Multi-Timescale Optimal Dispatching Strategy for Coordinated Source-Grid-Load-Storage Interaction in Active Distribution Networks Based on Second-Order Cone Planning
Abstract
1. Introduction
2. Renewable Energy and Load Forecast
3. Scheduling Method of Source Network Load and Storage Coordination
3.1. Multi-Time Scale Scheduling Mode
3.2. Scheduling Objective Function before the Day
3.3. Intraday Scheduling Objective Function
3.4. Constraints
3.4.1. Source Side Flexibility
3.4.2. Network Side Flexibility
3.4.3. Load Side Flexibility
3.4.4. Storage Side Flexibility
3.4.5. Distribution Grid Side Constraints
3.5. Linearization Strategy
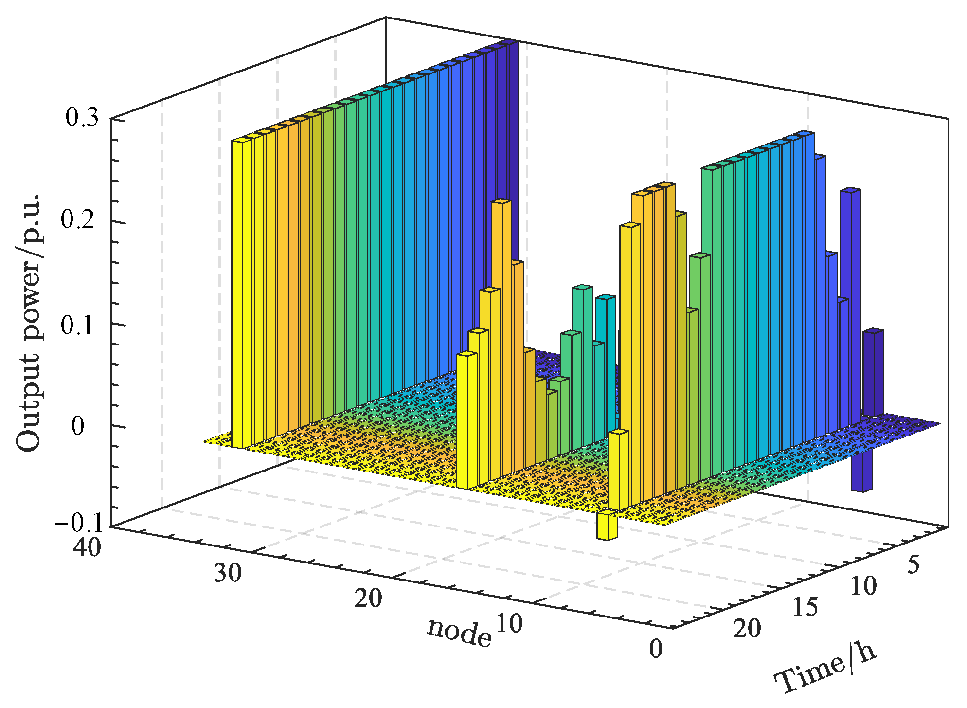
4. Example Validation
Analysis of Simulation Results
5. Conclusions
Author Contributions
Funding
Data Availability Statement
Conflicts of Interest
References
- Javaid, N.; Hafeez, G.; Iqbal, S.; Alrajeh, N.; Alabed, M.S.; Guizani, M. Energy efficient integration of renewable energy sources in the smart grid for demand side management. IEEE Access 2018, 6, 77077–77096. [Google Scholar] [CrossRef]
- AHadi, A.; Silva, C.A.S.; Hossain, E.; Challoo, R. Algorithm for demand response to maximize the penetration of renewable energy. IEEE Access 2020, 8, 55279–55288. [Google Scholar]
- Guo, Y.; Wu, Q.; Gao, H.; Chen, X.; Østergaard, J.; Xin, H. MPC-based coordinated voltage regulation for distribution networks with distributed generation and energy storage system. IEEE Trans. Sustain. Energy 2019, 10, 1731–1739. [Google Scholar] [CrossRef]
- Joo, J.-Y.; Raghavan, S.; Sun, Z. Integration of sustainable manufacturing systems into smart grids with high penetration of renewable energy resources. In Proceedings of the 2016 IEEE Green Technologies Conference (GreenTech), Kansas City, MO, USA, 6–8 April 2016; pp. 12–17. [Google Scholar]
- Dorostkar-Ghamsari, M.R.; Fotuhi-Firuzabad, M.; Lehtonen, M.; Safdarian, A. Value of distribution network reconfiguration in presence of renewable energy resources. IEEE Trans. Power Syst. 2016, 31, 1879–1888. [Google Scholar] [CrossRef]
- Gao, P.; Chen, H.; Zheng, X.; Wu, B. Framework planning of active distribution network considering active management. J. Eng. 2017, 2017, 2093–2097. [Google Scholar] [CrossRef]
- Zhang, C.; Lin, Z.; Wen, F.; Ledwich, G.; Xue, Y. Two-stage power network reconfiguration strategy considering node importance and restored generation capacity. IET Generat. Transmiss. Distrib. 2014, 8, 91–103. [Google Scholar] [CrossRef]
- Petrichenko, L.; Varfolomejeva, R.; Gavrilovs, A.; Sauhats, A.; Petricenko, R. Evaluation of battery energy storage systems in distribution grid. In Proceedings of the 2018 IEEE International Conference on Environment and Electrical Engineering and 2018 IEEE Industrial and Commercial Power Systems Europe (EEEIC/I&CPS Europe), Palermo, Italy, 12–15 June 2018; pp. 1–6. [Google Scholar]
- Gao, H.; Wang, L.; Liu, J.; Wei, Z. Integrated Day-Ahead Scheduling Considering Active Management in Future Smart Distribution System. IEEE Trans. Power Syst. 2018, 33, 6049–6061. [Google Scholar] [CrossRef]
- Atteya, I.I.; Ashour, H.; Fahmi, N.; Strickland, D. Radial distribution network reconfiguration for power losses reduction using a modified particle swarm optimization. CIRED-Open Access Proc. J. 2017, 2017, 2505–2508. [Google Scholar] [CrossRef]
