Sliding Mode Control of Ship DC Microgrid Based on an Improved Reaching Law
Abstract
1. Introduction
2. Ship DC Microgrid
2.1. Ship DC Microgrid
2.2. HESS Topology Structure
3. SMC Method for HESS
3.1. Frequency Division Droop Control Method
3.2. SMC Current Controller Design
4. Control Method for Diesel Rectifier Generator
5. Simulation Results and Analysis
5.1. Simulation Conditions and Parameters
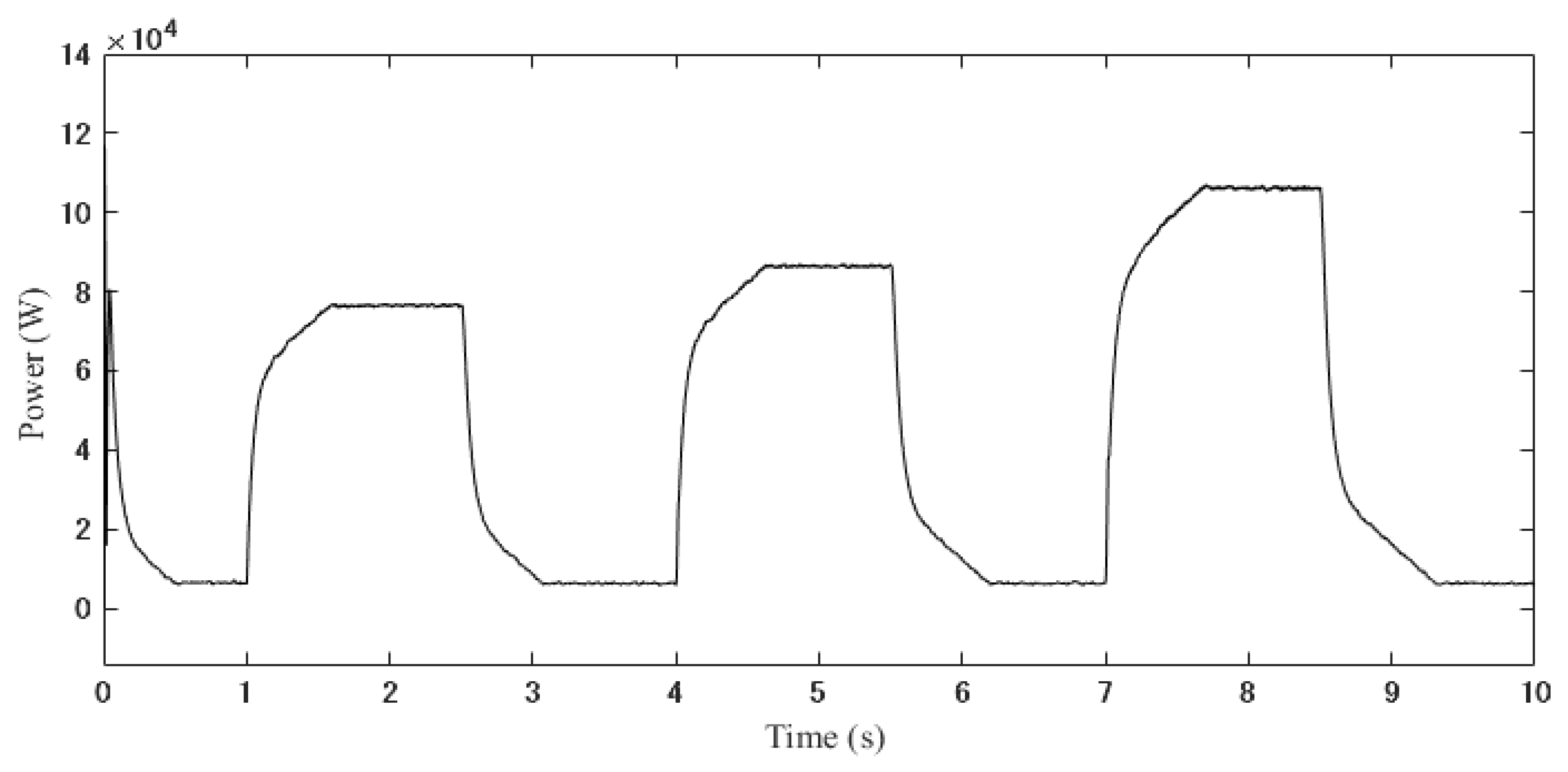
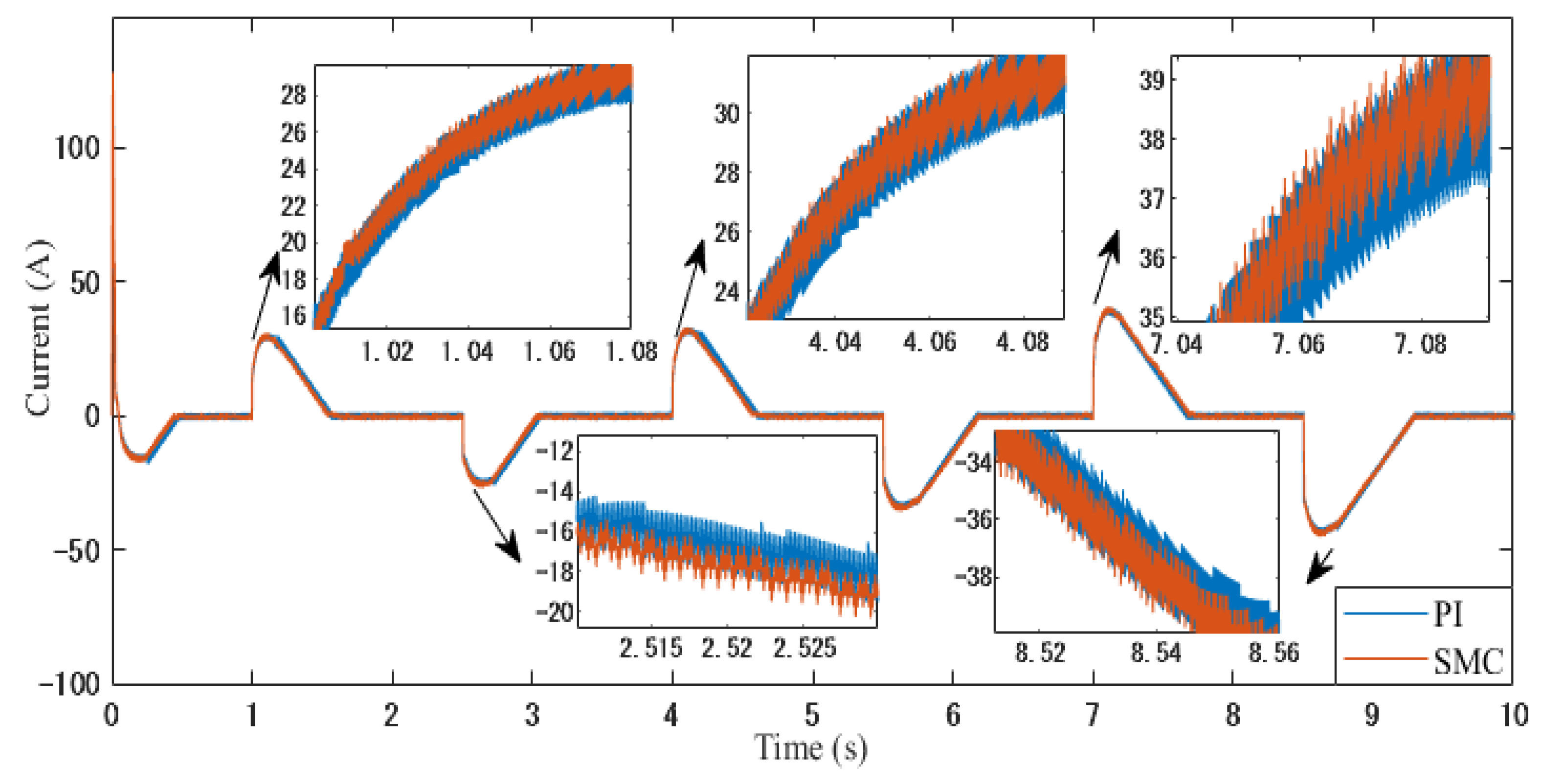
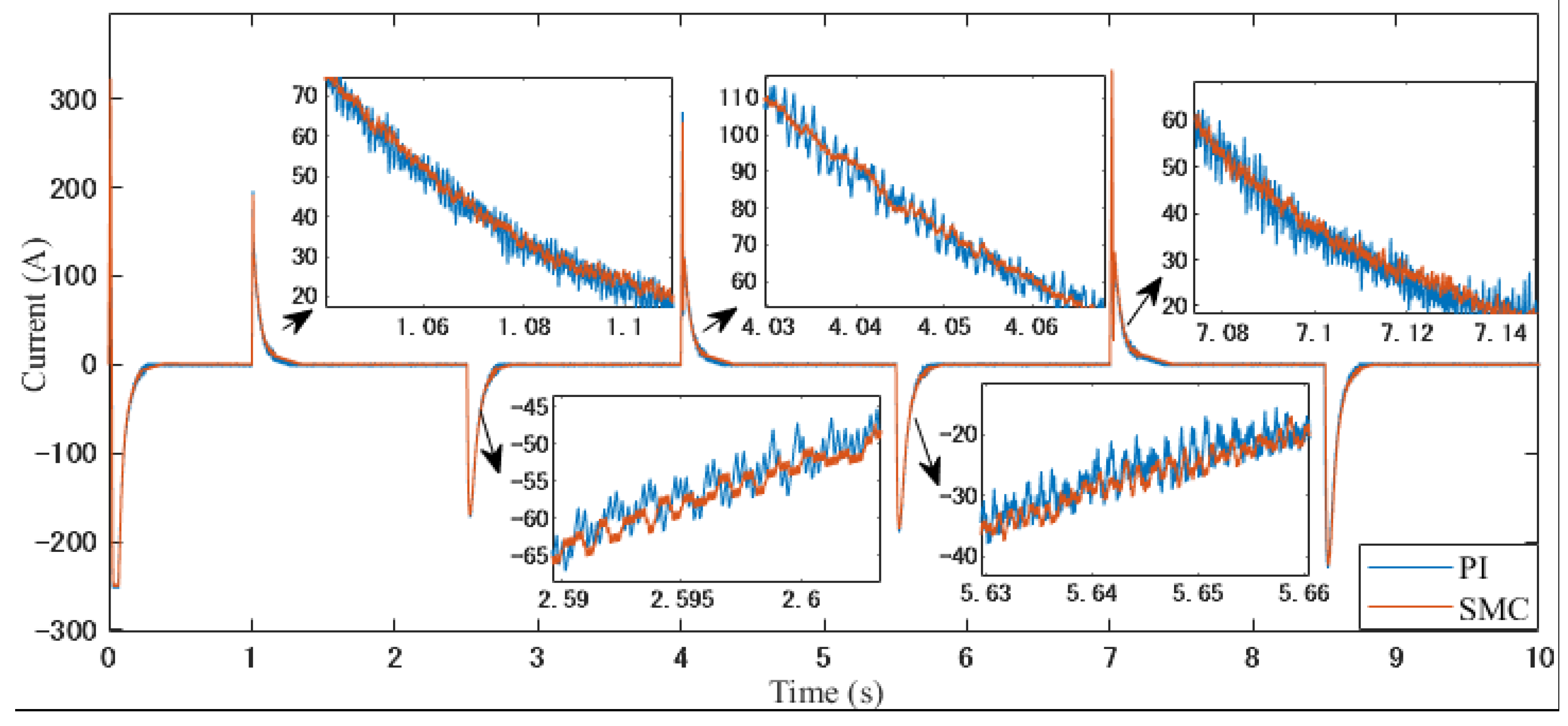
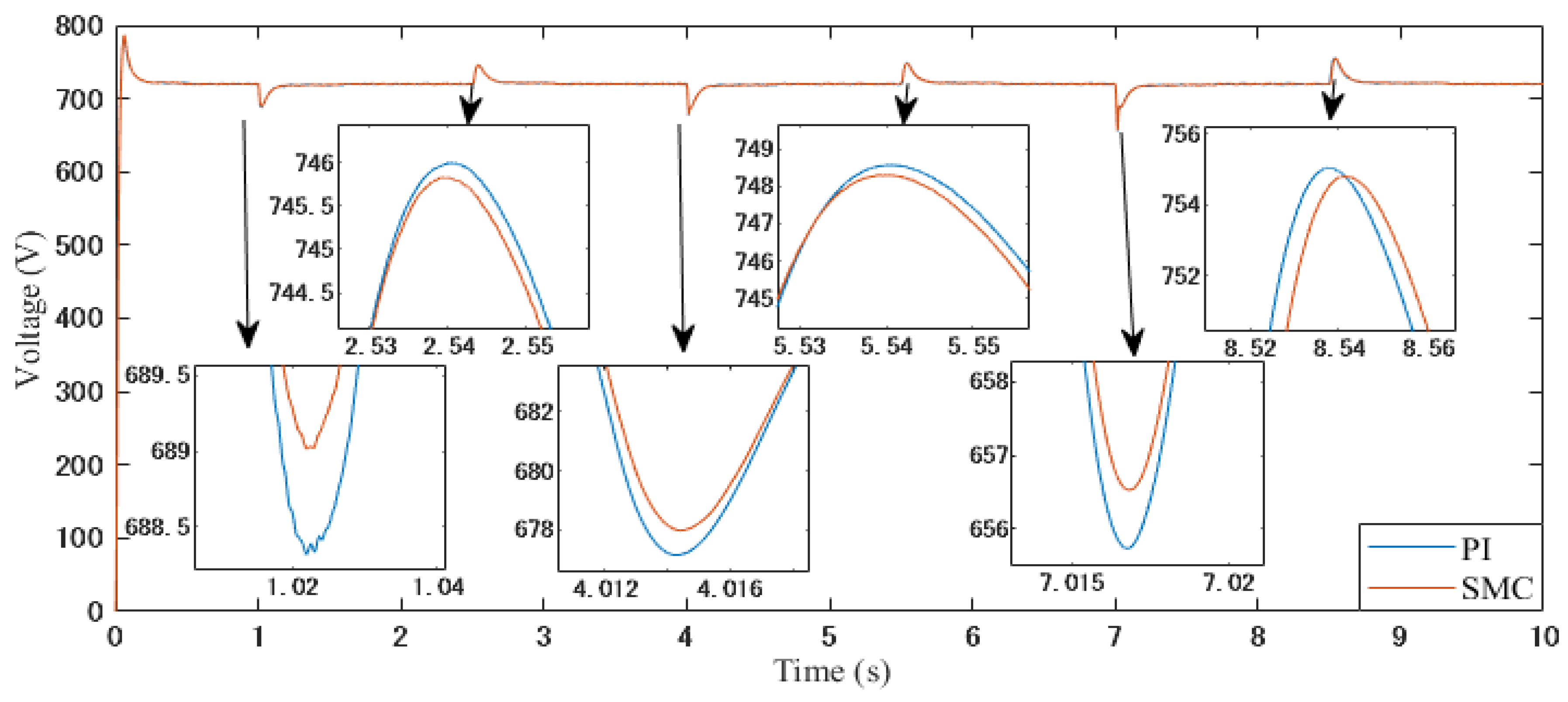
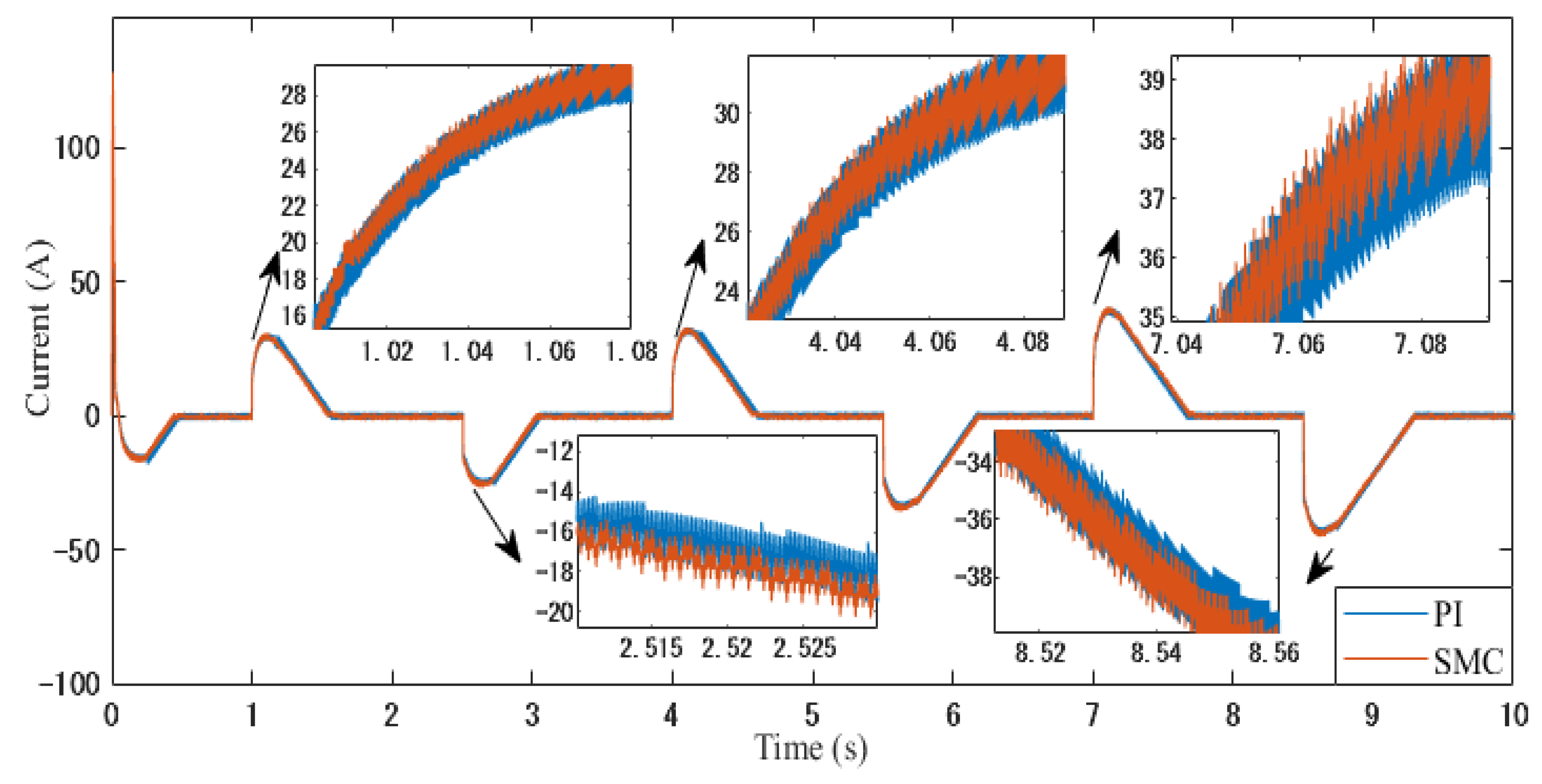
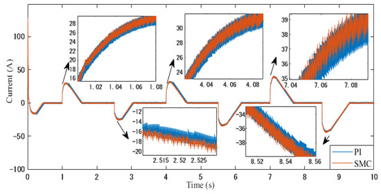
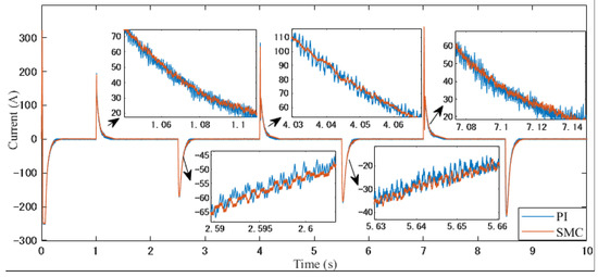
5.2. Simulation Results
6. Conclusions
- The output power of the diesel rectifier generator cannot quickly track or respond to the steep change in load power.
- In HESS, the battery set can respond to the low-frequency component of the differential power in the system; at the same time, the supercapacitor set can respond to the high-frequency component.
