−1) | Eα (kJ/mol) | ΔH (kJ/mol) | ΔG (kJ/mol) | ΔS (J/mol) |
| 9.52 × 1013 | 167.51 | 162.52 | 157.01 | 91.77 |
| Parameters | Chicken Manure |
|---|---|
| Water content (%) | 77.18 ± 0.01 |
| Dry mass (%) | 22.82 ± 0.01 |
| Cellulose (% dry mass) | 14.49 ± 0.60 |
| Hemicellulose (% dry mass) | 21.66 ± 0.22 |
| Lignin (% dry mass) | 7.83 ± 0.12 |
| TOC (% dry mass) | 40.19 ± 0.90 |
| TN (% dry mass) | 3.54 ± 0.14 |
| TP (% dry mass) | 2.28 ± 0.08 |
| Component | Parameters | Initial Values | Search Range | Optimized Values |
|---|---|---|---|---|
| Hemicellulose | Ea | 118 | (60, 180) | 118.98 |
| lnA | 26.07 | (10, 40) | 26.19 | |
| δ(%) | 23 | (10, 35) | 31.38 | |
| n | 1 | (0, 3) | 2.21 | |
| W(%) | 20 | (10, 30) | 23.8 | |
| Cellulose | Ea | 167 | (80, 250) | 227.8 |
| lnA | 27.67 | (10, 45) | 26.98 | |
| δ(%) | 6 | (3, 9) | 7.1 | |
| n | 1 | (0, 3) | 1.94 | |
| W(%) | 50 | (25, 75) | 44.2 | |
| Lignin | Ea | 126 | (60, 180) | 134.26 |
| lnA | 15.34 | (5, 25) | 15.75 | |
| δ(%) | 46 | (20, 70) | 37.2 | |
| n | 1 | (0, 3) | 0 | |
| W(%) | 30 | (15, 45) | 32 |
Disclaimer/Publisher’s Note: The statements, opinions and data contained in all publications are solely those of the individual author(s) and contributor(s) and not of MDPI and/or the editor(s). MDPI and/or the editor(s) disclaim responsibility for any injury to people or property resulting from any ideas, methods, instructions or products referred to in the content. |
© 2023 by the authors. Licensee MDPI, Basel, Switzerland. This article is an open access article distributed under the terms and conditions of the Creative Commons Attribution (CC BY) license (https://creativecommons.org/licenses/by/4.0/).
Share and Cite
Gu, J.; Chong, C.T.; Mong, G.R.; Ng, J.-H.; Chong, W.W.F. Determination of Pyrolysis and Kinetics Characteristics of Chicken Manure Using Thermogravimetric Analysis Coupled with Particle Swarm Optimization. Energies 2023, 16, 1919. https://doi.org/10.3390/en16041919
Gu J, Chong CT, Mong GR, Ng J-H, Chong WWF. Determination of Pyrolysis and Kinetics Characteristics of Chicken Manure Using Thermogravimetric Analysis Coupled with Particle Swarm Optimization. Energies. 2023; 16(4):1919. https://doi.org/10.3390/en16041919
Chicago/Turabian StyleGu, Jie, Cheng Tung Chong, Guo Ren Mong, Jo-Han Ng, and William Woei Fong Chong. 2023. "Determination of Pyrolysis and Kinetics Characteristics of Chicken Manure Using Thermogravimetric Analysis Coupled with Particle Swarm Optimization" Energies 16, no. 4: 1919. https://doi.org/10.3390/en16041919
APA StyleGu, J., Chong, C. T., Mong, G. R., Ng, J.-H., & Chong, W. W. F. (2023). Determination of Pyrolysis and Kinetics Characteristics of Chicken Manure Using Thermogravimetric Analysis Coupled with Particle Swarm Optimization. Energies, 16(4), 1919. https://doi.org/10.3390/en16041919