- Baharvandi, A.; Aghaei, J.; Nikoobakht, A.; Niknam, T.; Vahidinasab, V.; Giaouris, D.; Taylor, P. Linearized Hybrid Stochastic/Robust Scheduling of Active Distribution Networks Encompassing PVs. IEEE Trans. Smart Grid 2020, 11, 357–367. [Google Scholar] [CrossRef]
- Zhang, Y.; Ji, Y.; Wu, M.; Ding, B.; Yu, H.; Kou, L. Optimal dispatching of regional integrated energy system based on SMPC. In Proceedings of the 2020 IEEE 4th Conference on Energy Internet and Energy System Integration (EI2), Wuhan, China, 30 October–1 November 2020; pp. 4092–4096. [Google Scholar]
- Chen, Q.; Zhao, X.; Gan, D. Active-reactive scheduling of active distribution system considering interactive load and battery storage. Protect. Control Mod. Power Syst. 2017, 2, 320–330. [Google Scholar] [CrossRef]
- Gao, H.; Liu, J.; Wang, L. Robust coordinated optimization of active and reactive power in active distribution systems. IEEE Trans. Smart Grid 2018, 9, 4436–4447. [Google Scholar] [CrossRef]
- Li, X.; Han, X.; Yang, M. Day-Ahead Optimal Dispatch Strategy for Active Distribution Network Based on Improved Deep Reinforcement Learning. IEEE Access 2022, 10, 9357–9370. [Google Scholar] [CrossRef]
- Han, A.; Zhou, S.; Jian, X.; Li, Z. Safe and Economic Dispatching Model of Distribution Network Based on Cloud Particle Swarm Optimization Algorithm. In Proceedings of the 2022 7th International Conference on Intelligent Computing and Signal Processing (ICSP), Xi’an, China, 15–17 April 2022; pp. 900–903. [Google Scholar]
- Li, Y.; Fan, X.; Cai, Z.; Yu, B. Optimal active power dispatching of microgrid and distribution network based on model predictive control. Tsinghua Sci. Technol. 2018, 23, 266–276. [Google Scholar] [CrossRef]
- Zhang, T.; Li, X.; Yu, H.; Liu, J.; Zeng, P.; Sun, L. A Fault Location Method for Active Distribution Network with Renewable Sources Based on BP Neural Network. In Proceedings of the 2015 7th International Conference on Intelligent Human-Machine Systems and Cybernetics, Hangzhou, China, 26–27 August 2015; pp. 357–361. [Google Scholar] [CrossRef]
- Ning, L.; Guo, Z.; Chen, C.; Zhou, E.; Zhang, L.; Wang, L. Short-term Forecasting Model of Regional Power Load Based on Neural Network. In Proceedings of the 2019 IEEE 7th International Conference on Computer Science and Network Technology (ICCSNT), Dalian, China, 19–20 October 2019; pp. 241–245. [Google Scholar] [CrossRef]
- Guo, W.; Yu, L.; Han, A.; Li, Z. Optimal Dispatch Model of Active Distribution Network Based on Particle Swarm optimization Algorithm with Random Weight. In Proceedings of the 2021 IEEE 2nd International Conference on Big Data, Artificial Intelligence and Internet of Things Engineering (ICBAIE), Nanchang, China, 26–28 March 2021; pp. 482–485. [Google Scholar] [CrossRef]
- Saini, P.; Gidwani, L. Optimum utilization of photovoltaic generation with battery storage in distribution system by utilizing genetic algorithm. In Proceedings of the 2020 IEEE International Conference on Power Electronics, Drives and Energy Systems (PEDES), Jaipur, India, 16–19 December 2020; pp. 1–6. [Google Scholar] [CrossRef]
- Sheng, H.; Wang, C.; Liang, J. Multi-timescale active distribution network optimal scheduling considering temporal-spatial reserve coordination. Int. J. Elect. Power Energy Syst. 2021, 125, 106526. [Google Scholar] [CrossRef]