- Compared with the traditional PI control, the proposed SMC method can reduce the current chattering of HESS and fluctuation amplitude of DC bus voltage and improve the stability of the ship DC microgrid.
- This research work provides a reference for the stable operation and control of ship DC microgrid.
Author Contributions
Funding
Data Availability Statement
Conflicts of Interest
References
- Norbert, D.; Amy, J.; Krolick, C. History and the Status of Electric Ship Propulsion, Integrated Power Systems, and Future Trends in the U.S. Navy. Proc. IEEE 2015, 103, 2243–2251. [Google Scholar]
- Hassan, M.A.; Su, C.-L.; Pou, J.; Sulligoi, G.; Almakhles, D.; Bosich, D.; Guerrero, J.M. DC Shipboard Microgrids With Constant Power Loads: A Review of Advanced Nonlinear Control Strategies and Stabilization Techniques. IEEE Trans. Smart Grid 2022, 13, 3422–3438. [Google Scholar]
- Tarasiuk, T.; Jayasinghe, S.G.; Gorniak, M.; Pilat, A.; Shagar, V.; Liu, W.; Guerrero, J.M. Review of Power Quality Issues in Maritime Microgrids. IEEE Access 2021, 9, 81798–81817. [Google Scholar] [CrossRef]
- Prasad, E.N.V.D.V.; Mrutyunjaya, S.; Dash, P.K. A new adaptive integral back stepping fractional order sliding mode control approach for PV and wind with battery system based DC microgrid. Sustain. Energy Technol. Assess. 2022, 52, 102261. [Google Scholar]
- Sedaghati, R.; Shakarami, M.R. A novel control method and power management of hybrid PV/FC/SC/battery renewable power system-based grid-connected microgrid. Sustain. Cities Society 2019, 44, 830–843. [Google Scholar] [CrossRef]
- Hu, J.F.; Shan, Y.H.; Xu, Y.L.; Josep, M.G. A coordinated control of hybrid ac/dc microgrids with PV-wind-battery under variable generation and load conditions. Int. J. Electr. Power Energy Syst. 2019, 104, 583–592. [Google Scholar] [CrossRef]
- Prachitara, S.; Snehamoy, D.; Kishore, D.P. A new hybrid firefly optimized P-Q and V-f controller coordination for PV-DG-based microgrid stabilization. Electr. Energy Syst. 2018, 28, e2568. [Google Scholar]
- Sid-Ahmed, T.; Nasserdine, B.; Ahsene, B.; Drissi, K.E. A sliding mode control and artificial neural network based MPPT for a direct grid-connected photovoltaic source. Asian J. Control 2019, 21, 1892–1905. [Google Scholar]
- Nayanar, V.; Kumaresan, N.; Ammasai Gounden, N. A single-sensor-based MPPT controller for wind-driven induction generators supplying DC microgrid. IEEE Trans Power Electron. 2015, 31, 1161–1172. [Google Scholar] [CrossRef]
- Singaravel, M.M.R.; Daniel, S.A. MPPT with single DC–DC converter and inverter for grid-connected hybrid wind-driven PMSG–PV system. IEEE Trans. Ind. Electron. 2015, 62, 4849–4857. [Google Scholar]
- Adhikari, S.; Li, F. Coordinated Vf and PQ control of solar photovoltaic generators with MPPT and battery storage in microgrids. IEEE Trans. Smart Grid 2014, 5, 1270–1281. [Google Scholar]
- Sun, H.L.; Yang, D.F.; Wang, L.C.; Wang, K. A method for estimating the aging state of lithium-ion batteries based on a multi-linear integrated model. Inter. J. Energy Res. 2022, 46, 24091–24104. [Google Scholar]
- Guo, Y.; Yu, P.; Zhu, C.; Zhao, K.; Wang, L.C.; Wang, K. A state-of-health estimation method considering capacity recovery of lithium batteries. Inter. J. Energy Res. 2022, 46, 23730–23745. [Google Scholar] [CrossRef]
- Li, D.; Yang, D.; Li, L.; Wang, L.; Wang, K. Electrochemical Impedance Spectroscopy Based on the State of Health Estimation for Lithium-Ion Batteries. Energies 2022, 15, 6665. [Google Scholar]