- Luo, F.; Jiao, Z.; Yao, L.; Zhu, L.; Zhao, D.; Qian, M. Second-order Cone Relaxation based Optimization Method of Optimal Operation of Distribution Systems with Integrated Energy. In Proceedings of the 2021 3rd Asia Energy and Electrical Engineering Symposium (AEEES), Chengdu, China, 26–29 March 2021; pp. 1150–1154. [Google Scholar] [CrossRef]















| Access Nodes | 6 | 16 | 24 | 29 |
|---|---|---|---|---|
| Access to renewable energy types | PV | WT | PV | WT |
| Access capacity/kW | 1000 | 1600 | 1000 | 1600 |
| Access Nodes | Power Limit/MW | Capacity Limit (MW-h) | Charging Efficiency | Discharge Efficiency |
|---|---|---|---|---|
| 3 | 0.3 | 1.8 | 0.9 | 1.11 |
| 8 | 0.2 | 1 | 0.9 | 1.11 |
| 16 | 0.2 | 1.5 | 0.9 | 1.11 |
| Access Nodes | Unit Capacity/Kvar | Quantity |
|---|---|---|
| 21, 32 | 100 | 2 |
| Access Nodes | Compensation Range/Kvar |
|---|---|
| 5, 15, 31 | [−100, 300] |
| Parameters | Node Voltage/p.u. | OLTC Secondary Voltage/p.u. |
|---|---|---|
| Lower limit | 0.93 | 0.95 |
| Upper limit | 1.07 | 1.05 |
| Programs | FEC/104 CNY | Consumption Rate |
|---|---|---|
| 1 | 2.083 | 93.87 |
| 2 | 2.39 | 88.52 |
| 3 | 2.8251 | 76.36 |
| Programs | Cost of Abandoned Electricity/104 CNY | Flexibility and Operating Costs/104 CNY | Net Loss Cost/104 CNY | Cost of Electricity Purchase/104 CNY |
|---|---|---|---|---|
| 1 | 0.356 | 0.075 | 0.555 | 1.585 |
| 2 | 0.512 | 0.112 | 0.402 | 1.698 |
| 3 | 1.025 | 0.289 | 0.511 | 1.432 |
| Whether to Reconfigure | Number of Reconfigurations | Reconfiguration Moment | Disconnect Switch Number | Total Network Loss/kW·h |
|---|---|---|---|---|
| Yes | 4 | 0:00 | 7/11/14/17/28 | 1925.13 |
| 4:00 | 7/9/14/28/32 | |||
| 19:00 | 7/9/14/28/36 | |||
| 21:00 | 7/9/14/17/37 | |||
| No | 0 | 33/34/35/36/37 | 2258.72 |
Disclaimer/Publisher’s Note: The statements, opinions and data contained in all publications are solely those of the individual author(s) and contributor(s) and not of MDPI and/or the editor(s). MDPI and/or the editor(s) disclaim responsibility for any injury to people or property resulting from any ideas, methods, instructions or products referred to in the content. |
© 2023 by the authors. Licensee MDPI, Basel, Switzerland. This article is an open access article distributed under the terms and conditions of the Creative Commons Attribution (CC BY) license (https://creativecommons.org/licenses/by/4.0/).
Share and Cite
Mi, Y.; Chen, Y.; Yuan, M.; Li, Z.; Tao, B.; Han, Y. Multi-Timescale Optimal Dispatching Strategy for Coordinated Source-Grid-Load-Storage Interaction in Active Distribution Networks Based on Second-Order Cone Planning. Energies 2023, 16, 1356. https://doi.org/10.3390/en16031356
Mi Y, Chen Y, Yuan M, Li Z, Tao B, Han Y. Multi-Timescale Optimal Dispatching Strategy for Coordinated Source-Grid-Load-Storage Interaction in Active Distribution Networks Based on Second-Order Cone Planning. Energies. 2023; 16(3):1356. https://doi.org/10.3390/en16031356
Chicago/Turabian StyleMi, Yang, Yuyang Chen, Minghan Yuan, Zichen Li, Biao Tao, and Yunhao Han. 2023. "Multi-Timescale Optimal Dispatching Strategy for Coordinated Source-Grid-Load-Storage Interaction in Active Distribution Networks Based on Second-Order Cone Planning" Energies 16, no. 3: 1356. https://doi.org/10.3390/en16031356
APA StyleMi, Y., Chen, Y., Yuan, M., Li, Z., Tao, B., & Han, Y. (2023). Multi-Timescale Optimal Dispatching Strategy for Coordinated Source-Grid-Load-Storage Interaction in Active Distribution Networks Based on Second-Order Cone Planning. Energies, 16(3), 1356. https://doi.org/10.3390/en16031356