- Kyaw, H.; Xu, Y.; Gary, W.; Gupta, A.K. Coordinated Optimal Voyage Planning and Energy Management of All-Electric Ship with Hybrid Energy Storage System. IEEE Trans. Power Syst. 2021, 36, 2355–2365. [Google Scholar]
- Zhang, W.; Maleki, A.; Rosen, M.A.; Liu, J. Optimization with a simulated annealing algorithm of a hybrid system for renewable energy including battery and hydrogen storage. Energy 2018, 163, 191–207. [Google Scholar]
- Vivas, F.J.; De las Heras, A.; Segura, F.; Andújar, J. A review of energy management strategies for renewable hybrid energy systems with hydrogen backup. Renew. Sustain. Energy Rev. 2018, 82, 126–155. [Google Scholar]
- Zahedi, R.; Ardehali, M.M. Power management for storage mechanisms including battery, supercapacitor, and hydrogen of autonomous hybrid green power system utilizing multiple optimally-designed fuzzy logic controllers. Energy 2020, 204, 117935. [Google Scholar]
- Liu, C.; Wang, Y.J.; Wang, L.; Chen, Z. Load-adaptive real-time energy management method for battery/ultracapacitor hybrid energy storage system using dynamic programming optimization. J. Power Sources 2019, 438, 117441. [Google Scholar]
- Guo, Y.; Yang, D.F.; Zhang, Y.; Wang, L.C.; Wang, K. Online estimation of SOH for lithium-ion battery based on SSA-Elman neural network. Prot. Control Mod. Power Syst. 2022, 7, 40. [Google Scholar]
- Guo, D.; Yang, G.; Zhao, G.; Yi, M.; Feng, X.; Han, X.; Lu, L.; Ouyang, M. Determination of the Differential Capacity of Lithium-Ion Batteries by the Deconvolution of Electrochemical Impedance Spectra. Energies 2020, 13, 915. [Google Scholar] [CrossRef]
- Yuan, D.M.; Lu, Z.G.; Zhang, J.F.; Li, X.P. A hybrid prediction-based microgrid energy management method considering demand-side response and data interruption. Int. J. Electr. Power Energy Syst. 2019, 113, 139–153. [Google Scholar] [CrossRef]
- Zupancic, J.; Filipic, B.; Gams, M. Genetic-programming-based multi-objective optimization of strategies for home energy-management systems. Energy 2020, 203, 117769. [Google Scholar] [CrossRef]
- Han, Y.; Yang, H.; Li, Q.; Chen, W.; Firuz, Z.; Josep, M.G. Mode-triggered droop method for the decentralized energy management of an islanded hybrid pv/hydrogen/battery dc microgrid. Energy 2020, 199, 117441. [Google Scholar] [CrossRef]
- Nilanjan Roy, C.; Ron, O.; Noa, Z.; Dmitry, B.; Juri, B.; Yoash, L. Optimal control of lossy energy storage systems with nonlinear efficiency based on dynamic programming and pontryagin’s minimum principle. IEEE Trans. Energy Convers. 2020, 36, 524–533. [Google Scholar]
- Hossein, A.; Peyman, B. A contingency based energy management method formulti-microgrids considering battery energy storage systems and electric vehicles. J. Energy Storage 2020, 27, 101087. [Google Scholar]
- Yu, H.; Niu, S.Y.; Zhang, Y.M.; Jian, L.N. An integrated and reconfigurable hybrid AC/DC microgrid architecture with autonomous power flow control for nearly/net zero energy buildings. Appl. Energy 2020, 263, 114610. [Google Scholar] [CrossRef]
- Zhang, Y.; Fu, L.; Zhu, W.; Bao, X.; Liu, C. Robust model predictive control for optimal energy management of island microgrids with uncertainties. Energy 2018, 164, 1229–1241. [Google Scholar] [CrossRef]
- Abdelmalek, S.; Dali, A.; Bakdi, A.; Bettayeb, M. Design and experimental implementation of a new robust observer-based nonlinear controller for dc-dc buck converters. Energy 2020, 213, 118816. [Google Scholar] [CrossRef]
- Sami, I.; Ro, J.-S. Adaptive supertwisting sliding mode control of multi-converter MVDC power systems. Energy Rep. 2022, 8, 467–479. [Google Scholar] [CrossRef]
- Ling, R.; Dragan, M.; Ramon, L. Second-order sliding-mode controlled synchronous buck DC-DC converter. IEEE Trans. Power Electron. 2016, 31, 9–49. [Google Scholar] [CrossRef]
- Cavallo, A.; Russo, A.; Canciello, G. Control of Supercapacitors for smooth EMA Operations in Aeronautical Applications. In Proceedings of the 2019 American Control Conference (ACC), Philadelphia, PA, USA, 10–12 July 2019; pp. 4948–4954. [Google Scholar]
- Cavallo, A.; Canciello, G.; Russo, A. Supervised Energy Management in Advanced Aircraft Applications. In Proceedings of the 2018 European Control Conference (ECC), Rotterdam, The Netherlands, 12–15 June 2018; pp. 2769–2774. [Google Scholar]
- Song, Z.Y.; Hou, J.; Heath, H.; Li, J.Q.; Ouyang, M.G. Sliding-mode and Lyapunov function-based control for battery/supercapacitor hybrid energy storage system used in electric vehicles. Energy 2022, 122, 601–612. [Google Scholar] [CrossRef]
- Xu, Q.; Xiao, J.; Wang, P.; Pan, X.; Wen, C. A decentralized control method for autonomous transient power sharing and state-of-charge recovery in hybrid energy storage systems. IEEE Trans. Sustain. Energy 2017, 8, 338–343. [Google Scholar] [CrossRef]
- Han, J.G.; Jean-Frederic, C.; Tang, T. An Energy Management System of a Fuel Cell/Battery Hybrid Boat. Energies 2014, 7, 2799–2820. [Google Scholar] [CrossRef]











| Parameters | Value |
|---|---|
| DC bus rated voltage/V | 720 |
| Rated capacity of rectifier generator/kW | 135 |
| Battery rated capacity/Ah | 100 |
| Supercapacitor rated capacitance/F | 100 |
| Supercapacitor rated voltage/V | 500 |
| Battery rated voltage/V | 350 |
| Simulation step/s |
| Parameters | Value |
|---|---|
| 0.03 | |
| 0.05 | |
| 0.015 | |
| 0.1 | |
| 0.99 | |
| 0.98 | |
| 1 | |
| 1 | |
| 3 | |
| 8 |
Disclaimer/Publisher’s Note: The statements, opinions and data contained in all publications are solely those of the individual author(s) and contributor(s) and not of MDPI and/or the editor(s). MDPI and/or the editor(s) disclaim responsibility for any injury to people or property resulting from any ideas, methods, instructions or products referred to in the content. |
© 2023 by the authors. Licensee MDPI, Basel, Switzerland. This article is an open access article distributed under the terms and conditions of the Creative Commons Attribution (CC BY) license (https://creativecommons.org/licenses/by/4.0/).
Share and Cite
Xiang, C.; Cheng, Q.; Zhu, Y.; Zhao, H. Sliding Mode Control of Ship DC Microgrid Based on an Improved Reaching Law. Energies 2023, 16, 1051. https://doi.org/10.3390/en16031051
Xiang C, Cheng Q, Zhu Y, Zhao H. Sliding Mode Control of Ship DC Microgrid Based on an Improved Reaching Law. Energies. 2023; 16(3):1051. https://doi.org/10.3390/en16031051
Chicago/Turabian StyleXiang, Chuan, Qi Cheng, Yizheng Zhu, and Hongge Zhao. 2023. "Sliding Mode Control of Ship DC Microgrid Based on an Improved Reaching Law" Energies 16, no. 3: 1051. https://doi.org/10.3390/en16031051
APA StyleXiang, C., Cheng, Q., Zhu, Y., & Zhao, H. (2023). Sliding Mode Control of Ship DC Microgrid Based on an Improved Reaching Law. Energies, 16(3), 1051. https://doi.org/10.3390/en16031051

